Evaluation of Commercially Available Kits for Parallel DNA and microRNA Isolation Suitable for Epigenetic Analyses from Cell-Free Saliva and Salivary Extracellular Vesicles
Abstract
1. Introduction
2. Results
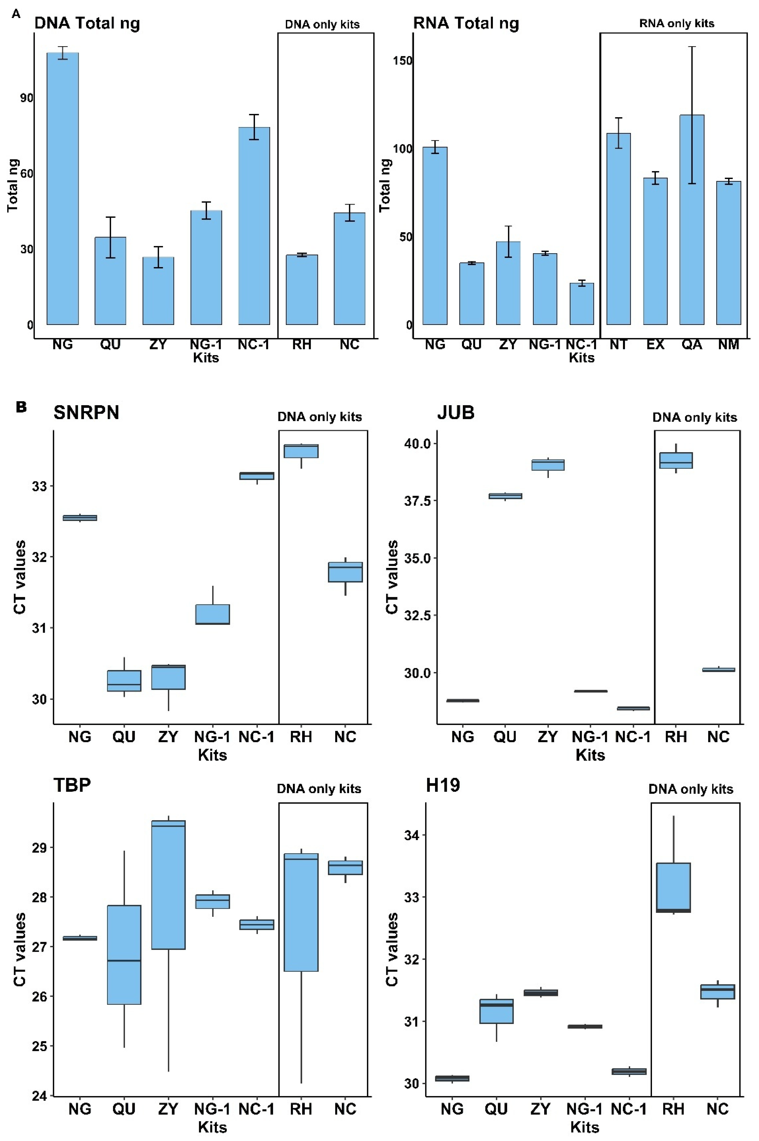
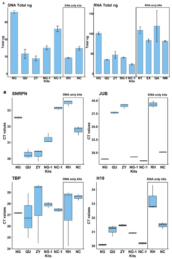
2.1. DNA Extraction from Cell-Free Saliva

| Manufacturer | Abbreviation | Kit Name | Type of NA Isolated |
|---|---|---|---|
| Norgen-Biotek Corp., Thorold, ON, Canada | NG | Plasma/Serum RNA/DNA Purification Mini Kit | m/miRNA and DNA |
| Qiagen., Hilden, Germany | QU | Qiagen AllPrep® DNA/RNA/miRNA Universal | m/miRNA and DNA |
| Zymo Research Corporation., Tustin, CA, USA | ZY | Zymo ZR-Duet™ DNA/RNA MiniPrep Plus | m/miRNA and DNA |
| Norgen-Biotek Corp., Thorold, ON, Canada | NG-1 | Norgen RNA/DNA Purification Kit | m/miRNA and DNA |
| Norgen-Biotek Corp, Thorold, ON, Canada | NC-1 | Norgen Plasma/Serum Circulating and Exosomal RNA and DNA Purification Kit | m/miRNA and DNA |
| Roche Diagnostics Deutschland GmbH., Mannheim, Germany | RH | Roche High Pure PCR Template Preparation kit | DNA only |
| Norgen-Biotek Corp., Thorold, ON, Canada | NC | Norgen Plasma/Serum Cell Free Circulating DNA | DNA only |
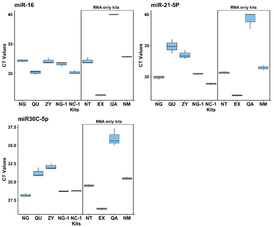
2.2. miRNA Extraction from Cell-Free Saliva
| Manufacturer | Abbreviation | Kit Name | Type of NA Isolated |
|---|---|---|---|
| Norgen-Biotek Corp., Thorold, ON, Canada | NG | Plasma/Serum RNA/DNA Purification Mini Kit | m/miRNA and DNA |
| Qiagen, Hilden, Germany | QU | Qiagen AllPrep® DNA/RNA/miRNA Universal | m/miRNA and DNA |
| Zymo Research Corporation., Tustin, CA, USA | ZY | Zymo ZR-Duet™ DNA/RNA MiniPrep Plus | m/miRNA and DNA |
| Norgen-Biotek Corp., Thorold, ON, Canada | NG-1 | Norgen RNA/DNA Purification Kit | m/miRNA and DNA |
| Norgen-Biotek Corp., Thorold, ON, Canada | NC-1 | Norgen Plasma/Serum Circulating and Exosomal RNA and DNA Purification Kit | m/miRNA and DNA |
| Norgen-Biotek Corp., Thorold, ON, Canada | NT | Norgen Total RNA Purification Kit | m/miRNA only |
| Exqion, Vedbæk, Denmark | EX | Exqion miRCURY™ RNA Isolation Kit—Cell & Plant | m/miRNA only |
| Qiagen, Hilden, Germany | QA | miRNeasy Serum/Plasma Advanced Kit | m/miRNA only |
| Norgen-Biotek Corp., Thorold, ON, Canada | NM | Plasma/Serum RNA Purification Mini Kit | m/miRNA only |
2.3. Evaluation of Commercial Kits for Extracellular Vesicle Isolation from Saliva
| Manufacturer | Kit Code | Kit Name | Principle |
|---|---|---|---|
| Qiagen, Hilden, Ger-many | MR | miRCURY® Exosome Serum/Plasma Kit | Precipitation |
| 101 Bio., Mountain View, CA, USA | PE | PureExo® Exosome Isolation kit | Precipitation |
