Virtual Screening of Cathelicidin-Derived Anticancer Peptides and Validation of Their Production in the Probiotic Limosilactobacillus fermentum KUB-D18 Using Genome-Scale Metabolic Modeling and Experimental Approaches
Abstract
1. Introduction
2. Results and Discussion
2.1. Comparative Functional Analysis of Eight Cathelicidin-Derived Anticancer Peptides
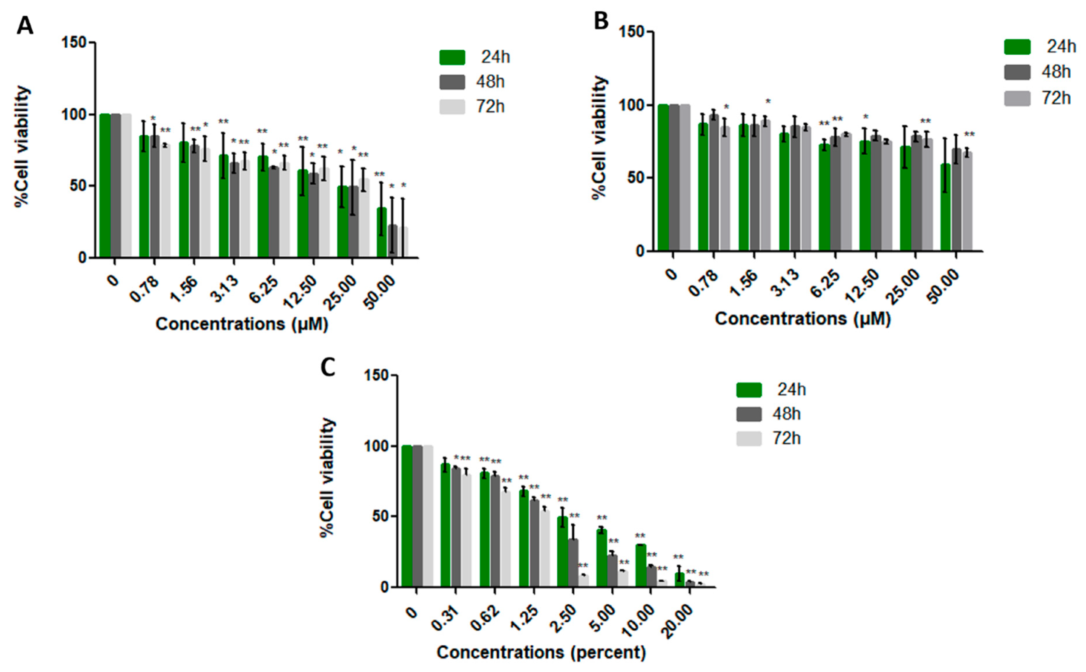
2.2. Validation of LL-37 and FK-16 on Colon Cancer Cell Lines
2.3. Characteristics of the Genome-Scale Metabolic Model of L. fermentum KUB-D18 (iTM505)
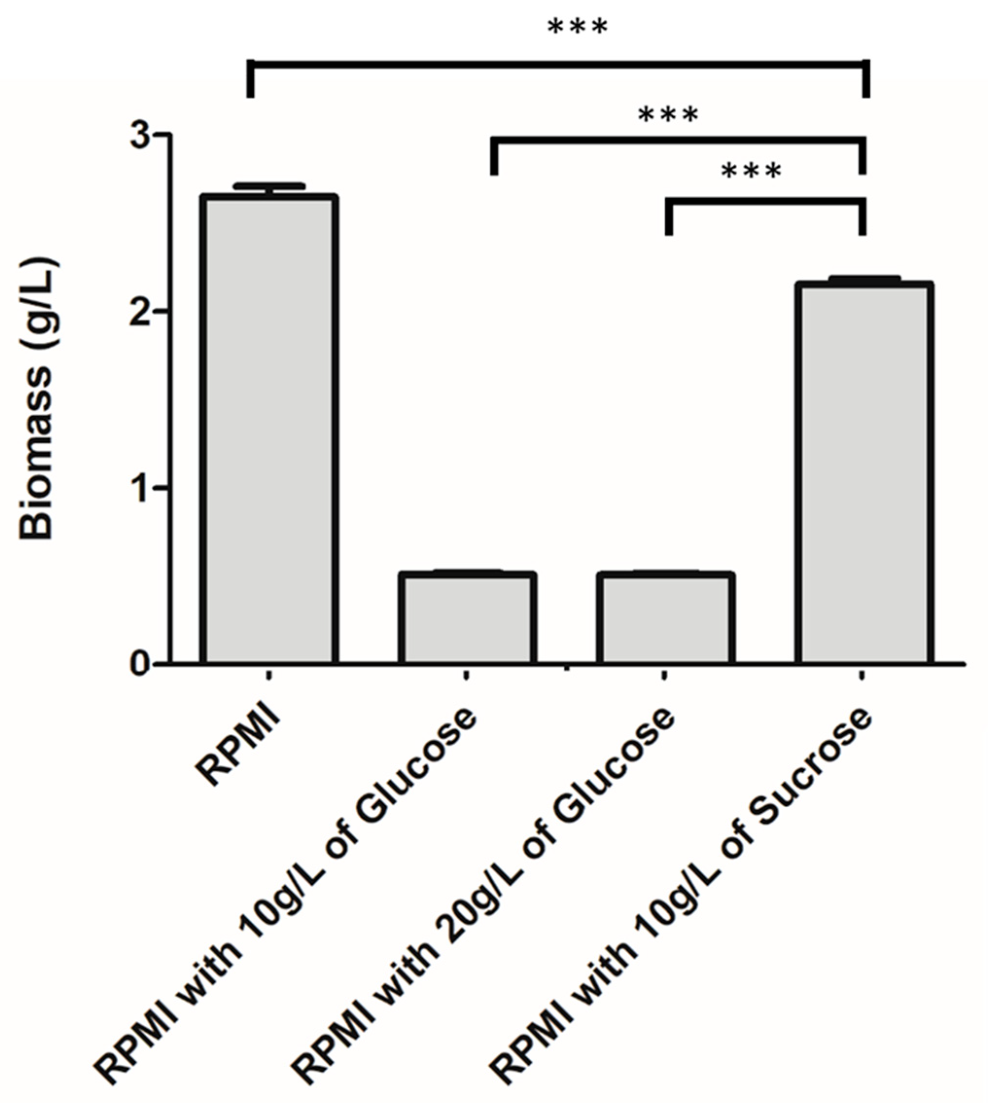
2.4. Identification of Nutrient Sources Essential for the Growth of L. fermentum KUB-D18 and Enhancement of Growth Performance Under Simulation Using the iTM505 Model in Various Limited Carbon Source Conditions
2.5. Expression of LL-37 from L. fermentum KUB-D18
2.6. Significance of the First GEM for L. fermentum KUB-D18 and Its Experimental Validation
3. Materials and Methods
3.1. Bioinformatic Functional and Analysis
3.2. Cell Culture
3.3. Determination of Cell Viability by MTT Assay
- Y = Response (e.g., cell viability percentage)
- Bottom = Minimum response (e.g., 0% inhibition)
- Top = Maximum response (e.g., 100% inhibition)
- X = The testing concentration in logarithm unit.
