Time-Dependent Loss of miR-548c-3p and Activation of E2F3/FOXM1 in Breast Cancer: In Vitro and TCGA-Based Evidence for a Post-Transcriptional Mechanism
Abstract
1. Introduction
2. Results
2.1. The miRNA Expression Profiles of MCF-7 Cell Lines at Different Time Points
2.2. Results of E2F3 and FOXM1 mRNA Expressions
2.3. Possible Pathway Analysis of Differentially Expressed miRNAs
2.4. Bioinformatic Analysis Results
2.4.1. Expression and Promoter Region Methylation Results of E2F3 and FOXM1
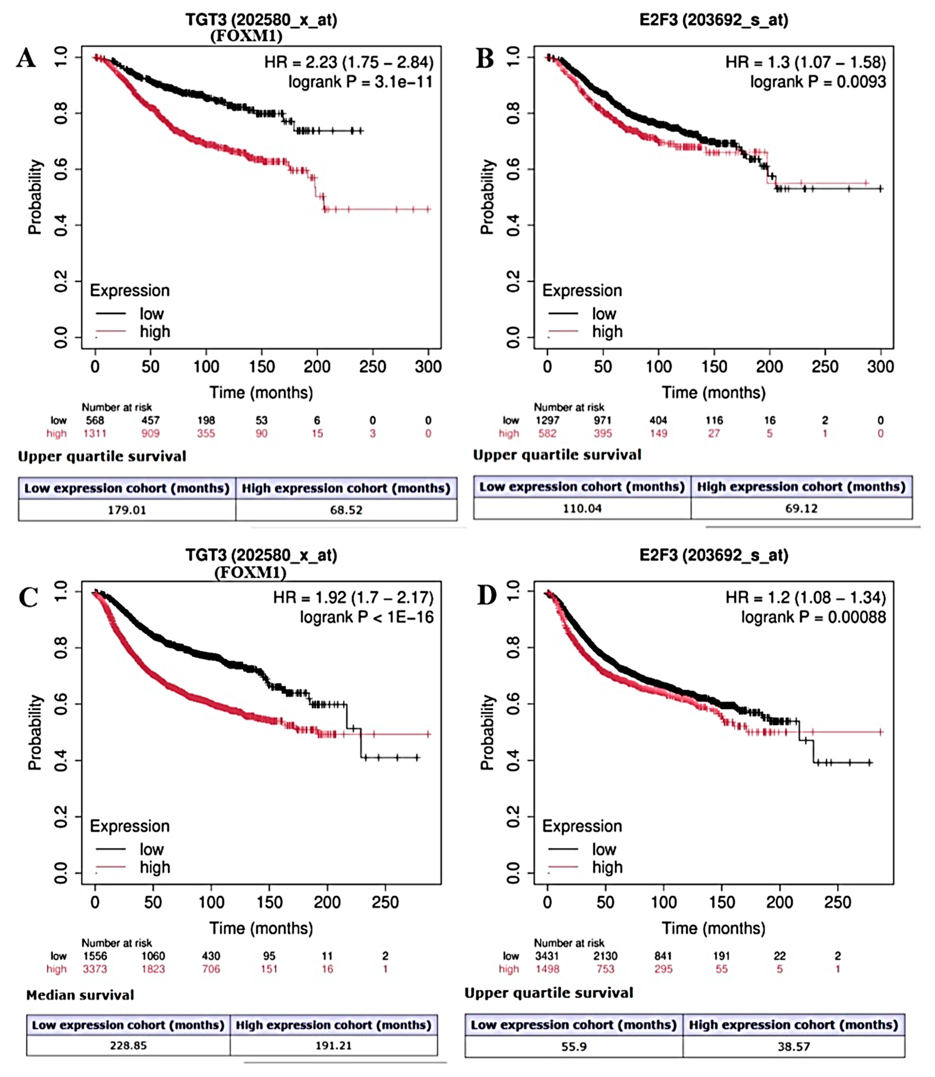
2.4.2. Survival Analysis Results of E2F3 and FOXM1
2.4.3. MicroRNA Target Analysis Result
2.4.4. Gene-Gene Interaction Result
3. Discussion
Limitations
4. Materials and Methods
4.1. Cell Culture
4.2. RNA Isolation
4.3. Complementary DNA (cDNA) Synthesis and Pre-Amplification
4.4. Multiplexed Polymerase Chain Reaction at High Throughput
4.5. Pathway Analysis of Variably Expressed miRNAs
4.6. Real-Time PCR for the mRNA Expressions of E2F3 and FOXM1
4.7. cDNA Synthesis and Quantitative Reverse Transcription-Polymerase Chain Reaction (RT-PCR)
4.8. Bioinformatics Analysis
4.8.1. Expression and Promoter Region Methylation Analysis of E2F3 and FOXM1
4.8.2. The Survival Analysis of E2F3 and FOXM1
4.8.3. The Relationship Between MiRNA vs. BRCA and MiRNA vs. RNA
4.8.4. Gene-Gene Interaction Analysis
4.9. Statistical Analysis
5. Conclusions
Author Contributions
Funding
Institutional Review Board Statement
Informed Consent Statement
Data Availability Statement
Conflicts of Interest
Abbreviations
| ER | Estrogen receptor |
| PR | Progesterone receptor |
| HER2 | Human epidermal growth factor 2-receptor |
| miRNA | microRNA |
| E2F1 | E2F transcription factor 1 |
| FOXM1 | Forkhead box M1 |
| EMT | Epithelial–mesenchymal transition |
| TNBC | Triple-negative breast cancer |
| MCF-7 | Breast cancer-derived cell line |
| TCGA | The Cancer Genome Atlas |
| KM Plotter | Kaplan–Meier Plotter |
| GEO | Gene Expression Omnibus |
| EGA | European Genome–Phenome Archive |
| Ct | Normalized threshold cycle |
| ECM | Extracellular Matrix |
References
- Fkih M’hamed, I.; Privat, M.; Ponelle, F.; Penault-Llorca, F.; Kenani, A.; Bignon, Y.J. Identification of miR-10b, miR-26a, miR-146a and miR-153 as potential triple-negative breast cancer biomarkers. Cell Oncol. 2015, 38, 433–442. [Google Scholar] [CrossRef]
- Hemmatzadeh, M.; Mohammadi, H.; Jadidi-Niaragh, F.; Asghari, S.; Yousefi, M. The role of oncomirs in the pathogenesis and treatment of breast cancer. Biomed. Pharmacother. 2016, 78, 129–139. [Google Scholar] [CrossRef]
- Peng, F.; Xiong, L.; Tang, H.; Peng, C.; Chen, J. Regulation of epithelial–mesenchymal transition through microRNAs: Clinical and biological significance of microRNAs in breast cancer. Tumor Biol. 2016, 37, 14463–14477. [Google Scholar] [CrossRef]