| HansaBioMed Life Sciences., Tallinn, Estonia. | HI | Immunobeads for Overall exosomes capture from biological fluids | Immuno bead-based |
| Norgen-Biotek Corp., Thorold, ON, Canada | NE | Norgen plasma serum exosomes Purification kit | Column Purification |
| Tymora Analytical Operations, West Lafayette, IN, USA | EV | EVtrap magnetic capture of extracellular vesicles (EVs) | EV capture via magnetic beads |
3. Discussion
4. Materials and Methods
4.1. Saliva Donors and Collection
4.2. DNA and miRNA Extraction from Cell Free Saliva
4.3. Extracellular Vesicle Preparation and Isolation
4.4. DNA and RNA Concentration Measurements
4.5. DNA and miRNA Quantification via qPCR
4.6. Data Analysis
5. Conclusions
Author Contributions
Funding
Institutional Review Board Statement
Informed Consent Statement
Data Availability Statement
Acknowledgments
Conflicts of Interest
Appendix A
| Primer Name | Forward Primer Reverse Primer | Product Length | Cycles |
|---|---|---|---|
| H19 | TGG GCC GCA GTG CCT CGT GGG GGG CGA AGC GGC CAC GGG AG | 101 | 45 |
| SNRPN | GTC CCC CAT CCG CCC CCA ACT G CCC ACT GCG GTT ACC CCG CAT GCT C | 105 | 45 |
| JUB | GGC ATT GCT CTG CCC ATA GAT GCC TTT G GGA ATC CCT GGT TTT GAC CTG GGG GA | 101 | 45 |
| TBP | GGC CCG CGG CTC TGT GCG GTG TCG GAT CCG CAG GCG CAG | 105 | 45 |
| PCR-Reaction | 1 Reaction [µL] | ||
|---|---|---|---|
| AD | 5.716 | ||
| 10x Taq-buffer with MgCl (Qiagen) | 1.2 | ||
| dNTP (2 mM) | 0.96 | ||
| Eva Green (20x) (Biotium, Fremont, CA, USA) | 0.168 | ||
| Primer fw (10 µM) | 0.24 | ||
| Primer rev (10 µM) | 0.24 | ||
| HotStar Taq Polymerase (Qiagen) | 0.072 | ||
| Sample | 2 | ||
| ∑ qPCR-Program | 12 Temperature | Time | |
| Activation | 5 min | ||
| Denaturation | 95 °C | 40 s | |
| Annealing | 65 °C | 40 s | 45x |
| Elongation | 72 °C | 1 min 20 s | |
| Final elongation | 72 °C | 7 min | |
| miRNA | Forward Primer Universal Reverse Primer |
|---|---|
| miR-16 | CGC GCT AGC AGC ACG TAA AT GTG CAG GGT CCG AGG T |
| miR-21 | GCC CGC TAG CTT ATC AGA CTG ATG GTG CAG GGT CCG AGG T |
| miR-30c-5p | AGC CGC CTG TAA ACA TCC TAC ACT GTG CAG GGT CCG AGG T |
| miR-16 | GTCGTATCCAGTGCAGGGTCCGAGGTATTCGCACTGGATACGACCGCCAA |
| miR-21 | GTCGTATCCAGTGCAGGGTCCGAGGTATTCGCACTGGATACGACTCAACA |
| miR-30c-5p | GTCGTATCCAGTGCAGGGTCCGAGGTATTCGCACTGGATACGACGCTGAG |
| Master Mix | 1 Reaction [µL] | ||
|---|---|---|---|
| AD | 5.66 | ||
| 10x buffer | 1.5 | ||
| 100 mM dNTP | 0.15 | ||
| RNAse Inhibitor (20 U/µL) | 0.19 | ||
| Mutiscripte RT | 1 | ||
| RT-loop Primer (20 nM) | 1.5 | ||
| Master mix | 10 | ||
| Sample (RNA) | 5 | ||
| total ∑ | 15 | ||
| RT-Program | Temperature | Time | |
