Exploratory Gene Expression Profiling of Cisplatin-Induced Neurotoxicity in Rat Brain
Abstract
1. Introduction
2. Results
2.1. Identification of Differentially Expressed Genes and Comparative Analysis
2.2. Kyoto Encyclopedia of Genes and Genomes (KEGG) Pathway Enrichment Analysis
Cross-Pathway Gene Analysis: GO–KEGG Convergence
2.3. Network Analysis of Enriched GO Biological Processes
2.4. Visualization of Key KEGG Pathways
2.5. Key Upregulated and Downregulated Genes in Neurofunctional Pathways
2.6. Protein–Protein Interaction Networks Reveal Coordinated Functional Modules
2.7. Correlation of HUB Gene Signatures with Clinical Outcomes in Glioma
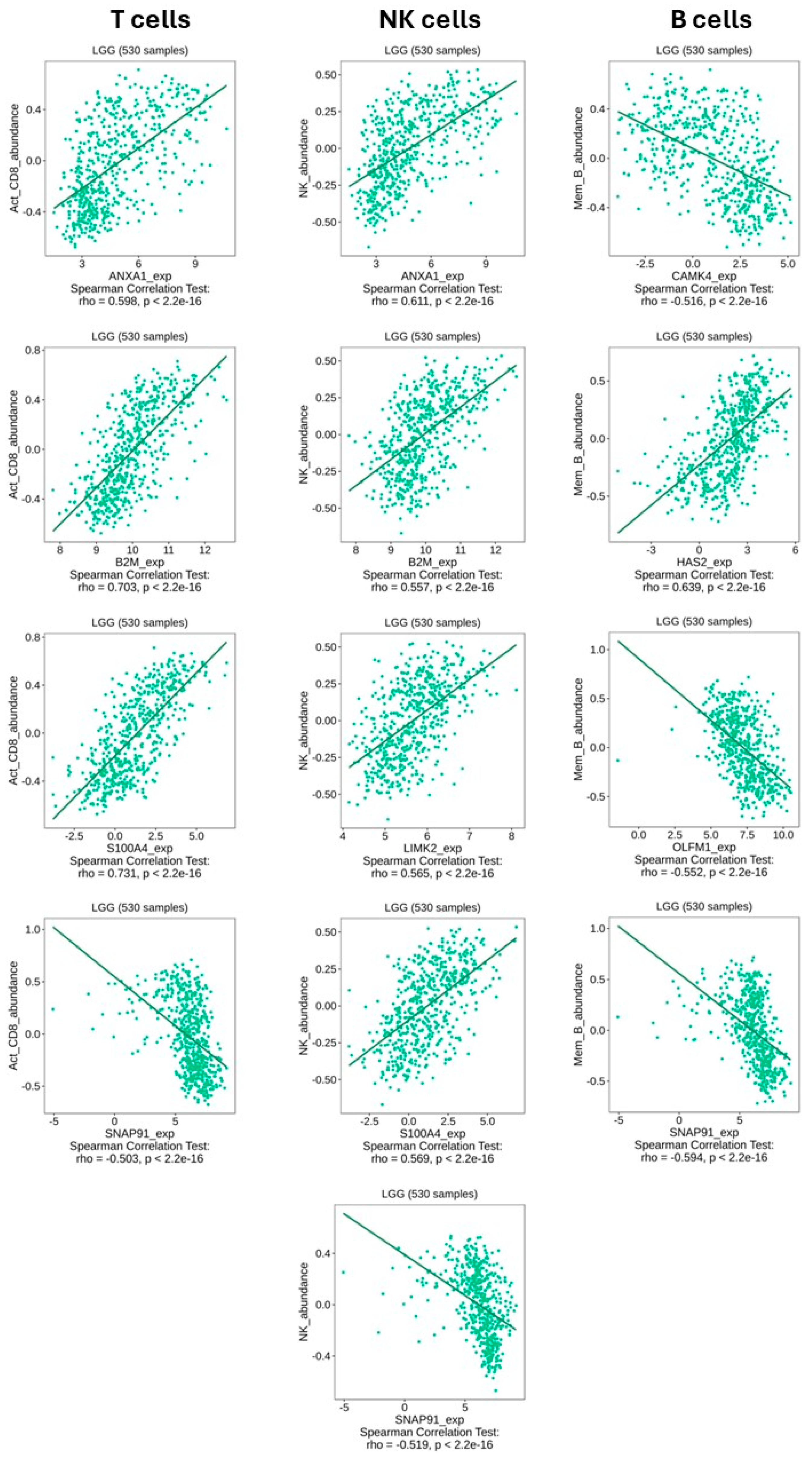
2.8. Correlation Analysis of Gene Expression with Immune Cell Infiltration in LGG
3. Discussion
3.1. Cisplatin Induces a Unique and Complex Transcriptomic Reprogramming in Brain Tissue
3.2. Dysregulation of Synaptic Signaling Pathways and Neuronal Excitability
3.3. Suppression of Cellular Homeostasis and Neuroprotective Mechanisms
3.4. Molecular Basis for Chemobrain: Connecting Pathway Dysregulation to Clinical Symptoms
3.5. Differentiating Cisplatin Neurotoxicity from Brain Metastasis-Related Symptoms: Clinical and Experimental Considerations
- Temporal pattern: Cisplatin-induced cognitive impairment typically develops progressively during or shortly after chemotherapy cycles and may persist long-term [52], whereas metastasis-related symptoms often correlate with tumor progression and may present more acutely with focal neurological deficits [53].
- Cognitive profile: Chemobrain typically manifests as diffuse deficits in attention, processing speed, and executive function, while metastasis-related symptoms may include more focal deficits depending on lesion location [53].
- Molecular signatures: Our transcriptomic data suggest that cisplatin induces a distinct pattern of synaptic dysfunction (downregulation of neurotransmitter receptors, dysregulation of calcium signaling) and metabolic suppression that differs from the proliferative, angiogenic, and immune-evasive programs typically observed in brain metastases [56].