- IC50 = Concentration at which 50% inhibition occurs
3.4. Construction of Metabolic Network Model of L. fermentum KUB-D18 Strain KUB-D18
3.4.1. Gap-Filling of Incomplete Metabolic Pathways in the Genome-Scale
3.4.2. Flux Balance Analysis (FBA) and Identification of Key Reactions for Biomass Production in the Genome-Scale Metabolic Model
3.5. Predict Biomass Production and LL-37 Peptide from Genome-Scale Metabolic Model
- = Biomass yield (gDW/mmol)
- = Flux rate of biomass reaction from the intermediate metabolic model (gDW/gDW−1h−1)
- = Flux rate of the utilized carbon source reaction (mmol/gDW−1/h−1)
- = LL-37 peptide production rate
- = Flux rate of the LL-37 peptide biosynthesis reaction (mmol/gDWh−1)
- = Flux rate of the utilized carbon source reaction (mmol/gDW−1h−1)
3.6. Transform Plasmid and Expression of LL-37 by L. fermentum KUB-D18
3.7. Indirect Enzyme-Linked Immunosorbent Assay (ELISA)
3.8. Statistical Analysis
4. Conclusions
Author Contributions
Funding
Institutional Review Board Statement
Informed Consent Statement
Data Availability Statement
Acknowledgments
Conflicts of Interest
References
- Huan, Y.; Kong, Q.; Mou, H.; Yi, H. Antimicrobial peptides: Classification, design, application and research progress in multiple fields. Front. Microbiol. 2020, 11, 582779. [Google Scholar] [CrossRef] [PubMed]
- Jenssen, H. Synthesis and Activity of Antimicrobial Peptides. Ph.D. Thesis, University of Copenhagen, Copenhagen, Denmark, 2018. [Google Scholar]
- Voronko, O.E.; Khotina, V.A.; Kashirskikh, D.A.; Lee, A.A.; Gasanov, V.A.o. Antimicrobial Peptides of the Cathelicidin Family: Focus on LL-37 and Its Modifications. Int. J. Mol. Sci. 2025, 26, 8103. [Google Scholar] [CrossRef] [PubMed]
- Chen, K.; Gong, W.; Huang, J.; Yoshimura, T.; Wang, J.M. The potentials of short fragments of human anti-microbial peptide LL-37 as a novel therapeutic modality for diseases. Front. Biosci. -Landmark 2021, 26, 1362–1372. [Google Scholar] [CrossRef] [PubMed]
- Yuan, Y.; Li, J.; Wei, G.; Shen, Z.; Li, B.; Wu, J.; Liu, J. Exploring the Antimicrobial Potential of LL-37 Derivatives: Recent Developments and Challenges. ACS Biomater. Sci. Eng. 2025, 11, 3145–3164. [Google Scholar] [CrossRef]
- Gaspar, D.; Veiga, A.S.; Castanho, M.A. From antimicrobial to anticancer peptides. A review. Front. Microbiol. 2013, 4, 294. [Google Scholar] [CrossRef]
- Norouzi, P.; Mirmohammadi, M.; Tehrani, M.H.H. Anticancer peptides mechanisms, simple and complex. Chem.-Biol. Interact. 2022, 368, 110194. [Google Scholar] [CrossRef]
- Ren, S.X.; Shen, J.; Cheng, A.S.; Lu, L.; Chan, R.L.; Li, Z.J.; Wang, X.J.; Wong, C.C.; Zhang, L.; Ng, S.S. FK-16 derived from the anticancer peptide LL-37 induces caspase-independent apoptosis and autophagic cell death in colon cancer cells. PLoS ONE 2013, 8, e63641, Erratum in PLoS ONE 2015, 10, e0131750. [Google Scholar] [CrossRef]
- Sancho-Vaello, E.; Gil-Carton, D.; François, P.; Bonetti, E.-J.; Kreir, M.; Pothula, K.R.; Kleinekathöfer, U.; Zeth, K. The structure of the antimicrobial human cathelicidin LL-37 shows oligomerization and channel formation in the presence of membrane mimics. Sci. Rep. 2020, 10, 17356. [Google Scholar] [CrossRef]