| Activation | 16 °C | 30 min | |
| Denaturation | 20 °C | 30 s | |
| Annealing | 42 °C | 30 s | 60x |
| Elongation | 50 °C | 1 s | |
| Final elongation | 85 °C | 5 min | |
| Hold | 4 °C | hold | |
| PCR-Reaction | 1 Reaction [µL] | ||
|---|---|---|---|
| AD | 5.716 | ||
| 10 x Taq-buffer with MgCl (Qiagen) | 1.2 | ||
| dNTP (2 mM) | 0.96 | ||
| Eva Green (20x) (Biotium) | 0.168 | ||
| Primer uni Rev (100 µM) | 0.084 | ||
| HotStar Taq Polymerase (Qiagen) | 0.072 | ||
| Primer fw(10 µM) | 1.8 | ||
| Sample | 2 | ||
| ∑ qPCR-Program | 12 Temperature | Time | |
| Activation | 05 min | ||
| Denaturation | 95 °C | 40 s | |
| Annealing | 60 °C | 40 s | 45x |
| Elongation | 72 °C | 1 min 20 s | |
| Final elongation | 72 °C | 7 min | |
Appendix B
| Nanodrop | Cell Free Saliva DNA Gene Markers | ||||
|---|---|---|---|---|---|
| Picogreen | SNRPN | JUB | TBP | H19 | |
| QU x NG | <0.001 | <0.001 | <0.001 | 0.999 | 0.057 |
| ZY x NG | <0.001 | <0.001 | <0.001 | 0.999 | 0.008 |
| NG-1 x NG | <0.001 | <0.001 | 0.675 | 0.998 | 0.178 |
| NC-1 x NG | <0.001 | 0.141 | 0.841 | 0.999 | 1.000 |
| RH x NG | <0.001 | 0.008 | <0.001 | 0.999 | <0.001 |
| NC x NG | <0.001 | 0.024 | 0.002 | 0.940 | 0.008 |
| ZY x QU | 0.356 | 0.990 | 0.003 | 0.990 | 0.924 |
| NG-1 x QU | 0.111 | 0.005 | <0.001 | 0.987 | 0.993 |
| NC-1 x QU | <0.001 | <0.001 | <0.001 | 0.999 | 0.108 |
| RH x QU | 0.481 | <0.001 | <0.001 | 0.999 | <0.001 |
| NC x QU | 0.166 | <0.001 | <0.001 | 0.866 | 0.924 |
| NG-1 x ZY | 0.002 | 0.005 | <0.001 | 0.999 | 0.599 |
| NC-1 x ZY | <0.001 | <0.001 | <0.001 | 0.999 | 0.016 |
| RH x ZY | 1.000 | <0.001 | 0.949 | 0.999 | <0.001 |
| NC x ZY | 0.0034 | <0.001 | <0.001 | 0.998 | 0.999 |
| NC-1 x NG-1 | <0.001 | <0.001 | 0.118 | 0.999 | 0.305 |
| RH x NG-1 | 0.003 | <0.001 | <0.001 | 0.999 | <0.001 |
| NC x NG-1 | 0.999 | 0.203 | 0.035 | 0.998 | 0.599 |
| RH x NC-1 | <0.001 | 0.666 | <0.001 | 0.999 | <0.001 |
| RH x NG-1 | <0.001 | <0.001 | <0.001 | 0.977 | 0.016 |
| NC x NG-1 | 0.005 | <0.001 | <0.001 | 0.965 | <0.001 |
| RH x NC-1 | <0.001 | <0.001 | <0.001 | 0.999 | 0.057 |
| NC x NC-1 | <0.001 | <0.001 | <0.001 | 0.999 | 0.008 |
| NC x RH | <0.001 | <0.001 | 0.675 | 0.998 | 0.178 |
Appendix C
| Nanodrop | Cell Free Saliva miRNA Gene Markers | |||
|---|---|---|---|---|
| Riobgreen | miR16 | miR21-5p | miR30c-5p | |
| QU x NG | <0.01 | <0.001 | <0.001 | <0.001 |
| ZY x NG | <0.01 | 0.999 | <0.001 | <0.001 |
| NG-1 x NG | <0.01 | 0.559 | 0.979 | 0.928 |
| NC-1 x NG | <0.01 | <0.001 | 0.565 | 0.875 |
| NT x NG | 0.998 | 0.999 | 0.888 | 0.106 |
| EX x NG | 0.806 | <0.001 | 0.001 | 0.005 |
| QA x NG | 0.788 | <0.001 | <0.001 | <0.001 |