- Malih, S.; Saidijam, M.; Malih, N. A brief review on long noncoding RNAs: A new paradigm in breast cancer pathogenesis, diagnosis and therapy. Tumor Biol. 2016, 37, 1479–1485. [Google Scholar] [CrossRef]
- Zhang, M.H.; Man, H.T.; Zhao, X.D.; Dong, N.; Ma, S.L. Estrogen receptor-positive breast cancer molecular signatures and therapeutic potentials. Biomed. Rep. 2014, 2, 41–52. [Google Scholar] [CrossRef] [PubMed]
- Zhang, C. Advancing precision and personalized breast cancer treatment through multi-omics technologies. Am. J. Cancer Res. 2024, 14, 5614–5627. [Google Scholar] [CrossRef]
- Kudelova, E.; Smolar, M.; Holubekova, V.; Hornakova, A.; Dvorska, D.; Lucansky, V.; Koklesova, L.; Kudela, E.; Kubatka, P. Genetic heterogeneity, tumor microenvironment and immunotherapy in triple-negative breast cancer. Int. J. Mol. Sci. 2022, 23, 14937. [Google Scholar] [CrossRef] [PubMed]
- Moura, T.; Caramelo, O.; Silva, I.; Silva, S.; Gonçalo, M.; Portilha, M.A.; Moreira, J.N.; Gil, A.M.; Laranjeira, P.; Paiva, A. Early-stage luminal B-like breast cancer exhibits a more immunosuppressive tumor microenvironment than luminal A-like breast cancer. Biomolecules 2025, 15, 78. [Google Scholar] [CrossRef] [PubMed]
- Lan, M.; Lu, W.; Cai, T.; Liu, F.; Cai, Y.; Li, L.; Zou, T. Role of inflammatory microenvironment: Potential implications for improved breast cancer nano-targeted therapy. Cell. Mol. Life Sci. 2021, 78, 2105–2129. [Google Scholar] [CrossRef]
- Nascimento, C.; Ferreira, F. Tumor microenvironment of human breast cancer, and feline mammary carcinoma as a potential study model. Biochim. Biophys. Acta Rev. Cancer 2021, 1876, 188587. [Google Scholar] [CrossRef]
- Subhan, M.A.; Parveen, F.; Shah, H.; Yalamarty, S.S.K.; Ataide, J.A.; Torchilin, V.P. Recent advances with precision medicine treatment for breast cancer including triple-negative sub-type. Cancers 2023, 15, 2204. [Google Scholar] [CrossRef]
- Sun, X.; He, W.; Liu, K.; Lu, S.; Du, Z. Targeted therapy and immunotherapy for heterogeneous breast cancer. Cancers 2022, 14, 5456. [Google Scholar] [CrossRef] [PubMed]
- Loh, H.Y.; Norman, B.P.; Lai, K.S.; Rahman, N.M.; Alitheen, N.B.M.; Osman, M.A. The regulatory role of microRNAs in breast cancer. Int. J. Mol. Sci. 2019, 20, 4940. [Google Scholar] [CrossRef]
- Kurozumi, S.; Yamaguchi, Y.; Kurosumi, M.; Ohira, M.; Matsumoto, H.; Horiguchi, J. Recent trends in microRNA research into breast cancer with particular focus on the associations between microRNAs and intrinsic subtypes. J. Hum. Genet. 2017, 62, 15–24. [Google Scholar] [CrossRef]
- Muluhngwi, P.; Klinge, C.M. Roles for miRNAs in endocrine resistance in breast cancer. Endocr. Relat. Cancer 2015, 22, R279–R300. [Google Scholar] [CrossRef]
