Next Article in Journal
Profiling of Volatile Metabolites of Escherichia coli Using Gas Chromatography–Mass Spectrometry
Next Article in Special Issue
The First Simplified Heparan Sulphate—Alginate Hybrid Trisaccharides: Synthesis and Biological Effects on Human Dermal Fibroblasts
Previous Article in Journal
Brucella-Induced Impairment of Decidualization and Its Impact on Trophoblast Function and Inflammatory Profile
Previous Article in Special Issue
Stereoselective Synthesis of Axially Chiral 5,5′-Linked bis-1-Arylisochromans with Antibacterial Activity
 
 
Font Type:
Arial Georgia Verdana
Font Size:
Aa Aa Aa
Line Spacing:
Column Width:
Background:
Review

Pyrazolo[5,1-c][1,2,4]triazole: A Promising Emerging Biologically Active Scaffold in Medicinal Chemistry

by
Beniamin-Nicolae Pintea
,
Vasilica-Georgiana Panțîr
,
Valentin Badea
* and
Francisc Péter
Department of Applied Chemistry and Engineering of Organic and Natural Compounds, Faculty of Chemical Engineering, Biotechnology, and Environmental Protection, University Politehnica Timișoara, Vasile Parvan Blv. 6, 300223 Timișoara, Romania
*
Author to whom correspondence should be addressed.
Int. J. Mol. Sci. 2025, 26(17), 8190; https://doi.org/10.3390/ijms26178190
Submission received: 27 June 2025 / Revised: 19 August 2025 / Accepted: 21 August 2025 / Published: 23 August 2025
(This article belongs to the Special Issue Heterocyclic Compounds: Synthesis, Design, and Biological Activity)

Abstract

Nitrogen-containing heterocycles are essential compounds in nature, and their structural and functional diversity inspired the synthesis of a wide range of derivatives with diverse applications as pharmaceuticals, agrochemicals, dyes, polymers, cosmetics, etc. Among them, N-fused heterocycles represent an important category, due to their high potential as biologically active agents. Pyrazolo[5,1-c][1,2,4]triazoles, a class of nitrogen heterobicycles, have multiple applications as dyes and pigments. Also, a number of compounds containing this structure have been investigated for their biological activities. All the main experimental results published in the literature (both articles and patents) regarding the latter are summarized in this review.

1. Introduction

Most pharmaceuticals currently in use are small organic molecules, and, among them, nitrogen-containing heterocyclic scaffolds have shown very useful biological activities against various diseases [1]. Moreover, N-heterocyclic structures are widely distributed in nature, including in amino acids, peptides and proteins; nucleotides, nucleosides and nucleic acids; vitamins and many secondary metabolites [2]. Almost one-third of the best-selling therapeutics contain fused heterocyclic structures, justifying the high scientific interest and research effort towards these compounds. N-Fused heterocyclic compounds are basic components of several common pharmaceuticals, agrochemicals, plastics, and dyes [3,4].
Pyrazolo[5,1-c][1,2,4]triazoles are a class of N-containing biheterocyclic compounds mainly known for their use in dyes and pigments in a wide variety of fields. The pyrazolo[5,1-c][1,2,4]triazole system can theoretically exist in four tautomeric forms, namely 1H, 3H, 5H, and 7H (Figure 1); the most widely encountered is the 1H form, while the 5H form has been reported only in a few compounds, some of which are actually 5-substituted. The remaining two, not fully aromatic forms 3H and 7H, have been seen almost exclusively in 3,3- and 7,7-disubstituted compounds, respectively.
The numerous methods reported in the literature for the synthesis of the pyrazolo[5,1-c][1,2,4]triazole core have been recently reviewed [5,6].
The pyrazolo[5,1-c][1,2,4]triazole system combines two frequently used biologically active scaffolds, those of pyrazole and 1,2,4-triazole. Also, as a 5-5 bicyclic system, it is similar in size to other 5-5, 5-6, and 6-6 scaffolds. Not surprisingly, then, a number of biological activity studies have included pyrazolo[5,1-c][1,2,4]triazole derivatives, including several annulated analogs. The aim of the present review is to report all the relevant findings of these studies, in order to highlight the biological potential of this scaffold. Principally, the Reaxys and SciFinder databases were used for the literature search, covering the period between 1988 and 2025, targeting structures containing the pyrazolo[5,1-c][1,2,4]triazole core and the biological activity of these compounds.
Note: This present work is organized based on the biological activity the compounds were tested for, as described below:
  • Acetylcholinesterase inhibition activity
  • Anti-inflammatory activity
  • Analgesic activity
  • Antidiabetic activity
  • Antibacterial activity
  • Antifungal activity
  • Antiviral activity
  • Antiprotozoal activity
  • Anticancer activity
  • C3a receptor binding activity
  • Miscellaneous biological activities
  • Cytotoxicity
  • Ulcerogenic activity

2. Acetylcholinesterase Inhibition Activity

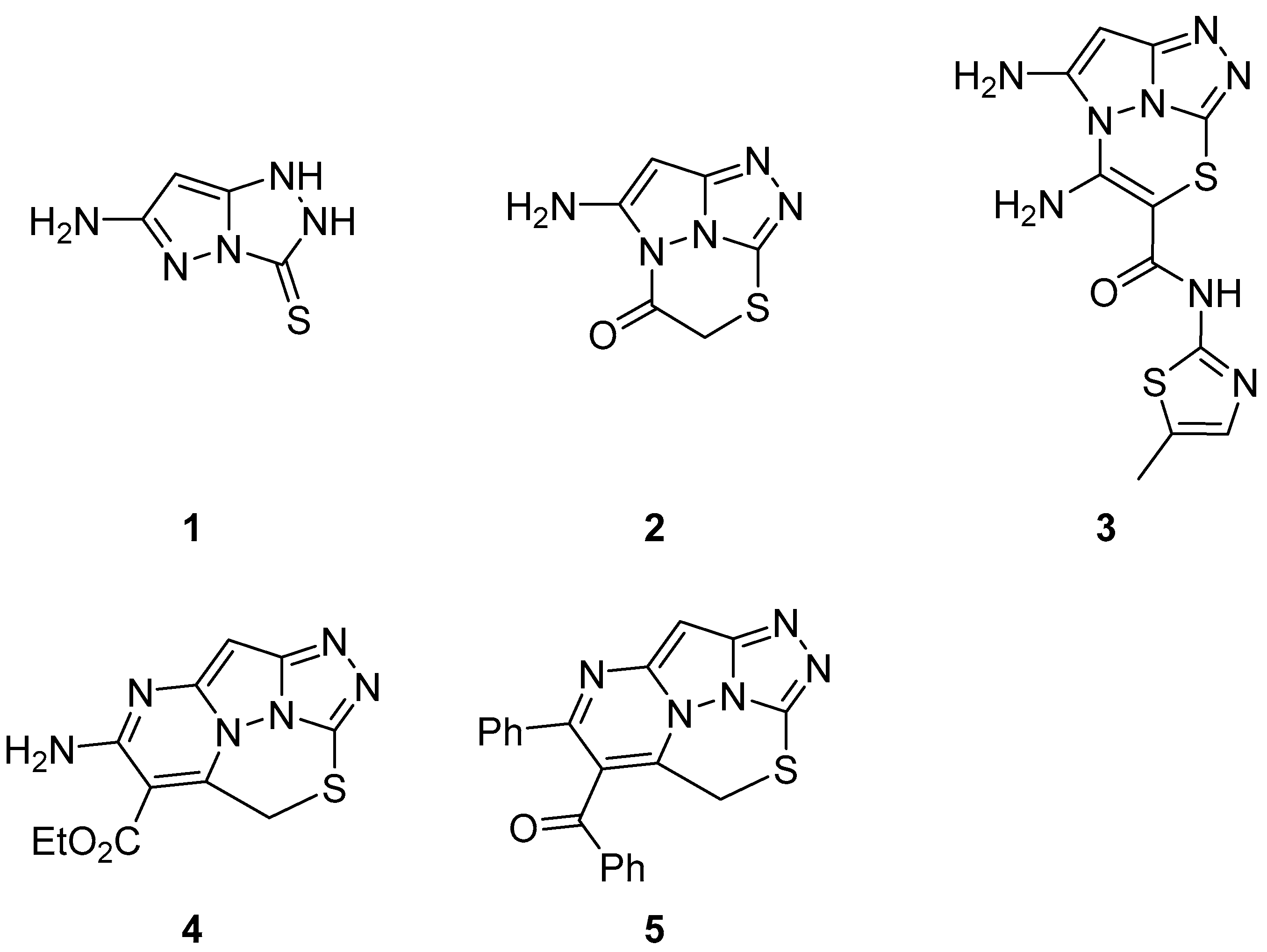
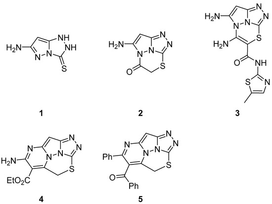
Compounds 15 (Figure 2), 6-amino-1,2-dihydro-3H-pyrazolo[5,1-c][1,2,4]triazole-3-thione 1, 4-amino-1-thia-3a,6,7,7b-tetraazacyclopenta[cd]inden-3(2H)-one 2, 1,7-diamino-N-(5-methyl-1,3-thiazol-2-yl)-3-thia-4,5,7a,7b-tetraazacyclopenta[cd]indene-2-carboxamide 3, ethyl 4-amino-2H-1-thia-5,7,8,8b,8c-pentaazacyclopenta[bc]acenaphthylene-3-carboxylate 4 and phenyl(4-phenyl-2H-1-thia-5,7,8,8b,8c-pentaazacyclopenta[bc]acenaphthylen-3-yl)methanone 5, were assayed for acetylcholinesterase inhibition activity [7]. Donepezil was used as reference drug. The results are displayed in Table 1. Compound 1 showed strong acetylcholinesterase inhibition activity, compounds 4 and 5 were moderate acetylcholinesterase inhibitors, while compounds 2 and 3 were weak inhibitors. (Note: This paper is of poor quality; therefore, the information in it should be taken cautiously.)

3. Anti-Inflammatory Activity

[1,2,4]Triazolo[4′,3′:1,5]pyrazolo[3,4-c]dibenzo[f,h]cinnolines 68 (Figure 3), N-phenyl-11H-dibenzo[f,h][1,2,4]triazolo[4′,3′:1,5]pyrazolo[3,4-c]cinnolin-13-amine 6, 13-phenyl-11H-dibenzo[f,h][1,2,4]triazolo[4′,3′:1,5]pyrazolo[3,4-c]cinnoline 7 and 11,14-dihydro-13H-dibenzo[f,h][1,2,4]triazolo[4′,3′:1,5]pyrazolo[3,4-c]cinnolin-13-one 8, were tested for anti-inflammatory activity in Wistar and Sprague Dawley rats (the animals are described as mice in the Experimental section, obviously an error) [8]. Indomethacin was used as reference drug. The compounds were administered orally at a dose of 5 mg/kg body mass. The results are listed in Table 2. Compound 6 possesses weak anti-inflammatory activity, compound 8 shows intermediary activity, while compound 7 is almost as active as Indomethacin. The high anti-inflammatory activity of compound 7 was attributed to the presence of a secondary amine of triazole [triazine in the original paper] fragment.
The acute toxicity of compound 7 was determined in vivo in mice [8]. The compounds were administered by intraperitoneal injection. Indomethacin was used as standard drug. The results are displayed in Table 3. Compound 7 is moderately toxic, but less toxic than Indomethacin.
2-[(6-Amino-1H-pyrazolo[5,1-c][1,2,4]triazol-3-yl)methyl]-4-(2,4,6-trimethylphenyl)phthalazin-1(2H)-one 9 (Figure 4) was tested for anti-inflammatory activity in rats [9]. The control group (each group included 6 rats) was injected with 2% w/v acacia mucilage, while a second group was treated with Indomethacin as reference drug. The other seven groups were injected with the compound studied. The compounds were administered intraperitoneally at a dose of 1.5 mg/kg body mass. Then the rat paw oedema was induced with 0.1 mL w/v carrageenan subcutaneously. The results are listed in Table 4. Compound 9 possesses moderate anti-inflammatory activity.

