Potential Bioactive Function of Microbial Metabolites as Inhibitors of Tyrosinase: A Systematic Review
Abstract
1. Introduction






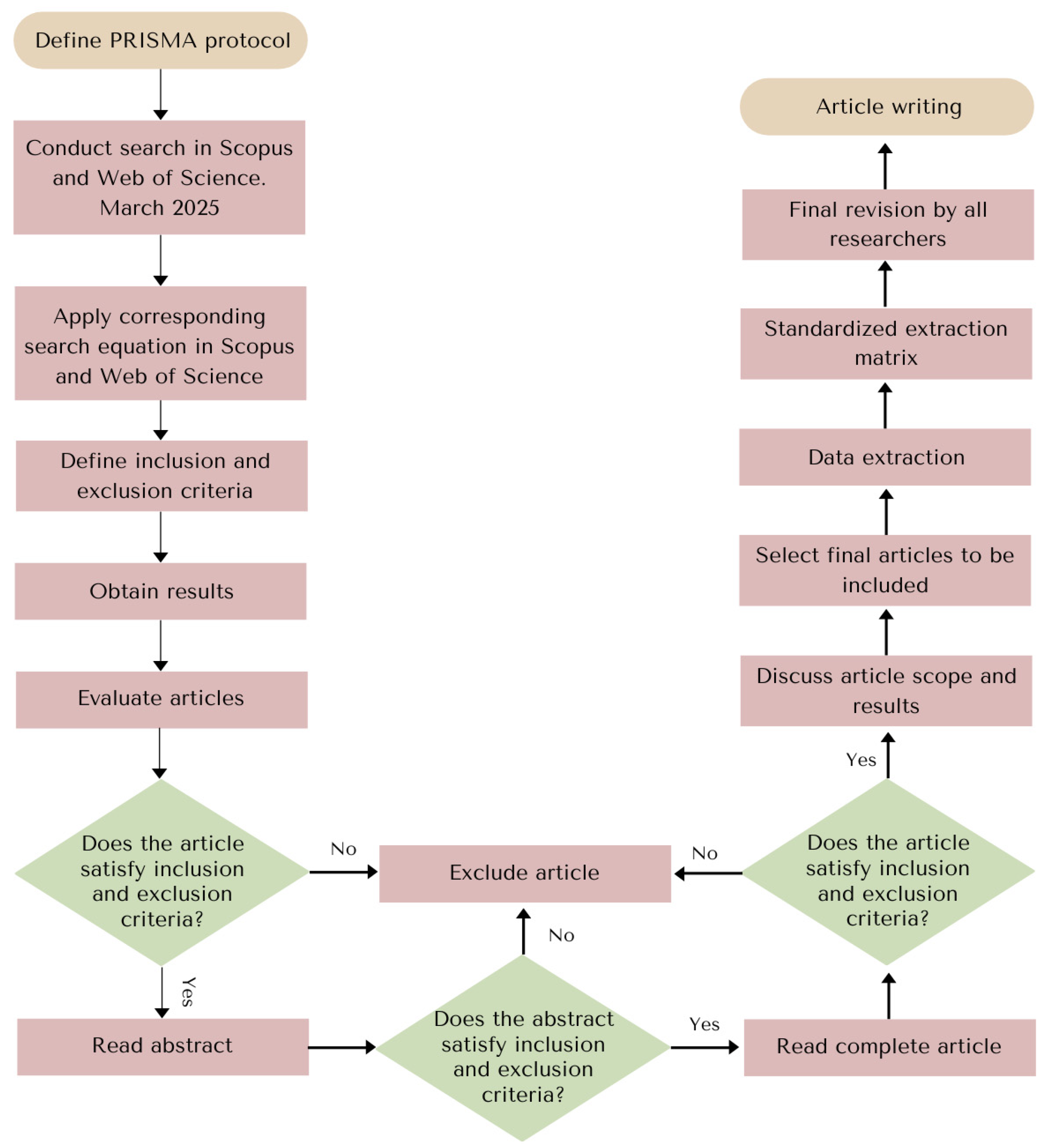
2. Methods
2.1. Search Strategy
2.2. Bibliography Selection
3. Results and Discussion
3.1. Selection Process and Selected Articles Overview
| Enzyme Source | Substrate | Assay Type | Activity Metric | Key Methodological Remark | Reference |
|---|---|---|---|---|---|
| Mushroom tyrosinase | L-DOPA | In vitro enzymatic (colorimetric) | IC50 (mM) | Standard mushroom tyrosinase assay; no kinetic parameters or inhibition mechanism reported | [29] |
| Mushroom tyrosinase | α-glucosidase | In vitro enzymatic (dual-enzyme colorimetric) | IC50 (mM) | Mixed enzymatic system complicates attribution of inhibitory specificity toward tyrosinase | [39] |
| Potato tyrosinase | L-tyrosine | In vitro enzymatic (kinetic) | IC50 μM) | Non-competitive inhibition determined kinetically, but no structural or docking validation | [40] |
| Mushroom tyrosinase | L-tyrosine | In vitro enzymatic (colorimetric) | IC50 μM) | Activity reported for a mixture of structurally related compounds; individual contributions unresolved | [41] |
| Mushroom tyrosinase | L-tyrosine | In vitro enzymatic + molecular docking | Kinetic parameters (mM) | Competitive inhibition supported by docking, but enzyme source remains non-human | [30] |
| Mushroom tyrosinase | L-tyrosine | In vitro enzymatic + cellular + zebrafish | IC50 μM); gene expression | Combines enzymatic inhibition with transcriptional downregulation, improving biological relevance | [42] |
| Extracellular tyrosinase (melC2) in Streptomyces avermitilis | L-DOPA | Gene knockout + enzymatic oxidation assays | Qualitative activity change | Focuses on transcriptional regulation rather than direct enzyme inhibition | [43] |
| Mushroom tyrosinase | L-tyrosine | In vitro enzymatic (culture supernatant) | % inhibition | Crude extract; activity decreases over time, suggesting instability or degradation of active metabolites | [44] |
| Streptomyces bikiniensis-based melanin assay | Melanin biosynthesis pathway | Indirect bioassay | % inhibition | Indirect inhibition model; no isolated enzyme or defined substrate | [45] |
| Tyrosinase-related biofilm assay | Not specified | Biofilm inhibition assay | LOEC μg/mL) | Tyrosinase inhibition inferred indirectly; not a classical enzymatic assay | [46] |
| Mushroom tyrosinase | L-tyrosine | In vitro enzymatic (crude extract) | Qualitative inhibition | Absence of quantified activity metrics and lack of compound characterization | [47] |
3.2. Microbial Metabolite Identification on Food, Cosmeceutical, and Health Industries
