Crocins Ameliorate Experimental Immune Checkpoint Inhibitor-Related Myocarditis by Targeting the Hpx/Nrf2/HO-1 Pathway
Abstract
1. Introduction
2. Results
2.1. High-Performance Liquid Chromatography (HPLC) Analysis of Crocins Sample
2.2. Crocins Improved Cardiac Function in ICI-Related Myocarditis Mice
2.3. Crocins Mitigated Myocardial Damage and Immune Response in ICI-Related Myocarditis Mice



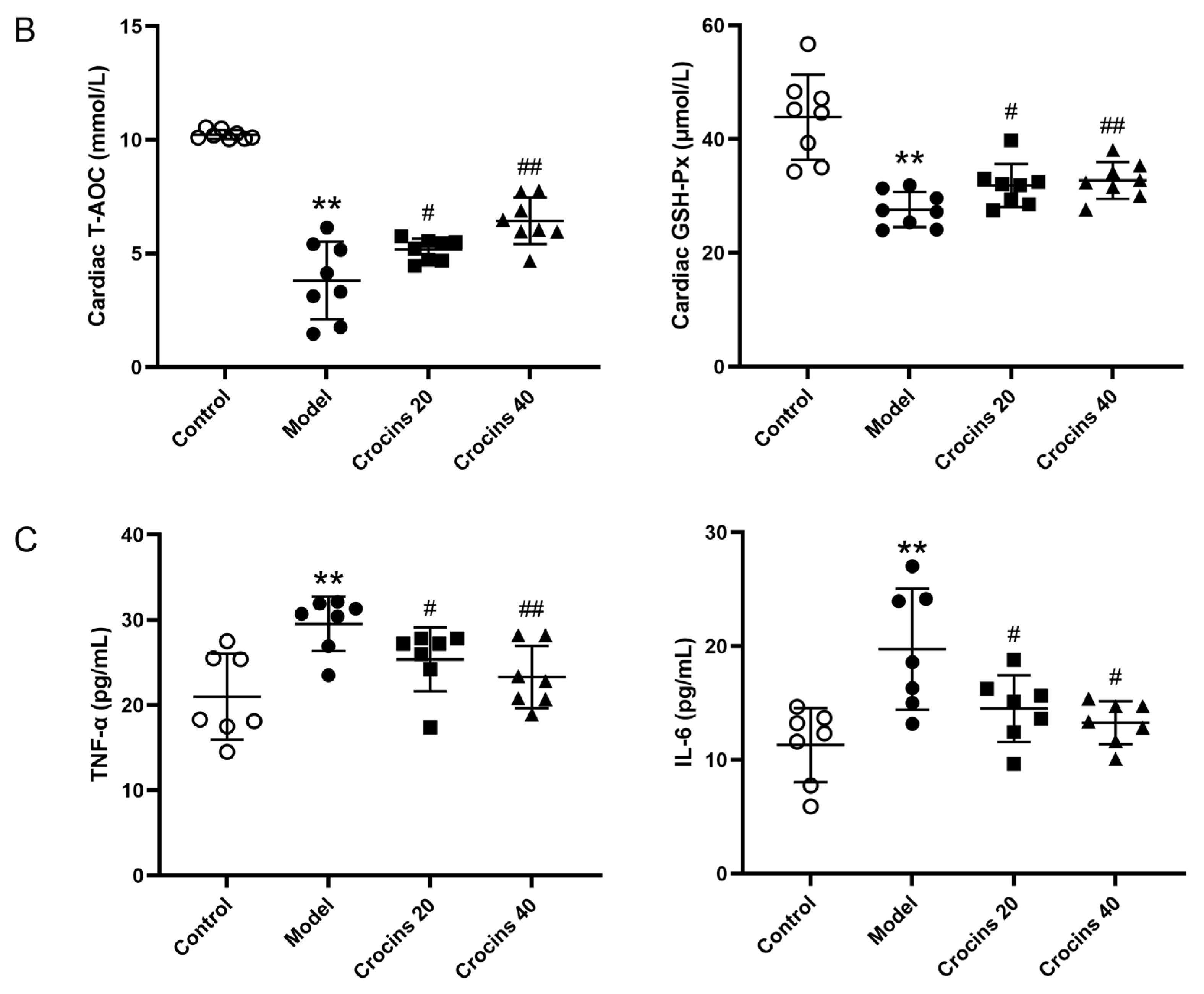
2.4. Crocins Inhibited Oxidative Stress and Inflammatory Reaction in ICI-Related Myocarditis Mice
2.5. Proteomics Analysis Identified the Therapeutic Targets of Crocins in ICI-Related Myocarditis
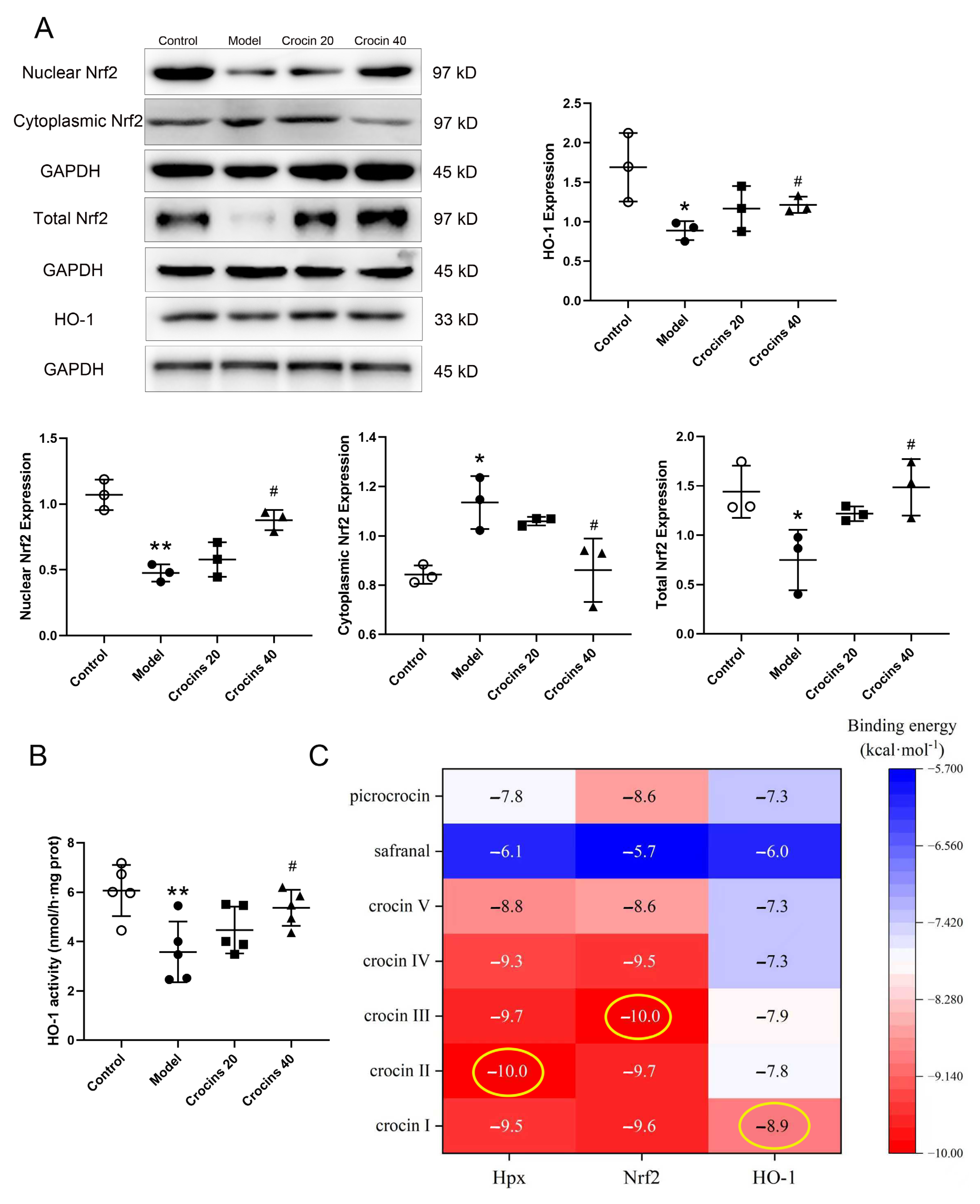
2.6. Crocins Exerted Protective Effects Against ICI-Related Myocarditis by Regulating Hpx/Nrf2/HO-1 Pathway
3. Discussion
4. Materials and Methods
4.1. Experimental Animals, Cells and Drugs
4.2. Chemical Analysis of Crocins Sample
4.3. Animal Model Construction and Group Design
4.4. Electrocardiograph and Echocardiography
4.5. Organ Index and Histological Examination
4.6. Serum Biomarkers and Inflammatory Cytokines
4.7. Tandem Mass Tag-Based Quantitative Proteomics
4.8. Western Blotting
4.9. Cardiac HO-1 Activity Assay
4.10. Molecular Docking
4.11. Statistical Analysis
5. Conclusions
Author Contributions
Funding
Institutional Review Board Statement
Informed Consent Statement
Data Availability Statement
Conflicts of Interest
Abbreviations
| ICIs | Immune checkpoint inhibitors |
| CTLA-4 | Cytotoxic T lymphocyte-associated protein 4 |
| PD-1 | Programmed cell death protein-1 |
| PD-L1 | Programmed death-ligand 1 |
| ICI | Immune checkpoint inhibitor |
| Hpx | Hemopexin |
| Nrf2 | Nuclear factor erythroid 2-related factor 2 |
| HO-1 | Heme oxygenase-1 |
| HPLC | High-performance liquid chromatography |
| ECG | Electrocardiography |
| EF | Ejection fraction |
| FS | Fraction shortening |
| SD | standard deviation |
| HE | Hematoxylin and eosin |
| CK-MB | Creatine kinase-MB isoenzyme |
| cTnT | Cardiac troponin T |
| SOD | Superoxide dismutase |
| T-AOC | Total antioxidant capacity |
| GSH-Px | Glutathione peroxidase |
| LDH | Lactate dehydrogenase |
| TNF | Tumor necrosis factor |
| IL | Interleukin |
| DEPs | Differentially expressed proteins |
| GO | Gene ontology |
| BP | Biological process |
| CC | Cellular component |
| MF | Molecular function |