4. Analgesic Activity

Compounds 68 (Figure 3) were tested for analgesic activity in Webster mice, with Valdecoxib as reference drug [8]. The compounds were administered subcutaneously at a dose of 5 mg/kg body mass. The results are listed in Table 5. Compound 6 showed intermediate analgesic activity, compound 7 possessed only weak activity, while compound 8 was very active, with its activity after 30 min becoming practically equal to that of Valdecoxib. The high analgesic activity of compound 8 was attributed to the presence of the secondary amine of the triazole fragment in its structure.

5. Antidiabetic Activity

Compounds 1014 (Figure 5), 1-(6-methyl-1H-pyrazolo[5,1-c][1,2,4]triazol-1-yl)ethan-1-one 10, 1-(6-methyl-7-thioxo-7,8-dihydro-1H,5H-azeto[3′,2′:4,5]pyrazolo[5,1-c][1,2,4]triazol-1-yl)ethan-1-one 11, 1-acetyl-6-methyl-1H-pyrazolo[5,1-c][1,2,4]triazole-7-carbothioamide 12, 6-methyl-1H-pyrazolo[5,1-c][1,2,4]triazole-7-carbonitrile 13, and 6-methyl-1H-pyrazolo[5,1-c][1,2,4]triazole 14 (Figure 5) were tested for antidiabetic activity (α-glucosidase and α-amylase inhibitory activities) [10]. The antidiabetic drug Acarbose was used as reference. The results are shown in Table 6. It can be observed that compound 12 is the most potent inhibitor of α-glucosidase, while compounds 14 and 11 are potent inhibitors of α-amylase. Molecular docking studies were also reported in this paper.

6. Antibacterial Activity

2-[5-(5,6-Diphenyl-1,2,4-triazin-3-yl)-6-phenyl-5H-pyrazolo[5,1-c][1,2,4]triazol-3-yl]acetonitrile 15 (Figure 6) was tested in vitro for antibacterial activity against Staphylococcus aureus, Bacillus subtilis, Escherichia coli, and Proteus vulgaris and was found to be inactive in all cases [11].
In another study, three chromeno[2′,3′:3,4]pyrazolo[5,1-c][1,2,4]triazoles 1618 (Figure 7), chromeno[2′,3′:3,4]pyrazolo[5,1-c][1,2,4]triazole-3(2H)-thione 16, 2-methyl-5,6,7,8-tetrahydro-2′H-spiro[chromene-4,3′-chromeno[2′,3′:3,4]pyrazolo[5,1-c][1,2,4]triazole] 17, and 3′,6′-dimethyl-1′-phenyl-1′H,2H-spiro[chromeno[2′,3′:3,4]pyrazolo[5,1-c][1,2,4]triazole-3,4′-pyrano[2,3-c]pyrazole] 18 were tested in vitro for antibacterial activity against two Gram-positive bacteria, Bacillus cereus and Staphylococcus albus, and two Gram-negative bacteria species, Pseudomonas aeruginosa and E. coli [12]. The results are displayed in Table 7. As can be seen, these compounds showed variable activity against bacteria.
The cytotoxicity of compounds 1618 (Figure 7) was determined on brine shrimp (Artemia salina) larvae [12]. The results are shown in Table 8. Compound 17 has low toxicity, while compounds 16 and 18 are non-toxic.
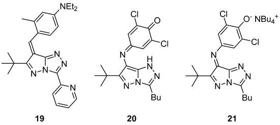
Pyrazolo[5,1-c][1,2,4]triazoles 1921 (Figure 8), 4-{[6-(1,1-dimethylethyl)-3-(pyridin-2-yl)-7H-pyrazolo[5,1-c][1,2,4]triazol-7-ylidene]methyl}-N,N-diethyl-3-methylaniline 19, 4-{[3-butyl-6-(1,1-dimethylethyl)-1H-pyrazolo[5,1-c][1,2,4]triazol-7-yl]imino}-2,6-dichlorocyclohexa-2,5-dien-1-one 20, and tetrabutylammonium 4-{[3-butyl-6-(1,1-dimethylethyl)-7H-pyrazolo[5,1-c][1,2,4]triazol-7-ylidene]amino}-2,6-dichlorophenolate 21 were tested for antibacterial activity against Salmonella typhimurium TA98 and TA100 [13]. H-1 [Kathon biocide; a 3:1 mixture of 5-chloro-2-methylisothiazol-3(2H)-one and 2-methylisothiazol-3(2H)-one)] was used as reference. The results are shown in Table 9 and Table 10. It can be seen that compounds 1921 have antibacterial activity, while, at the same time, they are less toxic than the reference antibacterial agent (no increase in the number of revertant colonies was observed).
Pyrazolo[5,1-c][1,2,4]triazol-6(5H)-ones 2224 (Figure 9), 3-(2-methyl-1H-indol-3-yl)-7-(phenyldiazenyl)-1H-pyrazolo[5,1-c][1,2,4]triazol-6(5H)-one 22, 3-(2-methyl-1H-indol-3-yl)-7-(4-methylphenyldiazenyl)-1H-pyrazolo[5,1-c][1,2,4]triazol-6(5H)-one 23 and 7-(4-chlorophenyldiazenyl)-3-(2-methyl-1H-indol-3-yl)-1H-pyrazolo[5,1-c][1,2,4]triazol-6(5H)-one 24, were also tested in vitro for antibacterial activity against four bacteria, S. aureus, P. aeruginosa, B. subtilis and E. coli [14]. Chloramphenicol was used as reference under the same conditions. The results are displayed in Table 11. Compound 23 exhibited the highest degree of inhibition against P. aeruginosa and E. coli, while compound 22 had a high inhibition effect against P. aeruginosa. Compound 24 showed a high degree of inhibition against E. coli. However, the activities of the tested compounds are much lower than those of the standard antibacterial agent used.
5-(5,6-Diphenyl-1,2,4-triazin-3-yl)-7-methyl-3-phenyl-5H-[1,2,4]triazolo[4′,3′:1,5]pyrazolo[3,4-d]pyrimidin-9(8H)-one 25 (Figure 10) was tested in vitro for antibacterial activity against three bacteria, S. aureus (MTCCB 737), Staphylococcus epidermidis (MTCCB 1824), and E. coli (MTCCB 1652) [15]. Tetracycline was used as standard drug against bacterial strains at 30 μg/mL concentration. The results are shown in Table 12. It can be noted that compound 25 showed good inhibition activities against all species of bacterial strains with respect to Tetracycline. The good antibacterial activity was attributed to the presence of the pyrazolo[3,4-b]pyrimidine scaffold fused with the bioactive heterocyclic moiety of 1,2,4-triazole. The minimum inhibitory concentrations (MIC, μg/mL) of compound 25 against S. aureus (MTCCB 737) and E. coli (MTCCB 1652) are shown in Table 13.
Compound 25 was also tested for cytotoxicity against A. salina larvae [15]. Bleomycin and gallic acid were used as standards. As can be seen in Table 14, compound 25 showed low toxicity against A. salina larvae.
In another study, compounds 6 and 8 (Figure 3) were tested in vitro for antibacterial activity against the same three bacteria, S. aureus, S. epidermidis, and E. coli [8]. The same standard as above was used (Tetracycline at 30 μg/mL concentration). The results are shown in Table 15. It can be seen that compound 8 showed good inhibition against all the species of bacteria, while compound 6 showed weak inhibition.
Compound 9 (Figure 4) and its analog 2-[(6-methyl-1H-pyrazolo[5,1-c][1,2,4]triazol-3-yl)methyl]-4-(2,4,6-trimethylphenyl)phthalazin-1(2H)-one 26 (Figure 11) were tested in vitro for antibacterial activity against four bacterial strains, E. coli, S. aureus, B. subtilis and Salmonella typhi [9,16]. Amoxicillin was used as standard drug. The observed activities are given in Table 16. The results indicate that compound 9 exhibited good antibacterial activity against S. aureus, B. subtilis, and S. typhi and lower activity against E. coli, while compound 26 showed weak activity against all four bacterial species.
In another study, six pyrazolo[5,1-c][1,2,4]triazoles 2732 (Figure 12), ethyl 7-[(4-chlorophenyl)diazenyl]-6-oxo-1-phenyl-5,6-dihydro-1H-pyrazolo[5,1-c][1,2,4]triazole-3-carboxylate 27, ethyl 7-[(4-chlorophenyl)diazenyl]-1-(4-methylphenyl)-6-oxo-5,6-dihydro-1H-pyrazolo[5,1-c][1,2,4]triazole-3-carboxylate 28, 3-acetyl-7-[(4-chlorophenyl)diazenyl]-1-phenyl-1H-pyrazolo[5,1-c][1,2,4]triazol-6(5H)-one 29, 3-acetyl-7-[(4-chlorophenyl)diazenyl]-1-(4-methoxyphenyl)-1H-pyrazolo[5,1-c][1,2,4]triazol-6(5H)-one 30, 3-acetyl-1-(4-methylphenyl)-7-(4-methylphenyldiazenyl)-1H-pyrazolo[5,1-c][1,2,4]triazol-6(5H)-one 31, and 3-benzoyl-7-(4-methylphenyldiazenyl)-1-phenyl-1H-pyrazolo[5,1-c][1,2,4]triazol-6(5H)-one 32 were tested in vitro for antibacterial activity against two Gram-positive bacteria, Streptococcus pneumoniae and B. subtilis, and two Gram-negative bacteria species, P. aeruginosa and E. coli [17]. Ampicillin and Gentamicin were used as standard antibacterial agents for Gram-positive and Gram-negative bacteria, respectively. The results are displayed in Table 17. With the exception of compounds 27, 29, and 30, which showed low activity against B. subtilis, and compound 28, which revealed low activity against S. pneumoniae, the compounds tested showed no antibacterial activity.
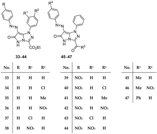
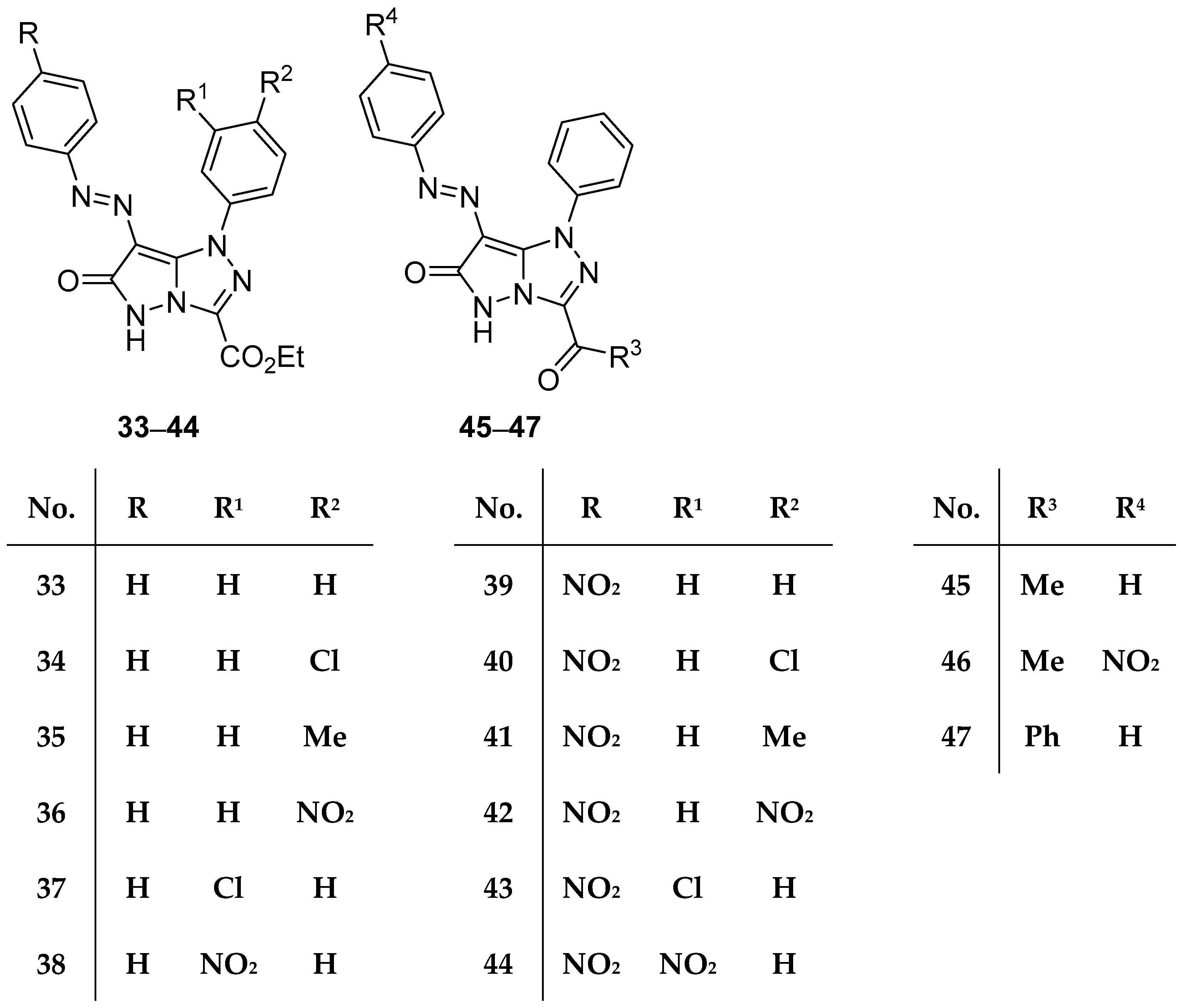
In another study from the same laboratory, fifteen pyrazolo[5,1-c][1,2,4]triazoles 3347 (Figure 13), ethyl 6-oxo-1-phenyl-7-(phenyldiazenyl)-5,6-dihydro-1H-pyrazolo[5,1-c][1,2,4]triazole-3-carboxylate 33, ethyl 1-(4-chlorophenyl)-6-oxo-7-(phenyldiazenyl)-5,6-dihydro-1H-pyrazolo[5,1-c][1,2,4]triazole-3-carboxylate 34, ethyl 1-(4-methylphenyl)-6-oxo-7-(phenyldiazenyl)-5,6-dihydro-1H-pyrazolo[5,1-c][1,2,4]triazole-3-carboxylate 35, ethyl 1-(4-nitrophenyl)-6-oxo-7-(phenyldiazenyl)-5,6-dihydro-1H-pyrazolo[5,1-c][1,2,4]triazole-3-carboxylate 36, ethyl 1-(3-chlorophenyl)-6-oxo-7-(phenyldiazenyl)-5,6-dihydro-1H-pyrazolo[5,1-c][1,2,4]triazole-3-carboxylate 37, ethyl 1-(3-nitrophenyl)-6-oxo-7-(phenyldiazenyl)-5,6-dihydro-1H-pyrazolo[5,1-c][1,2,4]triazole-3-carboxylate 38, ethyl 7-[(4-nitrophenyl)diazenyl]-6-oxo-1-phenyl-5,6-dihydro-1H-pyrazolo[5,1-c][1,2,4]triazole-3-carboxylate 39, ethyl 1-(4-chlorophenyl)-7-[(4-nitrophenyl)diazenyl]-6-oxo-5,6-dihydro-1H-pyrazolo[5,1-c][1,2,4]triazole-3-carboxylate 40, ethyl 1-(4-methylphenyl)-7-[(4-nitrophenyl)diazenyl]-6-oxo-5,6-dihydro-1H-pyrazolo[5,1-c][1,2,4]triazole-3-carboxylate 41, ethyl 1-(4-nitrophenyl)-7-[(4-nitrophenyl)diazenyl]-6-oxo-5,6-dihydro-1H-pyrazolo[5,1-c][1,2,4]triazole-3-carboxylate 42, ethyl 1-(3-chlorophenyl)-7-[(4-nitrophenyl)diazenyl]-6-oxo-5,6-dihydro-1H-pyrazolo[5,1-c][1,2,4]triazole-3-carboxylate 43, ethyl 1-(3-nitrophenyl)-7-[(4-nitrophenyl)diazenyl]-6-oxo-5,6-dihydro-1H-pyrazolo[5,1-c][1,2,4]triazole-3-carboxylate 44, 3-acetyl-1-phenyl-7-(phenyldiazenyl)-1H-pyrazolo[5,1-c][1,2,4]triazol-6(5H)-one 45, 3-acetyl-7-[(4-nitrophenyl)diazenyl]-1-phenyl-1H-pyrazolo[5,1-c][1,2,4]triazol-6(5H)-one 46, and 3-benzoyl-1-phenyl-7-(phenyldiazenyl)-1H-pyrazolo[5,1-c][1,2,4]triazol-6(5H)-one 47 were tested in vitro for antibacterial activity against the same four bacterial strains, using the same standards for reference [18]. The determined activities are included in Table 18. The results reveal that compounds 34, 35, 37, 39, 45, and 46 have medium to weak activity against both Gram-positive bacteria, while compound 47 shows weak activity against B. subtilis. With the exception of compound 35, which has medium activity against E. coli, the compounds tested showed no activity against Gram-negative bacteria. A molecular docking study was also included in the work.
A Chinese patent reports the in vitro testing of chromeno[2′,3′:3,4]pyrazolo[5,1-c][1,2,4]triazoles 4850 (Figure 14), N-(2,4-difluorophenyl)chromeno[2′,3′:3,4]pyrazolo[5,1-c][1,2,4]triazole-1(11H)-carboxamide 48, N-ethylchromeno[2′,3′:3,4]pyrazolo[5,1-c][1,2,4]triazole-1(11H)-carboxamide 49 and N-(4-ethyl-2-fluorobenzyl)chromeno[2′,3′:3,4]pyrazolo[5,1-c][1,2,4]triazole-1(11H)-carboxamide 50, against S. aureus, with Penicillin as standard [19]. The results are shown in Table 19. Compounds 48 and 50, both containing a fluorine-substituted benzene ring, show good inhibition against S. aureus, while the activity of compound 49 is significantly lower.