3.6. Implications for Neuroprotection and Therapeutic Strategies
3.7. Exploratory Correlation with Human Glioma Data: A Hypothesis-Generating Perspective
3.8. Novelty and Key Contributions
3.9. Limitations of the Study
4. Materials and Methods
4.1. Ethical Approval
4.2. Animals and Experimental Design
4.3. Animal Care and Monitoring
4.4. Tissue Collection and RNA Extraction
4.5. Total RNA Isolation
4.6. Microarray Printing and Slide Preparation
4.7. Probe Labeling and Hybridization
4.8. Image Acquisition and Analysis
4.9. Raw Data Analysis
4.10. Comparative Literature Analysis
4.11. Functional Enrichment and Pathway Analysis
4.12. Protein–Protein Interaction (PPI) Network Analysis
4.13. Rationale and Scope of the LGG In Silico Contextualization
4.14. Survival and Immune Infiltration Correlation Analysis
5. Conclusions
Supplementary Materials
Author Contributions
Funding
Institutional Review Board Statement
Data Availability Statement
Acknowledgments
Conflicts of Interest
Abbreviations
| ACADM | Acyl-CoA Dehydrogenase Medium Chain |
| AKT | AKT Serine/Threonine Kinase (Protein Kinase B) |
| AMPA | α-amino-3-hydroxy-5-methyl-4-isoxazolepropionic acid receptor |
| AMPK | AMP-Activated Protein Kinase |
| APC | Adenomatous Polyposis Coli Protein |
| BAX | Bcl-2-associated X protein (pro-apoptotic) |
| BCL2 | B-cell lymphoma 2 protein (anti-apoptotic) |
| BDNF | Brain-Derived Neurotrophic Factor |
| BP | Biological Process (Gene Ontology term) |
| CAMK2A | Calcium/Calmodulin-Dependent Protein Kinase II Alpha |
| CAMK4 | Calcium/Calmodulin-Dependent Protein Kinase IV |
| CAMP | Cyclic Adenosine Monophosphate |
| CASP8 | Caspase-8 |
| Caspase-3 | Cysteine-aspartic acid protease 3 |
| CC | Cellular Component (Gene Ontology term) |
| CD8+ | Cytotoxic T lymphocytes |
| CDDP | Cisplatin |
| CDK12 | Cyclin-Dependent Kinase 12 |
| CDK13 | Cyclin-Dependent Kinase 13 |
| CDK4 | Cyclin-Dependent Kinase 4 |
| CDKN1A | Cyclin-Dependent Kinase Inhibitor 1A |
| cDNA | Complementary DNA |
| CHRM1 | Muscarinic Acetylcholine Receptor M1 |
| CNS | Central Nervous System |
| CREB | cAMP Response Element-Binding Protein |
| CXCL2 | C-X-C Motif Chemokine Ligand 2 |
| CXCR2 | C-X-C Motif Chemokine Receptor 2 |
| CytoHubba 0.1 | Cytoscape plugin for identifying hub genes in networks |
| Cytoscape 3.10.4 | Cytoscape Network Visualization Software |
| DEGs | Differentially Expressed Genes |
| DEPC | Diethylpyrocarbonate |
| DNA | Deoxyribonucleic acid |
| GABA | Gamma-Aminobutyric Acid (inhibitory neurotransmitter) |
| GABAA | GABA type A receptor |
| GABAergic synapse | Synaptic signaling via gamma-aminobutyric acid |
| GABRA1 | Gamma-Aminobutyric Acid Receptor Subunit Alpha-1 |
| GABRR1 | Gamma-Aminobutyric Acid Receptor Subunit Rho-1 |
| genArise | Gene Expression Analysis Software (UNAM) |
| GEPIA2 | Gene Expression Profiling Interactive Analysis 2 |
| GFAP | Glial Fibrillary Acidic Protein |
| GO | Gene Ontology |
| GPCR | G Protein-Coupled Receptors |
| GRIA1 | Glutamate Ionotropic Receptor AMPA Type Subunit 1 |
| GRIA4 | Glutamate Ionotropic Receptor AMPA Type Subunit 4 |
| GRK5 | G Protein-Coupled Receptor Kinase 5 |
| GRPR | Gastrin-Releasing Peptide Receptor |
| HDAC6 | Histone Deacetylase 6 |
| HSPB1 | Heat Shock Protein Beta-1 |
| i.p. | Intraperitoneal |
| IL8 | Interleukin 8 |
| JAK | Janus Kinase |
| KEGG | Kyoto Encyclopedia of Genes and Genomes |
| LGG | Low-Grade Glioma |
| MAPK | Mitogen-Activated Protein Kinase |
| MAPK1 | Mitogen-Activated Protein Kinase 1 |
| MAPK14 | Mitogen-Activated Protein Kinase 14 |
| MAPK3 | Mitogen-Activated Protein Kinase 3 |
| MCODE | Molecular Complex Detection (Cytoscape plugin) |
| Memory B cells | Memory B lymphocytes |
| MF | Molecular Function (Gene Ontology term) |
| mRNA | Messenger RNA |
| MTOR | Mechanistic Target of Rapamycin |
| NF-κB | Nuclear Factor kappa-light-chain-enhancer of activated B cells |
| NGF | Nerve Growth Factor |
| NK | Natural Killer cells |
| NMDA | N-Methyl-D-Aspartate |
| Nrf2 | Nuclear factor erythroid 2-related factor 2 |
| OD | Optical Density |
| p53 | Tumor suppressor protein p53 |
| PBS | Phosphate-Buffered Saline |
| PLA2G2A | Phospholipase A2 Group IIA |
| PLCB1 | Phospholipase C Beta 1 |
| PLCB4 | Phospholipase C Beta 4 |
| PLCG1 | Phospholipase C Gamma 1 |
| PPAR | Peroxisome Proliferator-Activated Receptor family/pathway |
| PPI | Protein–Protein Interaction |
| PRKCZ | Protein Kinase C Zeta |
| PTPN11 | Protein Tyrosine Phosphatase Non-Receptor Type 11 |
| qRT-PCR | Quantitative Real-Time Polymerase Chain Reaction |
| Rap1 | Ras-proximate-1 |
| RNA | Ribonucleic acid |
| RXRA | Retinoid X Receptor Alpha |
| SARDH | Sarcosine Dehydrogenase |
| SH2B1 | SH2B Adaptor Protein 1 |
| ShinyGO | Shiny Gene Ontology Enrichment Tool |
| SORT1 | Sortilin 1 |
| STAT | Signal Transducer and Activator of Transcription family |
| STRING | Search Tool for the Retrieval of Interacting Genes/Proteins |
| TISIDB | Tumor and Immune System Interaction Database |
| TRHR | Thyrotropin-Releasing Hormone Receptor |
| TRIzol | Commercial reagent for RNA isolation |
| VEGF | Vascular Endothelial Growth Factor |
| Z-score | Standard score (Z-score) |
References
- Huo, X.; Reyes, T.M.; Heijnen, C.J.; Kavelaars, A. Cisplatin Treatment Induces Attention Deficits and Impairs Synaptic Integrity in the Prefrontal Cortex in Mice. Sci. Rep. 2018, 8, 17400. [Google Scholar] [CrossRef]
- Kim, H.-S.; Guo, C.; Thompson, E.L.; Jiang, Y.; Kelley, M.R.; Vasko, M.R.; Lee, S.-H. APE1, the DNA Base Excision Repair Protein, Regulates the Removal of Platinum Adducts in Sensory Neuronal Cultures by NER. Mutat. Res. 2015, 779, 96–104. [Google Scholar] [CrossRef]
- Park, S.A.; Park, H.J.; Lee, B.I.; Ahn, Y.H.; Kim, S.U.; Choi, K.S. Bcl-2 Blocks Cisplatin-Induced Apoptosis by Suppression of ERK-Mediated P53 Accumulation in B104 Cells. Brain Res. Mol. Brain Res. 2001, 93, 18–26. [Google Scholar] [CrossRef] [PubMed]