| Inhibitor (Compound) | Microbial Source | IC50 Value | Mechanism of Inhibition | Comparative Reference | Application | Reference |
|---|---|---|---|---|---|---|
| Indole-3-carbaldehyde | Fungus YL185 | 1.3 mM | Not specified | Kojic acid (unreported inhibitory concentration) | Cosmetics, food, medical | [29] |
| p-coumaric acid | Spirulina spp. | 52.71 ± 3.01 mM | Reversible mixed-type inhibition (Cu2+ interactions) | Kojic acid and ascorbic acid (unreported inhibitory concentration) | Food, cosmetics | [39] |
| Methyl lucidenate F | Ganoderma lucidum | 0.03223 mM (Ki = 0.01922 mM) a | Non-competitive inhibition | Kojic acid (18.4 µM) | Cosmetics, skin whitening | [40] |
| Kyonggic acids (1–4) | Massilia kyonggiensis | 0.166–0.355 mM a | Not specified | Kojic acid (220 µM) | Cosmetics | [41] |
| YL-6 peptide | Schizophyllum commune | 0–8 mM (kinetic) | Competitive inhibition (H-bond and hydrophobic site binding) | Kojic acid (16.3 µM) | Cosmetics, therapeutic | [30] |
| AK-12 peptide (AILQSYSAGKTK) | Synechococcus sp. | 0.4897 mM (monophenolase), 0.7656 mM (diphenolase) a | Competitive inhibition; downregulation of MITF, TYR, TYRP1, TRP-2 | Kojic acid (30.6 µM) | Medical, cosmetic | [42] |
| Daidzein/3ODI | Streptomyces avermitilis | Gene regulation (non-enzymatic inhibition) | Gene-regulated (non-enzymatic inhibition) | Extracellular tyrosinase (melC2) knockout | Medical | [43] |
| Culture supernatant (uncharacterized metabolite) | Trichoderma sp. H1-7 | Not specified | Unknown (activity decreased after 3 days) | Kojic acid (Unreported inhibitory concentration) | Food, cosmetic | [44] |
| Crude microalgal extracts | Marine microalgae (28 strains) | <30% inhibition | Indirect inhibition (melanin pathway) | Not reported | Food, cosmetic | [45] |
| Ciclo-L-Trp-L-Ala and related dipeptides | Eurotium chevalieri MUT 2316 | 0.001 µg/mL (3.632 × 10−6 mM) b (LOEC) | Not specified | No control used | Marine antifouling | [46] |
| Crude culture extract | Kitasatospora sp. SBSK430 | Not reported | Not specified | Kojic acid (unreported inhibitory concentration) | Medical | [47] |
4. Conclusions
Author Contributions
Funding
Informed Consent Statement
Data Availability Statement
Acknowledgments
Conflicts of Interest
References
- Zou, C.; Li, J.; Wang, Y.; Zhang, Y.; Liu, X.; Chen, H.; Sun, Y.; Zhao, L.; Xu, F.; Wang, Q.; et al. Determination of the bridging ligand in the active site of tyrosinase. Molecules 2017, 22, 1836. [Google Scholar] [CrossRef] [PubMed]
- Claus, H.; Decker, H. Bacterial tyrosinases. Syst. Appl. Microbiol. 2006, 29, 3–14. [Google Scholar] [CrossRef] [PubMed]
- Lai, X.; Wichers, H.J.; Soler-Lopez, M.; Dijkstra, B.W. Structure of human tyrosinase-related protein 1 reveals a binuclear zinc active site important for melanogenesis. Angew. Chem. Int. Ed. 2017, 56, 9812–9815. [Google Scholar] [CrossRef]