7. Antifungal Activity

Compound 15 (Figure 6) was also tested in vitro for antifungal activity against Aspergillus niger and Penicillium chrysogenum (formerly known as P. notatum) and was found to be inactive in all cases [11].
6-Amino-1H-pyrazolo[5,1-c][1,2,4]triazole-3-thiol 51 (Figure 15) was tested in vitro for antifungal activity against four fungal species, Aspergillus ochraceus Wilhelm (AUCC-230), P. chrysogenum Thom (AUCC-530), Aspergillus flavus Link (AUCC-164), and Candida albicans (Robim) Berkho (AUCC-1720) [20]. Mycostatin (30 μg/mL) was used as reference. [This compound is actually a tautomer form of compound 1, reported as such in this paper.] The results are listed in Table 20. Compound 51 is nearly as active as Mycostatin against A. ochraceus, P. chrysogenum, and A. flavus (MIC values were 50–75 μg/mL) but less active against C. albicans.
Compounds 2224 (Figure 9) were tested in vitro for antifungal activity against four fungal species, Aspergillus fumigatus, Penicillium italicum, Syncephalastrum racemosum, and Candida albicans [14]. The fungicide Terbinafin was used as reference. The results are displayed in Table 21. Compounds 22 and 23 exhibited the highest degree of inhibition against A. fumigatus; the rest of the activities were low. However, the activities of the tested compounds are much lower than that of the standard antifungal agent used.
Compound 25 (Figure 10) was tested in vitro for antifungal activity against three fungi, A. fumigatus, Aspergillus niger, and Alternaria alternata [15]. Ketoconazole was used as standard drug against fungal strains at 30 μg/mL concentration. The results are shown in Table 22. It can be noted that compound 25 showed good inhibition activities against A. fumigatus with respect to Ketoconazole, and lower inhibition against the other two species. The minimum inhibitory concentrations (MIC, μg/mL) of compound 25 against A. niger and A. alternata are shown in Table 23.
Compounds 6 and 8 (Figure 3) were tested in vitro for antifungal activity against the same three fungal species, A. fumigatus, A. niger, and A. alternata [8]. The same standard as above was used (Ketoconazole at 30 μg/mL concentration). The results are shown in Table 24. It can be seen that compound 8 shows good inhibition against all the species of fungi, while compound 6 displays weak inhibition.
Compound 26 (Figure 11) was tested in vitro for antifungal activity against two fungal strains, A. niger and C. albicans [16]. Again, Ketoconazole was used as standard drug (30 μg/mL concentration). The observed activities are given in Table 25. The results indicate low activities of compound 26 against both fungal strains.
Compound 9 (Figure 4) was subjected to the same tests as its analog 26 above [9]. The determined activities are reported in Table 26. This compound exhibited moderate activity against A. niger and low activity against C. albicans.
When compounds 2732 (Figure 12) were tested in vitro for antifungal activity against four fungal species, A. fumigatus, S. racemosum, Geotricum candidum, and C. albicans, using Amphotericin B as standard antifungal agent, they showed no antifungal activity at all [17].
Compounds 3347 (Figure 13), when tested under the same conditions, also showed no antifungal activity at all [18].

8. Antiviral Activity

9-[3-(4-Methoxyphenyl)oxiran-2-yl]-6b,7,11,11a-tetrahydro-5H-[1,2,4]triazolo[4′,3′:1,5]pyrazolo[4,3-c]quinolin-6(6aH)-one 52 (Figure 16) was tested in vitro for antiviral activity against infectious bursal disease virus (IBDV) in specific pathogen-free (SPF) chicken embryos, with un-inoculated SPF eggs as control of embryo [21]. Ribavirin was used as reference drug. The results are shown in Table 27. Compound 52 displayed weak activity against IBDV.

9. Antiprotozoal Activity

3-Cyclopropyl-6-[4-methoxy-3-(pyridin-3-yl)phenyl]-7,7-dimethyl-7H-pyrazolo[5,1-c][1,2,4]triazole 53 (Figure 17) was tested for antiprotozoal activity (phenotypic activity against intracellular amastigotes) against the causative agent of Chagas disease, Trypanosoma cruzi [22]. The results are shown in Table 28. The pIC50 value of 53 indicates a moderate activity compared with that of the lead compound, NPD-0227 (2-isopropyl-5-[4-methoxy-3-(pyridin-3-yl)phenyl]-4,4-dimethyl-2,4-dihydro-3H-pyrazol-3-one) [23] (6.4).