- Piccolini, V.M.; Cerri, S.; Romanelli, E.; Bernocchi, G. Interactions of Neurotransmitter Systems during Postnatal Development of the Rat Hippocampal Formation: Effects of Cisplatin. Exp. Neurol. 2012, 234, 239–252. [Google Scholar] [CrossRef]
- Alexander, J.F.; Seua, A.V.; Arroyo, L.D.; Ray, P.R.; Wangzhou, A.; Heiβ-Lückemann, L.; Schedlowski, M.; Price, T.J.; Kavelaars, A.; Heijnen, C.J. Nasal administration of mitochondria reverses chemotherapy-induced cognitive deficits. Theranostics 2021, 11, 3109–3130. [Google Scholar] [CrossRef]
- Lian, M.; Wang, H.; Fang, J.; Zhai, J.; Wang, R.; Shen, X.; Yang, Y.; Ma, Z.; Liu, H. Microarray Gene Expression Analysis of Chemosensitivity for Docetaxel, Cisplatin and 5-Fluorouracil (TPF) Combined Chemotherapeutic Regimen in Hypopharyngeal Squamous Cell Carcinoma. Chin. J. Cancer Res. 2017, 29, 204–212. [Google Scholar] [CrossRef]
- Majd, N.E.; Shahraki, R.; Tabandeh, M.R.; Hosseinifar, S. Protective Effects of Aloe Vera Gel on Cisplatin-Induced Oxidative Stress, Apoptosis and Neurons Structure in Rat Hippocampus. Vet. Res. Forum 2022, 13, 111. [Google Scholar] [CrossRef]
- Januchowski, R.; Sterzyńska, K.; Zawierucha, P.; Ruciński, M.; Świerczewska, M.; Partyka, M.; Bednarek-Rajewska, K.; Brązert, M.; Nowicki, M.; Zabel, M.; et al. Microarray-Based Detection and Expression Analysis of New Genes Associated with Drug Resistance in Ovarian Cancer Cell Lines. Oncotarget 2017, 8, 49944–49958. [Google Scholar] [CrossRef]
- Guo, Y.; Yan, K.; Fang, J.; Qu, Q.; Zhou, M.; Chen, F. Let-7b Expression Determines Response to Chemotherapy through the Regulation of Cyclin D1 in Glioblastoma. J. Exp. Clin. Cancer Res. 2013, 32, 41. [Google Scholar] [CrossRef]
- Quereda, V.; Bayle, S.; Vena, F.; Frydman, S.M.; Monastyrskyi, A.; Roush, W.R.; Duckett, D.R. Therapeutic Targeting of CDK12/CDK13 in Triple-Negative Breast Cancer. Cancer Cell 2019, 36, 545–558.e7. [Google Scholar] [CrossRef] [PubMed]
- Gonçalves, B.Ô.P.; dos Santos, G.S.P.; de Andrade, W.P.; Fialho, S.L.; Gomes, D.A.; Silva, L.M. Phenotypic Changes on Central Nervous System (CNS) Tumor Cell Lines Cultured in Vitro 2D and 3D Models and Treated with Cisplatin. Acta Histochem. 2021, 123, 151768. [Google Scholar] [CrossRef]
- Eisenberg, E.; Levanon, E.Y. Human Housekeeping Genes, Revisited. Trends Genet. 2013, 29, 569–574. [Google Scholar] [CrossRef] [PubMed]
- Hounkpe, B.W.; Chenou, F.; de Lima, F.; De Paula, E.V. HRT Atlas v1.0 Database: Redefining Human and Mouse Housekeeping Genes and Candidate Reference Transcripts by Mining Massive RNA-Seq Datasets. Nucleic Acids Res. 2021, 49, D947–D955. [Google Scholar] [CrossRef] [PubMed]
- Szklarczyk, D.; Gable, A.L.; Lyon, D.; Junge, A.; Wyder, S.; Huerta-Cepas, J.; Simonovic, M.; Doncheva, N.T.; Morris, J.H.; Bork, P.; et al. STRING V11: Protein-Protein Association Networks with Increased Coverage, Supporting Functional Discovery in Genome-Wide Experimental Datasets. Nucleic Acids Res. 2019, 47, D607–D613. [Google Scholar] [CrossRef] [PubMed]
- Wang, G.; Zhang, H.; Wang, L.; Wang, Y.; Huang, H.; Sun, F. Ca2+/Calmodulin-Dependent Protein Kinase IV Promotes Interplay of Proteins in Chromatoid Body of Male Germ Cells. Sci. Rep. 2015, 5, 12126. [Google Scholar] [CrossRef]
- Sałaciak, K.; Koszałka, A.; Żmudzka, E.; Pytka, K. The Calcium/Calmodulin-Dependent Kinases II and IV as Therapeutic Targets in Neurodegenerative and Neuropsychiatric Disorders. Int. J. Mol. Sci. 2021, 22, 4307. [Google Scholar] [CrossRef]
- Evankovich, J.; Zhang, R.; Cardinal, J.S.; Zhang, L.; Chen, J.; Huang, H.; Beer-Stolz, D.; Billiar, T.R.; Rosengart, M.R.; Tsung, A. Calcium/Calmodulin-Dependent Protein Kinase IV Limits Organ Damage in Hepatic Ischemia-Reperfusion Injury through Induction of Autophagy. Am. J. Physiol. Gastrointest. Liver Physiol. 2012, 303, G189–G198. [Google Scholar] [CrossRef]
- Kachnic, L.A.; Li, L.; Fournier, L.; Willers, H. Fanconi Anemia Pathway Heterogeneity Revealed by Cisplatin and Oxaliplatin Treatments. Cancer Lett. 2010, 292, 73–79. [Google Scholar] [CrossRef]
- Nalepa, G.; Clapp, D.W. Fanconi Anaemia and Cancer: An Intricate Relationship. Nat. Rev. Cancer 2018, 18, 168–185. [Google Scholar] [CrossRef]
- Chirnomas, D.; Taniguchi, T.; de la Vega, M.; Vaidya, A.P.; Vasserman, M.; Hartman, A.-R.; Kennedy, R.; Foster, R.; Mahoney, J.; Seiden, M.V.; et al. Chemosensitization to Cisplatin by Inhibitors of the Fanconi Anemia/BRCA Pathway. Mol. Cancer Ther. 2006, 5, 952–961. [Google Scholar] [CrossRef]
- Reyes-González, J.M.; Quiñones-Díaz, B.I.; Santana, Y.; Báez-Vega, P.M.; Soto, D.; Valiyeva, F.; Marcos-Martínez, M.J.; Fernández-de Thomas, R.J.; Vivas-Mejía, P.E. Downstream Effectors of ILK in Cisplatin-Resistant Ovarian Cancer. Cancers 2020, 12, 880. [Google Scholar] [CrossRef]
- Lomeli, N.; Di, K.; Czerniawski, J.; Guzowski, J.F.; Bota, D.A. Cisplatin-Induced Mitochondrial Dysfunction Is Associated with Impaired Cognitive Function in Rats. Free Radic. Biol. Med. 2017, 102, 274–286. [Google Scholar] [CrossRef] [PubMed]
- Holland, R.A.; Leonard, J.J.; Kensey, N.A.; Hannikainen, P.A.; De Jonghe, B.C. Cisplatin Induces Neuronal Activation and Increases Central AMPA and NMDA Receptor Subunit Gene Expression in Mice. Physiol. Behav. 2014, 136, 79–85. [Google Scholar] [CrossRef] [PubMed]
- Shelkar, G.P.; Gakare, S.G.; Narasimhan, K.K.S.; Chettiar, P.B.; Asati, D.G.; Thakur, S.S.; Dravid, S.M. Restoration of Glutamate Delta 1 Signaling and Excitatory Inhibitory Imbalance in the Central Amygdala in Cisplatin Induced Neuropathic Pain by Cerebellin 1. Sci. Rep. 2025, 15, 22993. [Google Scholar] [CrossRef] [PubMed]
