Unraveling Lyophilization and Redispersion Effects on Miktoarm Polymer-Based Nanoformulations
Abstract
1. Introduction
2. Results and Discussion
2.1. Synthesis and Characterization of Miktoarm Polymer
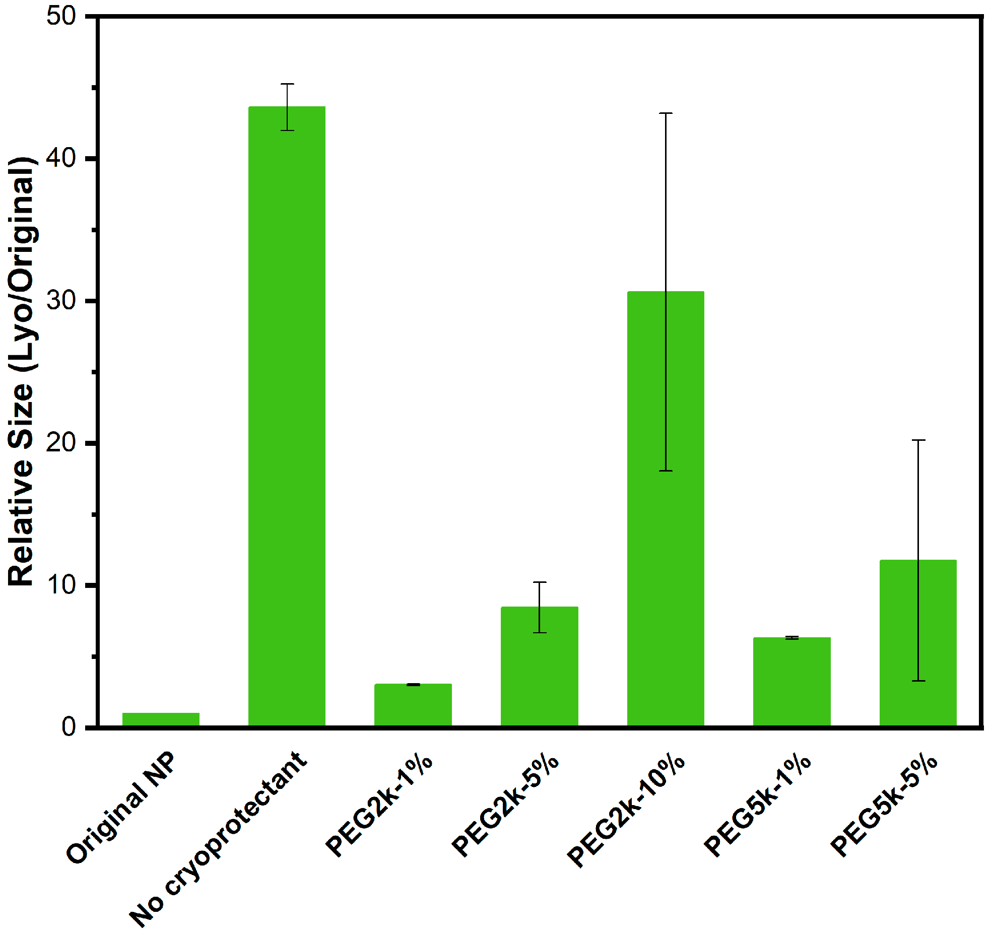
2.2. Preparation of Nanoparticles and the Selection of an Optimal Cryoprotectant
2.3. Effect of Cryoprotectant on the Drug Release Profiles
2.4. Drug Release Kinetics Study
2.5. Biological Evaluation of Cryoprotectant Addition and Freeze-Drying Effects
3. Materials and Methods
3.1. Blank and Curcumin-Loaded Nanoparticle Preparation
3.2. Dynamic Light Scattering (DLS) and Zeta Potential Analyzer
3.3. Transmission Electron Microscopy (TEM)
3.4. Freeze-Drying Procedure
3.5. Drug Loading and Release Studies
3.6. Drug Release Kinetics Study
3.7. Cell Viability Assay
3.8. Quantification of Interleukin-1b Secretion by Western Blotting
4. Conclusions
Supplementary Materials
Author Contributions
Funding
Institutional Review Board Statement
Informed Consent Statement
Data Availability Statement
Acknowledgments
Conflicts of Interest
References
- Senapati, S.; Mahanta, A.K.; Kumar, S.; Maiti, P. Controlled drug delivery vehicles for cancer treatment and their performance. Signal Transduct. Target. Ther. 2018, 3, 7. [Google Scholar] [CrossRef]
- Sapio, L.; Naviglio, S. Innovation through Tradition: The Current Challenges in Cancer Treatment. Int. J. Mol. Sci. 2022, 23, 5296. [Google Scholar] [CrossRef] [PubMed]
- Sun, L.; Liu, H.; Ye, Y.; Lei, Y.; Islam, R.; Tan, S.; Tong, R.; Miao, Y.B.; Cai, L. Smart nanoparticles for cancer therapy. Signal Transduct. Target. Ther. 2023, 8, 418. [Google Scholar] [CrossRef] [PubMed]
- Liu, G.; Yang, L.; Chen, G.; Xu, F.; Yang, F.; Yu, H.; Li, L.; Dong, X.; Han, J.; Cao, C.; et al. A Review on Drug Delivery System for Tumor Therapy. Front. Pharmacol. 2021, 12, 735446. [Google Scholar] [CrossRef] [PubMed]
- Salari, N.; Faraji, F.; Torghabeh, F.M.; Faraji, F.; Mansouri, K.; Abam, F.; Shohaimi, S.; Akbari, H.; Mohammadi, M. Polymer-based drug delivery systems for anticancer drugs: A systematic review. Cancer Treat. Res. Commun. 2022, 32, 100605. [Google Scholar] [CrossRef]
- Edis, Z.; Wang, J.; Waqas, M.K.; Ijaz, M.; Ijaz, M. Nanocarriers-Mediated Drug Delivery Systems for Anticancer Agents: An Overview and Perspectives. Int. J. Nanomed. 2021, 16, 1313–1330. [Google Scholar] [CrossRef]
- Sanchez-Moreno, P.; Ortega-Vinuesa, J.L.; Peula-Garcia, J.M.; Marchal, J.A.; Boulaiz, H. Smart Drug-Delivery Systems for Cancer Nanotherapy. Curr. Drug Targets 2018, 19, 339–359. [Google Scholar] [CrossRef]
- Elumalai, K.; Srinivasan, S.; Shanmugam, A. Review of the efficacy of nanoparticle-based drug delivery systems for cancer treatment. Biomed. Technol. 2024, 5, 109–122. [Google Scholar] [CrossRef]
- Lotocki, V.; Kakkar, A. Miktoarm Star Polymers: Branched Architectures in Drug Delivery. Pharmaceutics 2020, 12, 827. [Google Scholar] [CrossRef] [PubMed]