- Corcoran, C.; Friel, A.M.; Duffy, M.J.; Crown, J.; O’Driscoll, L. Intracellular and extracellular microRNAs in breast cancer. Clin. Chem. 2011, 57, 18–32. [Google Scholar] [CrossRef]
- Biswas, A.K.; Johnson, D.G. Transcriptional and nontranscriptional functions of E2F1 in response to DNA damage. Cancer Res. 2012, 72, 13–17. [Google Scholar] [CrossRef]
- Manickavinayaham, S.; Velez-Cruz, R.; Biswas, A.K.; Chen, J.; Guo, R.; Johnson, D.G. The E2F1 transcription factor and RB tumor suppressor moonlight as DNA repair factors. Cell Cycle 2020, 19, 2260–2269. [Google Scholar] [CrossRef] [PubMed]
- Wang, Y.; Deng, O.; Feng, Z.; Du, Z.; Xiong, X.; Lai, J.; Yang, X.; Xu, M.; Wang, H.; Taylor, D.; et al. RNF126 promotes homologous recombination via regulation of E2F1-mediated BRCA1 expression. Oncogene 2016, 35, 1363–1372. [Google Scholar] [CrossRef]
- Liang, T.; Guo, L.; Liu, C. Genome-wide analysis of miR-548 gene family reveals evolutionary and functional implications. J. Biomed. Biotechnol. 2012, 2012, 679563. [Google Scholar] [CrossRef] [PubMed]
- Guo, X.; Lee, S.; Cao, P. The inhibitive effect of sh-HIF1AAS2 on the proliferation, invasion, and pathological damage of breast cancer via targeting miR-548c-3p through regulating HIF-1α/VEGF pathway in vitro and in vivo. Onco Targets Ther. 2019, 12, 825–834. [Google Scholar] [CrossRef]
- Luo, Z.; Li, D.; Luo, X.; Li, L.; Gu, S.; Yu, L.; Ma, Y. Decreased expression of miR-548c-3p in osteosarcoma contributes to cell proliferation via targeting ITGAV. Cancer Biother. Radiopharm. 2016, 31, 153–158. [Google Scholar] [CrossRef] [PubMed]
- Lu, J.; Zhang, M.; Yang, X.; Cui, T.; Dai, J. MicroRNA-548c-3p inhibits T98G glioma cell proliferation and migration by downregulating c-Myb. Oncol. Lett. 2017, 13, 3866–3872. [Google Scholar] [CrossRef]
- Chang, H.; Kim, N.; Park, J.H.; Nam, R.H.; Choi, Y.J.; Lee, H.S.; Yoon, H.; Shin, C.M.; Park, Y.S.; Kim, J.M.; et al. Different microRNA expression levels in gastric cancer depending on Helicobacter pylori infection. Gut Liver 2015, 9, 188–196. [Google Scholar] [CrossRef] [PubMed]
- Tormo, E.; Pineda, B.; Serna, E.; Guijarro, A.; Ribas, G.; Fores, J.; Chirivella, E.; Climent, J.; Lluch, A.; Eroles, P. MicroRNA profile in response to doxorubicin treatment in breast cancer. J. Cell. Biochem. 2015, 116, 2061–2073. [Google Scholar] [CrossRef]
- Saffari, M.; Ghaderian, S.M.H.; Omrani, M.D.; Afsharpad, M.; Shankaie, K.; Samadaian, N. The association of miR-let-7b and miR-548 with PTEN in prostate cancer. Urol. J. 2019, 16, 267–273. [Google Scholar]
- Ni, X.F.; Zhao, L.H.; Li, G.; Hou, M.; Su, M.; Zou, C.L.; Deng, X. MicroRNA-548-3p and microRNA-576-5p enhance the migration and invasion of esophageal squamous cell carcinoma cells via NRIP1 down-regulation. Neoplasma 2018, 65, 881–887. [Google Scholar] [CrossRef]