| KEGG | Kyoto Encyclopedia of Genes and Genomes |
| PPI | Protein–protein interaction |
| MIP | Macrophage inflammatory protein |
| CSF | Colony-stimulating factor |
References
- Galluzzi, L.; Humeau, J.; Buqué, A.; Zitvogel, L.; Kroemer, G. Immunostimulation with chemotherapy in the era of immune checkpoint inhibitors. Nat. Rev. Clin. Oncol. 2020, 17, 725–741. [Google Scholar] [CrossRef] [PubMed]
- Palaskas, N.; Lopez-Mattei, J.; Durand, J.B.; Iliescu, C.; Deswal, A. Immune Checkpoint Inhibitor Myocarditis: Pathophysiological Characteristics, Diagnosis, and Treatment. J. Am. Heart Assoc. 2020, 9, e013757. [Google Scholar] [CrossRef] [PubMed]
- Johnson, D.B.; Balko, J.M.; Compton, M.L.; Chalkias, S.; Gorham, J.; Xu, Y.; Hicks, M.; Puzanov, I.; Alexander, M.R.; Bloomer, T.L.; et al. Fulminant Myocarditis with Combination Immune Checkpoint Blockade. N. Engl. J. Med. 2016, 375, 1749–1755. [Google Scholar] [CrossRef] [PubMed]
- Axelrod, M.L.; Meijers, W.C.; Screever, E.M.; Qin, J.; Carroll, M.G.; Sun, X.; Tannous, E.; Zhang, Y.; Sugiura, A.; Taylor, B.C.; et al. T cells specific for α-myosin drive immunotherapy-related myocarditis. Nature 2022, 611, 818–826. [Google Scholar] [CrossRef]
- Poto, R.; Troiani, T.; Criscuolo, G.; Marone, G.; Ciardiello, F.; Tocchetti, C.G.; Varricchi, G. Holistic Approach to Immune Checkpoint Inhibitor-Related Adverse Events. Front. Immunol. 2022, 13, 804597. [Google Scholar] [CrossRef]
- Wang, C.; Lin, J.; Wang, Y.; Hsi, D.H.; Chen, J.; Liu, T.; Zhou, Y.; Ren, Z.; Zeng, Z.; Cheng, L.; et al. Case Series of Steroid-Resistant Immune Checkpoint Inhibitor Associated Myocarditis: A Comparative Analysis of Corticosteroid and Tofacitinib Treatment. Front. Pharmacol. 2021, 12, 770631. [Google Scholar] [CrossRef]
- de Kloet, E.R. From receptor balance to rational glucocorticoid therapy. Endocrinology 2014, 155, 2754–2769. [Google Scholar] [CrossRef]
- Rahaiee, S.; Moini, S.; Hashemi, M.; Shojaosadati, S.A. Evaluation of antioxidant activities of bioactive compounds and various extracts obtained from saffron (Crocus sativus L.): A review. J. Food Sci. Technol. 2015, 52, 1881–1888. [Google Scholar] [CrossRef]