| NM x NG | 0.720 | 0.309 | 0.169 | <0.001 |
| ZY x QU | 0.969 | <0.001 | 0.269 | 0.479 |
| NG-1 x QU | 0.999 | 0.00162 | <0.001 | <0.001 |
| NC-1 x QU | 0.979 | 0.999 | <0.001 | <0.001 |
| NT x QU | <0.01 | <0.001 | <0.001 | 0.01249 |
| EX x QU | 0.0104 | <0.001 | <0.001 | <0.001 |
| QA x QU | <0.01 | <0.001 | <0.001 | <0.001 |
| NM x QU | 0.0145 | <0.001 | <0.001 | 0.724 |
| NG-1 x ZY | 0.999 | 0.690 | <0.001 | <0.001 |
| NC-1 x ZY | 0.504 | <0.001 | <0.001 | <0.001 |
| NT x ZY | <0.01 | 0.999 | 0.00137 | <0.001 |
| EX x ZY | 0.089 | <0.001 | <0.001 | <0.001 |
| QA x ZY | <0.01 | <0.001 | <0.001 | <0.001 |
| NM x ZY | 0.119 | 0.220 | 0.025 | 0.024 |
| NC-1 x NG-1 | 0.843 | 0.002 | 0.126 | 0.999 |
| NT x NG-1 | <0.01 | 0.676 | 0.999 | 0.657 |
| EX x NG-1 | 0.0279 | <0.001 | <0.001 | <0.001 |
| QA x NG-1 | <0.01 | <0.001 | <0.001 | <0.001 |
| NM x NG-1 | 0.0381 | 0.007 | 0.665 | 0.010 |
| NT x NC-1 | <0.01 | <0.001 | 0.063 | 0.7461 |
| EX x NC-1 | <0.01 | <0.001 | 0.060 | <0.001 |
| QA x NC-1 | <0.01 | <0.001 | <0.001 | <0.001 |
| NM x NC-1 | <0.01 | <0.001 | 0.00345 | 0.014 |
| EX x NT | 0.404 | <0.001 | <0.001 | <0.001 |
| QA x NT | 0.989 | <0.001 | <0.001 | <0.001 |
| NM x NT | 0.324 | 0.229 | 0.861 | 0.310 |
| QA x EX | 0.092 | <0.001 | <0.001 | <0.001 |
| NM x EX | 1 | <0.001 | <0.001 | <0.001 |
| NM x QA | 0.068 | <0.001 | <0.001 | <0.001 |
Appendix D
| Nanodrop | DNA Gene Marker | Nanodrop | miRNA Gene Marker | ||||||
|---|---|---|---|---|---|---|---|---|---|
| Picogreen | SNRPN | JUB | TBP | H19 | Ribogreen | miR16 | miR21-5p | miR30c-5p | |
| HI x EV | <0.001 | 0.820 | 0.604 | 0.990 | 0.747 | 0.013 | 0.820 | 0.604 | 0.990 |
| MR x EV | <0.001 | <0.001 | <0.001 | 0.001 | <0.001 | <0.001 | <0.001 | <0.001 | 0.001 |
| NE x EV | <0.001 | 0.998 | 0.860 | 0.528 | 1.000 | <0.001 | 0.998 | 0.860 | 0.528 |
| PE x EV | <0.001 | 0.002 | 0.010 | 0.128 | <0.001 | 0.002 | 0.002 | 0.010 | 0.128 |
| MR x HI | <0.001 | 0.000 | 0.007 | <0.001 | <0.001 | <0.001 | 0.000 | 0.007 | <0.001 |
| NE x HI | 1.000 | 0.669 | 0.987 | 0.779 | 0.793 | <0.001 | 0.669 | 0.987 | 0.779 |
| PE x HI | 0.367 | 0.011 | 0.093 | 0.064 | 0.005 | 0.815 | 0.011 | 0.093 | 0.064 |
| NE x MR | <0.001 | <0.001 | 0.003 | <0.001 | <0.001 | 0.000 | <0.001 | 0.003 | <0.001 |
| PE x MR | <0.001 | 0.065 | 0.463 | 0.087 | 0.060 | <1 × 10−4 | 0.065 | 0.463 | 0.087 |
| PE x NE | 0.306 | 0.001 | 0.044 | 0.011 | 0.002 | <1 × 10−4 | 0.001 | 0.044 | 0.011 |
References
- Dilsiz, N. Role of Exosomes and Exosomal MicroRNAs in Cancer. Future Sci. OA 2020, 6, FSO465. [Google Scholar] [CrossRef] [PubMed]