10. Anticancer Activity

3-(Pyridin-4-yl)-1H-pyrazolo[5,1-c][1,2,4]triazoles 5459, 1-[6-methyl-3-(pyridin-4-yl)-1H-pyrazolo[5,1-c][1,2,4]triazol-7-yl]ethan-1-one 54, its hydrazinium salt 55, 1,2-bis{1-[6-methyl-3-(pyridin-4-yl)-1H-pyrazolo[5,1-c][1,2,4]triazol-7-yl]ethylidene}hydrazine 56, 7-{1-[2-(4-chlorophenyl)hydrazinylidene]ethyl}-6-methyl-3-(pyridin-4-yl)-1H-pyrazolo[5,1-c][1,2,4]triazole 57, 1-[6-methyl-3-(pyridin-4-yl)-1H-pyrazolo[5,1-c][1,2,4]triazol-7-yl]ethan-1-one oxime 58, and 1-[6-methyl-3-(pyridin-4-yl)-1H-pyrazolo[5,1-c][1,2,4]triazol-7-yl]ethan-1-one O-thiophene-2-carbonyl oxime 59 (Figure 18) were tested in vitro for cytotoxicity against Ehrlich–Lettre ascites carcinoma (EAC) tumor cells, with Doxorubicin as reference [24]. The results are displayed in Table 29. Compounds 56 and 57 proved to be active toward the used tumor cells; compounds 54, 55, and 58 showed moderate activities, while compound 59 showed no activity, possibly because of its low solubility in the culture medium.
The activity of compounds 56 and 57 against a liver carcinoma cell line (Hep G2) was also examined, again with Doxorubicin as reference [24]. The results are shown in Table 30. The low IC50 value of compound 57 is an indicator of its high inhibitory activity against Hep G2.
The in vitro antitumor activity for five fluoroquinolones 6064 (Figure 19), 3-[6-(3,4-dihydroxyphenyl)-1H-pyrazolo[5,1-c][1,2,4]triazol-3-yl]-6-fluoro-1-methyl-7-(piperazin-1-yl)quinolin-4(1H)-one 60, 1-cyclopropyl-3-[6-(3,4-dihydroxyphenyl)-1H-pyrazolo[5,1-c][1,2,4]triazol-3-yl]-6-fluoro-7-(piperazin-1-yl)quinolin-4(1H)-one 61, 1-cyclopropyl-3-[6-(3,4-dihydroxyphenyl)-1H-pyrazolo[5,1-c][1,2,4]triazol-3-yl]-7-(4-ethylpiperazin-1-yl)-6-fluoroquinolin-4(1H)-one 62, racemic 6-[6-(3,4-dihydroxyphenyl)-1H-pyrazolo[5,1-c][1,2,4]triazol-3-yl]-9-fluoro-3-methyl-10-(4-methylpiperazin-1-yl)-2,3-dihydro-7H-[1,4]oxazino[2,3,4-ij]quinolin-7-one 63, and its S enantiomer 64 against L1210 (murine leukemia) and CHO (Chinese hamster ovary) cell lines was evaluated via their respective IC50 values [25]. The results are summarized in Table 31. While the five parent fluoroquinolone antibiotics (norfloxacin, ciprofloxacin, enrofloxacin, ofloxacin, and levofloxacin) had poor inhibitory activities against these cancer line cells (IC50 > 150 μmol/L), compounds 6064 showed IC50 values < 10 μmol/L, with compounds 61 and 64 being the most active.
In another study, another five fluoroquinolones 6569 (Figure 20), S-{1-acetyl-3-[7-(4-acetylpiperazin-1-yl)-1-cyclopropyl-6-fluoro-4-oxo-1,4-dihydroquinolin-3-yl]-6-phenyl-1H-pyrazolo[5,1-c][1,2,4]triazol-7-yl} ethanethioate 65, S-{1-acetyl-3-[7-(4-acetylpiperazin-1-yl)-1-cyclopropyl-6-fluoro-4-oxo-1,4-dihydroquinolin-3-yl]-6-(4-methoxyphenyl)-1H-pyrazolo[5,1-c][1,2,4]triazol-7-yl} ethanethioate 66, S-{1-acetyl-3-[7-(4-acetylpiperazin-1-yl)-1-cyclopropyl-6-fluoro-4-oxo-1,4-dihydroquinolin-3-yl]-6-(4-methylphenyl)-1H-pyrazolo[5,1-c][1,2,4]triazol-7-yl} ethanethioate 67, S-{1-acetyl-3-[7-(C)-1-cyclopropyl-6-fluoro-4-oxo-1,4-dihydroquinolin-3-yl]-6-(4-chlorophenyl)-1H-pyrazolo[5,1-c][1,2,4]triazol-7-yl} ethanethioate 68, and S-[1-acetyl-3-[7-(4-acetylpiperazin-1-yl)-1-cyclopropyl-6-fluoro-4-oxo-1,4-dihydroquinolin-3-yl]-6-(4-nitrophenyl)-1H-pyrazolo[5,1-c][1,2,4]triazol-7-yl} ethanethioate 69 were tested in vitro for antitumor activity against L1210 (murine leukemia), HL-60 (human leukemia) and CHO (Chinese hamster ovary) cell lines, with Ciprofloxacin as standard [26]. The results are given in Table 32. All these compounds showed IC50 values in the micromolar range, with compound 69 being the most active against all three cell lines, while Ciprofloxacin showed much weaker activity. The structure–activity relationships from these two studies [25,26] show that by substituting the 3-carboxyl group in fluoroquinolones with a fused heterobicycle is conducive to antitumor activity, and that the pyrazolo[5,1-c][1,2,4]triazoles investigated have greater antitumor activity than their triazolo[3,4-b][1,3,4]thiadiazine precursors and, in the case of compounds 6569, the latter’s 4-acetylpiperazinyl analogs.
N-(6-Amino-1H-pyrazolo[5,1-c][1,2,4]triazol-3-yl)benzamide 70 (Figure 21) was tested in vitro for antitumor activity against a panel of four human tumor cell lines: hepatocellular carcinoma Hep G2, lung fibroblasts WI 38, kidney of a normal adult African green monkey VERO, and breast cancer MCF-7 [27]. 5-Fluorouracil was used as reference. The results are reported in Table 33. As can be observed, compound 70 showed weak inhibitory activity against all four cell lines.
Pyrazolo[5,1-c][1,2,4]triazoles 2732 (Figure 12) and 7173 (Figure 22), 3-acetyl-1-(4-chlorophenyl)-7-[(4-chlorophenyl)diazenyl]-1H-pyrazolo[5,1-c][1,2,4]triazol-6(5H)-one 71, 3-acetyl-1-(4-chlorophenyl)-7-[(4-methylphenyl)diazenyl]-1H-pyrazolo[5,1-c][1,2,4]triazol-6(5H)-one 72, and 3-acetyl-1-(4-methoxyphenyl)-7-[(4-methylphenyl)diazenyl]-1H-pyrazolo[5,1-c][1,2,4]triazol-6(5H)-one 73 were tested in vitro for antitumor activity against hepatocellular carcinoma Hep G2 and colon cancer HCT116 cell lines, with 5-fluorouracil, Doxorubicin and Imatinib as standard drugs [17]. The results are summarized in Table 34. Some of the tested compounds showed good activity against both cancer cell lines: the most active compounds against Hep G2 hepatocellular carcinoma cells were compounds 27, 29, and 72, while compounds 28, 71, and 72 were the most active against colon cancer HCT116 cells.
Compounds 7478 (Figure 23), 6-(4-methylphenyl)-3-(3,4,5-trimethoxyphenyl)-1H-pyrazolo[5,1-c][1,2,4]triazole 74, 6-(4-chlorophenyl)-3-(3,4,5-trimethoxyphenyl)-1H-pyrazolo[5,1-c][1,2,4]triazole 75, 6-(4-methoxyphenyl)-3-(3,4,5-trimethoxyphenyl)-1H-pyrazolo[5,1-c][1,2,4]triazole 76, 6-(4-methoxy-3-nitrophenyl)-3-(3,4,5-trimethoxyphenyl)-1H-pyrazolo[5,1-c][1,2,4]triazole 77, and 2-methoxy-5-[3-(3,4,5-trimethoxyphenyl)-1H-pyrazolo[5,1-c][1,2,4]triazol-6-yl]aniline 78 were tested in vitro for antitumor activity against human gastric adenocarcinoma SGC-7901, human oral epithelial cancer KB, and human fibrosarcoma HT1080 cell lines, with Combretastatin A-4 and Doxorubicin as standard drugs [28]. The results are presented in Table 35. All the tested compounds showed good inhibition of all three cancer cell lines studied, with compounds 75 and 78 being the most active.
The acute toxicity of compounds 75 and 76 (Figure 23) was determined in vivo in mice at a dose of 500 mg/kg [28]. The compounds were administered by intraperitoneal injection. Since all the mice survived and returned to normal after the administration of this compound stopped, the LD50 value for intraperitoneal administration was considered greater than 500 mg/kg.
The most active compounds in vitro, 75 and 78, were also investigated in vivo on S-180 sarcoma model mice, using 5-fluorouracil as reference [28]. The results are presented in Table 36.
The same compounds 7478 were later tested again in vitro for antiproliferative activity against human gastric adenocarcinoma SGC-7901, human lung adenocarcinoma A549, and human fibrosarcoma HT1080 cell lines [29], with two compounds with potent antiproliferative activity, SMART [30] [(2-phenylthiazol-4-yl)(3,4,5-trimethoxyphenyl)methanone] and ABI [31] [(2-phenyl-1H-imidazol-4-yl)(3,4,5-trimethoxyphenyl)methanone] (Figure 24) as positive controls. The results are displayed in Table 37. It can be observed that all the pyrazolo[5,1-c][1,2,4]triazoles tested showed modest antiproliferative activity, especially in comparison with SMART. A number of 1H-[1,2,4]triazolo[3,4-b][1,3,4]thiadiazole analogs were also tested in this study, and several of these compounds showed potent antiproliferative activity at sub-micromolar or nanomolar concentrations against the three different cancer cell lines; one derivative in particular, the analog of 78, showed activities close to those of SMART (0.022 ± 0.006, 0.029 ± 0.011, 0.027 ± 0.013, respectively).
Compounds 3347 (Figure 13) were tested in vitro for antitumor activity against Hep G2 and HCT116 cell lines, using 5-fluorouracil, Doxorubicin, and Imatinib as standard drugs [18]. The results are shown in Table 38. These compounds showed weak to moderate activity against both cell lines, the most active being compounds 43 and 47.
1H-[1,2,4]Triazolo[4′,3′:1,5]pyrazolo[3,4-b]pyridines 7983: (7,9-dimethyl-1H-[1,2,4]triazolo[4′,3′:1,5]pyrazolo[3,4-b]pyridin-3-yl)(4-fluorophenyl)methanone 79, (4-chlorophenyl)(7,9-dimethyl-1H-[1,2,4]triazolo[4′,3′:1,5]pyrazolo[3,4-b]pyridin-3-yl)methanone 80, (5-bromothiophen-2-yl)(7,9-dimethyl-1H-[1,2,4]triazolo[4′,3′:1,5]pyrazolo[3,4-b]pyridin-3-yl)methanone 81, 3-(7,9-dimethyl-1H-[1,2,4]triazolo[4′,3′:1,5]pyrazolo[3,4-b]pyridine-3-carbonyl)-2H-chromen-2-one 82, and 1-(7,9-dimethyl-1H-[1,2,4]triazolo[4′,3′:1,5]pyrazolo[3,4-b]pyridin-3-yl)ethan-1-one 83 (Figure 25) were tested in vitro for antitumor activity against HCT116, Hep G2, HeLa (cervical cancer) and MCF-7 cell lines, with Doxorubicin as reference [32]. The results are listed in Table 39. Compound 82 exhibited very good activity against all cell lines, while all the other compounds demonstrated weak activity in all cases. The remarkable activity of compound 82 could be attributed to the presence of the coumarin fragment in its molecule.
Later, in a study on the discovery of 1,2,4-triazole-based inhibitors of aromatase (CYP19A1), for the treatment of hormone receptor (HR)-positive breast cancer, compounds 7982 were among the 78 compounds used to generate the pharmacophore model [33]. Compounds 80 and 81 were included in the training set (39 compounds), and compounds 79 and 82 in the test set (39 compounds). In the end, this study led to two 1,2,4-triazole-based structures with better estimated activity and fit value than the standard drug Letrozole.
N-(4-{[(6-Chloropyridazin-3-yl)amino]sulfonyl}phenyl)-N′-(3-sulfanyl-7H-pyrazolo[5,1-c][1,2,4]triazol-6-yl)urea 84 (Figure 26) was subjected to an in vitro cytotoxicity screening against 21 cancer cell lines, representing eight subpanels: leukemia (CCRF-CEM and SR), non-small-cell lung (EKVX, HOP-62, HOP-92 and NCI-H522), central nervous system (SF-268 and SNB-75), melanoma (UACC-62), ovarian (IGROV1 and SK-OV-3), renal (A498, CAK-1 and UO-31), prostate (PC-3), and breast (MCF7, MDA-MB231/ATCC, HS 578T, BT-549, T-47D, and MDA-MB-468), at a single dose of 10−5 M (10 μM) [34]. The results were reported as the % growth inhibition (GI) against the cell lines. With the exception of the leukemia SR cell line, against which compound 84 displayed minimal activity (GI = 10%), and renal cancer UO-31 cell line (GI = 14%), no inhibitory activities of this compound were observed (GI < 10%).