- RCSB Protein Data Bank. Crystal Structure of the Oxy-Form of the Copper-Bound Streptomyces castaneoglobisporus Tyrosinase Complexed with a Caddie Protein (PDB ID: 1WX4). Available online: https://www.rcsb.org/structure/1WX4 (accessed on 11 November 2025).
- RCSB Protein Data Bank. Crystal Structure of Human Tyrosinase-Related Protein 1 (PDB ID: 5M8L). Available online: https://www.rcsb.org/structure/5M8L (accessed on 11 November 2025).
- Huang, R.; Wang, Y.; Teng, H.; Xu, M.; He, K.; Shen, Y.; Guo, G.; Feng, X.; Li, T.; Zhou, B.; et al. Tyrosinase in melanoma inhibits anti-tumor activity of PD-1-deficient T cells. BMC Biol. 2025, 23, 135, Correction in BMC Biol. 2025, 23, 165. https://doi.org/10.1186/s12915-025-02285-w. [Google Scholar] [CrossRef]
- Fekry, M.; Karki, R.; Ebrahim, H.; El-Sayed, A.; Schmidt, M.; Meier-Kriesche, S.; Fischer, M.; Abdel-Hady, A.; Gohlke, H.; Rompel, A.; et al. The crystal structure of tyrosinase from Verrucomicrobium spinosum reveals it to be an atypical bacterial tyrosinase. Biomolecules 2023, 13, 1360. [Google Scholar] [CrossRef]
- Seruggia, D.; Fernández, A.; Cantero, M.; Pelczar, P.; Montoliu, L.; Bovolenta, P.; Esteban, J.A.; Borrell, V.; Cobo, M.; Gómez-Skarmeta, J.L.; et al. Boundary sequences flanking the mouse tyrosinase locus ensure faithful pattern of gene expression. Sci. Rep. 2020, 10, 15494. [Google Scholar] [CrossRef]
- Murisier, F.; Guichard, S.; Beermann, F. The tyrosinase enhancer is activated by Sox10 and Mitf in mouse melanocytes. Pigment Cell Res. 2007, 20, 173–184. [Google Scholar] [CrossRef]
- D’Mello, S.; Finlay, G.; Baguley, B.; Askarian-Amiri, M. Signaling pathways in melanogenesis. Int. J. Mol. Sci. 2016, 17, 1144. [Google Scholar] [CrossRef]
- Yasumoto, K.; Yokoyama, K.; Takahashi, K.; Tomita, Y.; Shibahara, S. Functional analysis of microphthalmia-associated transcription factor in pigment cell-specific transcription of the human tyrosinase family genes. J. Biol. Chem. 1997, 272, 503–509. [Google Scholar] [CrossRef]
- Qian, W.; Liu, W.; Zhu, D.; Jin, H.; Zhang, H.; Zhang, Y.; Wang, Z.; Liu, Y.; Li, X.; Chen, W.; et al. Natural skin whitening compounds for the treatment of melanogenesis. Exp. Ther. Med. 2020, 20, 173–185. [Google Scholar] [CrossRef] [PubMed]
- Wang, X.; Li, Y.; Zhang, Y.; Liu, H.; Zhao, J.; Chen, Z.; Sun, Q.; Zhou, Y.; Xu, L.; Wu, M.; et al. LEF-1 regulates tyrosinase gene transcription in vitro. PLoS ONE 2015, 10, e0143142. [Google Scholar] [CrossRef]
- Kus, N.J.; Dolinska, M.B.; Young, K.L.; Dimitriadis, E.K.; Wingfield, P.T.; Sergeev, Y.V. Membrane-associated human tyrosinase is an enzymatically active monomeric glycoprotein. PLoS ONE 2018, 13, e0198247. [Google Scholar] [CrossRef]