- Lee, H.; Hoe, H.-S. Inhibition of CDK4/6 Regulates AD Pathology, Neuroinflammation and Cognitive Function through DYRK1A/STAT3 Signaling. Pharmacol. Res. 2023, 190, 106725. [Google Scholar] [CrossRef]
- Chauhan, M.; Modi, P.K.; Sharma, P. Aberrant Activation of Neuronal Cell Cycle Caused by Dysregulation of Ubiquitin Ligase Itch Results in Neurodegeneration. Cell Death Dis. 2020, 11, 441. [Google Scholar] [CrossRef]
- Podratz, J.L.; Knight, A.M.; Ta, L.E.; Staff, N.P.; Gass, J.M.; Genelin, K.; Schlattau, A.; Lathroum, L.; Windebank, A.J. Cisplatin Induced Mitochondrial DNA Damage In Dorsal Root Ganglion Neurons. Neurobiol. Dis. 2011, 41, 661–668. [Google Scholar] [CrossRef]
- Real, N.E.; Castro, G.N.; Darío Cuello-Carrión, F.; Perinetti, C.; Röhrich, H.; Cayado-Gutiérrez, N.; Guerrero-Gimenez, M.E.; Ciocca, D.R. Molecular Markers of DNA Damage and Repair in Cervical Cancer Patients Treated with Cisplatin Neoadjuvant Chemotherapy: An Exploratory Study. Cell Stress Chaperones 2017, 22, 811–822. [Google Scholar] [CrossRef]
- Krawczyk, Z.; Gogler-Pigłowska, A.; Sojka, D.R.; Scieglinska, D. The Role of Heat Shock Proteins in Cisplatin Resistance. Anticancer Agents Med. Chem. 2018, 18, 2093–2109. [Google Scholar] [CrossRef]
- Laskowska, E. Small heat shock proteins—Role in apoptosis, cancerogenesis and diseases associated with protein aggregation. Postep. Biochem. 2007, 53, 19–26. [Google Scholar]
- Castro, G.N.; Cayado-Gutiérrez, N.; Moncalero, V.L.; Lima, P.; De Angelis, R.L.; Chávez, V.; Cuello-Carrión, F.D.; Ciocca, D.R. Hsp27 (HSPB1): A Possible Surrogate Molecular Marker for Loss of Heterozygosity (LOH) of Chromosome 1p in Oligodendrogliomas but Not in Astrocytomas. Cell Stress Chaperones 2012, 17, 779–790. [Google Scholar] [CrossRef]
- Babi, A.; Menlibayeva, K.; Bex, T.; Doskaliev, A.; Akshulakov, S.; Shevtsov, M. Targeting Heat Shock Proteins in Malignant Brain Tumors: From Basic Research to Clinical Trials. Cancers 2022, 14, 5435. [Google Scholar] [CrossRef] [PubMed]
- Lu, S.; Hu, J.; Arogundade, O.A.; Goginashvili, A.; Vazquez-Sanchez, S.; Diedrich, J.K.; Gu, J.; Blum, J.; Oung, S.; Ye, Q.; et al. Heat-Shock Chaperone HSPB1 Regulates Cytoplasmic TDP-43 Phase Separation and Liquid-to-Gel Transition. Nat. Cell Biol. 2022, 24, 1378–1393. [Google Scholar] [CrossRef]
- Areti, A.; Yerra, V.G.; Naidu, V.; Kumar, A. Oxidative Stress and Nerve Damage: Role in Chemotherapy Induced Peripheral Neuropathy. Redox Biol. 2014, 2, 289–295. [Google Scholar] [CrossRef] [PubMed]
- Hasan, T.; Caragher, S.P.; Shireman, J.M.; Park, C.H.; Atashi, F.; Baisiwala, S.; Lee, G.; Guo, D.; Wang, J.Y.; Dey, M.; et al. Interleukin-8/CXCR2 Signaling Regulates Therapy-Induced Plasticity and Enhances Tumorigenicity in Glioblastoma. Cell Death Dis. 2019, 10, 292. [Google Scholar] [CrossRef]
- Korkolopoulou, P.; Levidou, G.; El-Habr, E.A.; Adamopoulos, C.; Samaras, V.; Zisakis, A.; Kavantzas, N.; Boviatsis, E.; Fragkou, P.; Papavassiliou, A.G.; et al. Expression of Interleukin-8 Receptor CXCR2 and Suppressor of Cytokine Signaling-3 in Astrocytic Tumors. Mol. Med. 2012, 18, 379–388. [Google Scholar] [CrossRef]
- Chen, K.; Ye, Q.; Zhang, Y.; Qi, Z.; Huang, Y.; Lu, W.; Wang, X.; Wang, Y.; Cao, L.; Qiu, S.; et al. CXCL1-CXCR2 Signaling Mediates the Activation of Microglia in the Nucleus Tractus Solitarii to Promote Pancreatic Cancer-Induced Pain. Brain Behav. Immun. 2025, 123, 1026–1041. [Google Scholar] [CrossRef]
- Urbantat, R.M.; Blank, A.; Kremenetskaia, I.; Vajkoczy, P.; Acker, G.; Brandenburg, S. The CXCL2/IL8/CXCR2 Pathway Is Relevant for Brain Tumor Malignancy and Endothelial Cell Function. Int. J. Mol. Sci. 2021, 22, 2634. [Google Scholar] [CrossRef]
- Zhang, Y.; Sang, R.; Bao, J.; Jiang, Z.; Qian, D.; Zhou, Y.; Su, W.; Wei, J.; Zhao, L.; Wei, Z.; et al. Schwann Cell-Derived CXCL2 Contributes to Cancer Pain by Modulating Macrophage Infiltration in a Mouse Breast Cancer Model. Brain Behav. Immun. 2023, 109, 308–320. [Google Scholar] [CrossRef]
- Liu, P.; Li, X.; Lv, W.; Xu, Z. Inhibition of CXCL1-CXCR2 Axis Ameliorates Cisplatin-Induced Acute Kidney Injury by Mediating Inflammatory Response. Biomed. Pharmacother. 2020, 122, 109693. [Google Scholar] [CrossRef]
- Lee, A.M.; Messing, R.O. Protein Kinases and Addiction. Ann. N. Y. Acad. Sci. 2008, 1141, 22–57. [Google Scholar] [CrossRef]
- Sitte, H.H.; Freissmuth, M. Amphetamines, New Psychoactive Drugs and the Monoamine Transporter Cycle. Trends Pharmacol. Sci. 2015, 36, 41–50. [Google Scholar] [CrossRef] [PubMed]
- Kutryb-Zając, B.; Kawecka, A.; Nasadiuk, K.; Braczko, A.; Stawarska, K.; Caiazzo, E.; Koszałka, P.; Cicala, C. Drugs Targeting Adenosine Signaling Pathways: A Current View. Biomed. Pharmacother. 2023, 165, 115184. [Google Scholar] [CrossRef]
- Cabana-Domínguez, J.; Roncero, C.; Pineda-Cirera, L.; Palma-Álvarez, R.F.; Ros-Cucurull, E.; Grau-López, L.; Esojo, A.; Casas, M.; Arenas, C.; Ramos-Quiroga, J.A.; et al. Association of the PLCB1 Gene with Drug Dependence. Sci. Rep. 2017, 7, 10110. [Google Scholar] [CrossRef] [PubMed]
- Konradi, C.; Leveque, J.-C.; Hyman, S.E. Amphetamine and Dopamine-Induced Immediate Early Gene Expression in Striatal Neurons Depends on Postsynaptic NMDA Receptors and Calcium. J. Neurosci. 1996, 16, 4231–4239. [Google Scholar] [CrossRef] [PubMed]
- Mu, L.; Wang, J.; Cao, B.; Jelfs, B.; Chan, R.H.M.; Xu, X.; Hasan, M.; Zhang, X.; Li, Y. Impairment of Cognitive Function by Chemotherapy: Association with the Disruption of Phase-Locking and Synchronization in Anterior Cingulate Cortex. Mol. Brain 2015, 8, 32. [Google Scholar] [CrossRef]
- Martínez-Martel, I.; Pol, O. A Novel Therapy for Cisplatin-Induced Allodynia and Dysfunctional and Emotional Impairments in Male and Female Mice. Antioxidants 2023, 12, 2063. [Google Scholar] [CrossRef]