- Lotocki, V.; Yazdani, H.; Zhang, Q.; Gran, E.R.; Nyrko, A.; Maysinger, D.; Kakkar, A. Miktoarm Star Polymers with Environment-Selective ROS/GSH Responsive Locations: From Modular Synthesis to Tuned Drug Release through Micellar Partial Corona Shedding and/or Core Disassembly. Macromol. Biosci. 2021, 21, e2000305. [Google Scholar] [CrossRef]
- Maglio, G.; Nicodemi, F.; Conte, C.; Palumbo, R.; Tirino, P.; Panza, E.; Ianaro, A.; Ungaro, F.; Quaglia, F. Nanocapsules based on linear and Y-shaped 3-miktoarm star-block PEO-PCL copolymers as sustained delivery system for hydrophilic molecules. Biomacromolecules 2011, 12, 4221–4229. [Google Scholar] [CrossRef]
- Yin, H.; Kang, S.-W.; Bae, Y.H. Polymersome Formation from AB2 Type 3-Miktoarm Star Copolymers. Macromolecules 2009, 42, 7456–7464. [Google Scholar] [CrossRef]
- Zielinska, A.; Carreiro, F.; Oliveira, A.M.; Neves, A.; Pires, B.; Venkatesh, D.N.; Durazzo, A.; Lucarini, M.; Eder, P.; Silva, A.M.; et al. Polymeric Nanoparticles: Production, Characterization, Toxicology and Ecotoxicology. Molecules 2020, 25, 3731. [Google Scholar] [CrossRef]
- Shi, D.; Beasock, D.; Fessler, A.; Szebeni, J.; Ljubimova, J.Y.; Afonin, K.A.; Dobrovolskaia, M.A. To PEGylate or not to PEGylate: Immunological properties of nanomedicine’s most popular component, polyethylene glycol and its alternatives. Adv. Drug Deliv. Rev. 2022, 180, 114079. [Google Scholar] [CrossRef]
- Pardeshi, S.R.; Deshmukh, N.S.; Telange, D.R.; Nangare, S.N.; Sonar, Y.Y.; Lakade, S.H.; Harde, M.T.; Pardeshi, C.V.; Gholap, A.; Deshmukh, P.K.; et al. Process development and quality attributes for the freeze-drying process in pharmaceuticals, biopharmaceuticals and nanomedicine delivery: A state-of-the-art review. Future J. Pharm. Sci. 2023, 9, 99. [Google Scholar] [CrossRef]
- Andreana, I.; Bincoletto, V.; Manzoli, M.; Roda, F.; Giarraputo, V.; Milla, P.; Arpicco, S.; Stella, B. Freeze Drying of Polymer Nanoparticles and Liposomes Exploiting Different Saccharide-Based Approaches. Materials 2023, 16, 1212. [Google Scholar] [CrossRef] [PubMed]
- Zhang, Y.; Feng, J.; McManus, S.A.; Lu, H.D.; Ristroph, K.D.; Cho, E.J.; Dobrijevic, E.L.; Chan, H.K.; Prud’homme, R.K. Design and Solidification of Fast-Releasing Clofazimine Nanoparticles for Treatment of Cryptosporidiosis. Mol. Pharm. 2017, 14, 3480–3488. [Google Scholar] [CrossRef]
- Ristroph, K.D.; Feng, J.; McManus, S.A.; Zhang, Y.; Gong, K.; Ramachandruni, H.; White, C.E.; Prud’homme, R.K. Spray drying OZ439 nanoparticles to form stable, water-dispersible powders for oral malaria therapy. J. Transl. Med. 2019, 17, 97. [Google Scholar] [CrossRef] [PubMed]
- Trenkenschuh, E.; Friess, W. Freeze-drying of nanoparticles: How to overcome colloidal instability by formulation and process optimization. Eur. J. Pharm. Biopharm. 2021, 165, 345–360. [Google Scholar] [CrossRef]