- Cozzi, N.V.; Foley, K.F. Methcathinone is a substrate for the serotonin uptake transporter. Pharmacol. Toxicol. 2003, 93, 219–225. [Google Scholar] [CrossRef]
- Pretzler, M.; Etschmann, M.; Koller, J.; Wichers, H.J.; Rompel, A.; Decker, H.; Claus, H.; Mauracher, S.G.; Bischof, L.F.; Ludwig, R.; et al. Mushroom tyrosinase: Six isoenzymes catalyzing distinct reactions. ChemBioChem 2024, 25, e202400050. [Google Scholar] [CrossRef]
- Ismaya, W.T.; Rozeboom, H.J.; Weijn, A.; Mes, J.J.; Fusetti, F.; Wichers, H.J.; Dijkstra, B.W. Crystal structure of Agaricus bisporus mushroom tyrosinase: Identity of the tetramer subunits and interaction with tropolone. Biochemistry 2011, 50, 5477–5486. [Google Scholar] [CrossRef]
- Espín, J.C.; Wichers, H.J. Activation of a latent mushroom (Agaricus bisporus) tyrosinase isoform by sodium dodecyl sulfate (SDS). J. Agric. Food Chem. 1999, 47, 3518–3525. [Google Scholar] [CrossRef]
- Morosanova, M.A.; Fedorova, T.V.; Polyakova, A.S.; Morosanova, E.I. Agaricus bisporus crude extract: Characterization and analytical application. Molecules 2020, 25, 5996. [Google Scholar] [CrossRef] [PubMed]
- Zhang, S. Recent advances of polyphenol oxidases in plants. Molecules 2023, 28, 2158. [Google Scholar] [CrossRef]
- Sullivan, M.L. Beyond brown: Polyphenol oxidases as enzymes of plant specialized metabolism. Front. Plant Sci. 2015, 5, 783. [Google Scholar] [CrossRef] [PubMed]
- Zou, H.; Li, Y.; Wang, Y.; Liu, X.; Zhang, Y.; Sun, J.; Chen, Q.; Zhao, M.; Liu, H.; Wu, Z.; et al. Revisiting the advancements in plant polyphenol oxidases research. Sci. Hortic. 2025, 341, 113960. [Google Scholar] [CrossRef]
- Tilley, A.; McHenry, M.P.; McHenry, J.A.; Solah, V.; Bayliss, K.; Thompson, M.; Harris, R.; Wilson, J.; Grant, S.; Patel, N.; et al. Enzymatic browning: The role of substrates in polyphenol oxidase-mediated browning. Curr. Res. Food Sci. 2023, 7, 100623. [Google Scholar] [CrossRef]
- Peng, Y.; Liu, J.; Ye, Y.; Zhao, Y. Dispersive turning point effect-based microfiber wide-range water temperature sensor. Measurement 2024, 227, 114321. [Google Scholar] [CrossRef]
- Moon, K.M.; Kwon, E.-B.; Lee, B.; Kim, C.Y. Recent trends in controlling the enzymatic browning of fruit and vegetable products. Molecules 2020, 25, 2754. [Google Scholar] [CrossRef]
- Pillaiyar, T.; Manickam, M.; Namasivayam, V. Skin whitening agents: Medicinal chemistry perspective of tyrosinase inhibitors. J. Enzyme Inhib. Med. Chem. 2017, 32, 403–425. [Google Scholar] [CrossRef]
