Identifying Molecular Modulators of the Vascular Invasion in Rectal Carcinoma: Role of ADAMTS8 and Its Co-Dependent Genes
Abstract
1. Introduction
2. Results
2.1. Patient Cohort and Dataset
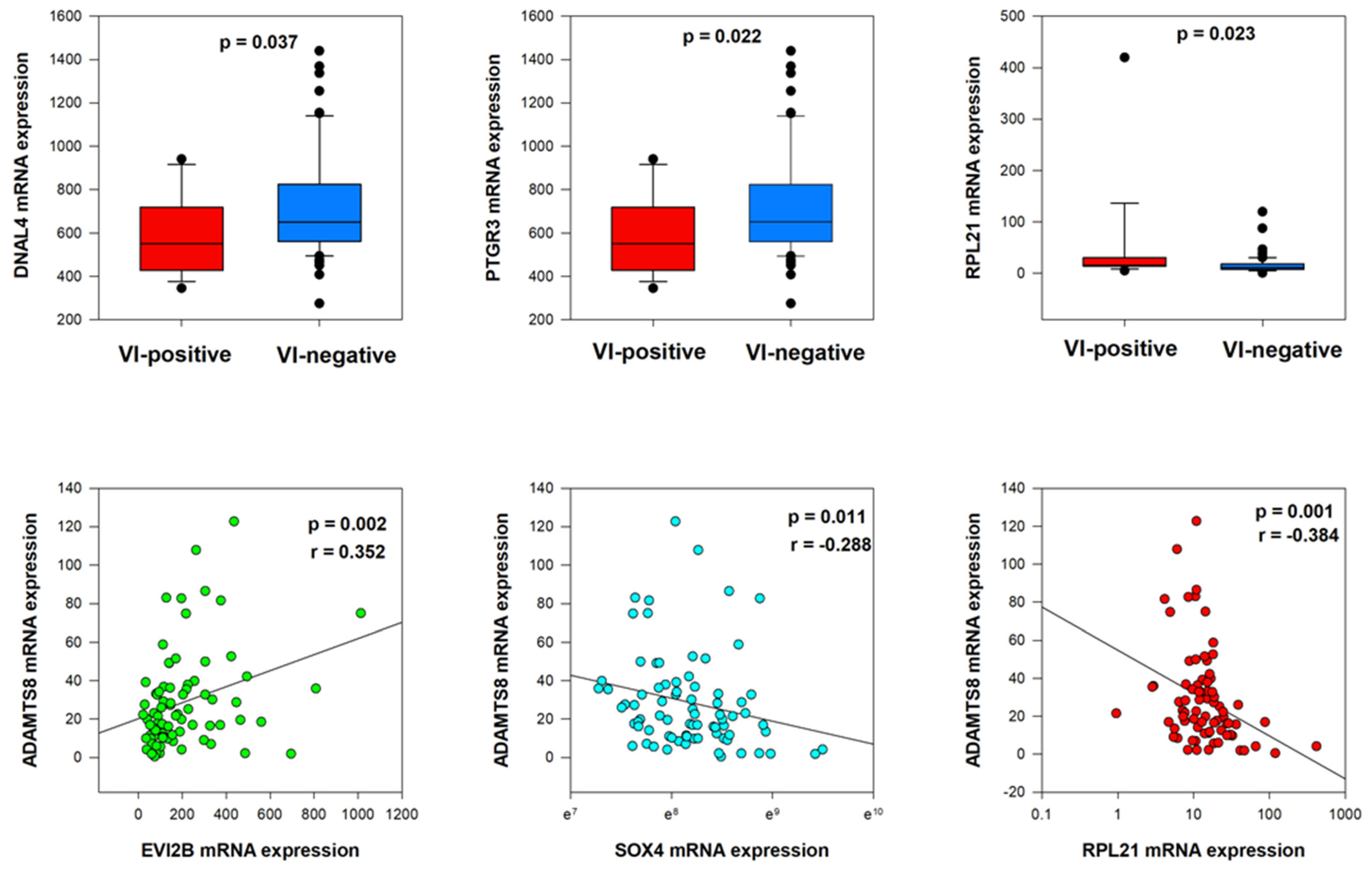
2.2. Association of mRNA Gene Expression and Methylation Levels of Selected Genes with Vascular Invasion
2.3. ADAMTS8 Signal Pathways, Interaction, and Clustering Analysis
2.4. Prediction of ADAMTS8 Co-Dependent Gene Targets and Their Association with Vascular Invasion
2.5. Molecular Docking Analysis
2.5.1. Benzo[a]pyrene
2.5.2. Cyanoginosin LR
2.5.3. Doxorubicin
2.5.4. Dibenzo(a,e)pyrene
3. Discussion
3.1. ADAMTS8 as a Critical Target for VI Modulation
3.2. Common Targets of Modulators Associated with VI
4. Materials and Methods
4.1. Gene Candidate Selection
4.2. cBioPortal Data Selection and Processing
4.3. Statistical Analysis
4.4. Enrichment Analysis for Vascular Invasion-Related Gene Product
4.5. Molecular Docking Analysis Workflow
4.5.1. 3D Structures Selection
4.5.2. Protein Structure Preparation
4.5.3. Candidate Compounds Selection and Preparation
4.5.4. Molecular Interactions Simulations
5. Conclusions
Supplementary Materials
Author Contributions
Funding
Institutional Review Board Statement
Informed Consent Statement
Data Availability Statement
Acknowledgments
Conflicts of Interest
Abbreviations
| RC | Rectal Carcinoma |
| CRC | Colorectal Carcinoma |
| VI | Vascular Invasion |
| ADAMTS8 | ADAM Metallopeptidase with Thrombospondin Type 1 Motif 8 |
References
- Spanos, C.P. Rectal Cancer. In Colorectal Disorders and Diseases; Elsevier: Amsterdam, The Netherlands, 2023; pp. 127–134. ISBN 978-0-443-15648-9. [Google Scholar] [CrossRef]
- Lord, A.C.; Knijn, N.; Brown, G.; Nagtegaal, I.D. Pathways of Spread in Rectal Cancer: A Reappraisal of the True Routes to Distant Metastatic Disease. Eur. J. Cancer 2020, 128, 1–6. [Google Scholar] [CrossRef] [PubMed]