- Ai, L.; Li, Y.; Zhou, L.; Yao, W.; Zhang, H.; Hu, Z.; Han, J.; Wang, W.; Wu, J.; Xu, P.; et al. Lyophilized mRNA-lipid nanoparticle vaccines with long-term stability and high antigenicity against SARS-CoV-2. Cell Discov. 2023, 9, 9. [Google Scholar] [CrossRef]
- Yasmin, R.; Tan, A.; Bremmell, K.E.; Prestidge, C.A. Lyophilized silica lipid hybrid (SLH) carriers for poorly water-soluble drugs: Physicochemical and in vitro pharmaceutical investigations. J. Pharm. Sci. 2014, 103, 2950–2959. [Google Scholar] [CrossRef]
- Mitrovic, J.R.; Bjelosevic Ziberna, M.; Vukadinovic, A.; Knutson, D.E.; Sharmin, D.; Kremenovic, A.; Ahlin Grabnar, P.; Planinsek, O.; Lunter, D.; Cook, J.M.; et al. Freeze-dried nanocrystal dispersion of novel deuterated pyrazoloquinolinone ligand (DK-I-56-1): Process parameters and lyoprotectant selection through the stability study. Eur. J. Pharm. Sci. 2023, 189, 106557. [Google Scholar] [CrossRef]
- Patel, M.N.; Lakkadwala, S.; Majrad, M.S.; Injeti, E.R.; Gollmer, S.M.; Shah, Z.A.; Boddu, S.H.; Nesamony, J. Characterization and evaluation of 5-fluorouracil-loaded solid lipid nanoparticles prepared via a temperature-modulated solidification technique. AAPS PharmSciTech 2014, 15, 1498–1508. [Google Scholar] [CrossRef]
- Athaydes Seabra Ferreira, H.; Ricardo Aluotto Scalzo Junior, S.; Kelton Santos de Faria, K.; Henrique Costa Silva, G.; Tullio Rodrigues Alves, M.; Oliveira Lobo, A.; Pires Goulart Guimaraes, P. Cryoprotectant optimization for enhanced stability and transfection efficiency of pDNA-loaded ionizable lipid nanoparticles. Int. J. Pharm. 2024, 665, 124696. [Google Scholar] [CrossRef] [PubMed]
- Gutierrez-Ruiz, S.C.; Cortes, H.; Gonzalez-Torres, M.; Almarhoon, Z.M.; Gurer, E.S.; Sharifi-Rad, J.; Leyva-Gomez, G. Optimize the parameters for the synthesis by the ionic gelation technique, purification, and freeze-drying of chitosan-sodium tripolyphosphate nanoparticles for biomedical purposes. J. Biol. Eng. 2024, 18, 12. [Google Scholar] [CrossRef]
- Campos, J.R.; Fernandes, A.R.; Sousa, R.; Fangueiro, J.F.; Boonme, P.; Garcia, M.L.; Silva, A.M.; Naveros, B.C.; Souto, E.B. Optimization of nimesulide-loaded solid lipid nanoparticles (SLN) by factorial design, release profile and cytotoxicity in human Colon adenocarcinoma cell line. Pharm. Dev. Technol. 2019, 24, 616–622. [Google Scholar] [CrossRef] [PubMed]
- Alihosseini, F.; Ghaffari, S.; Dabirsiaghi, A.R.; Haghighat, S. Freeze-drying of ampicillin solid lipid nanoparticles using mannitol as cryoprotectant. Braz. J. Pharm. Sci. 2015, 51, 797–802. [Google Scholar] [CrossRef]
- Emami, J.; Rezazadeh, M.; Varshosaz, J.; Tabbakhian, M.; Aslani, A.; Liu, L.-H. Formulation of LDL Targeted Nanostructured Lipid Carriers Loaded with Paclitaxel: A Detailed Study of Preparation, Freeze Drying Condition, and In Vitro Cytotoxicity. J. Nanomater. 2012, 2012, 358782. [Google Scholar] [CrossRef]