- Hoskin, D.W.; Ramamoorthy, A. Studies on anticancer activities of antimicrobial peptides. Biochim. Et Biophys. Acta-Biomembr. 2008, 1778, 357–375. [Google Scholar] [CrossRef]
- Kuroda, K.; Fukuda, T.; Yoneyama, H.; Katayama, M.; Isogai, H.; Okumura, K.; Isogai, E.J.O.r. Anti-proliferative effect of an analogue of the LL-37 peptide in the colon cancer derived cell line HCT116 p53+/+ and p53. Oncol. Rep. 2012, 28, 829–834. [Google Scholar] [CrossRef]
- Sriyudthsak, K.; Shiraishi, F.; Hirai, M.Y. Mathematical modeling and dynamic simulation of metabolic reaction systems using metabolome time series data. Front. Mol. Biosci. 2016, 3, 15. [Google Scholar] [CrossRef]
- Luo, H.; Li, P.; Wang, H.; Roos, S.; Ji, B.; Nielsen, J. Genome-scale insights into the metabolic versatility of Limosilactobacillus reuteri. BMC Biotechnol. 2021, 21, 46. [Google Scholar] [CrossRef]
- Kim, B.; Meng, Z.; Xu, X.; Baek, S.; Pathiraja, D.; Choi, I.-G.; Oh, S. Complete genome sequence of Limosilactobacillus fermentum JNU532 as a probiotic candidate for the functional food and feed supplements. J. Anim. Sci. Technol. 2023, 65, 271. [Google Scholar] [CrossRef]
- Chhikara, B.S.; Parang, K. Global Cancer Statistics 2022: The trends projection analysis. Chem. Biol. Lett. 2023, 10, 451. [Google Scholar]
- Alsaiari, S.K.; Patil, S.; Alyami, M.; Alamoudi, K.O.; Aleisa, F.A.; Merzaban, J.S.; Li, M.; Khashab, N.M. Endosomal escape and delivery of CRISPR/Cas9 genome editing machinery enabled by nanoscale zeolitic imidazolate framework. J. Am. Chem. Soc. 2018, 140, 143–146. [Google Scholar] [CrossRef]
- Felício, M.R.; Silva, O.N.; Gonçalves, S.; Santos, N.C.; Franco, O.L. Peptides with dual antimicrobial and anticancer activities. Front. Chem. 2017, 5, 5. [Google Scholar] [CrossRef] [PubMed]
- Tornesello, A.L.; Borrelli, A.; Buonaguro, L.; Buonaguro, F.M.; Tornesello, M.L. Antimicrobial peptides as anticancer agents: Functional properties and biological activities. Molecules 2020, 25, 2850. [Google Scholar] [CrossRef]
- Kuroda, K.; Okumura, K.; Isogai, H.; Isogai, E. The human cathelicidin antimicrobial peptide LL-37 and mimics are potential anticancer drugs. Front. Oncol. 2015, 5, 144. [Google Scholar] [CrossRef] [PubMed]
- Ahmad, A.; Fawaz, M.A.M. The anticancer mechanism of human antimicrobial peptide LL-37. Neuropharmac. J 2021, 6, 261. [Google Scholar] [CrossRef]
- Feng, X.; Sambanthamoorthy, K.; Palys, T.; Paranavitana, C. The human antimicrobial peptide LL-37 and its fragments possess both antimicrobial and antibiofilm activities against multidrug-resistant Acinetobacter baumannii. Peptides 2013, 49, 131–137. [Google Scholar] [CrossRef]
- Mori, T.; Hazekawa, M.; Yoshida, M.; Nishinakagawa, T.; Uchida, T.; Ishibashi, D. Enhancing the anticancer efficacy of a LL-37 peptide fragment analog using peptide-linked PLGA conjugate micelles in tumor cells. Int. J. Pharm. 2021, 606, 120891. [Google Scholar] [CrossRef]
- Phujumpa, P.; Muangham, S.; Jatuponwiphat, T.; Koffas, M.; Nakphaichit, M.; Vongsangnak, W. Comparative genomics-based probiotic relevance of Limosilactobacillus fermentum KUB-D18. Gene 2022, 840, 146747. [Google Scholar] [CrossRef] [PubMed]