- Špilak, A.; Brachner, A.; Kegler, U.; Neuhaus, W.; Noehammer, C. Implications and pitfalls for cancer diagnostics exploiting extracellular vesicles. Adv. Drug Deliv. Rev. 2021, 175, 113819. [Google Scholar] [CrossRef] [PubMed]
- Wessler, S.; Meisner-Kober, N. On the road: Extracellular vesicles in intercellular communication. Cell Commun. Signal. 2025, 23, 95. [Google Scholar] [CrossRef]
- Raposo, G.; Stoorvogel, W. Extracellular vesicles: Exosomes, microvesicles, and friends. J. Cell Biol. 2013, 200, 373–383. [Google Scholar] [CrossRef]
- Van Niel, G.; D’Angelo, G.; Raposo, G. Shedding light on the cell biology of extracellular vesicles. Nat. Rev. Mol. Cell Biol. 2018, 19, 213–228. [Google Scholar] [CrossRef]
- Li, C.; Ni, Y.-Q.; Xu, H.; Xiang, Q.-Y.; Zhao, Y.; Zhan, J.-K.; He, J.-Y.; Li, S.; Liu, Y.-S. Roles and mechanisms of exosomal non-coding RNAs in human health and diseases. Signal Transduct. Target. Ther. 2021, 6, 383. [Google Scholar] [CrossRef] [PubMed]
- Zheng, D.; Huo, M.; Li, B.; Wang, W.; Piao, H.; Wang, Y.; Zhu, Z.; Li, D.; Wang, T.; Liu, K. The Role of Exosomes and Exosomal MicroRNA in Cardiovascular Disease. Front. Cell Dev. Biol. 2021, 8, 616161. [Google Scholar] [CrossRef]
- Surdu, A.; Foia, L.G.; Luchian, I.; Trifan, D.; Tatarciuc, M.S.; Scutariu, M.M.; Ciupilan, C.; Budala, D.G. Saliva as a Diagnostic Tool for Systemic Diseases—A Narrative Review. Medicina 2025, 61, 243. [Google Scholar] [CrossRef]
- Weber, J.A.; Baxter, D.H.; Zhang, S.; Huang, D.Y.; How Huang, K.; Jen Lee, M.; Galas, D.J.; Wang, K. The microRNA spectrum in 12 body fluids. Clin. Chem. 2010, 56, 1733–1741. [Google Scholar] [CrossRef] [PubMed]
- Nonaka, T.; Wong, D.T. Saliva diagnostics. Annu. Rev. Anal. Chem. 2022, 15, 107–121. [Google Scholar] [CrossRef]
- Schwarzenbach, H.; Hoon, D.S.B.; Pantel, K. Cell-free nucleic acids as biomarkers in cancer patients. Nat. Rev. Cancer 2011, 11, 426–437. [Google Scholar] [CrossRef]
- Hasin, Y.; Seldin, M.; Lusis, A. Multi-omics approaches to disease. Genome Biol. 2017, 18, 83. [Google Scholar] [CrossRef] [PubMed]
- Song, M.; Bai, H.; Zhang, P.; Zhou, X.; Ying, B. Promising Applications of Human-Derived Saliva Biomarker Testing in Clinical Diagnostics. Int. J. Oral Sci. 2023, 15, 2. [Google Scholar] [CrossRef]
- Yáñez-Mó, M.; Siljander, P.R.M.; Andreu, Z.; Zavec, A.B.; Borràs, F.E.; Buzas, E.I.; Buzas, K.; Casal, E.; Cappello, F.; Carvalho, J.; et al. Biological properties of extracellular vesicles and their physiological functions. J. Extracell. Vesicles 2015, 4, 27066. [Google Scholar] [CrossRef]
- Chen, M.; Li, J.; Lin, Y.; Li, X.; Yu, Y.; Zhou, S.; Xu, F.; Zhang, Q.; Zhang, H.; Wang, W. Recent research on material-based methods for isolation of extracellular vesicles. Anal. Methods 2024, 16, 3179–3191. [Google Scholar] [CrossRef] [PubMed]