- Ramos Yacasi, G.R.; Garcia Lopez, M.L.; Espina Garcia, M.; Parra Coca, A.; Calpena Campmany, A.C. Influence of freeze-drying and gamma-irradiation in preclinical studies of flurbiprofen polymeric nanoparticles for ocular delivery using d-(+)-trehalose and polyethylene glycol. Int. J. Nanomed. 2016, 11, 4093–4106. [Google Scholar] [CrossRef]
- Suksiriworapong, J.; Rungvimolsin, T.; A-gomol, A.; Junyaprasert, V.B.; Chantasart, D. Development and characterization of lyophilized diazepam-loaded polymeric micelles. AAPS PharmSciTech 2014, 15, 52–64. [Google Scholar] [CrossRef]
- Parnsubsakul, A.; Sapcharoenkun, C.; Warin, C.; Ekgasit, S.; Pienpinijtham, P. Selection of cryoprotectants for freezing and freeze-drying of gold nanoparticles towards further uses in various applications. Colloids Surf. B Biointerfaces 2022, 217, 112702. [Google Scholar] [CrossRef]
- Wang, Y.; Quinsaat, J.E.Q.; Ono, T.; Maeki, M.; Tokeshi, M.; Isono, T.; Tajima, K.; Satoh, T.; Sato, S.I.; Miura, Y.; et al. Enhanced dispersion stability of gold nanoparticles by the physisorption of cyclic poly(ethylene glycol). Nat. Commun. 2020, 11, 6089. [Google Scholar] [CrossRef]
- Chen, G.; Wang, Y.; Xie, R.; Gong, S. Tumor-targeted pH/redox dual-sensitive unimolecular nanoparticles for efficient siRNA delivery. J. Control. Release 2017, 259, 105–114. [Google Scholar] [CrossRef]
- Lamoot, A.; Lammens, J.; De Lombaerde, E.; Zhong, Z.; Gontsarik, M.; Chen, Y.; De Beer, T.R.M.; De Geest, B.G. Successful batch and continuous lyophilization of mRNA LNP formulations depend on cryoprotectants and ionizable lipids. Biomater. Sci. 2023, 11, 4327–4334. [Google Scholar] [CrossRef]
- Fonte, P.; Reis, S.; Sarmento, B. Facts and evidences on the lyophilization of polymeric nanoparticles for drug delivery. J. Control. Release 2016, 225, 75–86. [Google Scholar] [CrossRef] [PubMed]
- Murray, A.; Kilbride, P.; Gibson, M.I. Trehalose in cryopreservation. Applications, mechanisms and intracellular delivery opportunities. RSC Med. Chem. 2024, 15, 2980–2995. [Google Scholar] [CrossRef] [PubMed]
- Drake, A.C.; Lee, Y.; Burgess, E.M.; Karlsson, J.O.M.; Eroglu, A.; Higgins, A.Z. Effect of water content on the glass transition temperature of mixtures of sugars, polymers, and penetrating cryoprotectants in physiological buffer. PLoS ONE 2018, 13, e0190713. [Google Scholar] [CrossRef] [PubMed]
- Fan, P.C.; Chiou, L.C.; Lai, T.H.; Sharmin, D.; Cook, J.; Lee, M.T. The deuterated pyrazoloquinolinone targeting α6 subunit-containing GABAA receptor as novel candidate for inhibition of trigeminovascular system activation: Implication for migraine therapy. Front. Pharmacol. 2024, 15, 1451634. [Google Scholar] [CrossRef]
- Picco, A.S.; Ferreira, L.F.; Liberato, M.S.; Mondo, G.B.; Cardoso, M.B. Freeze-drying of silica nanoparticles: Redispersibility toward nanomedicine applications. Nanomedicine 2018, 13, 179–190. [Google Scholar] [CrossRef]