- Choi, G.-H.; Lee, N.-K.; Paik, H.-D. Optimization of medium composition for biomass production of Lactobacillus plantarum 200655 using response surface methodology. J. Microbiol. Biotechnol. 2021, 31, 717. [Google Scholar] [CrossRef]
- Arora, M. Cell culture media: A review. Mater Methods 2013, 3, 24. [Google Scholar] [CrossRef]
- Gülseroğlu, S.; Akpınar, H.; Yılmaz, Ö.; Soytürk, M. Evaluation of In Vitro Biofilm Formation of Helicobacter pylori in Different Culture Media. Phoenix Med. J. 2024, 6, 98–104. [Google Scholar] [CrossRef]
- He, Y.; Mok, K.; Chumnanpuen, P.; Nakphaichit, M.; Vongsangnak, W. Dissecting Metabolic Functions and Sugar Transporters Using Genome and Transportome of Probiotic Limosilactobacillus fermentum KUB-D18. Genes 2025, 16, 348. [Google Scholar] [CrossRef]
- Plumbridge, J. Regulation of gene expression in the PTS in Escherichia coli: The role and interactions of Mlc. Curr. Opin. Microbiol. 2002, 5, 187–193. [Google Scholar] [CrossRef]
- Padmanabhan, A.; Tong, Y.; Wu, Q.; Lo, C.; Shah, N.P. Proteomic analysis reveals potential factors associated with enhanced EPS production in Streptococcus thermophilus ASCC 1275. Sci. Rep. 2020, 10, 807. [Google Scholar] [CrossRef] [PubMed]
- Namrak, T.; Raethong, N.; Jatuponwiphat, T.; Nitisinprasert, S.; Vongsangnak, W.; Nakphaichit, M. Probing genome-scale model reveals metabolic capability and essential nutrients for growth of probiotic Limosilactobacillus reuteri KUB-AC5. Biology 2022, 11, 294. [Google Scholar] [CrossRef]
- Franceus, J.; Desmet, T. Sucrose phosphorylase and related enzymes in glycoside hydrolase family 13: Discovery, application and engineering. Int. J. Mol. Sci. 2020, 21, 2526. [Google Scholar] [CrossRef]
- Peran, L.; Sierra, S.; Comalada, M.; Lara-Villoslada, F.; Bailón, E.; Nieto, A.; Concha, A.; Olivares, M.; Zarzuelo, A.; Xaus, J. A comparative study of the preventative effects exerted by two probiotics, Lactobacillus reuteri and Lactobacillus fermentum, in the trinitrobenzenesulfonic acid model of rat colitis. Br. J. Nutr. 2007, 97, 96–103. [Google Scholar] [CrossRef]
- Kahouli, I.; Malhotra, M.; Tomaro-Duchesneau, C.; Rodes, L.S.; Alaoui-Jamali, M.A.; Prakash, S. Identification of Lactobacillus fermentum strains with potential against colorectal cancer by characterizing short chain fatty acids production, anti-proliferative activity and survival in an intestinal fluid: In vitro analysis. J. Bioanal. Biomed. 2015, 7, 104–115. [Google Scholar]
- Lacerda, D.C.; da Costa, P.C.T.; Pontes, P.B.; Dos Santos, L.A.C.; Neto, J.P.R.C.; Luis, C.C.S.; de Sousa Brito, V.P.; de Brito Alves, J.L. Potential role of Limosilactobacillus fermentum as a probiotic with anti-diabetic properties: A review. World J. Diabetes 2022, 13, 717. [Google Scholar] [CrossRef]
- Mikelsaar, M.; Zilmer, M. Lactobacillus fermentum ME-3–an antimicrobial and antioxidative probiotic. Microb. Ecol. Health Dis. 2009, 21, 1–27. [Google Scholar]
