TRAIL and RIPK3 Do Not Predict Mortality and Acute Kidney Injury in Critically Ill Patients at Admission to the Intensive Care Unit—A Single-Center Cohort Study
Abstract
1. Introduction
2. Results
2.1. Patients’ Characteristics
2.2. TRAIL and RIPK3 Plasma Levels and Associations with Clinical Variables
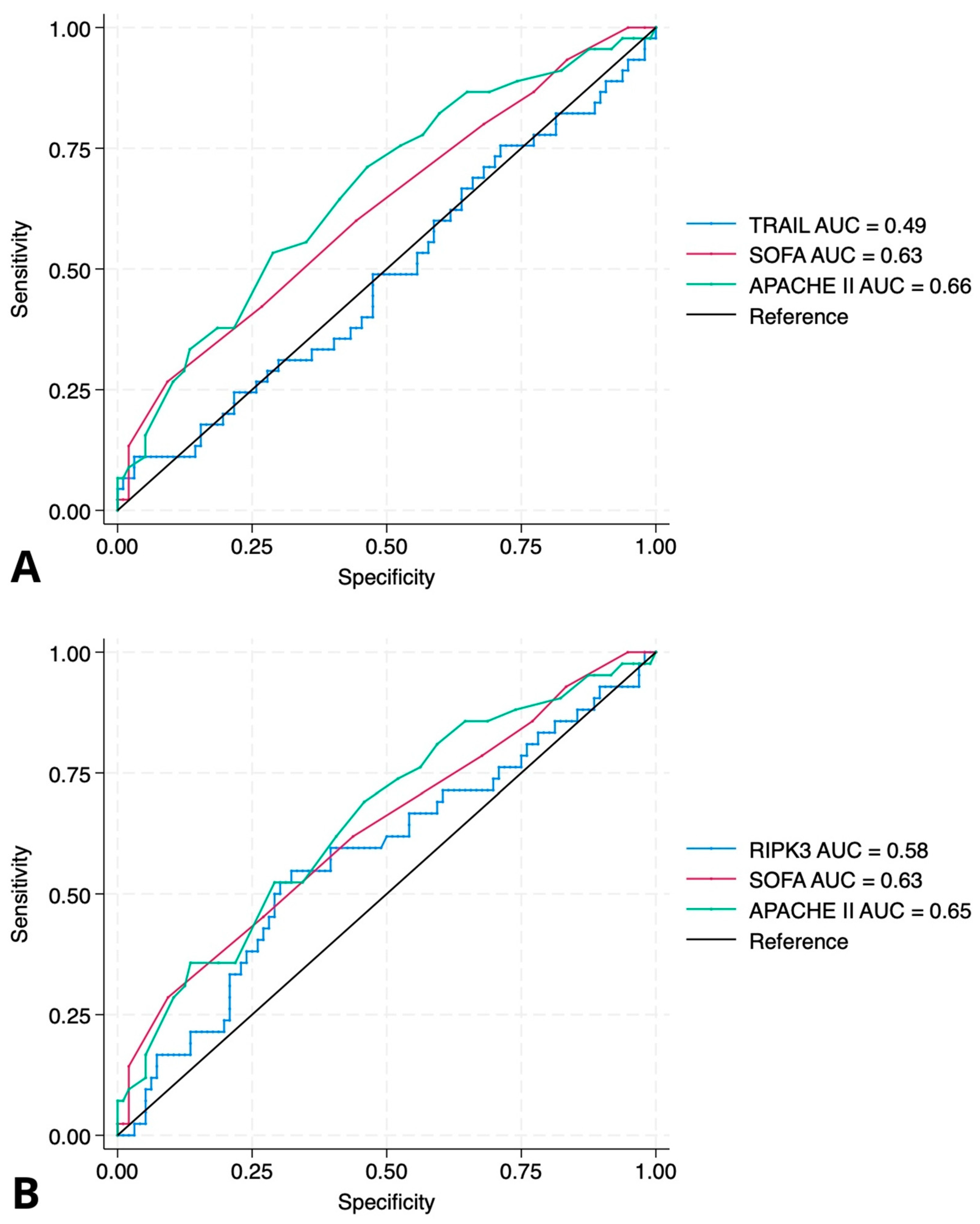
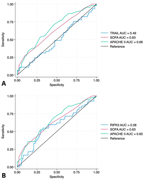
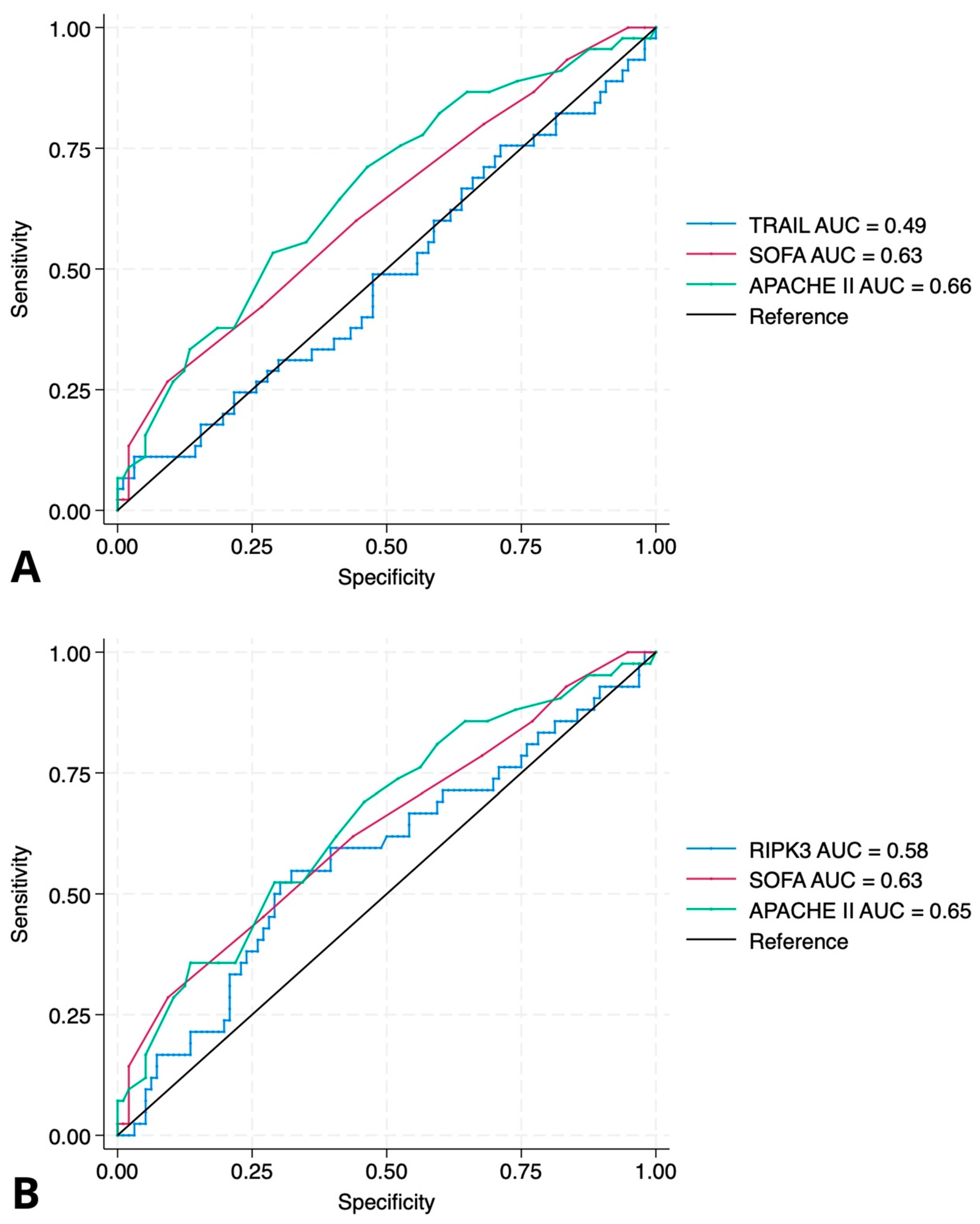
2.3. Association of TRAIL and RIPK3 with In-Hospital Mortality
2.4. Association of TRAIL and RIPK3 with 2-Year Mortality
2.5. Association of TRAIL and RIPK3 with AKI
2.6. Sensitivity Analyses
3. Discussion
3.1. Mortality
3.2. AKI
3.3. Future Directions and Potential Applications
4. Materials and Methods
4.1. Study Population
4.2. Design of the Study
4.3. Measurement of Plasma TRAIL and RIPK3
4.4. Two-Year Follow-Up
4.5. Statistical Analysis
Author Contributions
Funding
Institutional Review Board Statement
Informed Consent Statement
Data Availability Statement
Acknowledgments
Conflicts of Interest
Abbreviations
| AKI | Acute kidney injury |
| APACHE II | Acute Physiology and Chronic Health Evaluation II |
| COPD | Chronic obstructive pulmonary disease |
| CRP | C-reactive protein |
| ELISA | Enzyme-linked immunosorbent assay |
| ICU | Intensive care unit |
| IQR | Interquartile range |
| RIPK3 | Receptor-interacting serine/threonine protein kinase-3 |
| SOFA | Sequential Organ Failure Assessment |
| TNF | Tumor necrosis factor |
| TRAIL | TNF-related apoptosis-inducing ligand |
References
- Vincent, J.L.; Marshall, J.C.; Namendys-Silva, S.A.; Francois, B.; Martin-Loeches, I.; Lipman, J.; Reinhart, K.; Antonelli, M.; Pickkers, P.; Njimi, H.; et al. Assessment of the worldwide burden of critical illness: The intensive care over nations (ICON) audit. Lancet Respir. Med. 2014, 2, 380–386. [Google Scholar] [CrossRef] [PubMed]
- Balcan, B.; Olgun, S.; Torlak, F.; Sagmen, S.B.; Eryuksel, E.; Karakurt, S. Determination of Factors Affecting Mortality of Patients with Sepsis in a Tertiary Intensive Care Unit. Turk. Thorac. J. 2015, 16, 128–132. [Google Scholar] [CrossRef] [PubMed]
- Mezzaroba, A.L.; Larangeira, A.S.; Morakami, F.K.; Junior, J.J.; Vieira, A.A.; Costa, M.M.; Kaneshima, F.M.; Chiquetti, G.; Colonheze, U.E.; Brunello, G.C.S.; et al. Evaluation of time to death after admission to an intensive care unit and factors associated with mortality: A retrospective longitudinal study. Int. J. Crit. Illn. Inj. Sci. 2022, 12, 121–126. [Google Scholar] [CrossRef]