- Javandoost, A.; Afshari, A.; Nikbakht-Jam, I.; Khademi, M.; Eslami, S.; Nosrati, M.; Foroutan-Tanha, M.; Sahebkar, A.; Tavalaie, S.; Ghayour-Mobarhan, M.; et al. Effect of crocin, a carotenoid from saffron, on plasma cholesteryl ester transfer protein and lipid profile in subjects with metabolic syndrome: A double blind randomized clinical trial. ARYA Atheroscler. 2017, 13, 245–252. [Google Scholar]
- Su, X.; Li, X.Y.; Zhang, Y.J.; Liu, Y.S.; Yuan, C.; Yang, F.; Liu, C.; Chen, H.W.; Xiong, X.J.; Gao, Y.H.; et al. Cardioprotective effect of saffron total glycoside tablets in patients with breast cancer receiving anthracycline-based chemotherapy: Study protocol for a multicentre, randomised, parallel, double-blind, placebo-controlled clinical trial. Ann. Palliat. Med. 2021, 10, 8283–8291. [Google Scholar] [CrossRef]
- Zhang, H.; Lin, J.; Shen, Y.; Pan, J.; Wang, C.; Cheng, L. Protective effect of crocin on immune checkpoint inhibitors-related myocarditis through inhibiting NLRP3 mediated pyroptosis in cardiomyocytes via NF-κB pathway. J. Inflamm. Res. 2022, 15, 1653–1666. [Google Scholar] [CrossRef]
- Zhang, Z.; Zhao, X.; Gao, M.; Xu, L.; Qi, Y.; Wang, J.; Yin, L. Dioscin alleviates myocardial infarction injury via regulating BMP4/NOX1-mediated oxidative stress and inflammation. Phytomedicine 2022, 103, 154222. [Google Scholar] [CrossRef] [PubMed]
- Yamamoto, S.; Matsui, K.; Sasabe, M.; Ohashi, N. Effect of an orally active Na+/H+ exchange inhibitor, SMP-300, on experimental angina and myocardial infarction models in rats. J. Cardiovasc. Pharmacol. 2002, 39, 234–241. [Google Scholar] [CrossRef]
- Awad, B.; Hamza, A.A.; Al-Maktoum, A.; Al-Salam, S.; Amin, A. Combining Crocin and Sorafenib Improves Their Tumor-Inhibiting Effects in a Rat Model of Diethylnitrosamine-Induced Cirrhotic- Hepatocellular Carcinoma. Cancers 2023, 15, 4063. [Google Scholar] [CrossRef] [PubMed]
- Shen, Y.; Liu, X.; Shi, J.; Wu, X. Involvement of Nrf2 in myocardial ischemia and reperfusion injury. Int. J. Biol. Macromol. 2019, 125, 496–502. [Google Scholar] [CrossRef] [PubMed]
- Nan, F.; Tian, Q.; Chen, S. Obacunone Alleviates Inflammatory Pain by Promoting M2 Microglial Polarization and by Activating Nrf2/HO-1 Signaling Pathway. Drug Des. Devel. Ther. 2024, 18, 1265–1275. [Google Scholar] [CrossRef]
- Mehrnia, M.A.; Jafari, S.M.; Makhmal-Zadeh, B.S.; Maghsoudlou, Y.J.F.H. Rheological and Release Properties of Double Nano-Emulsions Containing Crocin Prepared with Angum Gum. Arabic Gum Whey Protein 2017, 66, 259–267. [Google Scholar] [CrossRef]