- de Gutierrez, R.C.; Santos, V.; Nader-Macías, M.E. Protective effect of intranasally inoculated Lactobacillus fermentum against Streptococcus pneumoniae challenge on the mouse respiratory tract. FEMS Immunol. Med. Microbiol. 2001, 31, 187–195. [Google Scholar] [CrossRef] [PubMed]
- Watthanasakphuban, N.; Virginia, L.J.; Haltrich, D.; Peterbauer, C. Analysis and Reconstitution of the Menaquinone Biosynthesis Pathway in Lactiplantibacillus plantarum and Lentilactibacillus buchneri. Microorganisms 2021, 9, 1476. [Google Scholar] [CrossRef] [PubMed]
- Watthanasakphuban, N.; Srila, P.; Pinmanee, P.; Sompinit, K.; Rattanaporn, K.; Peterbauer, C. Development of high cell density Limosilactobacillus reuteri KUB-AC5 for cell factory using oxidative stress reduction approach. Microb. Cell Factories 2023, 22, 86. [Google Scholar] [CrossRef] [PubMed]











| Peptide Name | Sequence of Peptides |
|---|---|
| LL-38 | ALLGDFFRKSKEKIGKEFKRIVQRIKDFLRNLVPRTES |
| LL-37 | LLGDFFRKSKEKIGKEFKRIVQRIKDFLRNLVPRTES |
| RK-31 | RKSKEKIGKEFKRIVQRIKDFLRNLVPRTES |
| KS-30 | KSKEKIGKEFKRIVQRIKDFLRNLVPRTES |
| KR-20 | KRIVQRIKDFLRNLVPRTES |
| FK-16 | FKRIVQRIKDFLRNLV |
| FK-13 | FKRIVQRIKDFLR |
| KR-12 | KRIVQRIKDFLR |
| Allergenicity Prediction | AL-38 | LL-37 | RK-31 | KS-30 | KR-20 | FK-16 | FK-13 | KR1-2 | |
|---|---|---|---|---|---|---|---|---|---|
| AllerTop | allergen | allergen | None | allergen | allergen | None | None | None | None |
| AllergenFP | allergen | None | None | None | None | None | None | None | None |
| AllerCatPro | evidence | None | None | None | None | None | None | None | None |
| Toxicity Prediction | AL-38 | LL-37 | RK-31 | KS-30 | KR-20 | FK-16 | FK-13 | KR1-2 | |
|---|---|---|---|---|---|---|---|---|---|
| ToxinPred | SVM score | −1.45 | −1.58 | −1.45 | −1.48 | −1.64 | −1.25 | −1.12 | −1.28 |
| Prediction | Non-toxic | Non-toxic | Non-toxic | Non-toxic | Non-toxic | Non-toxic | Non-toxic | Non-toxic | |
| ToxIBTL | Prediction | Non-toxic | Non-toxic | Non-toxic | Non-toxic | Non-toxic | Non-toxic | Non-toxic | Non-toxic |
| Hemolytic Prediction | AL-38 | LL-37 | RK-31 | KS-30 | KR-20 | FK-16 | FK-13 | KR1-2 |
|---|---|---|---|---|---|---|---|---|
| HAPPENN- nTer | None | None | None | None | None | None | None | None |
| HAPPENN- cTer | None | None | None | None | None | None | None | None |
| HAPPEN- PROB | 0.467 | 0.258 | 0.008 | 0.006 | 0.003 | 0.192 | 0.046 | 0.011 |
| HemoPred | hemolytic | hemolytic | hemolytic | hemolytic | None | hemolytic | hemolytic | hemolytic |
| Macrel | hemolytic | hemolytic | hemolytic | hemolytic | None | None | None | hemolytic |
| Cell Line | Calculated IC50 (µM) | ||||||||
|---|---|---|---|---|---|---|---|---|---|
| PCS-201-010 | SW-620 | HT-29 | |||||||
| Time/Treatment | 24 h | 48 h | 72 h | 24 h | 48 h | 72 h | 24 h | 48 h | 72 h |
| LL-37 (µM) | 38.72 ± 7.65 | 42.57 ± 9.02 | 45.53 ± 5.22 | 21.42 ± 11.44 | 15.28 ± 6.67 | 17.33 ± 8.20 | >50.00 | >50.00 | >50.00 |
| FK-16 (µM) | >50.00 | >50.00 | >50.00 | >50.00 | >50.00 | >50.00 | >50.00 | >50.00 | >50.00 |
| DMSO (Percentage) | 4.65 ± 1.34 | 2.19 ± 0.81 | 1.57 ± 0.35 | 3.52 ± 0.97 | 2.13 ± 0.49 | 1.25 ± 0.30 | 5.48 ± 1.69 | 3.21 ± 0.77 | 2.57 ± 0.89 |