- Moore, C.J.; Monton, H.; O’Kennedy, R.; Williams, D.E.; Nogues, C.; Crean Nee Lynam, C.; Gubala, V. Controlling colloidal stability of silica nanoparticles during bioconjugation reactions with proteins and improving their longer-term stability, handling and storage. J. Mater. Chem. B 2015, 3, 2043–2055. [Google Scholar] [CrossRef]
- Xing, Z.H. Preparation of Folate-Decorated Hydroxycamptothecin Nanoparticle Lyophilized Powder and its Antitumor Activity on Mice Bearing S180. Adv. Mater. Res. 2014, 905, 28–31. [Google Scholar] [CrossRef]
- Chua, A.; Tran, T.T.; Pu, S.; Park, J.W.; Hadinoto, K. Lyophilization of Curcumin-Albumin Nanoplex with Sucrose as Cryoprotectant: Aqueous Reconstitution, Dissolution, Kinetic Solubility, and Physicochemical Stability. Int. J. Mol. Sci. 2022, 23, 11731. [Google Scholar] [CrossRef]
- Jauregui-Gomez, D.; Bermejo-Gallardo, O.M.; Moreno-Medrano, E.D.; Perez-Garcia, M.G.; Ceja, I.; Soto, V.; Carvajal-Ramos, F.; Gutierrez-Becerra, A. Freeze-drying storage method based on pectin for gold nanoparticles. Nanomater. Nanotechnol. 2017, 7, 184798041769732. [Google Scholar] [CrossRef]
- Jakubowska, E.; Bielejewski, M.; Milanowski, B.; Lulek, J. Freeze-drying of drug nanosuspension– study of formulation and processing factors for the optimization and characterization of redispersible cilostazol nanocrystals. J. Drug Deliv. Sci. Technol. 2022, 74, 103528. [Google Scholar] [CrossRef]
- Rurarz, B.P.; Gibka, N.; Bukowczyk, M.; Kadłubowski, S.; Ulański, P. Radiation synthesis of poly(acrylic acid) nanogels for drug delivery applications—Post-synthesis product colloidal stability. Nukleonika 2021, 66, 179–186. [Google Scholar] [CrossRef]
- Le, H.V.; Dulong, V.; Picton, L.; Le Cerf, D. Lyophilization for Formulation Optimization of Drug-Loaded Thermoresponsive Polyelectrolyte Complex Nanogels from Functionalized Hyaluronic Acid. Pharmaceutics 2023, 15, 929. [Google Scholar] [CrossRef]
- Amis, T.M.; Renukuntla, J.; Bolla, P.K.; Clark, B.A. Selection of Cryoprotectant in Lyophilization of Progesterone-Loaded Stearic Acid Solid Lipid Nanoparticles. Pharmaceutics 2020, 12, 892. [Google Scholar] [CrossRef]
- Pena-Rodriguez, E.; Mata-Ventosa, A.; Garcia-Vega, L.; Perez-Torras, S.; Fernandez-Campos, F. The Physicochemical, Biopharmaceutical, and In Vitro Efficacy Properties of Freeze-Dried Dexamethasone-Loaded Lipomers. Pharmaceutics 2021, 13, 1322. [Google Scholar] [CrossRef]
- Susa, F.; Limongi, T.; Millone, M.; Cauda, V.; Pisano, R. Cytotoxicity and Thermal Characterization Assessment of Excipients for the Development of Innovative Lyophilized Formulations for Oncological Applications. Processes 2022, 10, 2641. [Google Scholar] [CrossRef]
- Fonte, P.; Soares, S.; Costa, A.; Andrade, J.C.; Seabra, V.; Reis, S.; Sarmento, B. Effect of cryoprotectants on the porosity and stability of insulin-loaded PLGA nanoparticles after freeze-drying. Biomatter 2012, 2, 329–339. [Google Scholar] [CrossRef] [PubMed]