- Pouchieu, C.; Mazières, J.; De La Torre, R.; Pérez, M.; Duteil, L.; Lambert, J.; Rolland, A.; Galinier, A.; Dal Farra, C.; Bernerd, F.; et al. Effect of an oral formulation on skin lightening: From in vitro tyrosinase inhibition to a double-blind randomized clinical study. Cosmetics 2023, 10, 143. [Google Scholar] [CrossRef]
- Saki, N.; Modabber, V.; Kasraei, H.; Kasraee, B. Successful treatment of solar lentigines by topical application of stabilized cysteamine. Health Sci. Rep. 2024, 7, e1930. [Google Scholar] [CrossRef] [PubMed]
- Shimizu, K.; Kondo, R.; Sakai, K.; Takeda, N.; Nagahama, T.; Fukui, K.; Hattori, S.; Kurita, N.; Yamamoto, S.; Fujii, T.; et al. Indole-3-carbaldehyde: A tyrosinase inhibitor from fungus YL185. J. Wood Sci. 2003, 49, 349–354. [Google Scholar] [CrossRef]
- Arnamwong, S.; Srisuwan, S.; Charoensuk, P.; Thammasirirak, S.; Klaynongsruang, S.; Sritularak, B.; Mahidol, C.; Ruchirawat, S.; Rungrotmongkol, T.; Sabuakham, S.; et al. Optimization, isolation and molecular mechanisms of a tyrosinase inhibitory peptide in melanoma cells. Biocatal. Agric. Biotechnol. 2024, 61, 103363. [Google Scholar] [CrossRef]
- Slominski, A.; Tobin, D.J.; Shibahara, S.; Wortsman, J. Melanin pigmentation in mammalian skin and its hormonal regulation. Physiol. Rev. 2004, 84, 1155–1228. [Google Scholar] [CrossRef]
- Motamedi Shakib, N.; Hosseini, S.M.; Moradi, M.; Safari, M.; Foroumadi, A.; Emami, S.; Shafiee, A.; Khoobi, M.; Alizadeh, A.; Mahdavi, M.; et al. Development of novel triazole-based tyrosinase inhibitors. Sci. Rep. 2025, 15, 25382. [Google Scholar] [CrossRef]
- Mayer, A.M. Polyphenol oxidases in plants and fungi: Going places? Phytochemistry 2006, 67, 2318–2331. [Google Scholar] [CrossRef] [PubMed]
- d’Ischia, M.; Wakamatsu, K.; Cicoira, F.; Ito, S.; Napolitano, A.; Pezzella, A.; Land, E.J.; Ramsden, C.A.; Riley, P.A. Melanins and melanogenesis: From pigment cells to human health. Pigment Cell Melanoma Res. 2015, 28, 520–544. [Google Scholar] [CrossRef] [PubMed]
- Le Roes-Hill, M.; Khumalo, M.; Mathiba, K.; Brady, D.; Burton, S.; Harrison, S.; Cowan, D.; Burton, S.G.; Piater, L.; Viljoen-Bloom, M.; et al. Partial purification and characterization of actinomycete tyrosinases. J. Mol. Catal. B Enzym. 2015, 122, 353–364. [Google Scholar] [CrossRef]
- Carballo-Carbajal, I.; Laguna, A.; Romero-Giménez, J.; Cuadros, T.; Bové, J.; Martínez-Vicente, M.; Parent, A.; Gonzalez-Sepulveda, M.; Peñuelas, N.; Torra, A.; et al. Brain tyrosinase overexpression implicates neuromelanin in Parkinson’s disease. Nat. Commun. 2019, 10, 973. [Google Scholar] [CrossRef]
- Hasegawa, T. Tyrosinase-expressing neuronal cell line as an in vitro model of Parkinson’s disease. Int. J. Mol. Sci. 2010, 11, 1082–1089. [Google Scholar] [CrossRef]