- Vincent, J.L.; Moreno, R.; Takala, J.; Willatts, S.; De Mendonca, A.; Bruining, H.; Reinhart, C.K.; Suter, P.M.; Thijs, L.G. The SOFA (Sepsis-related Organ Failure Assessment) score to describe organ dysfunction/failure. On behalf of the Working Group on Sepsis-Related Problems of the European Society of Intensive Care Medicine. Intensive Care Med. 1996, 22, 707–710. [Google Scholar] [CrossRef] [PubMed]
- Ferreira, F.L.; Bota, D.P.; Bross, A.; Melot, C.; Vincent, J.L. Serial evaluation of the SOFA score to predict outcome in critically ill patients. JAMA 2001, 286, 1754–1758. [Google Scholar] [CrossRef]
- Condotta, S.A.; Cabrera-Perez, J.; Badovinac, V.P.; Griffith, T.S. T-cell-mediated immunity and the role of TRAIL in sepsis-induced immunosuppression. Crit. Rev. Immunol. 2013, 33, 23–40. [Google Scholar] [CrossRef]
- Chen, X.; Chen, B.; Zhao, H. Role of Neutrophils in Anti-Tumor Activity: Characteristics and Mechanisms of Action. Cancers 2025, 17, 1298. [Google Scholar] [CrossRef]
- Schenck, E.J.; Ma, K.C.; Price, D.R.; Nicholson, T.; Oromendia, C.; Gentzler, E.R.; Sanchez, E.; Baron, R.M.; Fredenburgh, L.E.; Huh, J.W.; et al. Circulating cell death biomarker TRAIL is associated with increased organ dysfunction in sepsis. JCI Insight 2019, 4, e127143. [Google Scholar] [CrossRef]
- Tian, Y.; Tao, T.; Zhu, J.; Zou, Y.; Wang, J.; Li, J.; Bo, L.; Deng, X. Soluble tumor necrosis factor related apoptosis inducing ligand level as a predictor of severity of sepsis and the risk of mortality in septic patients. PLoS ONE 2013, 8, e82204. [Google Scholar] [CrossRef]
- Sureshbabu, A.; Patino, E.; Ma, K.C.; Laursen, K.; Finkelsztein, E.J.; Akchurin, O.; Muthukumar, T.; Ryter, S.W.; Gudas, L.; Choi, A.M.K.; et al. RIPK3 promotes sepsis-induced acute kidney injury via mitochondrial dysfunction. JCI Insight 2018, 3, e98411. [Google Scholar] [CrossRef]
- McGrath, E.E.; Marriott, H.M.; Lawrie, A.; Francis, S.E.; Sabroe, I.; Renshaw, S.A.; Dockrell, D.H.; Whyte, M.K. TNF-related apoptosis-inducing ligand (TRAIL) regulates inflammatory neutrophil apoptosis and enhances resolution of inflammation. J. Leukoc. Biol. 2011, 90, 855–865. [Google Scholar] [CrossRef]
- El Kebir, D.; Filep, J.G. Targeting neutrophil apoptosis for enhancing the resolution of inflammation. Cells 2013, 2, 330–348. [Google Scholar] [CrossRef]