- Du, Y.; Zhu, J.; Chu, B.F.; Yang, Y.P.; Zhang, S.L. MiR-548c-3p suppresses the progression of papillary thyroid carcinoma via inhibition of the HIF1α-mediated VEGF signaling pathway. Eur. Rev. Med. Pharmacol. Sci. 2019, 23, 6570–6578. [Google Scholar] [PubMed]
- Bozkurt, S.B.; Ozturk, B.; Kocak, N.; Unlu, A. Differences of time-dependent microRNA expressions in breast cancer cells. Noncoding RNA Res. 2020, 6, 15–22. [Google Scholar] [CrossRef]
- Amorim, M.; Salta, S.; Henrique, R.; Jerónimo, C. Decoding the usefulness of non-coding RNAs as breast cancer markers. J. Transl. Med. 2016, 14, 265. [Google Scholar] [CrossRef]
- Chubb, J.R.; Trcek, T.; Shenoy, S.M.; Singer, R.H. Transcriptional pulsing of a developmental gene. Curr. Biol. 2006, 16, 1018–1025. [Google Scholar] [CrossRef] [PubMed]
- Tan, P.T.; Wen, L.J.; Li, H.N.; Chai, S.W. MiR-548c-3p inhibits the proliferation, migration and invasion of human breast cancer cells by targeting E2F3. Cytotechnology 2020, 72, 751–761. [Google Scholar] [CrossRef]
- Shi, Y.; Qiu, M.; Wu, Y.; Hai, L. MiR-548-3p functions as an anti-oncogenic regulator in breast cancer. Biomed. Pharmacother. 2015, 75, 111–116. [Google Scholar] [CrossRef]
- Wei, L.; Bai, Y.; Na, L.; Sun, Y.; Zhao, C.; Wang, W. E2F3 induces DNA damage repair, stem-like properties and therapy resistance in breast cancer. Biochim. Biophys. Acta Mol. Basis Dis. 2023, 1869, 166816. [Google Scholar] [CrossRef]
- Wu, L.; de Bruin, A.; Wang, H.; Simmons, T.; Cleghorn, W.; Goldenberg, L.E.; Sites, E.; Sandy, A.; Trimboli, A.; Fernandez, S.A.; et al. Selective roles of E2Fs for ErbB2- and Myc-mediated mammary tumorigenesis. Oncogene 2015, 34, 119–128. [Google Scholar] [CrossRef] [PubMed][Green Version]
- Fujiwara, K.; Yuwanita, I.; Hollern, D.P.; Andrechek, E.R. Prediction and genetic demonstration of a role for activator E2Fs in Myc-induced tumors. Cancer Res. 2011, 71, 1924–1932. [Google Scholar] [CrossRef] [PubMed]
- Andrechek, E.R. HER2/Neu tumorigenesis and metastasis is regulated by E2F activator transcription factors. Oncogene 2015, 34, 217–225. [Google Scholar] [CrossRef]
- Sun, Y.; Wang, Z.; Na, L.; Dong, D.; Wang, W. FZD5 contributes to TNBC proliferation, DNA damage repair and stemness. Cell Death Dis. 2020, 11, 1060. [Google Scholar] [CrossRef]
- Ziegler, Y.; Laws, M.J.; Sanabria Guillen, V.; Kim, S.H.; Dey, P.; Smith, B.P.; Gong, P.; Bindman, N.; Zhao, Y.; Carlson, K.; et al. Suppression of FOXM1 activities and breast cancer growth in vitro and in vivo by a new class of compounds. npj Breast Cancer 2019, 5, 45. [Google Scholar] [CrossRef]
- Zhang, B.; Pan, X.; Cobb, G.P.; Anderson, T.A. MicroRNAs as oncogenes and tumor suppressors. Dev. Biol. 2007, 302, 1–12. [Google Scholar] [CrossRef]