- Page, M.J.; McKenzie, J.E.; Bossuyt, P.M.; Boutron, I.; Hoffmann, T.C.; Mulrow, C.D.; Shamseer, L.; Tetzlaff, J.M.; Akl, E.A.; Brennan, S.E.; et al. The PRISMA 2020 statement: An updated guideline for reporting systematic reviews. BMJ 2021, 372, n160. [Google Scholar] [CrossRef] [PubMed]
- Li, J.; Zhang, L.; Wang, Y.; Chen, X.; Sun, H.; Zhao, Y.; Wu, X.; Liu, H.; Zhou, Y.; Huang, Z.; et al. Isolation and tyrosinase inhibition of phenolic substances from Spirulina. J. Food Biochem. 2020, 44, e13356. [Google Scholar] [CrossRef]
- Zhang, L.; Tu, Z.; Xie, X.; Wang, H.; Li, J.; He, Y.; Chen, X.; Wu, Y.; Huang, Q.; Jiang, Y.; et al. Methyl lucidenate F is a novel tyrosinase inhibitor. Biotechnol. Bioprocess Eng. 2011, 16, 457–461. [Google Scholar] [CrossRef]
- Steinmetz, T.; Hoffmann, T.; Müller, R.; Franke, J.; Kaysser, L.; König, C.; Schneider, P.; Kaiser, M.; Rosenbaum, M.A.; Müller, M.; et al. Molecular networking-guided discovery of kyonggic acids. Eur. J. Org. Chem. 2024, 27, e202400017. [Google Scholar] [CrossRef]
- Srimongkol, P.; Kanjana-Opas, A.; Chaiyaso, T.; Sittiprapaporn, P.; Charoensuk, P.; Rungrotmongkol, T.; Mahidol, C.; Sritularak, B.; Klaynongsruang, S.; Charoensri, S.; et al. Marine microalgal peptides inhibit melanogenesis. Algal Res. 2024, 82, 103601. [Google Scholar] [CrossRef]
- Pandey, B.P.; Lee, N.; Kim, E.J.; Kim, J.S.; Kim, Y.J.; Lee, S.H.; Kim, H.S.; Park, S.H.; Kim, D.M.; Kim, B.G.; et al. Effect of extracellular tyrosinase on daidzein hydroxylation. Appl. Biochem. Biotechnol. 2018, 184, 1036–1046. [Google Scholar] [CrossRef]
- Yamada, K.; Takahashi, S.; Matsuda, H.; Suzuki, T.; Kondo, A.; Shimizu, S.; Okada, S.; Nakamura, K.; Matsumura, M.; Yamazaki, M.; et al. Phenotypic characterization of inhibitor-producing marine fungi. Fish. Sci. 2008, 74, 662–669. [Google Scholar] [CrossRef]
- Wachi, Y.; Shima, J.; Kato, Y.; Kimura, A.; Ishikawa, T.; Tazaki, H.; Morita, H.; Matsuda, H.; Suzuki, T.; Yamamoto, S.; et al. Screening of melanin biosynthesis inhibitors from marine microalgae. Biotechnol. Tech. 1995, 9, 633–636. [Google Scholar] [CrossRef]
- Bovio, E.; Piazza, V.; Varese, G.C.; Salis, A.; Perugini, M.; Colombo, E.; Sangiovanni, E.; Dell’Agli, M.; Cattaneo, F.; Dallavalle, S.; et al. Bioactive molecules from Eurotium chevalieri. Mar. Biotechnol. 2019, 21, 743–752. [Google Scholar] [CrossRef]
- Fernandes, M.S.; Kerkar, S. Enhancing anti-tyrosinase activity of Kitasatospora sp. Curr. Sci. 2019, 116, 649. [Google Scholar] [CrossRef]
- Mahalapbutr, P.; Nuramrum, N.; Rungrotmongkol, T.; Kongtaworn, N.; Sabuakham, S.; Charoensuk, P.; Mahidol, C.; Sritularak, B.; Klaynongsruang, S.; Chaiyaso, T.; et al. Structural dynamics and susceptibility of isobutylamido thiazolyl resorcinol (Thiamidol™) against human and mushroom tyrosinases. J. Biomol. Struct. Dyn. 2023, 41, 11810–11817. [Google Scholar] [CrossRef]