11. C3a Receptor Binding Activity

6-(3′,4′-Dimethyl-[1,1′-biphenyl]-4-yl)-3-methyl-1H-pyrazolo[5,1-c][1,2,4]triazole 85 (Figure 27) showed good C3a receptor binding activity, with an IC50 value of 71 nM [35].

12. Miscellaneous Biological Activities

An in silico screen of 1.1 million compounds was performed, using three-dimensional E47-Id1 interaction mapping to identify small molecules that could potentially inhibit the E47-Id1 interaction [36]. Ethyl 6-methyl-3-(5-nitrothiophen-2-yl)-1H-pyrazolo[5,1-c][1,2,4]triazole-7-carboxylate 86 (Figure 28) was among the 364 structures identified by this screen, but not among the compounds showing the most pronounced anti-Id activity in the gel shift assay.

13. Cytotoxicity

2-{1-[6-(1,1-Dimethylethyl)-1H-pyrazolo[5,1-c][1,2,4]triazol-3-yl]ethyl}-1H-isoindole-1,3(2H)-dione hydromethanesulfonate (mesylate) 87 (Figure 29) was tested for toxicity in rats by oral administration [37]. In contrast to the corresponding hydrochloride, which caused strong skin irritation, salt 87 had an acute toxicity of 2000 mg/kg or more and caused no skin irritation, mutagenicity, or rash.

14. Ulcerogenic Activity

Compound 7 (Figure 3) was also tested for ulcerogenic activity in rats at dose levels of 10, 50, and 100 mg/kg body mass [8]. Indomethacin was used as reference drug. The compounds were administered per os. The results are shown in Table 40. It can be observed that compound 8 possesses no ulcerogenic activity.

15. Conclusions

A number of studies on the biological activities of various pyrazolo[5,1-c][1,2,4]triazoles have been conducted and published, including several patents. Although the number of pyrazolo[5,1-c][1,2,4]triazoles studied as drug candidates so far is not very great (<100) compared with other scaffolds, this moiety is a promising motif for future drug discovery and development projects. Significantly, the pyrazolo[5,1-c][1,2,4]triazoles investigated so far have shown little or no toxicity. One obvious direction is that of synthetic nucleoside analogs, with the pyrazolo[5,1-c][1,2,4]triazole scaffold as a good isostere for purine. There are many methods developed for the synthesis and further functionalization of pyrazolo[5,1-c][1,2,4]triazoles, enabling the modification of existing structures for the generation of libraries of compounds and selection of the best drug candidates.

Author Contributions

Conceptualization, B.-N.P.; validation, V.-G.P., V.B. and F.P.; resources, B.-N.P.; data curation, B.-N.P.; writing—original draft preparation, B.-N.P.; writing—review and editing, B.-N.P. and F.P.; visualization, B.-N.P.; supervision, V.B. and F.P.; project administration, F.P.; funding acquisition, V.B. and F.P. All authors have read and agreed to the published version of the manuscript.

Funding

This research received no external funding.

Acknowledgments

BNP wishes to express his deep gratitude to Cristian Bologa, University of New Mexico, Albuquerque, USA; and his fellow chemists from the online chemistry community, for providing their assistance in gathering the literature analyzed in this review.

Conflicts of Interest

The authors declare no conflicts of interest.