| Model | iHL622 | iNF517 | LbReuteri | iBT721 | iML1515 | iTM505 |
|---|---|---|---|---|---|---|
| Organism | L. reuteri ATCC PTA 6475 | L. lactis MG1363 | L. reuteri JCM 1112 | L. plantarum WCFS1 | E. coli MG1655 | L. fermentum KUB-D18 |
| Genes | 2019 | 2339 | 1943 | 3063 | 4243 | 1983 |
| Included | 622 (31%) | 516 (22%) | 530 (27%) | 724 (24%) | 1516 (36%) | 505 (25.47%) |
| Reactions | 869 | 754 | 714 | 778 | 2712 | 1095 |
| Internal | 644 | 530 | 507 | 538 | 1548 | 932 |
| Transport | 122 | 119 | 123 | 127 | 833 | 80 |
| Exchange | 103 | 105 | 84 | 113 | 331 | 83 |
| Metabolites | 713 | 650 | 660 | 662 | 1877 | 1191 |
| Biomass consistency | 1.00 | 0.83 | -b | -b | 1.00 | 1.00 |
Disclaimer/Publisher’s Note: The statements, opinions and data contained in all publications are solely those of the individual author(s) and contributor(s) and not of MDPI and/or the editor(s). MDPI and/or the editor(s) disclaim responsibility for any injury to people or property resulting from any ideas, methods, instructions or products referred to in the content. |
© 2025 by the authors. Licensee MDPI, Basel, Switzerland. This article is an open access article distributed under the terms and conditions of the Creative Commons Attribution (CC BY) license (https://creativecommons.org/licenses/by/4.0/).
Share and Cite
Wattayagorn, V.; Mansuwan, T.; Angkanawin, K.; Sapkaew, C.; Sinthuvanich, C.; Watthanasakphuban, N.; Chumnanpuen, P. Virtual Screening of Cathelicidin-Derived Anticancer Peptides and Validation of Their Production in the Probiotic Limosilactobacillus fermentum KUB-D18 Using Genome-Scale Metabolic Modeling and Experimental Approaches. Int. J. Mol. Sci. 2025, 26, 10077. https://doi.org/10.3390/ijms262010077
Wattayagorn V, Mansuwan T, Angkanawin K, Sapkaew C, Sinthuvanich C, Watthanasakphuban N, Chumnanpuen P. Virtual Screening of Cathelicidin-Derived Anticancer Peptides and Validation of Their Production in the Probiotic Limosilactobacillus fermentum KUB-D18 Using Genome-Scale Metabolic Modeling and Experimental Approaches. International Journal of Molecular Sciences. 2025; 26(20):10077. https://doi.org/10.3390/ijms262010077
Chicago/Turabian StyleWattayagorn, Vichugorn, Taratorn Mansuwan, Krittapas Angkanawin, Chakkapan Sapkaew, Chomdao Sinthuvanich, Nisit Watthanasakphuban, and Pramote Chumnanpuen. 2025. "Virtual Screening of Cathelicidin-Derived Anticancer Peptides and Validation of Their Production in the Probiotic Limosilactobacillus fermentum KUB-D18 Using Genome-Scale Metabolic Modeling and Experimental Approaches" International Journal of Molecular Sciences 26, no. 20: 10077. https://doi.org/10.3390/ijms262010077
APA StyleWattayagorn, V., Mansuwan, T., Angkanawin, K., Sapkaew, C., Sinthuvanich, C., Watthanasakphuban, N., & Chumnanpuen, P. (2025). Virtual Screening of Cathelicidin-Derived Anticancer Peptides and Validation of Their Production in the Probiotic Limosilactobacillus fermentum KUB-D18 Using Genome-Scale Metabolic Modeling and Experimental Approaches. International Journal of Molecular Sciences, 26(20), 10077. https://doi.org/10.3390/ijms262010077