- Hartmann, D.A.; Berthiaume, A.-A.; Grant, R.I.; Harrill, S.A.; Koski, T.; Tieu, T.; McDowell, K.P.; Faino, A.V.; Kelly, A.L.; Shih, A.Y. Brain Capillary Pericytes Exert a Substantial but Slow Influence on Blood Flow. Nat. Neurosci. 2021, 24, 633–645. [Google Scholar] [CrossRef]
- Patai, R.; Csik, B.; Nyul-Toth, A.; Gulej, R.; Vali Kordestan, K.; Chandragiri, S.S.; Shanmugarama, S.; Tarantini, S.; Mukli, P.; Ungvari, A.; et al. Persisting Blood–Brain Barrier Disruption Following Cisplatin Treatment in a Mouse Model of Chemotherapy-Associated Cognitive Impairment. GeroScience 2025, 47, 3835–3847. [Google Scholar] [CrossRef]
- Mahmoud, A.M.A.; Mantawy, E.M.; Wahdan, S.A.; Ammar, R.M.; El-Demerdash, E. Vildagliptin Restores Cognitive Function and Mitigates Hippocampal Neuronal Apoptosis in Cisplatin-Induced Chemo-Brain: Imperative Roles of AMPK/Akt/CREB/BDNF Signaling Cascades. Biomed. Pharmacother. 2023, 159, 114238. [Google Scholar] [CrossRef]
- Andres, A.L.; Gong, X.; Di, K.; Bota, D.A. Low-Doses of Cisplatin Injure Hippocampal Synapses: A Mechanism for ‘Chemo’ Brain? Exp. Neurol. 2014, 255, 137–144. [Google Scholar] [CrossRef] [PubMed]
- Wefel, J.S.; Kesler, S.R.; Noll, K.R.; Schagen, S.B. Clinical Characteristics, Pathophysiology, and Management of Noncentral Nervous System Cancer-Related Cognitive Impairment in Adults. CA Cancer J. Clin. 2015, 65, 123–138. [Google Scholar] [CrossRef]
- Lamba, N.; Wen, P.Y.; Aizer, A.A. Epidemiology of Brain Metastases and Leptomeningeal Disease. Neuro Oncol. 2021, 23, 1447–1456. [Google Scholar] [CrossRef]
- Soffietti, R.; Ahluwalia, M.; Lin, N.; Rudà, R. Management of Brain Metastases According to Molecular Subtypes. Nat. Rev. Neurol. 2020, 16, 557–574. [Google Scholar] [CrossRef]
- Deprez, S.; Amant, F.; Smeets, A.; Peeters, R.; Leemans, A.; Van Hecke, W.; Verhoeven, J.S.; Christiaens, M.-R.; Vandenberghe, J.; Vandenbulcke, M.; et al. Longitudinal Assessment of Chemotherapy-Induced Structural Changes in Cerebral White Matter and Its Correlation with Impaired Cognitive Functioning. J. Clin. Oncol. 2012, 30, 274–281. [Google Scholar] [CrossRef]
- Valiente, M.; Ahluwalia, M.S.; Boire, A.; Brastianos, P.K.; Goldberg, S.B.; Lee, E.Q.; Le Rhun, E.; Preusser, M.; Winkler, F.; Soffietti, R. The Evolving Landscape of Brain Metastasis. Trends Cancer 2018, 4, 176–196. [Google Scholar] [CrossRef] [PubMed]
- Barbosa-Azevedo, M.; Dias-Carvalho, A.; Carvalho, F.; Costa, V.M. Chemotherapy-Induced Cognitive Impairment and Glia: A New Take on Chemobrain? Toxicol. Appl. Pharmacol. 2024, 492, 117085. [Google Scholar] [CrossRef]
- Zhao, Y.; Zhou, Y.-G.; Chen, J.-F. Targeting the Adenosine A2A Receptor for Neuroprotection and Cognitive Improvement in Traumatic Brain Injury and Parkinson’s Disease. Chin. J. Traumatol. 2024, 27, 125–133. [Google Scholar] [CrossRef]
- Gray, N.E.; Farina, M.; Tucci, P.; Saso, L. The Role of the NRF2 Pathway in Maintaining and Improving Cognitive Function. Biomedicines 2022, 10, 2043. [Google Scholar] [CrossRef]
- Duan, X.; He, C.; Kron, S.J.; Lin, W. Nanoparticle Formulations of Cisplatin for Cancer Therapy. Wiley Interdiscip. Rev. Nanomed. Nanobiotechnol 2016, 8, 776–791. [Google Scholar] [CrossRef] [PubMed]
- Yang, L.; Liu, Z.; Wu, R.; Yao, Q.; Gu, Z.; Liu, M. Correlation of C-X-C Chemokine Receptor 2 Upregulation with Poor Prognosis and Recurrence in Human Glioma. Onco Targets Ther. 2015, 8, 3203–3209. [Google Scholar] [CrossRef]
- Vega-Vela, N.E.; Osorio, D.; Avila, M.; Gonzalez, J.; Garcia-Segura, L.; Moran, V.; Barreto, G. L-Type Calcium Channels Modulation by Estradiol. Mol. Neurobiol. 2017, 54, 4996–5007. [Google Scholar] [CrossRef]
- Belcher, S.M.; Burton, C.C.; Cookman, C.J.; Kirby, M.; Miranda, G.L.; Saeed, F.O.; Wray, K.E. Estrogen and Soy Isoflavonoids Decrease Sensitivity of Medulloblastoma and Central Nervous System Primitive Neuroectodermal Tumor Cells to Chemotherapeutic Cytotoxicity. BMC Pharmacol. Toxicol. 2017, 18, 63. [Google Scholar] [CrossRef]
- Gandy, S. Estrogen and Neurodegeneration. Neurochem. Res. 2003, 28, 1003–1008. [Google Scholar] [CrossRef]
- Ocaña, K. Evaluación de la Farmacocinética y Eficacia Terapéutica de un Sistema Liposomal de Cisplatino-Mifepristona en un Modelo Experimental. Master’s Thesis, Universidad Nacional Autónoma de México, Mexico City, Mexico, 2017. [Google Scholar]
- Jindatip, D.; Nopparat, W.; Kobutree, P.; Roumwong, A.; Agthong, S.; Jindatip, D.; Nopparat, W.; Kobutree, P.; Roumwong, A.; Agthong, S. Pericyte Loss and Detachment in Experimental Cisplatin-Induced Neuropathy. Int. J. Morphol. 2019, 37, 509–514. [Google Scholar] [CrossRef]
- Perše, M. Cisplatin Mouse Models: Treatment, Toxicity and Translatability. Biomedicines 2021, 9, 1406. [Google Scholar] [CrossRef] [PubMed]
- Seto, Y.; Okazaki, F.; Horikawa, K.; Zhang, J.; Sasaki, H.; To, H. Influence of Dosing Times on Cisplatin-Induced Peripheral Neuropathy in Rats. BMC Cancer 2016, 16, 756. [Google Scholar] [CrossRef]
- Tang, Z.; Kang, B.; Li, C.; Chen, T.; Zhang, Z. GEPIA2: An Enhanced Web Server for Large-Scale Expression Profiling and Interactive Analysis. Nucleic Acids Res. 2019, 47, W556–W560. [Google Scholar] [CrossRef] [PubMed]
- Ru, B.; Wong, C.N.; Tong, Y.; Zhong, J.Y.; Zhong, S.S.W.; Wu, W.C.; Chu, K.C.; Wong, C.Y.; Lau, C.Y.; Chen, I.; et al. TISIDB: An Integrated Repository Portal for Tumor–Immune System Interactions. Bioinformatics 2019, 35, 4200–4202. [Google Scholar] [CrossRef]
- Jangra, A.; Kwatra, M.; Singh, T.; Pant, R.; Kushwah, P.; Ahmed, S.; Dwivedi, D.; Saroha, B.; Lahkar, M. Edaravone Alleviates Cisplatin-Induced Neurobehavioral Deficits via Modulation of Oxidative Stress and Inflammatory Mediators in the Rat Hippocampus. Eur. J. Pharmacol. 2016, 791, 51–61. [Google Scholar] [CrossRef] [PubMed]