- Cziupka, K.; Busemann, A.; Partecke, L.I.; Potschke, C.; Rath, M.; Traeger, T.; Koerner, P.; von Bernstorff, W.; Kessler, W.; Diedrich, S.; et al. Tumor necrosis factor-related apoptosis-inducing ligand (TRAIL) improves the innate immune response and enhances survival in murine polymicrobial sepsis. Crit. Care Med. 2010, 38, 2169–2174. [Google Scholar] [CrossRef] [PubMed]
- Gurung, P.; Rai, D.; Condotta, S.A.; Babcock, J.C.; Badovinac, V.P.; Griffith, T.S. Immune unresponsiveness to secondary heterologous bacterial infection after sepsis induction is TRAIL dependent. J. Immunol. 2011, 187, 2148–2154. [Google Scholar] [CrossRef]
- Yoo, H.; Lee, J.Y.; Park, J.; Yang, J.H.; Suh, G.Y.; Jeon, K. Association of Plasma Level of TNF-Related Apoptosis-Inducing Ligand with Severity and Outcome of Sepsis. J. Clin. Med. 2020, 9, 1661. [Google Scholar] [CrossRef] [PubMed]
- Sheridan, J.P.; Marsters, S.A.; Pitti, R.M.; Gurney, A.; Skubatch, M.; Baldwin, D.; Ramakrishnan, L.; Gray, C.L.; Baker, K.; Wood, W.I.; et al. Control of TRAIL-induced apoptosis by a family of signaling and decoy receptors. Science 1997, 277, 818–821. [Google Scholar] [CrossRef]
- Hua, D.X.; Ma, K.S.; Cheng, J.Y.; Liu, Y.; Sun, J.; He, Q.Y.; Deng, Y.P.; Yang, J.; Fu, L.; Zhao, H. Serum TRAIL predicts severity and prognosis in patients with community-acquired pneumonia: A prospective cohort study. Intern. Emerg. Med. 2022, 17, 2279–2290. [Google Scholar] [CrossRef]
- Molinero, M.; Gómez, S.; Benítez, I.D.; Vengoechea, J.J.; González, J.; Polanco, D.; Gort-Paniello, C.; Moncusí-Moix, A.; García-Hidalgo, M.C.; Perez-Pons, M.; et al. Multiplex protein profiling of bronchial aspirates reveals disease-, mortality- and respiratory sequelae-associated signatures in critically ill patients with ARDS secondary to SARS-CoV-2 infection. Front. Immunol. 2022, 13, 942443. [Google Scholar] [CrossRef] [PubMed]
- Snajdauf, M.; Havlova, K.; Vachtenheim, J.; Ozaniak, A.; Lischke, R.; Bartunkova, J.; Smrz, D.; Strizova, Z. The TRAIL in the Treatment of Human Cancer: An Update on Clinical Trials. Front. Mol. Biosci. 2021, 8, 628332. [Google Scholar] [CrossRef]
- Secchiero, P.; Zerbinati, C.; Rimondi, E.; Corallini, F.; Milani, D.; Grill, V.; Forti, G.; Capitani, S.; Zauli, G. TRAIL promotes the survival, migration and proliferation of vascular smooth muscle cells. Cell. Mol. Life Sci. 2004, 61, 1965–1974. [Google Scholar] [CrossRef]