- Holzer, M.; Vogel, V.; Mantele, W.; Schwartz, D.; Haase, W.; Langer, K. Physico-chemical characterisation of PLGA nanoparticles after freeze-drying and storage. Eur. J. Pharm. Biopharm. 2009, 72, 428–437. [Google Scholar] [CrossRef] [PubMed]
- Ayen, W.Y.; Kumar, N. A systematic study on lyophilization process of polymersomes for long-term storage using doxorubicin-loaded (PEG)3-PLA nanopolymersomes. Eur. J. Pharm. Sci. 2012, 46, 405–414. [Google Scholar] [CrossRef] [PubMed]
- Mihyar, R.; Shalmani, A.A.; Wildt, V.; Sheybanifard, M.; Wang, A.; May, J.N.; Shahzad, S.; Buhl, E.M.; Rutten, S.; Behrens, D.; et al. Microfluidic formulation, cryoprotection and long-term stability of paclitaxel-loaded pi electron-stabilized polymeric micelles. J. Control. Release 2024, 375, 614–626. [Google Scholar] [CrossRef]
- Loverde, S.M.; Klein, M.L.; Discher, D.E. Nanoparticle shape improves delivery: Rational coarse grain molecular dynamics (rCG-MD) of taxol in worm-like PEG-PCL micelles. Adv. Mater. 2012, 24, 3823–3830. [Google Scholar] [CrossRef]
- Stupar, P.; Pavlović, V.; Nunić, J.; Cundrič, S.; Filipič, M.; Stevanović, M. Development of lyophilized spherical particles of poly(epsilon-caprolactone) and examination of their morphology, cytocompatibility and influence on the formation of reactive oxygen species. J. Drug Deliv. Sci. Technol. 2014, 24, 191–197. [Google Scholar] [CrossRef]
- Yang, Z.L.; Li, X.R.; Yang, K.W.; Liu, Y. Amphotericin B-loaded poly(ethylene glycol)-poly(lactide) micelles: Preparation, freeze-drying, and in vitro release. J. Biomed. Mater. Res. A 2008, 85, 539–546. [Google Scholar] [CrossRef]
- Patil, S.; Sandberg, A.; Heckert, E.; Self, W.; Seal, S. Protein adsorption and cellular uptake of cerium oxide nanoparticles as a function of zeta potential. Biomaterials 2007, 28, 4600–4607. [Google Scholar] [CrossRef]
- Ross, A.M.; Cahalane, R.M.; Walsh, D.R.; Grabrucker, A.M.; Marcar, L.; Mulvihill, J.J.E. Identification of Nanoparticle Properties for Optimal Drug Delivery across a Physiological Cell Barrier. Pharmaceutics 2023, 15, 200. [Google Scholar] [CrossRef]
- Dai, Q.; Walkey, C.; Chan, W.C. Polyethylene glycol backfilling mitigates the negative impact of the protein corona on nanoparticle cell targeting. Angew. Chem. Int. Ed. Engl. 2014, 53, 5093–5096. [Google Scholar] [CrossRef]
- El-Saadony, M.T.; Yang, T.; Korma, S.A.; Sitohy, M.; Abd El-Mageed, T.A.; Selim, S.; Al Jaouni, S.K.; Salem, H.M.; Mahmmod, Y.; Soliman, S.M.; et al. Impacts of turmeric and its principal bioactive curcumin on human health: Pharmaceutical, medicinal, and food applications: A comprehensive review. Front. Nutr. 2022, 9, 1040259. [Google Scholar] [CrossRef]
- Yong, H.W.; Ojagh, S.M.A.; Theberge-Julien, G.; Castellanos, L.S.R.; Tebbji, F.; van de Ven, T.G.M.; Sellam, A.; Rheaume, E.; Tardif, J.C.; Kakkar, A. Soft nanoparticles as antimicrobial agents and carriers of microbiocides for enhanced inhibition activity. J. Mater. Chem. B 2024, 12, 9296–9311. [Google Scholar] [CrossRef] [PubMed]