References

  1. Ebenezer, O.; Jordaan, M.A.; Carena, G.; Bono, T.; Shapi, M.; Tuszynski, J.A. An Overview of the Biological Evaluation of Selected Nitrogen-Containing Heterocycle Medicinal Chemistry Compounds. Int. J. Mol. Sci. 2022, 23, 8117. [Google Scholar] [CrossRef]
  2. Amin, A.; Qadir, T.; Sharma, P.K.; Jeelani, I.; Abe, H. A Review on The Medicinal And Industrial Applications of N-Containing Heterocycles. Open Med. Chem. J. 2022, 16, e187410452209010. [Google Scholar] [CrossRef]
  3. Ye, D.; Lu, H.; He, Y.; Zheng, Z.; Wu, J.; Wei, H. Rapid syntheses of N-fused heterocycles via acyl-transfer in heteroaryl ketones. Nat. Commun. 2022, 13, 3337. [Google Scholar] [CrossRef]
  4. Zhang, Y.; Han, D.R.; Ye, D.; Lu, H.; Wei, H. Phosphine-catalyzed acyl-transfer of heteroaryl ketones for the construction of N-fused heterocycles. Chin. Chem. Let. 2024, 35, 108529. [Google Scholar] [CrossRef]
  5. Pintea, B.-N.; Bercean, V.-N.; Badea, V. The synthesis of pyrazolo[5,1-c][1,2,4]triazoles. Part 1: From acyclic and monocyclic precursors. In Advances in Heterocyclic Chemistry; Scriven, E.F.V., Ramsden, C.A., Eds.; Academic Press: Cambridge, UK, 2022; Volume 136, pp. 59–124. [Google Scholar] [CrossRef]
  6. Pintea, B.-N.; Bercean, V.-N.; Badea, V. The synthesis of pyrazolo[5,1-c][1,2,4]triazoles. Part 2: From bicyclic precursors. Annulated pyrazolo[5,1-c][1,2,4]triazoles. In Advances in Heterocyclic Chemistry; Scriven, E.F.V., Ramsden, C.A., Eds.; Academic Press: Cambridge, UK, 2022; Volume 136, pp. 125–169. [Google Scholar] [CrossRef]
  7. Fouad, M.M.; Fouad, A.M.; Fouad, A.M. Synthesizing Unique Triazolo [3,4-b][1,3,4]thiadiazines as Effective Anti-Alzheimer’s Medications: An In Vitro Study. Chem. Biodivers. 2025, 22, e202500260. [Google Scholar] [CrossRef]
  8. Bahashwan, S.A.; Al-Harbi, N.O.; Fayed, A.A.; Amr, A.E.-G.E.; Shadid, K.A.; Alalawi, A.M.; Bassati, I.M.S. Pharmacological activities of some new polycyclic triazolopyrazolopyridazine derivatives. Int. J. Biol. Macromol. 2012, 51, 7–17. [Google Scholar] [CrossRef] [PubMed]
  9. El-Shamy, I.E.; Abdel-Mohsen, A.M.; Alsheikh, A.A.; Fouda, M.M.G.; Al-Deyab, S.S.; El-Hashash, M.A.; Jancar, J. Synthesis, biological, anti-inflammatory activities and quantum chemical calculation of some [4-(2, 4, 6-trimethylphenyl)-1(2H)-oxophthalazin-2yl] acetic acid hydrazide derivatives. Dye. Pigm. 2015, 113, 357–371. [Google Scholar] [CrossRef]
  10. El Bakri, Y.; Marmouzi, I.; El Jemli, M.; Anouar, E.H.; Karthikeyan, S.; Harmaoui, A.; Faouzi, M.E.A.; Mague, J.T.; Essassi, E.M. Synthesis, biological activity and molecular modeling of a new series of condensed 1,2,4-triazoles. Bioorg. Chem. 2019, 92, 103193. [Google Scholar] [CrossRef] [PubMed]
  11. Abdel-Rahman, R.M. Reactions of 3-Hydrazino-5, 6-diphenyl-1, 2, 4-triazine with Unsymmetrical 1,3-Bicarbonyl Compounds: Synthesis of Some New 3-(3′, 5′-Disubstituted pyrazol-1′-yl)-5, 6-diphenyl-1, 2, 4-triazines & Their Antimicrobial Activity. Indian J. Chem. 1988, 27B, 548–553. [Google Scholar]
  12. Abd Allah, O.A. Synthesis and biological studies of some benzopyrano[2,3-c]pyrazole derivatives. Il Farm. 2000, 55, 641–649. [Google Scholar] [CrossRef]
  13. Kato, K.; Suzuki, T.; Ishihara, H. Bacteriaproof and Mildewproof Agent. Japanese Patent 2002-167305, 11 June 2002. (In Japanese). [Google Scholar]
  14. Abdallah, M.A.; Riyadh, S.M.; Abbas, I.M.; Gomha, S.M. Synthesis and Biological Activities of 7-Arylazo-7H-pyrazolo[5,1-c][1,2,4]triazol-6(5H)-ones and 7-Arylhydrazono-7H-[1,2,4]triazolo[3,4-b][1,3,4]thiadiazines. J. Chin. Chem. Soc. 2005, 52, 987–994. [Google Scholar] [CrossRef]
  15. Ali, T.E.-S. Synthesis of some novel pyrazolo[3,4-b]pyridine and pyrazolo[3,4-d]pyrimidine derivatives bearing 5,6-diphenyl-1,2,4-triazine moiety as potential antimicrobial agents. Eur. J. Med. Chem. 2009, 44, 4385–4392. [Google Scholar] [CrossRef]
  16. El-Hashash, M.A.; El-Kady, A.Y.; Taha, M.A.; El-Shamy, I.E. Synthesis and Antimicrobial Activity of Some Condensed [4-(2,4,6-Trimethylphenyl)-1(2H)-oxo-phthalazin-2-yl]acetic Acid Hydrazide. Chin. J. Chem. 2012, 30, 616–626. [Google Scholar] [CrossRef]
  17. Farghaly, T.A.; Gomha, S.M.; Mousa, E.K.; Elaasser, M. Hydrazonoyl chlorides in the synthesis of pyrazolo[5,1-c][1,2,4]triazole derivatives and their biological activities. J. Chem. Res. 2016, 40, 467–470. [Google Scholar] [CrossRef]
  18. Farghaly, T.A.; Abdallah, M.A.; Mahmoud, H.K.; El-Metwaly, N.; Elaasser, M. Pyrazolo[5,1-c][1,2,4]triazoles: Antimicrobial, Antitumor Activities, and Computational Docking Studies. J. Het. Chem. 2017, 54, 2859–2866. [Google Scholar] [CrossRef]
  19. Dong, M.; Zhou, Y.; Yang, X.; Sun, Y. Preparation Method and Application of Benzopyran Urea Compound for Sterilization and Disinfection. Chinese Patent 112500421, 16 March 2021. (In Chinese). [Google Scholar]
  20. Ghorab, M.M.; El-Sharief, A.M.S.; Ammar, Y.A.; Mohamed, S.I. Synthesis and antifungal activity of some new miscellaneous s-triazoles. Phosphorus Sulfur Silicon Relat. Elem. 2001, 173, 223–233. [Google Scholar] [CrossRef]
  21. Kaddah, M.M.; Morsy, A.R.; Fahmi, A.A.; Kamel, M.M.; Elsafty, M.M.; Rizk, S.A.; Ramadan, S.K. Synthesis and biological activity on IBD virus of diverse heterocyclic systems derived from 2-cyano-N′-((2-oxo-1,2-dihydroquinolin-3-yl)methylene) acetohydrazide. Synth. Commun. 2021, 51, 3366–3378. [Google Scholar] [CrossRef]
  22. Sijm, M.; Sterk, G.J.; Caljon, G.; Maes, L.; de Esch, I.J.P.; Leurs, R. Structure-Activity Relationship of Phenylpyrazolones against Trypanosoma cruzi. ChemMedChem 2020, 15, 1310–1321. [Google Scholar] [CrossRef]
  23. Sijm, M.; Siciliano de Araújo, J.; Kunz, S.; Schroeder, S.; Edink, E.; Orrling, K.M.; Matheeussen, A.; Van De Meer, T.; Sadek, P.; Custers, H.; et al. Phenyldihydropyrazolones as novel lead compounds against Trypanosoma cruzi. ACS Omega 2019, 4, 6585–6596. [Google Scholar] [CrossRef]
  24. Hassan, A.Y. Synthesis and Reactions of New Fused Heterocycles Derived from 5-Substituted-4-Amino-3-Mercapto-(4H)-1,2,4-Triazole with Biological Interest. Phosphorus Sulfur Silicon 2009, 184, 2759–2776. [Google Scholar] [CrossRef]
  25. Hu, G.Q.; Hou, L.L.; Yang, Y.; Yi, L.; Xie, S.Q.; Wang, G.Q.; Duan, N.N.; Chao, T.Y.; Wen, X.Y.; Huang, W.L. Synthesis and antitumor evaluation of fluoroquinolone C3 fused heterocycles (II): From triazolothiadiazines to pyrazolotriazoles. Chin. Chem. Lett. 2011, 22, 804–806. [Google Scholar] [CrossRef]
  26. Xie, S.-Q.; Chen, Y.-S.; Wang, G.-Q.; Duan, N.-N.; Wen, X.-Y.; Cao, T.-Y.; Wang, W.; Hu, G.-Q.; Huang, W.-L. Part IV. Synthesis and antitumor evaluation of s-triazolothiadiazines and pyrazolo s-triazoles derived from ciproxacin. Yaoxue Xuebao Acta Pharm. Sinica 2012, 47, 66–71. (In Chinese) [Google Scholar]
  27. Bondock, S.; Adel, S.; Etman, H.A.; Badria, F.A. Synthesis and antitumor evaluation of some new 1,3,4-oxadiazole-based heterocycles. Eur. J. Med. Chem. 2012, 48, 192–199. [Google Scholar] [CrossRef]
  28. Zhang, W.; Xu, Q.; Wu, Y.; Sun, M.; Zou, D.; Wang, Y.; Bai, Z.; Guan, Q.; Bao, K. 3,6-Diaryl-1H pyrazolo[5,1-c]-[1,2,4]-triazole Compounds Are as the Purposes of Tumor Cell Proliferation Inhibitor. Chinese Patent 106188069, 7 December 2016. (In Chinese). [Google Scholar]
  29. Xu, Q.; Sun, M.; Bai, Z.; Wang, Y.; Wu, Y.; Tian, H.; Zuo, D.; Guan, Q.; Bao, K.; Wu, Y.; et al. Design, synthesis and bioevaluation of antitubulin agents carrying diaryl-5,5-fused-heterocycle scaffold. Eur. J. Med. Chem. 2017, 139, 242–249. [Google Scholar] [CrossRef]
  30. Lu, Y.; Li, C.-M.; Wang, Z.; Ross, C.R., II; Chen, J.; Dalton, J.T.; Li, W.; Miller, D.D. Discovery of 4-Substituted Methoxybenzoyl-aryl-thiazole as Novel Anticancer Agents: Synthesis, Biological Evaluation, and Structure–Activity Relationships. J. Med. Chem. 2009, 52, 1701–1711. [Google Scholar] [CrossRef]
  31. Chen, J.; Wang, Z.; Li, C.-M.; Lu, Y.; Vaddady, P.K.; Meibohm, B.; Dalton, J.T.; Miller, D.D.; Li, W. Discovery of Novel 2-Aryl-4-benzoyl-imidazoles Targeting the Colchicines Binding Site in Tubulin as Potential Anticancer Agents. J. Med. Chem. 2010, 53, 7414–7427. [Google Scholar] [CrossRef]
  32. Elmorsy, M.R.; Abdel-Latif, E.; Gaffer, H.E.; Mahmoud, S.E.; Fadda, A.A. Anticancer evaluation and molecular docking of new pyridopyrazolo-triazine and pyridopyrazolo-triazole derivatives. Sci. Rep. 2023, 13, 2782. [Google Scholar] [CrossRef]
  33. Pathak, C.; Matore, B.W.; Singh, J.; Roy, P.P.; Kabra, U.D. Discovery of potential 1,2,4-triazole derivatives as aromatase inhibitors for breast cancer: Pharmacophore modelling, virtual screening, docking, ADMET and MD simulation. Mol. Simul. 2024, 50, 1206–1219. [Google Scholar] [CrossRef]
  34. Zahran, S.S.; Ragab, F.A.; Soliman, A.M.; El-Gazzar, M.G.; Mahmoud, W.R.; Ghorab, M.M. Utility of sulfachloropyridazine in the synthesis of novel anticancer agents as antiangiogenic and apoptotic inducers. Bioorg. Chem. 2024, 148, 107411. [Google Scholar] [CrossRef] [PubMed]
  35. Chenard, B.L.; Sorrentino Wright, A. C3a Antagonists and Pharmaceutical Compositions Thereof. World Patent 2007-034279, 29 March 2007. [Google Scholar]
  36. Chaudhary, J.; Garland, W.A. Compositions and Methods for Treating, Preventing and Diagnosing Cancer and Other Proliferative Disorders. U.S. Patent 8,138,356, 20 March 2012. [Google Scholar]
  37. Usu, T.; Mori, H. Organic Acid Salt Derivative of Pyrazolo[3,2-c]-1,2,4-triazole Compound. Japanese Patent 2004-210679, 7 July 2004. (In Japanese). [Google Scholar]
Figure 1. The tautomeric forms of pyrazolo[5,1-c][1,2,4]triazole.
Figure 1. The tautomeric forms of pyrazolo[5,1-c][1,2,4]triazole.
Ijms 26 08190 g001
Figure 2. Chemical structures of compounds 15.
Figure 2. Chemical structures of compounds 15.
Ijms 26 08190 g002
Figure 3. Chemical structures of compounds 68.
Figure 3. Chemical structures of compounds 68.
Ijms 26 08190 g003
Figure 4. Chemical structure of compound 9.
Figure 4. Chemical structure of compound 9.
Ijms 26 08190 g004
Figure 5. Chemical structures of compounds 1014.
Figure 5. Chemical structures of compounds 1014.
Ijms 26 08190 g005
Figure 6. Chemical structure of compound 15.
Figure 6. Chemical structure of compound 15.
Ijms 26 08190 g006
Figure 7. Chemical structures of compounds 1618.
Figure 7. Chemical structures of compounds 1618.
Ijms 26 08190 g007
Figure 8. Chemical structures of compounds 1921.
Figure 8. Chemical structures of compounds 1921.
Ijms 26 08190 g008
Figure 9. Chemical structures of compounds 2224. 22: R = H; 23: R = Me; 24: R = Cl.
Figure 9. Chemical structures of compounds 2224. 22: R = H; 23: R = Me; 24: R = Cl.
Ijms 26 08190 g009
Figure 10. Chemical structure of compound 25.
Figure 10. Chemical structure of compound 25.
Ijms 26 08190 g010
Figure 11. Chemical structure of compound 26.
Figure 11. Chemical structure of compound 26.
Ijms 26 08190 g011
Figure 12. Chemical structures of compounds 2732. 27: R = H; 28: R = Me; 2931: R1 = Me; 29: R2 = Cl, R3 = H; 30: R2 = Cl, R3 = OMe; 31: R2 = R3 = Me; 32: R1 = Ph, R2 = Me, R3 = H.
Figure 12. Chemical structures of compounds 2732. 27: R = H; 28: R = Me; 2931: R1 = Me; 29: R2 = Cl, R3 = H; 30: R2 = Cl, R3 = OMe; 31: R2 = R3 = Me; 32: R1 = Ph, R2 = Me, R3 = H.
Ijms 26 08190 g012
Figure 13. Chemical structures of compounds 3347.
Figure 13. Chemical structures of compounds 3347.
Ijms 26 08190 g013
Figure 14. Chemical structures of compounds 4850. 48: R = 2,4-F2-C6H3; 49: R = Et; 50: R = 2-F-4-Et-C6H3CH2.
Figure 14. Chemical structures of compounds 4850. 48: R = 2,4-F2-C6H3; 49: R = Et; 50: R = 2-F-4-Et-C6H3CH2.
Ijms 26 08190 g014
Figure 15. Chemical structure of compound 51.
Figure 15. Chemical structure of compound 51.
Ijms 26 08190 g015
Figure 16. Chemical structure of compound 52.
Figure 16. Chemical structure of compound 52.
Ijms 26 08190 g016
Figure 17. Chemical structure of compound 53.
Figure 17. Chemical structure of compound 53.
Ijms 26 08190 g017
Figure 18. Chemical structures of compounds 5459.
Figure 18. Chemical structures of compounds 5459.
Ijms 26 08190 g018
Figure 19. Chemical structures of compounds 6064. 60: R = Et, R1 = H; 61, 62: R = cyclopropyl; 61: R1 = H; 62: R1 = Et.
Figure 19. Chemical structures of compounds 6064. 60: R = Et, R1 = H; 61, 62: R = cyclopropyl; 61: R1 = H; 62: R1 = Et.
Ijms 26 08190 g019
Figure 20. Chemical structures of compounds 6569. 65: R = H; 66: R = OMe; 67: R = Me; 68: R = Cl; 69: R = NO2.
Figure 20. Chemical structures of compounds 6569. 65: R = H; 66: R = OMe; 67: R = Me; 68: R = Cl; 69: R = NO2.
Ijms 26 08190 g020
Figure 21. Chemical structure of compound 70.
Figure 21. Chemical structure of compound 70.
Ijms 26 08190 g021
Figure 22. Chemical structures of compounds 7173. 71: R = R1 = Cl; 72, 73: R = Me; 72: R1 = Cl; 73: R1 = OMe.
Figure 22. Chemical structures of compounds 7173. 71: R = R1 = Cl; 72, 73: R = Me; 72: R1 = Cl; 73: R1 = OMe.
Ijms 26 08190 g022
Figure 23. Chemical structures of compounds 7478. 74: R = 4-Me; 75: R = 4-Cl; 76: R = 4-OMe; 77: R = 3-NO2-4-OMe-; 78: R = 3-NH2-4-OMe.
Figure 23. Chemical structures of compounds 7478. 74: R = 4-Me; 75: R = 4-Cl; 76: R = 4-OMe; 77: R = 3-NO2-4-OMe-; 78: R = 3-NH2-4-OMe.
Ijms 26 08190 g023
Figure 24. Chemical structures of compounds SMART and ABI.
Figure 24. Chemical structures of compounds SMART and ABI.
Ijms 26 08190 g024
Figure 25. Chemical structures of compounds 7983. 79: R = F; 80: R = Cl.
Figure 25. Chemical structures of compounds 7983. 79: R = F; 80: R = Cl.
Ijms 26 08190 g025
Figure 26. Chemical structure of compound 84.
Figure 26. Chemical structure of compound 84.
Ijms 26 08190 g026
Figure 27. Chemical structure of compound 85.
Figure 27. Chemical structure of compound 85.
Ijms 26 08190 g027
Figure 28. Chemical structure of compound 86.
Figure 28. Chemical structure of compound 86.
Ijms 26 08190 g028
Figure 29. Chemical structure of compound 87.
Figure 29. Chemical structure of compound 87.
Ijms 26 08190 g029
Table 1. The acetylcholinesterase inhibition activity of compounds 15.
Table 1. The acetylcholinesterase inhibition activity of compounds 15.
CompoundIC50, μg/mL
114.58 ± 0.45
297.67 ± 2.13
3231.94 ± 4.09
459.69 ± 1.18
552.06 ± 0.97
Donepezil2.88 ± 0.16
Table 2. The anti-inflammatory activity of compounds 68 in rats.
Table 2. The anti-inflammatory activity of compounds 68 in rats.
CompoundEdema Inhibition, %
1 h2 h3 h
614.5 ± 2.416.7 ± 1.822.1 ± 1.4
741.9 ± 1.550.4 ± 2.161.4 ± 1.8
830.3 ± 1.639.6 ± 1.245.3 ± 1.1
Indomethacin45.6 ± 1.752.4 ± 2.163.2 ± 1.8
Table 3. The cytotoxicity of compound 7 on rats.
Table 3. The cytotoxicity of compound 7 on rats.