- Spierings, D.C.; de Vries, E.G.; Vellenga, E.; van den Heuvel, F.A.; Koornstra, J.J.; Wesseling, J.; Hollema, H.; de Jong, S. Tissue distribution of the death ligand TRAIL and its receptors. J. Histochem. Cytochem. 2004, 52, 821–831. [Google Scholar] [CrossRef]
- Tanner, M.A.; Thomas, T.P.; Grisanti, L.A. Death receptor 5 contributes to cardiomyocyte hypertrophy through epidermal growth factor receptor transactivation. J. Mol. Cell. Cardiol. 2019, 136, 1–14. [Google Scholar] [CrossRef]
- Di Bartolo, B.A.; Cartland, S.P.; Harith, H.H.; Bobryshev, Y.V.; Schoppet, M.; Kavurma, M.M. TRAIL-deficiency accelerates vascular calcification in atherosclerosis via modulation of RANKL. PLoS ONE 2013, 8, e74211. [Google Scholar] [CrossRef]
- Bate, K.A.; Genetzakis, E.; Vescovi, J.; Gray, M.P.; Celermajer, D.S.; McGuire, H.M.; Grieve, S.M.; Vernon, S.T.; Cartland, S.P.; Yang, J.Y.; et al. Vascular Cytokines and Atherosclerosis: Differential Serum Levels of TRAIL, IL-18, and OPG in Obstructive Coronary Artery Disease. Biomolecules 2024, 14, 1119. [Google Scholar] [CrossRef]
- Hameed, A.G.; Arnold, N.D.; Chamberlain, J.; Pickworth, J.A.; Paiva, C.; Dawson, S.; Cross, S.; Long, L.; Zhao, L.; Morrell, N.W.; et al. Inhibition of tumor necrosis factor-related apoptosis-inducing ligand (TRAIL) reverses experimental pulmonary hypertension. J. Exp. Med. 2012, 209, 1919–1935. [Google Scholar] [CrossRef]
- Stenemo, M.; Nowak, C.; Byberg, L.; Sundstrom, J.; Giedraitis, V.; Lind, L.; Ingelsson, E.; Fall, T.; Arnlov, J. Circulating proteins as predictors of incident heart failure in the elderly. Eur. J. Heart Fail. 2018, 20, 55–62. [Google Scholar] [CrossRef]
- Volpato, S.; Ferrucci, L.; Secchiero, P.; Corallini, F.; Zuliani, G.; Fellin, R.; Guralnik, J.M.; Bandinelli, S.; Zauli, G. Association of tumor necrosis factor-related apoptosis-inducing ligand with total and cardiovascular mortality in older adults. Atherosclerosis 2011, 215, 452–458. [Google Scholar] [CrossRef]
- Bernardi, S.; Bossi, F.; Toffoli, B.; Fabris, B. Roles and Clinical Applications of OPG and TRAIL as Biomarkers in Cardiovascular Disease. BioMed Res. Int. 2016, 2016, 1752854. [Google Scholar] [CrossRef] [PubMed]
- Mallarpu, C.S.; Ponnana, M.; Prasad, S.; Singarapu, M.; Kim, J.; Haririparsa, N.; Bratic, N.; Brar, H.; Chelluri, L.K.; Madiraju, C. Distinct cell death markers identified in critical care patient survivors diagnosed with sepsis. Immunol. Lett. 2021, 231, 1–10. [Google Scholar] [CrossRef] [PubMed]