- Qu, Q.; Sun, G.; Li, W.; Yang, S.; Ye, P.; Zhao, C.; Yu, R.T.; Gage, F.H.; Evans, R.M.; Shi, Y. Orphan Nuclear Receptor TLX Activates Wnt/Beta-Catenin Signalling to Stimulate Neural Stem Cell Proliferation and Self-Renewal. Nat. Cell Biol. 2010, 12, 31–40. [Google Scholar] [CrossRef] [PubMed]









| Gene | Z-Score | Biological Function | Reference |
|---|---|---|---|
| GSTT1 | 4.556 | Conjugation of reduced glutathione to a wide number of exogenous and endogenous hydrophobic electrophiles. Acts on 1,2-epoxy-3-(4-nitrophenoxy)propane, phenethylisothiocyanate, 4-nitrobenzyl chloride, and 4-nitrophenethyl bromide. Displays glutathione peroxidase activity with cumene hydroperoxide. | GeneCards-GSTT1 |
| ENTPD6 | 3.931 | Catalyzes the hydrolysis of nucleoside triphosphates and diphosphates in a calcium- or magnesium-dependent manner. Has a strong preference for nucleoside diphosphates, preferentially hydrolyzes GDP, IDP, and UDP, with slower hydrolysis of CDP, ITP, GTP, CTP, ADP, and UTP, and virtually no hydrolysis of ATP. | GeneCards-ENTPD6 |
| KMO | 3.67 | Catalyzes the hydroxylation of L-kynurenine (L-Kyn) to form 3-hydroxy-L-kynurenine (L-3OHKyn). | GeneCards-KMO |
| GRIA4 | 3.312 | An ionotropic glutamate receptor that functions as a ligand-gated cation channel, gated by L-glutamate and glutamatergic agonists such as alpha-amino-3-hydroxy-5-methyl-4-isoxazolepropionic acid (AMPA), quisqualic acid, and kainic acid (By similarity). L-glutamate acts as an excitatory neurotransmitter at many synapses in the central nervous system and plays an important role in fast excitatory synaptic transmission (By similarity). | GeneCards-GRIA4 |
| PTPN11 | 3.097 | Acts downstream of various receptors and cytoplasmic protein tyrosine kinases to participate in the signal transduction from the cell surface to the nucleus. | GeneCards-PTPN11 |
| ADORA2A | 2.88 | Receptor for adenosine (By similarity). The activity of this receptor is mediated by G proteins, which activate adenylyl cyclase (By similarity). | GeneCards-ADORA2A |
| TACR1 | 2.879 | This is a receptor for the tachykinin neuropeptide substance P. It is probably associated with G proteins that activate a phosphatidylinositol-calcium second messenger system. | GeneCards-TACR1 |
| ATP2B3 | 2.816 | ATP-driven Ca2+ ion pump involved in the maintenance of basal intracellular Ca2+ levels at the presynaptic terminals. Uses ATP as an energy source to transport cytosolic Ca2+ ions across the plasma membrane to the extracellular compartment. | GeneCards-ATP2B3 |
| DDC | 2.768 | Catalyzes the decarboxylation of L-3,4-dihydroxyphenylalanine (DOPA) to dopamine and L-5-hydroxytryptophan to serotonin. | GeneCards-DDC |
| SYNJ2 | 2.762 | Inositol 5-phosphatase, which may be involved in distinct membrane trafficking and signal transduction pathways. It may mediate the inhibitory effect of Rac1 on endocytosis. | GeneCards-SYNJ2 |
| PLCG1 | 2.643 | Mediates the production of the second messenger molecules diacylglycerol (DAG) and inositol 1,4,5-trisphosphate (IP3). Plays an important role in the regulation of intracellular signaling cascades. Becomes activated in response to ligand-mediated activation of receptor-type tyrosine kinases, such as Pdgfra, Pdgfrb, Egfr, Fgfr1, Fgfr2, Fgfr3, and Fgfr4 (By similarity). Plays a role in actin reorganization and cell migration. | GeneCards-PLCG1 |
| PDE4D | 2.62 | Hydrolyzes the second messenger cAMP, which is a key regulator of many important physiological processes. | GeneCards-PDE4D |
| NFE2L2 | 2.596 | A transcription factor that plays a key role in the response to oxidative stress: binds to antioxidant response (ARE) elements present in the promoter region of many cytoprotective genes, such as phase 2 detoxifying enzymes, and promotes their expression, thereby neutralizing reactive electrophiles. | GeneCards-NFE2L2 |
| SORT1 | 2.497 | Functions as a sorting receptor in the Golgi compartment and as a clearance receptor on the cell surface. Required for protein transport from the Golgi apparatus to the lysosomes by a pathway that is independent of the mannose-6-phosphate receptor (M6PR). | GeneCards-SORT1 |
| C1GALT1 | 2.463 | Glycosyltransferase that generates the core 1 O-glycan Gal-beta1-3GalNAc-alpha1-Ser/Thr (T antigen), which is a precursor for many extended O-glycans in glycoproteins. | GeneCards-C1GALT1 |
| PNLIP | 2.361 | plays an important role in fat metabolism. It preferentially splits the esters of long-chain fatty acids at positions 1 and 3, producing mainly 2-monoacylglycerol and free fatty acids, and shows considerably higher activity against insoluble emulsified substrates than against soluble ones. | GeneCards-PNLIP |
| ALAS1 | 2.271 | Catalyzes the pyridoxal 5′-phosphate (PLP)-dependent condensation of succinyl-CoA and glycine to form aminolevulinic acid (ALA), with CoA and CO2 as by-products. | GeneCards-ALAS1 |
| CDK4 | 2.254 | Ser/Thr-kinase component of cyclin D-CDK4 (DC) complexes that phosphorylate and inhibit members of the retinoblastoma (RB) protein family, including RB1, and regulate the cell-cycle during G(1)/S transition. | GeneCards-CDK4 |
| CYCTP | 2.215 | Predicted to be involved in mitochondrial electron transport, cytochrome c to oxygen, and mitochondrial electron transport, ubiquinol to cytochrome c. Predicted to act upstream of or within the hydrogen peroxide metabolic process and positive regulation of the intrinsic apoptotic signaling pathway. | GeneCards-CYCT |
| PFKFB2 | 2.21 | Synthesis and degradation of fructose 2,6-bisphosphate. | GeneCards-PFKFB2 |
| GAB2 | 2.144 | An adapter protein which acts downstream of several membrane receptors, including cytokine, antigen, hormone, cell–matrix and growth factor receptors to regulate multiple signaling pathways. Regulates osteoclast differentiation, mediating the TNFRSF11A/RANK signaling. In allergic response, it plays a role in mast cells activation and degranulation through PI-3-kinase regulation. Also involved in the regulation of cell proliferation and hematopoiesis. | GeneCards-GAB2 |