- Ng, E.K.; Wong, C.L.; Ma, E.S.; Kwong, A. MicroRNAs as new players for diagnosis, prognosis, and therapeutic targets in breast cancer. J. Oncol. 2009, 2009, 305420. [Google Scholar] [CrossRef] [PubMed]
- Li, G.; Wan, Y.; Jiao, A.; Jiang, K.; Cui, G.; Tang, J.; Yu, S.; Hu, Z.; Zhao, S.; Yi, Z.; et al. Breaking Boundaries: Chronic Diseases and the Frontiers of Immune Microenvironments. Med. Res. 2025, 1, 62–102. [Google Scholar] [CrossRef]
- Lin, A.; Xiong, M.; Jiang, A.; Huang, L.; Wong, H.Z.H.; Feng, S.; Zhang, C.; Li, Y.; Chen, L.; Chi, H.; et al. The Microbiome in Cancer: Mechanisms, Interactions, and Therapeutic Opportunities. iMeta 2025, 4, e70070. [Google Scholar] [CrossRef]
- Chandrashekar, D.S.; Bashel, B.; Balasubramanya, S.A.H.; Creighton, C.J.; Ponce-Rodriguez, I.; Chakravarthi, B.V.S.K.; Varambally, S. UALCAN: A portal for facilitating tumor subgroup gene expression and survival analyses. Neoplasia 2017, 19, 649–658. [Google Scholar] [CrossRef]
- Gyorffy, B. Transcriptome-level discovery of survival-associated biomarkers and therapy targets in non-small-cell lung cancer. Br. J. Pharmacol. 2024; in press. [Google Scholar]
- McGeary, S.E.; Lin, K.S.; Shi, C.Y.; Pham, T.M.; Bisaria, N.; Kelley, G.M.; Bartel, D.P. The biochemical basis of microRNA targeting efficacy. Science 2019, 366, eaav1741. [Google Scholar] [CrossRef]
- Li, J.H.; Liu, S.; Zhou, H.; Qu, L.H.; Yang, J.H. starBase v2.0: Decoding miRNA–ceRNA, miRNA–ncRNA and protein–RNA interaction networks from large-scale CLIP-seq data. Nucleic Acids Res. 2014, 42, D92–D97. [Google Scholar] [CrossRef] [PubMed]
- Warde-Farley, D.; Donaldson, S.L.; Comes, O.; Zuberi, K.; Badrawi, R.; Chao, P.; Franz, M.; Grouios, C.; Kazi, F.; Lopes, C.T.; et al. The GeneMANIA prediction server: Biological network integration for gene prioritization and predicting gene function. Nucleic Acids Res. 2010, 38, W214–W220. [Google Scholar] [CrossRef]








| miRNA | miRNA | miRNA |
|---|---|---|
| hsa-miR-18a-5p | hsa-miR-25-3p | hsa-miR-152 |
| hsa-miR-193b-3p | hsa-miR-26a-5p | hsa-miR-155-5p |
| hsa-miR-195-5p | hsa-miR-26b-5p | hsa-miR-15a-5p |
| hsa-miR-199a-3p | hsa-miR-27a-3p | hsa-miR-15b-5p |
| hsa-miR-199a-5p | hsa-miR-27b-3p | hsa-miR-16-5p |
| hsa-miR-19a-3p | hsa-miR-29a-3p | hsa-miR-17-5p |
| hsa-miR-19b-3p | hsa-miR-29b-3p | hsa-miR-181a-5p |
| hsa-miR-200a-3p | hsa-miR-29c-3p | hsa-miR-181b-5p |
| hsa-miR-200b-3p | hsa-miR-31-5p | hsa-miR-181c-5p |
| hsa-miR-200c-3p | hsa-miR-328 | hsa-miR-181d |
| hsa-miR-202-3p | hsa-miR-340-5p | hsa-miR-182-5p |
| hsa-miR-203a | hsa-miR-424-5p | hsa-miR-186-5p |
| hsa-let-7a-5p | hsa-miR-132-3p | hsa-miR-10b-5p |
| hsa-let-7b-5p | hsa-miR-129-5p | hsa-miR-125b-5p |