- Song, Y.N.; Wang, Y.; Zheng, Y.H.; Liu, T.L.; Zhang, C. Crocins: A comprehensive review of structural characteristics, pharmacokinetics and therapeutic effects. Fitoterapia 2021, 153, 104969. [Google Scholar] [CrossRef]
- Suchareau, M.; Bordes, A.; Lemée, L. Improved quantification method of crocins in saffron extract using HPLC-DAD after qualification by HPLC-DAD-MS. Food Chem. 2021, 362, 130199. [Google Scholar] [CrossRef]
- Hsin, K.Y.; Ghosh, S.; Kitano, H. Combining machine learning systems and multiple docking simulation packages to improve docking prediction reliability for network pharmacology. PLoS ONE 2013, 8, e83922. [Google Scholar] [CrossRef]
- Boutros, C.; Tarhini, A.; Routier, E.; Lambotte, O.; Ladurie, F.L.; Carbonnel, F.; Izzeddine, H.; Marabelle, A.; Champiat, S.; Berdelou, A.; et al. Safety profiles of anti-CTLA-4 and anti-PD-1 antibodies alone and in combination. Nat. Rev. Clin. Oncol. 2016, 13, 473–486. [Google Scholar] [CrossRef] [PubMed]
- Tarrio, M.L.; Grabie, N.; Bu, D.X.; Sharpe, A.H.; Lichtman, A.H. PD-1 protects against inflammation and myocyte damage in T cell-mediated myocarditis. J. Immunol. 2012, 188, 4876–4884. [Google Scholar] [CrossRef] [PubMed]
- Poulsen, C.B.; Nielsen, K.R.; Jørgensen, M.M.; Rossing, K.; Bundgaard, H. Myocarditis and development of dilated cardiomyopathy. Ugeskr Laeger. 2022, 184, V11210886. [Google Scholar] [PubMed]
- Rose, N.R. Myocarditis: Infection versus autoimmunity. J. Clin. Immunol. 2009, 29, 730–737. [Google Scholar] [CrossRef]
- Ammirati, E.; Moslehi, J.J. Diagnosis and Treatment of Acute Myocarditis: A Review. JAMA 2023, 329, 1098–1113. [Google Scholar] [CrossRef]
- Michel, L.; Hendgen-Cotta, U.B.; Helfrich, I.; Schadendorf, D.; Rassaf, T.; Totzeck, M. PD1-blocking immune checkpoint inhibitor therapy for malignant melanoma induces left ventricular dysfunction. Eur. Heart J. 2019, 40, 1383. [Google Scholar] [CrossRef]
- Hudson, M.P.; Christenson, R.H.; Newby, L.K.; Kaplan, A.L.; Ohman, E.M. Cardiac markers: Point of care testing. Clin. Chim. Acta 1999, 284, 223–237. [Google Scholar] [CrossRef]
- Jaffe, A.S.; Vasile, V.C.; Milone, M.; Saenger, A.K.; Olson, K.N.; Apple, F.S. Diseased skeletal muscle: A noncardiac source of increased circulating concentrations of cardiac troponin T. J. Am. Coll. Cardiol. 2011, 58, 1819–1824. [Google Scholar] [CrossRef]