- Ji, P.; Yu, T.; Liu, Y.; Jiang, J.; Xu, J.; Zhao, Y.; Hao, Y.; Qiu, Y.; Zhao, W.; Wu, C. Naringenin-loaded solid lipid nanoparticles: Preparation, controlled delivery, cellular uptake, and pulmonary pharmacokinetics. Drug Des. Devel. Ther. 2016, 10, 911–925. [Google Scholar] [CrossRef] [PubMed]
- Singh, L.; Sharma, S.; Xu, S.; Tewari, D.; Fang, J. Curcumin as a Natural Remedy for Atherosclerosis: A Pharmacological Review. Molecules 2021, 26, 4036. [Google Scholar] [CrossRef]
- Yong, H.W.; Ferron, M.; Mecteau, M.; Mihalache-Avram, T.; Levesque, S.; Rheaume, E.; Tardif, J.C.; Kakkar, A. Single Functional Group Platform for Multistimuli Responsivities: Tertiary Amine for CO2/pH/ROS-Triggered Cargo Release in Nanocarriers. Biomacromolecules 2023, 24, 4064–4077. [Google Scholar] [CrossRef]
- Awad, M.; Barnes, T.J.; Prestidge, C.A. Lyophilized Lipid Liquid Crystalline Nanoparticles as an Antimicrobial Delivery System. Antibiotics 2023, 12, 1405. [Google Scholar] [CrossRef]
- Kir, F.; Al-Sulaiti, F.K.; Sahin, S. Evaluation of in vitro dissolution profiles of modified-release metoprolol succinate tablets crushed using mortar and pestle technique. Eur. J. Pharm. Sci. 2024, 194, 106694. [Google Scholar] [CrossRef]
- Zhang, Y.; Huo, M.; Zhou, J.; Zou, A.; Li, W.; Yao, C.; Xie, S. DDSolver: An add-in program for modeling and comparison of drug dissolution profiles. AAPS J. 2010, 12, 263–271. [Google Scholar] [CrossRef] [PubMed]








| Model | Parameter | Original | NLyo | Lyo |
|---|---|---|---|---|
| Zero-order | R2_adj | 0.5628 | 0.4662 | 0.1055 |
| AIC | 68.78 | 80.5272 | 76.9778 | |
| MSC | 0.4196 | 0.2279 | −0.3717 | |
| k0 | 1.196 | 1.882 | 1.833 | |
| First-order | R2_adj | 0.7349 | 0.8315 | 0.6463 |
| k1 | 0.018 | 0.044 | 0.062 | |
| AIC | 63.7871 | 68.9974 | 68.6274 | |
| MSC | 0.9197 | 1.3812 | 0.5561 | |
| Higuchi | R2_adj | 0.9925 | 0.9575 | 0.8198 |
| AIC | 28.1145 | 55.2121 | 62.5602 | |
| MSC | 4.4870 | 2.7594 | 1.2302 | |
| kH | 7.102 | 11.356 | 11.968 | |
| Hixson–Crowell | R2_adj | 0.6813 | 0.7420 | 0.5146 |
| AIC | 65.6262 | 73.2591 | 71.4762 | |
| MSC | 0.7358 | 0.9547 | 0.2396 | |
| kHC | 0.005 | 0.012 | 0.020 | |
| Korsmeyer–Peppas | R2_adj | 0.9978 | 0.9676 | 0.9132 |
| AIC | 16.4943 | 53.3254 | 56.7789 | |
| MSC | 5.6490 | 2.9481 | 1.8726 | |
| kKP | 8.145 | 13.954 | 19.745 | |
| Baker–Lonsdale | R2_adj | 0.9981 | 0.9785 | 0.9078 |
| AIC | 14.2003 | 48.4298 | 56.5281 | |
| MSC | 5.8784 | 3.4377 | 1.9005 | |
| kBL | 0.001 | 0.003 | 0.004 | |
| Weibull | R2_adj | 0.9975 | 0.9921 | 0.9914 |
| AIC | 18.8299 | 39.8791 | 36.5458 | |
| MSC | 5.4155 | 4.2927 | 4.1207 | |
| β | 0.538 | 0.536 | 0.352 |
| Model | Parameter | Original | NLyo | Lyo |
|---|---|---|---|---|
| Zero-order | R2_adj | 0.0110 | 0.3807 | −0.4453 |
| AIC | 86.6090 | 83.7011 | 90.2645 | |
| MSC | −0.4371 | 0.0844 | −0.9773 | |
| k0 | 1.845 | 1.217 | 1.287 | |
| First-order | R2_adj | 0.6578 | 0.7679 | 0.4341 |