- Siempos, I.I.; Ma, K.C.; Imamura, M.; Baron, R.M.; Fredenburgh, L.E.; Huh, J.W.; Moon, J.S.; Finkelsztein, E.J.; Jones, D.S.; Lizardi, M.T.; et al. RIPK3 mediates pathogenesis of experimental ventilator-induced lung injury. JCI Insight 2018, 3, e97102. [Google Scholar] [CrossRef]
- Ma, K.C.; Schenck, E.J.; Siempos, I.I.; Cloonan, S.M.; Finkelsztein, E.J.; Pabon, M.A.; Oromendia, C.; Ballman, K.V.; Baron, R.M.; Fredenburgh, L.E.; et al. Circulating RIPK3 levels are associated with mortality and organ failure during critical illness. JCI Insight 2018, 3, e99692. [Google Scholar] [CrossRef]
- Dundar, N.B.; Inci, K.; Pamuk, I.; Aygencel, G.; Turkoglu, M. Predictors of Intensive Care Unit Outcomes in Elderly Patients with Acute Respiratory Failure: A Retrospective Cohort Study. J. Clin. Med. 2025, 14, 5761. [Google Scholar] [CrossRef] [PubMed]
- Goncalves-Pereira, J.; Oliveira, A.; Vieira, T.; Rodrigues, A.R.; Pinto, M.J.; Pipa, S.; Martinho, A.; Ribeiro, S.; Paiva, J.A. Critically ill patient mortality by age: Long-term follow-up (CIMbA-LT). Ann. Intensive Care 2023, 13, 7. [Google Scholar] [CrossRef]
- Gayat, E.; Cariou, A.; Deye, N.; Vieillard-Baron, A.; Jaber, S.; Damoisel, C.; Lu, Q.; Monnet, X.; Rennuit, I.; Azoulay, E.; et al. Determinants of long-term outcome in ICU survivors: Results from the FROG-ICU study. Crit. Care 2018, 22, 8. [Google Scholar] [CrossRef] [PubMed]
- Guillon, A.; Hermetet, C.; Barker, K.A.; Jouan, Y.; Gaborit, C.; Ehrmann, S.; Le Manach, Y.; Dequin, P.F.; Grammatico-Guillon, L. Long-term survival of elderly patients after intensive care unit admission for acute respiratory infection: A population-based, propensity score-matched cohort study. Crit. Care 2020, 24, 384. [Google Scholar] [CrossRef]
- Shashaty, M.G.; Reilly, J.P.; Sims, C.A.; Holena, D.N.; Qing, D.; Forker, C.M.; Hotz, M.J.; Meyer, N.J.; Lanken, P.N.; Feldman, H.I.; et al. Plasma Levels of Receptor Interacting Protein Kinase-3 (RIP3), an Essential Mediator of Necroptosis, are Associated with Acute Kidney Injury in Critically Ill Trauma Patients. Shock 2016, 46, 139–143. [Google Scholar] [CrossRef]
- Antcliffe, D.B.; Burnham, K.L.; Al-Beidh, F.; Santhakumaran, S.; Brett, S.J.; Hinds, C.J.; Ashby, D.; Knight, J.C.; Gordon, A.C. Transcriptomic Signatures in Sepsis and a Differential Response to Steroids. From the VANISH Randomized Trial. Am. J. Respir. Crit. Care Med. 2019, 199, 980–986, Erratum in Am. J. Respir. Crit. Care Med. 2022, 206, 1572–1573. [Google Scholar] [CrossRef] [PubMed]