CompoundLD50 (i.p.), mg/kg
7155
Indomethacin50
Table 4. The anti-inflammatory activity of compound 9 in rats.
Table 4. The anti-inflammatory activity of compound 9 in rats.
CompoundPaw Oedema Volume
Mean + S.D. (mL)
Percentage Inhibition of Paw OedemaDose
(mg kg−1 p.o.)
2% Gum acacia (control)0.62 ± 0.02910 mL kg−1
90.46 ± 0.01925.8050
Indomethacin0.25 ± 0.01259.671.5
Table 5. The analgesic activity of compounds 6–8 in mice.
Table 5. The analgesic activity of compounds 6–8 in mice.
CompoundRelative Potency
10 min30 min60 min
60.68 ± 0.030.73 ± 0.020.81 ± 0.04
70.22 ± 0.010.24 ± 0.010.27 ± 0.02
80.85 ± 0.010.93 ± 0.030.99 ± 0.01
Valdecoxib1.001.001.00
Table 6. The antidiabetic inhibitory activity of compounds 1014.
Table 6. The antidiabetic inhibitory activity of compounds 1014.
CompoundAntidiabetic Activity (IC50 in μM)
α-Glucosidaseα-Amylase
10595.04 ± 43.42260.40 ± 0.27
11503.43 ± 35.11121.15 ± 0.65
12216.22 ± 17.32764.56 ± 0.10
13433.32 ± 88.31219.89 ± 0.08
14300.45 ± 47.87109.43 ± 6.12
Acarbose309.11 ± 22.32618.87 ± 0.76
Table 7. The antibacterial activity of compounds 1618 against Gram-positive and Gram-negative bacteria (inhibition zone diameter, mm).
Table 7. The antibacterial activity of compounds 1618 against Gram-positive and Gram-negative bacteria (inhibition zone diameter, mm).
CompoundB. cereusS. albusP. aeruginosaE. coli
164322
172433
182222
Table 8. The cytotoxicity of compounds 1618 against Artemia salina.
Table 8. The cytotoxicity of compounds 1618 against Artemia salina.
CompoundArtemia salina a
16D
17C
18D
a Artemia salina (brine shrimp) test. A, high toxicity, 75–100% dead larvae; B, moderate toxicity, 50–75% dead larvae; C, low toxicity, 25–50% dead larvae; D, non-toxic, less than 25% dead larvae.
Table 9. The antibacterial activity of compounds 1921 against Salmonella typhimurium TA100 a.
Table 9. The antibacterial activity of compounds 1921 against Salmonella typhimurium TA100 a.
CompoundDose (μg/Plate)Obs.
5000125031378201051.250.50.310.2
H-1KKKKcontrol
19KKKKKK
20KKKK
21KKKKK
a (K) indicates that Salmonella has been killed, (–) indicates that it has not been measured, and (○) indicates that no increase in the number of revertant colonies was observed.
Table 10. The antibacterial activity of compounds 1921 against Salmonella typhimurium TA98.
Table 10. The antibacterial activity of compounds 1921 against Salmonella typhimurium TA98.
CompoundDose (μg/Plate)Obs.
5000125031378201051.250.50.310.2
H-1KKcontrol
19KKKKK
20KKK
21KKK
(K) indicates that Salmonella has been killed, (–) indicates that it has not been measured, (●) indicates that the number of revertant colonies was more than twice the number of spontaneous revertant colonies in the solvent control group, and (○) indicates that no increase in the number of revertant colonies was observed.
Table 11. The biological activities of compounds 2224 against bacteria at 5 mg/mL concentration (inhibition zone diameter, cm) a.
Table 11. The biological activities of compounds 2224 against bacteria at 5 mg/mL concentration (inhibition zone diameter, cm) a.
CompoundS. aureusP. aeruginosaB. subtilisE. coli
22+++--
23+++-++
24+--++
Chloramphenicol1.02.82.61.0
a Inhibition zone diameter beyond control/(sign): 1.1–1.5 cm/(+++); 0.6–1.0 cm/(++); 0.1–0.5 cm/(+); 0 cm/(-).
Table 12. The antimicrobial activity of compound 25 at 100 μg/mL concentration (inhibition zone diameter, mm) a.
Table 12. The antimicrobial activity of compound 25 at 100 μg/mL concentration (inhibition zone diameter, mm) a.
CompoundS. aureus
(MTCCB 737)
S. epidermidis
(MTCCB 1824)
E. coli
(MTCCB 1652)
25272726
Tetracycline302528
a 12 mm or less: resistant or no inhibition, 13–17 mm: moderate inhibition, 18 mm or more: maximum inhibition.
Table 13. The minimum inhibitory concentration (MIC, μg/mL) of compound 25 against Staphylococcus aureus and Escherichia coli, respectively.
Table 13. The minimum inhibitory concentration (MIC, μg/mL) of compound 25 against Staphylococcus aureus and Escherichia coli, respectively.
CompoundS. aureus
(MTCCB 737)
E. coli
(MTCCB 1652)
255025
Tetracycline6.2512.5
Table 14. The cytotoxicity of compound 25 against Artemia salina.
Table 14. The cytotoxicity of compound 25 against Artemia salina.
Compound95% Confidence Limit ppmRegression EquationX2 (df)
LC50LowerUpper
253.542.086.02y = 3.98 + 1.85x3.38 (2)
Bleomycin0.410.270.62y = 3.16 + 2.98x0.62 (2)
Gallic acid4.533.336.15y = 3.93 + 1.62x1.25 (2)
Table 15. The antimicrobial activity of compounds 6 and 8 at 100 μg/mL concentration (inhibition zone diameter, mm) a.
Table 15. The antimicrobial activity of compounds 6 and 8 at 100 μg/mL concentration (inhibition zone diameter, mm) a.
CompoundS. aureusS. epidermidisE. coli
61095
8252320
Tetracycline302528
a 15 mm or less: resistant or no inhibition, 16–20 mm: moderate inhibition, 20 mm or more: maximum inhibition.
Table 16. The biological activities of compound 26 against bacteria (minimum inhibitory concentration (MIC), μg/mL).
Table 16. The biological activities of compound 26 against bacteria (minimum inhibitory concentration (MIC), μg/mL).
CompoundS. aureusB. subtilisS. typhiE. coli
925252550
26100250200100
Amoxicillin6.256.256.256.25
Table 17. The biological activities of compounds 2732 against Gram-positive and Gram-negative bacteria (inhibition zone diameter, mm µg−1 sample).
Table 17. The biological activities of compounds 2732 against Gram-positive and Gram-negative bacteria (inhibition zone diameter, mm µg−1 sample).
CompoundS. pneumoniaeB. subtilisP. aeruginosaE. coli
27NA a10.2 ± 0.53NANA
2814.6 ± 0.22NANANA
29NA9.3 ± 0.44NANA
30NA8.2 ± 0.53NANA
31NANANANA
32NANANANA
Ampicillin23.8 ± 0.232.4 ± 0.3
Gentamicin17.3 ± 0119.9 ± 0.3
a NA—no activity.
Table 18. The antibacterial activities of compounds 3347 against Gram-positive and Gram-negative bacteria (inhibition zone diameter, mm/µg sample).
Table 18. The antibacterial activities of compounds 3347 against Gram-positive and Gram-negative bacteria (inhibition zone diameter, mm/µg sample).
CompoundS. pneumoniaeB. subtilisP. aeruginosaE. coli
33NA aNANANA
3412.9 ± 0.1915.1 ± 0.44NANA
3514.9 ± 0.2216.2 ± 0.36NA12.3 ± 0.27
36NANANANA
3712.3 ± 0.3614.1 ± 0.17NANA
38NANANANA
3911.3 ± 0.1912.2 ± 0.44NANA
40NANANANA
41NANANANA
42NANANANA
43NANANANA
44NANANANA
4512.9 ± 0.1215.1 ± 0.34NANA
4613.2 ± 0.1915.7 ± 0.44NANA
47NA10.8 ± 0.34NANA
Ampicillin23.8 ± 0.232.4 ± 0.3
Gentamicin17.3 ± 0.119.9 ± 0.3
a NA—no activity.
Table 19. The antibacterial activities of compounds 4850 against S. aureus (inhibition zone diameter, mm).
Table 19. The antibacterial activities of compounds 4850 against S. aureus (inhibition zone diameter, mm).
CompoundInhibition Zone Diameter, mm
4823.70
4913.46
5025.94
Penicillin22.50
Table 20. The antifungal activity of compound 51 against four species of fungi (inhibition zone diameter, mm).
Table 20. The antifungal activity of compound 51 against four species of fungi (inhibition zone diameter, mm).
CompoundA. ochraceusP. chrysogenumA. flavusC. albicans
5134363524
Mycostatin36403840
Table 21. The antifungal activities of compounds 2224 (inhibition zone diameter, cm) a.
Table 21. The antifungal activities of compounds 2224 (inhibition zone diameter, cm) a.
CompoundA. fumigatusP. italicumS. racemosumC. albicans
22+++-+
23++++-
24+---
Terbinafin3.03.63.63.0
a Inhibition zone diameter beyond control/(sign): 1.1–1.5 cm/(+++); 0.6–1.0 cm/(++); 0.1–0.5 cm/(+); 0 cm/(-).
Table 22. The antifungal activity of compound 25 at 100 μg/mL concentration (inhibition zone diameter, mm) a.
Table 22. The antifungal activity of compound 25 at 100 μg/mL concentration (inhibition zone diameter, mm) a.
CompoundA. fumigatusA. nigerA. alternata
2517128
Ketoconazole182021
a 12 mm or less: resistant or no inhibition, 13–17 mm: moderate inhibition, 18 mm or more: maximum inhibition.
Table 23. The minimum inhibitory concentration (MIC, μg/mL) of compound 25 against Aspergillus niger and Aspergillus alternata, respectively.
Table 23. The minimum inhibitory concentration (MIC, μg/mL) of compound 25 against Aspergillus niger and Aspergillus alternata, respectively.
CompoundA. nigerA. alternata
255050
Ketoconazole6.256.25
Table 24. The antifungal activities of compounds 6 and 8 at 100 μg/mL concentration (inhibition zone diameter, mm).
Table 24. The antifungal activities of compounds 6 and 8 at 100 μg/mL concentration (inhibition zone diameter, mm).
CompoundA. fumigatusA. nigerA. alternata
612910
8211919
Ketoconazole182021
15 mm or less: resistant or no inhibition, 16–20 mm: moderate inhibition, 20 mm or more: maximum inhibition.
Table 25. The biological activities of compound 26 against fungi (minimum inhibitory concentration (MIC), μg/mL).
Table 25. The biological activities of compound 26 against fungi (minimum inhibitory concentration (MIC), μg/mL).
CompoundA. nigerC. albicans
26250250
Ketoconazole31.2531.25
Table 26. The biological activities of compound 9 against fungi (minimum inhibitory concentration (MIC), μg/mL).
Table 26. The biological activities of compound 9 against fungi (minimum inhibitory concentration (MIC), μg/mL).
CompoundA. nigerC. albicans
962.5125
Ketoconazole31.2531.25
Table 27. The in vitro antiviral activity of compound 52.
Table 27. The in vitro antiviral activity of compound 52.
CompoundCC50 a
Μl/Egg
IC50Therapeutic Index bTiter of the Virus cS/P Ratio d
IBDV only107 log2 EID50
52>500≤955.5%106 log2 EID500.34
Ribavirin>300≤742.8%102 log2 EID50
Negative control0 log2 EID500.01
Vaccinated group only0.34
a Cytotoxicity concentration of fifty. b TI = CC50/IC50. c EID50 (egg infective dose fifty) with a mixture of IBDV with each compound virus titer. d S/P ratio: sample/positive ratio.
Table 28. Phenotypic activity of compound 53 against intracellular amastigotes of T. cruzi (Tulahuen strain) and MRC-5 cells.
Table 28. Phenotypic activity of compound 53 against intracellular amastigotes of T. cruzi (Tulahuen strain) and MRC-5 cells.
CompoundpIC50 aSI b
T. cruziMRC-5
534.8<4.2>4
a All reported values are within a standard deviation of ±0.2 and the result of at least n = 2. b The selectivity index is calculated by dividing the cytotoxicity (IC50) by the T. cruzi activity (IC50).
Table 29. The in vitro cytotoxic activity of compounds 5459.
Table 29. The in vitro cytotoxic activity of compounds 5459.
CompoundNonviable Cells (%) Concentration (μg/mL)
1005025
5460%55%45%
5560%50%35%
5670%60%45%
5790%85%80%
5850%35%10%
59NA aNANA
Doxorubicin100%55%20%
a NA—no activity.
Table 30. The in vitro anti-Hep G2 activity results of compounds 56 and 57.
Table 30. The in vitro anti-Hep G2 activity results of compounds 56 and 57.
CompoundIC50, μg/mL
5660.27
578.12
Doxorubicin43.60
Table 31. The in vitro antitumor activity of compounds 6064 (IC50, μmol/L).
Table 31. The in vitro antitumor activity of compounds 6064 (IC50, μmol/L).
CompoundL1210CHO
60<10<10
610.142.2
62<10<10
63<10<10
641.23.5
Table 32. The in vitro antitumor activity of compounds 6569 (IC50, μmol/L).
Table 32. The in vitro antitumor activity of compounds 6569 (IC50, μmol/L).
CompoundL1210HL-60CHO
657.35.37.2
6615.412.76.7
678.25.25.0
684.72.84.2
692.61.41.0
Ciprofloxacin>150>150>150
Table 33. The in vitro antitumor activity of compound 70 (IC50, μmol/L).
Table 33. The in vitro antitumor activity of compound 70 (IC50, μmol/L).
CompoundHep G2WI 38VEROMCF-7
7065.665.069.866.8
5-Fluorouracil8.63.26.52.3
Table 34. The in vitro antitumor activity of compounds 2732 and 7173 (IC50, μmol/L).
Table 34. The in vitro antitumor activity of compounds 2732 and 7173 (IC50, μmol/L).
CompoundHep G2HCT116
2719.438.4
2841.821.3
2921.639.3
3043.937.5
3180.965.1
3227.624.3
7123.321.4
7212.420.9
7394.982.8
Doxorubicin0.460.42
Imatinib9.718.9
5-Flourouracil1.23.5
Table 35. The in vitro antitumor activity of compounds 7478.
Table 35. The in vitro antitumor activity of compounds 7478.
CompoundInhibition Rate, (%, 10 μg/mL)
SGC-7901KBHT1080
7490.389.990.6
7595.996.395.5
7690.591.888.9
7788.789.590.3
7896.097.596.5
Combretastatin A-475.074.476.4
Doxorubicin87.685.388.4
Table 36. The in vivo antitumor activity of compounds 75 and 78.
Table 36. The in vivo antitumor activity of compounds 75 and 78.
CompoundDose
mg/kg
Administration MethodNumber of AnimalsBody Weight
g
Tumor Weight
x ± SD
Inhibition Rate
%
InitialFinalInitialFinal
none101020.226.91.80 ± 0.45
7510i.p.101020.127.20.65 ± 0.1963.9
755i.p.101020.326.50.62 ± 0.2365.6
7810i.p.101020.526.50.69 ± 0.2561.7
785i.p.101020.127.00.76 ± 0.2857.8
5-Fluorouracil50i.v.101020.723.90.57 ± 0.2268.3
Table 37. The in vitro antiproliferative activity of compounds 7478.
Table 37. The in vitro antiproliferative activity of compounds 7478.
CompoundIC50 ± SD, μM
SGC-7901A549HT1080
7433.5 ± 1.929.3 ± 1.251.3 ± 2.6
756.12 ± 0.131.21 ± 0.096.81 ± 0.21
7626.8 ± 1.126.4 ± 2.026.5 ± 2.2
7748.3 ± 1.558.2 ± 2.935.6 ± 3.8
7813.8 ± 1.617.4 ± 2.017.8 ± 1.5
SMART0.019 ± 0.0080.029 ± 0.0090.028 ± 0.011
ABI0.81 ± 0.080.98 ± 0.110.15 ± 0.05
Table 38. The in vitro antitumor activity of compounds 3347.
Table 38. The in vitro antitumor activity of compounds 3347.
CompoundIC50, μg/mL
Hep G2HCT116
332939.7
34>100>100
3522.223.3
3672.594.6
3745.588.6
3838.840.1
3948.183.1
4022.735.2
4131.359.5
42>100>100
4311.312.5
4423.638.9
4577.4>100
4646.396.5
4711.918.9
Doxorubicin0.420.46
Imatinib18.99.7
5-Flourouracil4.64.3
Table 39. The in vitro antitumor activity of compounds 7983.
Table 39. The in vitro antitumor activity of compounds 7983.
CompoundIC50 ± SD, μM
HCT116Hep G2HeLaMCF-7
7945.51 ± 2.8038.53 ± 2.6264.90 ± 3.3634.33 ± 2.32
8082.68 ± 4.2172.26 ± 4.0091.45 ± 4.6365.27 ± 3.71
8174.28 ± 3.8468.67 ± 3.7485.90 ± 4.2057.26 ± 3.30
827.71 ± 0.6210.84 ± 0.9013.11 ± 1.019.29 ± 0.73
8392.72 ± 4.7084.30 ± 4.32>10052.51 ± 2.92
Doxorubicin5.23 ± 0.334.50 ± 0.205.57 ± 0.464.17 ± 0.20
Table 40. The ulcerogenic activity of compound 7 in rats a.
Table 40. The ulcerogenic activity of compound 7 in rats a.
CompoundDose (mg/kg)
1050100
Control0/60/60/6
70/6(0)0/6(0)0/6(0)
Indomethacin3/6(1.5 ± 0.2) b,c5/6(1.9 ± 0.2) b,c6/6(2.2 ± 0.2) b,c
a Number of rat lesions bigger than 0.5 mm in length per total number of rats. b Mean ulcer lesions ± SEM (mm) (n = 6) in parentheses. c Significant difference at p < 0.05 compared with the control.
Disclaimer/Publisher’s Note: The statements, opinions and data contained in all publications are solely those of the individual author(s) and contributor(s) and not of MDPI and/or the editor(s). MDPI and/or the editor(s) disclaim responsibility for any injury to people or property resulting from any ideas, methods, instructions or products referred to in the content.