- Oyama, T.; Yoshimori, A.; Ogawa, H.; Shirai, Y.; Abe, H.; Kamiya, T.; Tanuma, S.-I.; Suzuki, H.; Kato, T.; Nakamura, M.; et al. The structural differences between mushroom and human tyrosinase clarified by investigating the inhibitory activities of stilbenes. J. Mol. Struct. 2023, 1272, 134180. [Google Scholar] [CrossRef]
- Cer, R.Z.; Mudunuri, U.; Stephens, R.; Lebeda, F.J. IC50-to-Ki: A web-based tool for converting IC50 to Ki values for inhibitors of enzyme activity and ligand binding. Nucleic Acids Res. 2009, 37, W441–W445. [Google Scholar] [CrossRef]
- Couteau, C.; Coiffard, L. Overview of skin whitening agents. Cosmetics 2016, 3, 27. [Google Scholar] [CrossRef]
- Wawrzyńczak, A. Cosmetic products for melasma treatment. Cosmetics 2023, 10, 86. [Google Scholar] [CrossRef]
- Das, A.; Ghosh, A.; Kumar, P. Chemical leukoderma due to hydroquinone. Indian J. Dermatol. Venereol. Leprol. 2019, 85, 567. [Google Scholar] [CrossRef]
- Menke, H.E.; van de Kerkhof, P.C.; Waal, R.W. Exogenous ochronosis, a side effect of hydroquinone ointments. Ned. Tijdschr. Geneeskd. 1992, 136, 187–190. [Google Scholar]
- Cabanillas-Bojórquez, L.A.; Gómez-Gil, B.; Castro-Mejía, J.L.; Álvarez-Gutiérrez, P.E.; Rodríguez-Sifuentes, L.; Pérez-Bravo, D.; Rojas-López, M.; Ibarra, J.E.; Martínez-Porchas, M.; Vega-Castillo, A.; et al. Microbial production of bioactive compounds. In Microbial Biotechnology; Springer: Singapore, 2023; pp. 181–198. [Google Scholar] [CrossRef]
- Wang, S.; Lu, Z. Secondary metabolites in archaea. In Biocommunication of Archaea; Springer: Cham, Switzerland, 2017; pp. 235–239. [Google Scholar] [CrossRef]
- Kang, W.; Zhang, Y.; Li, H.; Liu, X.; Chen, J.; Wang, Y.; Zhou, H.; Zhao, L.; Sun, Q.; Xu, F.; et al. Discovery of tyrosinase inhibitors via machine learning. ACS Omega 2025, 10, 38922–38932. [Google Scholar] [CrossRef] [PubMed]
- Wang, G.; Liu, Y.; Zhang, X.; Chen, Z.; Li, H.; Zhao, L.; Zhou, Y.; Sun, H.; Xu, Q.; Wu, J.; et al. Discovery of tyrosinase inhibitors via virtual screening. Pharm. Front. 2022, 4, e1–e8. [Google Scholar] [CrossRef]
- Walquist, M.J.; El-Gewely, M.R. Mutagenesis: Site-directed. In Encyclopedia of Life Sciences; Wiley: Hoboken, NJ, USA, 2018. [Google Scholar] [CrossRef]
- Tokuriki, N.; Tawfik, D.S. Protein dynamism and evolvability. Science 2009, 324, 203–207. [Google Scholar] [CrossRef] [PubMed]
- Sunden, F.; Peck, A.; Salzman, J.; Davidi, D.; Tawfik, D.S. Extensive site-directed mutagenesis of alkaline phosphatase. eLife 2015, 4, e06181. [Google Scholar] [CrossRef]