- Pelaia, T.M.; Shojaei, M.; McLean, A.S. The Role of Transcriptomics in Redefining Critical Illness. Crit. Care 2023, 27, 89. [Google Scholar] [CrossRef]
- Rygasiewicz, K.; Hryszko, T.; Siemiatkowski, A.; Brzosko, S.; Rydzewska-Rosolowska, A.; Naumnik, B. C-terminal and intact FGF23 in critical illness and their associations with acute kidney injury and in-hospital mortality. Cytokine 2018, 103, 15–19. [Google Scholar] [CrossRef]
- Wagner-Golbs, A.; Neuber, S.; Kamlage, B.; Christiansen, N.; Bethan, B.; Rennefahrt, U.; Schatz, P.; Lind, L. Effects of Long-Term Storage at −80 degrees C on the Human Plasma Metabolome. Metabolites 2019, 9, 99. [Google Scholar] [CrossRef]
- Jensen, C.Z.; Nygaard, B.; Faber, J.; Pedersen, P.L.; Larsen, M.K.; Kanters, J.K.; Poulsen, H.E.; Kellogg, M.; Ellervik, C. Long-term stability of thyroid peroxidase antibody (anti-TPO) in serum in the Danish General Suburban Population Study. Clin. Chem. Lab. Med. 2023, 61, 1590–1596. [Google Scholar] [CrossRef] [PubMed]


| Characteristic | All | Survivors | Non–Survivors | p Value |
|---|---|---|---|---|
| (n = 142) | (n = 97) | (n = 45) | ||
| Demographics | ||||
| Age years median (IQR) | 64 (48–77) | 61 (46–71) | 69 (53–81) | p = 0.03 * |
| Sex (M/F), n (%) | 84/58 (59/41) | 62/35 (64/36) | 22/23 (49/51) | p = 0.09 |
| Incident AKI, n (%) | 14 (10%) | 6 (6) | 8 (18) | p = 0.03 * |
| Comorbidities, n (%) | ||||
| Diabetes mellitus | 21 (15) | 12 (12) | 9 (20) | p = 0.2 |
| Chronic heart failure | 45 (32) | 28 (29) | 17 (38) | p = 0.2 |
| Ischemic heart disease | 27 (19) | 17 (18) | 10 (22) | p = 0.5 |
| Hypertension | 63 (44) | 39 (40) | 24 (53) | p = 0.1 |
| COPD | 18 (13) | 12 (12) | 6 (13) | p = 0.8 |
| Sepsis | 38 (27) | 20 (21) | 18 (40) | p = 0.01 * |
| Illness severity, median (IQR) | ||||
| APACHE II | 18 (12–22) | 17 (11–21) | 21 (17–26) | p < 0.01 * |
| SOFA | 9 (8–11) | 9 (8–11) | 10 (9–12) | p < 0.01 * |
| Laboratory, median (IQR) | ||||
| Hemoglobin, g/dL | 11.75 (10.2–13.1) | 12.1 (10.2–13.1) | 11.2 (10.1–13.0) | p = 0.6 |
| Creatinine, mg/dL | 0.82 (0.62–1.06) | 0.82 (0.61–1.04) | 0.86 (0.64–1.13) | p = 0.4 |
| CRP, mg/L | 61.8 (10–145) | 49 (8.3–131.0) | 87.5 (20.15–195) | p = 0.07 |