- Théry, C.; Witwer, K.W.; Aikawa, E.; Alcaraz, M.J.; Anderson, J.D.; Andriantsitohaina, R.; Antoniou, A.; Arab, T.; Archer, F.; Atkin-Smith, G.K.; et al. Minimal information for studies of extracellular vesicles 2018 (MISEV2018): A position statement of the International Society for Extracellular Vesicles and update of the MISEV2014 guidelines. J. Extracell. Vesicles 2018, 7, 1535750. [Google Scholar] [PubMed]
- Mosquera-Heredia, M.I.; Morales, L.C.; Vidal, O.M.; Barceló, E.; Silvera-Redondo, C.; Vélez, J.I.; Garavito-Galofre, P. Exosomes: Potential Disease Biomarkers and New Therapeutic Targets. Biomedicines 2021, 9, 1061. [Google Scholar] [CrossRef]
- Kalluri, R.; LeBleu, V.S. The biology, function, and biomedical applications of exosomes. Science 2020, 367, eaau6977. [Google Scholar] [CrossRef]
- Pfaffe, T.; Cooper-White, J.; Beyerlein, P.; Kostner, K.; Punyadeera, C. Diagnostic potential of saliva: Current state and future applications. Clin. Chem. 2011, 57, 675–687. [Google Scholar] [CrossRef]
- Setti, G.; Pezzi, M.E.; Viani, M.V.; Pertinhez, T.A.; Cassi, D.; Magnoni, C.; Bellini, P.; Musolino, A.; Vescovi, P.; Meleti, M. Salivary MicroRNA for Diagnosis of Cancer and Systemic Diseases: A Systematic Review. Int. J. Mol. Sci. 2020, 21, 907. [Google Scholar] [CrossRef]
- Zhang, L.; Xiao, H.; Zhou, H.; Santiago, S.; Lee, J.M.; Garon, E.B.; Yang, J.; Brinkmann, O.; Yan, X.; Akin, D.; et al. Development of transcriptomic biomarker signature in human saliva to detect lung cancer. Cell. Mol. Life Sci. 2012, 69, 3341–3350. [Google Scholar] [CrossRef]
- Bezinelli, L.; Correa, L.; Jimenez, M.; Dame-Teixeira, N.; Lombaert, I.M.A.; Heller, D. Saliva in the Diagnosis of COVID-19: A Review and New Research Directions. J. Dent. Res. 2020, 99, 1435–1443. [Google Scholar] [CrossRef]
- Schweighardt, A.J.; Tate, C.M.; Scott, K.A.; Harper, K.A.; Robertson, J.M. Evaluation of Commercial Kits for Dual Extraction of DNA and RNA from Human Body Fluids. J. Forensic Sci. 2015, 60, 157–165. [Google Scholar] [CrossRef] [PubMed]
- Li, F.; Kaczor-Urbanowicz, K.E.; Sun, J.; Majem, B.; Lo, H.C.; Kim, Y.; Koyano, K.; Rao, S.L.; Kang, S.Y.; Kim, S.M.; et al. Characterization of Human Salivary Extracellular RNA by Next-generation Sequencing. Clin. Chem. 2018, 64, 1085–1095. [Google Scholar] [CrossRef]
- Reseco, L.; Molina-Crespo, A.; Atienza, M.; Gonzalez, E.; Falcon-Perez, J.M.; Cantero, J.L. Characterization of Extracellular Vesicles from Human Saliva:Effects of Age and Isolation Techniques. Cells 2024, 13, 95. [Google Scholar] [CrossRef] [PubMed]