| AIC | 75.9956 | 73.8856 | 80.8882 | |
| MSC | 0.6243 | 1.0660 | −0.0397 | |
| k1 | 0.058 | 0.031 | 0.056 | |
| Higuchi | R2_adj | 0.7977 | 0.8718 | 0.6205 |
| AIC | 70.7397 | 67.9503 | 76.8926 | |
| MSC | 1.1498 | 1.6595 | 0.3599 | |
| kH | 11.760 | 9.319 | 10.394 | |
| Hixson–Crowell | R2_adj | 0.5215 | 0.6606 | 0.2780 |
| AIC | 79.3490 | 77.6863 | 83.3233 | |
| MSC | 0.2889 | 0.6859 | −0.2832 | |
| kHC | 0.019 | 0.008 | 0.016 | |
| Korsmeyer–Peppas | R2_adj | 0.8786 | 0.8936 | 0.9339 |
| AIC | 66.4524 | 66.9126 | 60.2363 | |
| MSC | 1.5786 | 1.7633 | 2.0255 | |
| kKP | 18.750 | 13.692 | 24.795 | |
| Baker–Lonsdale | R2_adj | 0.8860 | 0.9162 | 0.8022 |
| AIC | 65.0041 | 63.7047 | 70.3783 | |
| MSC | 1.7234 | 2.0841 | 1.0113 | |
| kBL | 0.004 | 0.002 | 0.003 | |
| Weibull | R2_adj | 0.9326 | 0.9166 | 0.9542 |
| AIC | 61.2426 | 65.1366 | 57.2354 | |
| MSC | 2.0995 | 1.9409 | 2.3256 | |
| β | 0.538 | 0.536 | 0.352 |
Disclaimer/Publisher’s Note: The statements, opinions and data contained in all publications are solely those of the individual author(s) and contributor(s) and not of MDPI and/or the editor(s). MDPI and/or the editor(s) disclaim responsibility for any injury to people or property resulting from any ideas, methods, instructions or products referred to in the content. |
© 2025 by the authors. Licensee MDPI, Basel, Switzerland. This article is an open access article distributed under the terms and conditions of the Creative Commons Attribution (CC BY) license (https://creativecommons.org/licenses/by/4.0/).
Share and Cite
Yousefi Adlsadabad, S.; Théberge-Julien, G.; Gutierrez, F.F.P.; Medina, R.B.; Mercado, X.M.; Rhéaume, É.; Tardif, J.-C.; Kakkar, A. Unraveling Lyophilization and Redispersion Effects on Miktoarm Polymer-Based Nanoformulations. Int. J. Mol. Sci. 2025, 26, 10015. https://doi.org/10.3390/ijms262010015
Yousefi Adlsadabad S, Théberge-Julien G, Gutierrez FFP, Medina RB, Mercado XM, Rhéaume É, Tardif J-C, Kakkar A. Unraveling Lyophilization and Redispersion Effects on Miktoarm Polymer-Based Nanoformulations. International Journal of Molecular Sciences. 2025; 26(20):10015. https://doi.org/10.3390/ijms262010015
Chicago/Turabian StyleYousefi Adlsadabad, Samaneh, Gabriel Théberge-Julien, Fatima Fernanda Portillo Gutierrez, Ricardo Beltran Medina, Ximena Matias Mercado, Éric Rhéaume, Jean-Claude Tardif, and Ashok Kakkar. 2025. "Unraveling Lyophilization and Redispersion Effects on Miktoarm Polymer-Based Nanoformulations" International Journal of Molecular Sciences 26, no. 20: 10015. https://doi.org/10.3390/ijms262010015
APA StyleYousefi Adlsadabad, S., Théberge-Julien, G., Gutierrez, F. F. P., Medina, R. B., Mercado, X. M., Rhéaume, É., Tardif, J.-C., & Kakkar, A. (2025). Unraveling Lyophilization and Redispersion Effects on Miktoarm Polymer-Based Nanoformulations. International Journal of Molecular Sciences, 26(20), 10015. https://doi.org/10.3390/ijms262010015