Share and Cite

MDPI and ACS Style

Pintea, B.-N.; Panțîr, V.-G.; Badea, V.; Péter, F. Pyrazolo[5,1-c][1,2,4]triazole: A Promising Emerging Biologically Active Scaffold in Medicinal Chemistry. Int. J. Mol. Sci. 2025, 26, 8190. https://doi.org/10.3390/ijms26178190

AMA Style

Pintea B-N, Panțîr V-G, Badea V, Péter F. Pyrazolo[5,1-c][1,2,4]triazole: A Promising Emerging Biologically Active Scaffold in Medicinal Chemistry. International Journal of Molecular Sciences. 2025; 26(17):8190. https://doi.org/10.3390/ijms26178190

Chicago/Turabian Style

Pintea, Beniamin-Nicolae, Vasilica-Georgiana Panțîr, Valentin Badea, and Francisc Péter. 2025. "Pyrazolo[5,1-c][1,2,4]triazole: A Promising Emerging Biologically Active Scaffold in Medicinal Chemistry" International Journal of Molecular Sciences 26, no. 17: 8190. https://doi.org/10.3390/ijms26178190

APA Style

Pintea, B.-N., Panțîr, V.-G., Badea, V., & Péter, F. (2025). Pyrazolo[5,1-c][1,2,4]triazole: A Promising Emerging Biologically Active Scaffold in Medicinal Chemistry. International Journal of Molecular Sciences, 26(17), 8190. https://doi.org/10.3390/ijms26178190

Note that from the first issue of 2016, this journal uses article numbers instead of page numbers. See further details here.

Article Metrics

Back to TopTop