| hsa-let-7c | hsa-miR-130a-3p | hsa-miR-125b-1-3p |
| hsa-let-7d-5p | hsa-miR-130b-3p | hsa-miR-128 |
| hsa-miR-429 | hsa-miR-140-5p | hsa-miR-204-5p |
| hsa-miR-485-5p | hsa-miR-141-3p | hsa-miR-206 |
| hsa-miR-489 | hsa-miR-145-5p | hsa-miR-20a-5p |
| hsa-miR-495-3p | hsa-miR-148a-3p | hsa-miR-20b-5p |
| hsa-miR-497-5p | hsa-miR-1 | cel-miR-39-3p |
| hsa-miR-548c-3p | hsa-miR-100-5p | cel-miR-39-3p |
| hsa-miR-607 | hsa-miR-107 | SNORD61 |
| hsa-miR-613 | hsa-miR-10a-5p | SNORD68 |
| hsa-miR-7-5p | hsa-miR-21-5p | SNORD72 |
| hsa-miR-93-5p | hsa-miR-210 | SNORD95 |
| hsa-miR-96-5p | hsa-miR-212-3p | SNORD96A |
| hsa-miR-98-5p | hsa-miR-214-3p | RNU6-2 |
| hsa-let-7e-5p | hsa-miR-22-3p | |
| hsa-let-7f-5p | hsa-miR-222-3p | |
| hsa-let-7g-5p | hsa-miR-223-3p | |
| hsa-let-7i-5p | hsa-miR-205-5p |
| Primer | Forward | Reverse |
|---|---|---|
| E2F3 | GTCATCAGTACCTCTCAGATGG | GCAGACCAAGAGACGTATCATA |
| FOXM1 | GAAGAACTCCACCCGCCACAACC | TGCTGCTGCTTAAACACCTGGTC |
| GAPDH | CAACGAATTTGGCTACAGCA | AAACTGTGAAGAGGGGCAGA |
Disclaimer/Publisher’s Note: The statements, opinions and data contained in all publications are solely those of the individual author(s) and contributor(s) and not of MDPI and/or the editor(s). MDPI and/or the editor(s) disclaim responsibility for any injury to people or property resulting from any ideas, methods, instructions or products referred to in the content. |
© 2026 by the authors. Licensee MDPI, Basel, Switzerland. This article is an open access article distributed under the terms and conditions of the Creative Commons Attribution (CC BY) license.
Share and Cite
Bozkurt, B.; Ayan, D.; Bulut, S.M. Time-Dependent Loss of miR-548c-3p and Activation of E2F3/FOXM1 in Breast Cancer: In Vitro and TCGA-Based Evidence for a Post-Transcriptional Mechanism. Int. J. Mol. Sci. 2026, 27, 1052. https://doi.org/10.3390/ijms27021052
Bozkurt B, Ayan D, Bulut SM. Time-Dependent Loss of miR-548c-3p and Activation of E2F3/FOXM1 in Breast Cancer: In Vitro and TCGA-Based Evidence for a Post-Transcriptional Mechanism. International Journal of Molecular Sciences. 2026; 27(2):1052. https://doi.org/10.3390/ijms27021052
Chicago/Turabian StyleBozkurt, Buket, Durmus Ayan, and Seyyid Mehmet Bulut. 2026. "Time-Dependent Loss of miR-548c-3p and Activation of E2F3/FOXM1 in Breast Cancer: In Vitro and TCGA-Based Evidence for a Post-Transcriptional Mechanism" International Journal of Molecular Sciences 27, no. 2: 1052. https://doi.org/10.3390/ijms27021052
APA StyleBozkurt, B., Ayan, D., & Bulut, S. M. (2026). Time-Dependent Loss of miR-548c-3p and Activation of E2F3/FOXM1 in Breast Cancer: In Vitro and TCGA-Based Evidence for a Post-Transcriptional Mechanism. International Journal of Molecular Sciences, 27(2), 1052. https://doi.org/10.3390/ijms27021052