- Nelli, F.; Virtuoso, A.; Berrios, J.R.G.; Giannarelli, D.; Fabbri, A.; Marrucci, E.; Ruggeri, E.M. Impact of previous corticosteroid exposure on outcomes of patients receiving immune checkpoint inhibitors for advanced non-small cell lung cancer: A retrospective observational study. Cancer Chemother. Pharmacol. 2022, 89, 529–537. [Google Scholar] [CrossRef]
- Higashi, Y.; Noma, K.; Yoshizumi, M.; Kihara, Y. Endothelial function and oxidative stress in cardiovascular diseases. Circ. J. 2009, 73, 411–418. [Google Scholar] [CrossRef]
- Caforio, A.L.; Mahon, N.J.; Tona, F.; McKenna, W.J. Circulating cardiac autoantibodies in dilated cardiomyopathy and myocarditis: Pathogenetic and clinical significance. Eur. J. Heart Fail. 2002, 4, 411–417. [Google Scholar] [CrossRef]
- Van Linthout, S.; Miteva, K.; Tschöpe, C. Crosstalk between fibroblasts and inflammatory cells. Cardiovasc. Res. 2014, 102, 258–269. [Google Scholar] [CrossRef] [PubMed]
- Barcena, M.L.; Jeuthe, S.; Niehues, M.H.; Pozdniakova, S.; Haritonow, N.; Kühl, A.A.; Messroghli, D.R.; Regitz-Zagrosek, V. Sex-Specific Differences of the Inflammatory State in Experimental Autoimmune Myocarditis. Front. Immunol. 2021, 12, 686384. [Google Scholar] [CrossRef] [PubMed]
- Weber, K.T.; Sun, Y.; Bhattacharya, S.K.; Ahokas, R.A.; Gerling, I.C. Myofibroblast-mediated mechanisms of pathological remodelling of the heart. Nat. Rev. Cardiol. 2013, 10, 15–26. [Google Scholar] [CrossRef]
- Mehdizadeh, R.; Parizadeh, M.R.; Khooei, A.R.; Mehri, S.; Hosseinzadeh, H. Cardioprotective effect of saffron extract and safranal in isoproterenol-induced myocardial infarction in wistar rats. Iran. J. Basic Med. Sci. 2013, 16, 56–63. [Google Scholar] [PubMed]
- Qi, F.; Liu, Y.; Zhang, K.; Zhang, Y.; Xu, K.; Zhou, M.; Zhao, H.; Zhu, S.; Chen, J.; Li, P.; et al. Artificial Intelligence Uncovers Natural MMP Inhibitor Crocin as a Potential Treatment of Thoracic Aortic Aneurysm and Dissection. Front. Cardiovasc. Med. 2022, 9, 871486. [Google Scholar] [CrossRef]
- Boldizsar, F.; Tarjanyi, O.; Olasz, K.; Hegyi, A.; Mikecz, K.; Glant, T.T.; Rauch, T.A. FTY720 (Gilenya) treatment prevents spontaneous autoimmune myocarditis and dilated cardiomyopathy in transgenic HLA-DQ8-BALB/c mice. Cardiovasc. Pathol. 2016, 25, 353–361. [Google Scholar] [CrossRef][Green Version]