- Takizawa, S.; Matsuzaki, J.; Ochiya, T. Circulating microRNAs: Challenges with their use as liquid biopsy biomarkers. Cancer Biomark. 2022, 35, 1–9. [Google Scholar] [CrossRef] [PubMed]
- Urbizu, A.; Arnaldo, L.; Beyer, K. Obtaining MiRNA from Saliva—Comparison of Sampling and Purification Methods. Int. J. Mol. Sci. 2023, 24, 2386. [Google Scholar] [CrossRef]
- Hothorn, T.; Bretz, F.; Westfall, P. Simultaneous inference in general parametric models. Biom. J. J. Math. Methods Biosci. 2008, 50, 346–363. [Google Scholar] [CrossRef]
- R Core Team. R: A Language and Environment for Statistical Computing (Ver. v3.1.1). 2018. Available online: http://www.R-project.org (accessed on 10 November 2023).



Disclaimer/Publisher’s Note: The statements, opinions and data contained in all publications are solely those of the individual author(s) and contributor(s) and not of MDPI and/or the editor(s). MDPI and/or the editor(s) disclaim responsibility for any injury to people or property resulting from any ideas, methods, instructions or products referred to in the content. |
© 2025 by the authors. Licensee MDPI, Basel, Switzerland. This article is an open access article distributed under the terms and conditions of the Creative Commons Attribution (CC BY) license (https://creativecommons.org/licenses/by/4.0/).
Share and Cite
Yousaf, I.; Kegler, U.; Hofner, M.; Noehammer, C. Evaluation of Commercially Available Kits for Parallel DNA and microRNA Isolation Suitable for Epigenetic Analyses from Cell-Free Saliva and Salivary Extracellular Vesicles. Int. J. Mol. Sci. 2025, 26, 6365. https://doi.org/10.3390/ijms26136365
Yousaf I, Kegler U, Hofner M, Noehammer C. Evaluation of Commercially Available Kits for Parallel DNA and microRNA Isolation Suitable for Epigenetic Analyses from Cell-Free Saliva and Salivary Extracellular Vesicles. International Journal of Molecular Sciences. 2025; 26(13):6365. https://doi.org/10.3390/ijms26136365
Chicago/Turabian StyleYousaf, Iqra, Ulrike Kegler, Manuela Hofner, and Christa Noehammer. 2025. "Evaluation of Commercially Available Kits for Parallel DNA and microRNA Isolation Suitable for Epigenetic Analyses from Cell-Free Saliva and Salivary Extracellular Vesicles" International Journal of Molecular Sciences 26, no. 13: 6365. https://doi.org/10.3390/ijms26136365
APA StyleYousaf, I., Kegler, U., Hofner, M., & Noehammer, C. (2025). Evaluation of Commercially Available Kits for Parallel DNA and microRNA Isolation Suitable for Epigenetic Analyses from Cell-Free Saliva and Salivary Extracellular Vesicles. International Journal of Molecular Sciences, 26(13), 6365. https://doi.org/10.3390/ijms26136365