| CAMK4 | 2.128 | Calcium/calmodulin-dependent protein kinase that operates in the calcium-triggered Camkk-Camk4 signaling cascade and regulates, mainly by phosphorylation, the activity of several transcription activators, such as Creb1, Mef2d, Jun and Rora, which play pivotal roles in immune response, inflammation, and memory consolidation. | GeneCards-CAMK4 |
| HAL | 2.11 | The histidine ammonia lyase (histidase),histidine catabolism. | GeneCards-HAL |
| CACNA1E | 2.107 | Voltage-sensitive calcium channels (VSCC) mediate the entry of calcium ions into excitable cells. They are also involved in a variety of calcium-dependent processes, including muscle contraction, hormone or neurotransmitter release, gene expression, cell motility, cell division, and cell death. | GeneCards-CACNA1E |
| CYP7A1 | 2.019 | Functions as a critical regulatory enzyme of bile acid biosynthesis and cholesterol homeostasis. Catalyzes the hydroxylation of carbon hydrogen bond at the 7-alpha position of cholesterol, a rate-limiting step in cholesterol catabolism and bile acid biosynthesis. | GeneCards-CYP7A1 |
| GLS | −2.017 | Catalyzes the first reaction in the primary pathway for the renal catabolism of glutamine. Plays a role in maintaining acid-base homeostasis. Regulates the levels of the neurotransmitter glutamate, the main excitatory neurotransmitter in the brain. | GeneCards-GLS |
| PLA2G2A | −2.018 | Secretory calcium-dependent phospholipase A2 that primarily targets extracellular phospholipids with implications in host antimicrobial defense, inflammatory response, and tissue regeneration. | GeneCards-PLA2G2A |
| SARDH | −2.032 | Catalyzes the last step of the oxidative degradation of choline to glycine. Converts sarcosine into glycine. | GeneCards-SARDH |
| PRKCH | −2.049 | Calcium-independent, phospholipid- and diacylglycerol (DAG)-dependent serine/threonine-protein kinase that is involved in the regulation of cell differentiation in keratinocytes and pre-B cell receptor, mediates regulation of epithelial tight junction integrity and foam cell formation, and is required for glioblastoma proliferation and apoptosis prevention in MCF-7 cells. | GeneCards-PRKCH |
| SMARCD2 | −2.083 | Involved in transcriptional activation and repression of select genes by chromatin remodeling (alteration of DNA-nucleosome topology). Component of SWI/SNF chromatin remodeling complexes that carry out key enzymatic activities, changing chromatin structure by altering DNA-histone contacts within a nucleosome in an ATP-dependent manner. | GeneCards-SMARCD2 |
| ATP1A2 | −2.133 | This is the catalytic component of the active enzyme, which catalyzes the hydrolysis of ATP coupled with the exchange of sodium and potassium ions across the plasma membrane. | GeneCards-ATP1A2 |
| SHH | −2.137 | The C-terminal part of the sonic hedgehog protein precursor displays an autoproteolysis and a cholesterol transferase activity (By similarity). Both activities result in the cleavage of the full-length protein into two parts (ShhN and ShhC), followed by the covalent attachment of a cholesterol moiety to the C-terminal of the newly generated ShhN (By similarity). Both activities occur in the endoplasmic reticulum (By similarity). | GeneCards-SHH |
| GABRR1 | −2.139 | The Rho subunit of the pentameric ligand-gated chloride channels is responsible for mediating the effects of gamma-aminobutyric acid (GABA), the major inhibitory neurotransmitter in the brain. | GeneCards-GABRR1 |
| FZD9 | −2.141 | Receptor for WNT2 that is coupled to the beta-catenin canonical signaling pathway, which leads to the activation of disheveled proteins, inhibition of GSK-3 kinase, nuclear accumulation of beta-catenin, and activation of Wnt target genes (By similarity). Plays a role in neuromuscular junction (NMJ) assembly by negatively regulating the clustering of acetylcholine receptors (AChR) through the beta-catenin canonical signaling pathway (By similarity). | GeneCards-FZD9 |
| ACADM | −2.2 | Medium-chain specific acyl-CoA dehydrogenase is one of the acyl-CoA dehydrogenases that catalyze the first step of mitochondrial fatty acid beta-oxidation, an aerobic process that breaks down fatty acids into acetyl-CoA and allowing the production of energy from fats. | GeneCards-ACADM |
| TRH | −2.206 | As a component of the hypothalamic-pituitary-thyroid axis, it controls the secretion of thyroid-stimulating hormone (TSH) and is involved in thyroid hormone synthesis regulation. It also operates as a modulator of hair growth. | GeneCards-TRH |
| RALA | −2.215 | Multifunctional GTPase involved in a variety of cellular processes, including gene expression, cell migration, cell proliferation, oncogenic transformation, and membrane trafficking. | GeneCards-RALA |
| AP2S1 | −2.235 | Component of the adaptor protein complex 2 (AP-2). Adaptor protein complexes function in protein transport via transport vesicles in different membrane traffic pathways. Adaptor protein complexes are vesicle coat components and appear to be involved in cargo selection and vesicle formation. | GeneCards-AP2S1 |
| CHRNE | −2.236 | After binding acetylcholine, the AChR responds by an extensive change in conformation that affects all subunits and leads to the opening of an ion-conducting channel across the plasma membrane. | GeneCards-CHRNE |
| ADORA1 | −2.301 | Receptor for adenosine. The activity of this receptor is mediated by G proteins, which inhibit adenylyl cyclase. | GeneCards-ADORA1 |
| PRKCZ | −2.307 | Calcium- and diacylglycerol-independent serine/threonine-protein kinase that functions in phosphatidylinositol 3-kinase (PI3K) pathway and mitogen-activated protein (MAP) kinase cascade, and is involved in NF-kappa-B activation, mitogenic signaling, cell proliferation, cell polarity, inflammatory response, and maintenance of long-term potentiation (LTP). | GeneCards-PRKCZ |