- Yang, N.; Zhang, L.; Tian, D.; Wang, P.; Men, K.; Ge, Y.; Zhang, C. Tanshinone increases Hemopexin expression in lung cells and macrophages to protect against cigarette smoke-induced COPD and enhance antiviral responses. Cell Cycle 2023, 22, 645–665. [Google Scholar] [CrossRef]
- Liu, J.; Lane, S.; Lall, R.; Russo, M.; Farrell, L.; Debreli Coskun, M.; Curtin, C.; Araujo-Gutierrez, R.; Scherrer-Crosbie, M.; Trachtenberg, B.H.; et al. Circulating hemopexin modulates anthracycline cardiac toxicity in patients and in mice. Sci. Adv. 2022, 8, eadc9245. [Google Scholar] [CrossRef]
- Tao, Q.; Ma, N.; Fan, L.; Ge, W.; Zhang, Z.; Liu, X.; Li, J.; Yang, Y. Multi-Omics approaches for liver reveal the thromboprophylaxis mechanism of aspirin eugenol ester in rat thrombosis model. Int. J. Mol. Sci. 2024, 25, 2141. [Google Scholar] [CrossRef]
- Wang, X.; Luo, Y.; He, S.; Lu, Y.; Gong, Y.; Gao, L.; Mao, S.; Liu, X.; Jiang, N.; Pu, Q.; et al. Age-, sex- and proximal-distal-resolved multi-omics identifies regulators of intestinal aging in non-human primates. Nat. Aging 2024, 4, 414–433. [Google Scholar] [CrossRef] [PubMed]
- Lu, J.J.; Abudukeyoumu, A.; Zhang, X.; Liu, L.B.; Li, M.Q.; Xie, F. Heme oxygenase 1: A novel oncogene in multiple gynecological cancers. Int. J. Biol. Sci. 2021, 17, 2252–2261. [Google Scholar] [CrossRef] [PubMed]
- Xiao, Q.; Sun, C.C.; Tang, C.F. Heme oxygenase-1: A potential therapeutic target for improving skeletal muscle atrophy. Exp. Gerontol. 2023, 184, 112335. [Google Scholar] [CrossRef] [PubMed]
- Dinkova-Kostova, A.T.; Kostov, R.V.; Kazantsev, A.G. The role of Nrf2 signaling in counteracting neurodegenerative diseases. FEBS J. 2018, 285, 3576–3590. [Google Scholar] [CrossRef]
- Chen, X.; Wan, W.; Guo, Y.; Ye, T.; Fo, Y.; Sun, Y.; Qu, C.; Yang, B.; Zhang, C. Pinocembrin ameliorates post-infarct heart failure through activation of Nrf2/HO-1 signaling pathway. Mol. Med. 2021, 27, 100. [Google Scholar] [CrossRef]
- Pummerer, C.L.; Luze, K.; Grässl, G.; Bachmaier, K.; Offner, F.; Burrell, S.K.; Lenz, D.M.; Zamborelli, T.J.; Penninger, J.M.; Neu, N. Identification of cardiac myosin peptides capable of inducing autoimmune myocarditis in BALB/c mice. J. Clin. Investig. 1996, 97, 2057–2062. [Google Scholar] [CrossRef]