- Wu, X.; Zhang, Y.; Liu, H.; Chen, J.; Wang, Z.; Li, Q.; Zhao, M.; Sun, Y.; Zhou, L.; Xu, F.; et al. In silico discovery of tyrosinase-inhibiting natural products. AIP Adv. 2025, 15. [Google Scholar] [CrossRef]
- Liu, D.; Zhang, Y.; Wang, H.; Chen, Z.; Li, X.; Zhao, Q.; Sun, J.; Zhou, Y.; Wu, L.; Xu, M.; et al. Design and synthesis of kojic acid triazole hybrids. Sci. Rep. 2025, 15, 15005. [Google Scholar] [CrossRef]
- Patterson, E.L.; Rose, A.H.; Thoma, J.A. Recovery of Kojic Acid. U.S. Patent US3165535A, 5 January 1965. [Google Scholar]
- Yamamoto, S. Drug for External Use. Japanese Patent JPS63270619A, 8 November 1988. [Google Scholar]
- Namiecińska, E.; Kowalczyk, A.; Wójcik, M.; Mazur, L.; Nowak, G.; Krawczyk, M.; Zielińska, A.; Kędzierska, E.; Wawrzyniak, P.; Kaczmarek, Ł.; et al. Evaluation of tyrosinase inhibitory activity of carbathioamidopyrazoles. Int. J. Mol. Sci. 2025, 26, 3882. [Google Scholar] [CrossRef] [PubMed]





Disclaimer/Publisher’s Note: The statements, opinions and data contained in all publications are solely those of the individual author(s) and contributor(s) and not of MDPI and/or the editor(s). MDPI and/or the editor(s) disclaim responsibility for any injury to people or property resulting from any ideas, methods, instructions or products referred to in the content. |
© 2026 by the authors. Licensee MDPI, Basel, Switzerland. This article is an open access article distributed under the terms and conditions of the Creative Commons Attribution (CC BY) license.
Share and Cite
Barcenas-Giraldo, S.; Baez-Leguizamon, V.; Barbosa-Gonzalez, L.; Leon-Rodriguez, A.; Marrero-Ponce, Y.; Diaz, L. Potential Bioactive Function of Microbial Metabolites as Inhibitors of Tyrosinase: A Systematic Review. Int. J. Mol. Sci. 2026, 27, 1016. https://doi.org/10.3390/ijms27021016
Barcenas-Giraldo S, Baez-Leguizamon V, Barbosa-Gonzalez L, Leon-Rodriguez A, Marrero-Ponce Y, Diaz L. Potential Bioactive Function of Microbial Metabolites as Inhibitors of Tyrosinase: A Systematic Review. International Journal of Molecular Sciences. 2026; 27(2):1016. https://doi.org/10.3390/ijms27021016
Chicago/Turabian StyleBarcenas-Giraldo, Sofia, Vanessa Baez-Leguizamon, Laura Barbosa-Gonzalez, Angelica Leon-Rodriguez, Yovani Marrero-Ponce, and Luis Diaz. 2026. "Potential Bioactive Function of Microbial Metabolites as Inhibitors of Tyrosinase: A Systematic Review" International Journal of Molecular Sciences 27, no. 2: 1016. https://doi.org/10.3390/ijms27021016
APA StyleBarcenas-Giraldo, S., Baez-Leguizamon, V., Barbosa-Gonzalez, L., Leon-Rodriguez, A., Marrero-Ponce, Y., & Diaz, L. (2026). Potential Bioactive Function of Microbial Metabolites as Inhibitors of Tyrosinase: A Systematic Review. International Journal of Molecular Sciences, 27(2), 1016. https://doi.org/10.3390/ijms27021016