| RASGRP4 | −2.314 | Functions as a cation- and diacylglycerol (DAG)-regulated nucleotide exchange factor activating Ras through the exchange of bound GDP for GTP, | GeneCards-RASGRP4 |
| NPPB | −2.337 | [Brain natriuretic peptide 32]: Cardiac hormone that plays a key role in mediating cardio-renal homeostasis. May also function as a paracrine antifibrotic factor in the heart (By similarity). | GeneCards-NPPB |
| PAH | −2.349 | Catalyzes the hydroxylation of L-phenylalanine to L-tyrosine. | GeneCards-PAH |
| PLCB4 | −2.352 | Activated phosphatidylinositol-specific phospholipase C enzymes catalyze the production of the second messenger molecules diacylglycerol (DAG) and inositol 1,4,5-trisphosphate (IP3) involved in G-protein coupled receptor signaling pathways. | GeneCards-PLCB4 |
| EDN2 | −2.412 | Endothelins are endothelium-derived vasoconstrictor peptides. | GeneCards-EDN2 |
| RPS6KB1 | −2.473 | Serine/threonine-protein kinase that acts downstream of mTOR signaling in response to growth factors and nutrients to promote cell proliferation, cell growth, and cell cycle progression. | GeneCards-RPS6KB1 |
| FGF10 | −2.551 | Plays an important role in the regulation of embryonic development, cell proliferation, and cell differentiation. Required for normal branching morphogenesis. It may play a role in wound healing. | GeneCards-FGF10 |
| PDE7A | −2.689 | Hydrolyzes the second messenger cAMP, which is a key regulator of many important physiological processes. | GeneCards-PDE7A |
| PDE1C | −2.772 | Calmodulin-dependent cyclic nucleotide phosphodiesterase with a dual specificity for the second messengers cAMP and cGMP, which are key regulators of many important physiological processes. | GeneCards-PDE1C |
| ODC1 | −2.864 | Catalyzes the first and rate-limiting step of polyamine biosynthesis that converts ornithine into putrescine, which is the precursor for the polyamines, spermidine and spermine. Polyamines are essential for cell proliferation and are implicated in cellular processes, ranging from DNA replication to apoptosis. | GeneCards-ODC1 |
| XDH | −2.948 | Key enzyme in purine degradation. Catalyzes the oxidation of hypoxanthine to xanthine. Catalyzes the oxidation of xanthine to uric acid. Contributes to the generation of reactive oxygen species. Also has low oxidase activity towards aldehydes (in vitro). | GeneCards-XDH |
| RLN1 | −3.042 | Relaxin is an ovarian hormone that acts with estrogen to produce dilatation of the birth canal in many mammals. May be involved in remodeling of connective tissues during pregnancy, promoting growth of pubic ligaments and ripening of the cervix. | GeneCards-RLN1 |
| MVD | −3.1 | Catalyzes the ATP-dependent decarboxylation of (R)-5-diphosphomevalonate to form isopentenyl diphosphate (IPP). Functions in the mevalonate (MVA) pathway leading to isopentenyl diphosphate (IPP), a key precursor for the biosynthesis of isoprenoids and sterol synthesis. | GeneCards-MVD |
| GRPR | −3.15 | Receptor for gastrin-releasing peptide (GRP). Signals via association with G proteins activate a phosphatidylinositol-calcium second messenger system, resulting in Akt phosphorylation. Contributes to the regulation of food intake. Contributes to the perception of prurient stimuli and transmission of itch signals in the spinal cord that promote scratching behavior, but does not play a role in the perception of pain. | GeneCards-GRPR |
| HMBS | −3.406 | As part of the heme biosynthetic pathway, it catalyzes the sequential polymerization of four molecules of porphobilinogen to form hydroxymethylbilane, also known as preuroporphyrinogen. | GeneCards-HMBS |
Disclaimer/Publisher’s Note: The statements, opinions and data contained in all publications are solely those of the individual author(s) and contributor(s) and not of MDPI and/or the editor(s). MDPI and/or the editor(s) disclaim responsibility for any injury to people or property resulting from any ideas, methods, instructions or products referred to in the content. |
© 2025 by the authors. Licensee MDPI, Basel, Switzerland. This article is an open access article distributed under the terms and conditions of the Creative Commons Attribution (CC BY) license (https://creativecommons.org/licenses/by/4.0/).
Share and Cite
Torres-Pineda, O.; Morgado-Valle, C.; Chi-Castañeda, D.; López-Meraz, M.L.; Rodríguez-Razón, C.M.; Macías-Carballo, M.; Beltrán-Parrazal, L. Exploratory Gene Expression Profiling of Cisplatin-Induced Neurotoxicity in Rat Brain. Int. J. Mol. Sci. 2025, 26, 10299. https://doi.org/10.3390/ijms262110299
Torres-Pineda O, Morgado-Valle C, Chi-Castañeda D, López-Meraz ML, Rodríguez-Razón CM, Macías-Carballo M, Beltrán-Parrazal L. Exploratory Gene Expression Profiling of Cisplatin-Induced Neurotoxicity in Rat Brain. International Journal of Molecular Sciences. 2025; 26(21):10299. https://doi.org/10.3390/ijms262110299
Chicago/Turabian StyleTorres-Pineda, Osvaldo, Consuelo Morgado-Valle, Donají Chi-Castañeda, María Leonor López-Meraz, Christian Martin Rodríguez-Razón, Monserrat Macías-Carballo, and Luis Beltrán-Parrazal. 2025. "Exploratory Gene Expression Profiling of Cisplatin-Induced Neurotoxicity in Rat Brain" International Journal of Molecular Sciences 26, no. 21: 10299. https://doi.org/10.3390/ijms262110299
APA StyleTorres-Pineda, O., Morgado-Valle, C., Chi-Castañeda, D., López-Meraz, M. L., Rodríguez-Razón, C. M., Macías-Carballo, M., & Beltrán-Parrazal, L. (2025). Exploratory Gene Expression Profiling of Cisplatin-Induced Neurotoxicity in Rat Brain. International Journal of Molecular Sciences, 26(21), 10299. https://doi.org/10.3390/ijms262110299