- Tajiri, K.; Imanaka-Yoshida, K.; Matsubara, A.; Tsujimura, Y.; Hiroe, M.; Naka, T.; Shimojo, N.; Sakai, S.; Aonuma, K.; Yasutomi, Y. Suppressor of cytokine signaling 1 DNA administration inhibits inflammatory and pathogenic responses in autoimmune myocarditis. J. Immunol. 2012, 189, 2043–2053. [Google Scholar] [CrossRef]
- Ba, Y.; Yang, S.; Yu, S.; Hou, X.; Du, Y.; Gao, M.; Zuo, J.; Sun, L.; Fu, X.; Li, Z.; et al. Role of Glycolysis/Gluconeogenesis and HIF-1 Signaling Pathways in Rats with Dental Fluorosis Integrated Proteomics and Metabolomics Analysis. Int. J. Mol. Sci. 2022, 23, 8266. [Google Scholar] [CrossRef]








Disclaimer/Publisher’s Note: The statements, opinions and data contained in all publications are solely those of the individual author(s) and contributor(s) and not of MDPI and/or the editor(s). MDPI and/or the editor(s) disclaim responsibility for any injury to people or property resulting from any ideas, methods, instructions or products referred to in the content. |
© 2026 by the authors. Licensee MDPI, Basel, Switzerland. This article is an open access article distributed under the terms and conditions of the Creative Commons Attribution (CC BY) license.
Share and Cite
Yan, J.; Cai, Q.; Li, Y.; Zhang, Y.; Zhao, Y.; Zhang, F.; Zhang, H. Crocins Ameliorate Experimental Immune Checkpoint Inhibitor-Related Myocarditis by Targeting the Hpx/Nrf2/HO-1 Pathway. Int. J. Mol. Sci. 2026, 27, 911. https://doi.org/10.3390/ijms27020911
Yan J, Cai Q, Li Y, Zhang Y, Zhao Y, Zhang F, Zhang H. Crocins Ameliorate Experimental Immune Checkpoint Inhibitor-Related Myocarditis by Targeting the Hpx/Nrf2/HO-1 Pathway. International Journal of Molecular Sciences. 2026; 27(2):911. https://doi.org/10.3390/ijms27020911
Chicago/Turabian StyleYan, Jing, Qingqing Cai, Yu Li, Yi Zhang, Ye Zhao, Fangbo Zhang, and Huamin Zhang. 2026. "Crocins Ameliorate Experimental Immune Checkpoint Inhibitor-Related Myocarditis by Targeting the Hpx/Nrf2/HO-1 Pathway" International Journal of Molecular Sciences 27, no. 2: 911. https://doi.org/10.3390/ijms27020911
APA StyleYan, J., Cai, Q., Li, Y., Zhang, Y., Zhao, Y., Zhang, F., & Zhang, H. (2026). Crocins Ameliorate Experimental Immune Checkpoint Inhibitor-Related Myocarditis by Targeting the Hpx/Nrf2/HO-1 Pathway. International Journal of Molecular Sciences, 27(2), 911. https://doi.org/10.3390/ijms27020911