| Procalcitonin, ng/mL | 0.54 (0.14–2.81) | 0.44 (0.12–1.9) | 0.71 (0.17–4.31) | p = 0.6 |
| TRAIL, pg/mL | 24.58 (14.61–43.69) | 24.69 (14.61–43.69) | 22.6 (15.36–41.39) | p = 0.7 |
| RIPK3, pg/mL | 2022 (876.4–3384) | 1829 (836.6–3091.5) | 2610.5 (957.5–3681) | p = 0.3 |
Disclaimer/Publisher’s Note: The statements, opinions and data contained in all publications are solely those of the individual author(s) and contributor(s) and not of MDPI and/or the editor(s). MDPI and/or the editor(s) disclaim responsibility for any injury to people or property resulting from any ideas, methods, instructions or products referred to in the content. |
© 2025 by the authors. Licensee MDPI, Basel, Switzerland. This article is an open access article distributed under the terms and conditions of the Creative Commons Attribution (CC BY) license (https://creativecommons.org/licenses/by/4.0/).
Share and Cite
Kakareko, K.; Rydzewska-Rosolowska, A.; Glowinska, I.; Regulska, E.; Rygasiewicz, K.; Koc-Zorawska, E.; Hryszko, T. TRAIL and RIPK3 Do Not Predict Mortality and Acute Kidney Injury in Critically Ill Patients at Admission to the Intensive Care Unit—A Single-Center Cohort Study. Int. J. Mol. Sci. 2025, 26, 9090. https://doi.org/10.3390/ijms26189090
Kakareko K, Rydzewska-Rosolowska A, Glowinska I, Regulska E, Rygasiewicz K, Koc-Zorawska E, Hryszko T. TRAIL and RIPK3 Do Not Predict Mortality and Acute Kidney Injury in Critically Ill Patients at Admission to the Intensive Care Unit—A Single-Center Cohort Study. International Journal of Molecular Sciences. 2025; 26(18):9090. https://doi.org/10.3390/ijms26189090
Chicago/Turabian StyleKakareko, Katarzyna, Alicja Rydzewska-Rosolowska, Irena Glowinska, Elzbieta Regulska, Karolina Rygasiewicz, Ewa Koc-Zorawska, and Tomasz Hryszko. 2025. "TRAIL and RIPK3 Do Not Predict Mortality and Acute Kidney Injury in Critically Ill Patients at Admission to the Intensive Care Unit—A Single-Center Cohort Study" International Journal of Molecular Sciences 26, no. 18: 9090. https://doi.org/10.3390/ijms26189090
APA StyleKakareko, K., Rydzewska-Rosolowska, A., Glowinska, I., Regulska, E., Rygasiewicz, K., Koc-Zorawska, E., & Hryszko, T. (2025). TRAIL and RIPK3 Do Not Predict Mortality and Acute Kidney Injury in Critically Ill Patients at Admission to the Intensive Care Unit—A Single-Center Cohort Study. International Journal of Molecular Sciences, 26(18), 9090. https://doi.org/10.3390/ijms26189090