- Betge, J.; Pollheimer, M.J.; Lindtner, R.A.; Kornprat, P.; Schlemmer, A.; Rehak, P.; Vieth, M.; Hoefler, G.; Langner, C. Intramural and Extramural Vascular Invasion in Colorectal Cancer: Prognostic Significance and Quality of Pathology Reporting. Cancer 2012, 118, 628–638. [Google Scholar] [CrossRef] [PubMed]
- Leijssen, L.G.J.; Dinaux, A.M.; Amri, R.; Taylor, M.S.; Deshpande, V.; Bordeianou, L.G.; Kunitake, H.; Berger, D.L. Impact of Intramural and Extramural Vascular Invasion on Stage II–III Colon Cancer Outcomes. J. Surg. Oncol. 2019, 119, 749–757. [Google Scholar] [CrossRef] [PubMed]
- Djuric, M.; Kožik, B.; Vasiljevic, T.; Djermanovic, A.; Stanulovic, N.; Djuric, M. Prognostic Value of Separate Extramural Vascular Invasion Reporting in Operative Samples of Rectal Cancer: Single-Institutional Experience. Cancers 2024, 16, 3579. [Google Scholar] [CrossRef]
- Inoue, A.; Sheedy, S.P.; Heiken, J.P.; Mohammadinejad, P.; Graham, R.P.; Lee, H.E.; Kelley, S.R.; Hansel, S.L.; Bruining, D.H.; Fidler, J.L.; et al. MRI-Detected Extramural Venous Invasion of Rectal Cancer: Multimodality Performance and Implications at Baseline Imaging and after Neoadjuvant Therapy. Insights Imaging 2021, 12, 110. [Google Scholar] [CrossRef]
- Mc Entee, P.D.; Shokuhi, P.; Rogers, A.C.; Mehigan, B.J.; McCormick, P.H.; Gillham, C.M.; Kennedy, M.J.; Gallagher, D.J.; Ryan, C.E.; Muldoon, C.B.; et al. Extramural Venous Invasion (EMVI) in Colorectal Cancer Is Associated with Increased Cancer Recurrence and Cancer-Related Death. Eur. J. Surg. Oncol. 2022, 48, 1638–1642. [Google Scholar] [CrossRef]
- Sabouni, E.; Nejad, M.M.; Mojtabavi, S.; Khoshdooz, S.; Mojtabavi, M.; Nadafzadeh, N.; Nikpanjeh, N.; Mirzaei, S.; Hashemi, M.; Aref, A.R.; et al. Unraveling the Function of Epithelial-Mesenchymal Transition (EMT) in Colorectal Cancer: Metastasis, Therapy Response, and Revisiting Molecular Pathways. Biomed. Pharmacother. 2023, 160, 114395. [Google Scholar] [CrossRef]
- Karlsson, S.; Nyström, H. The Extracellular Matrix in Colorectal Cancer and Its Metastatic Settling—Alterations and Biological Implications. Crit. Rev. Oncol./Hematol. 2022, 175, 103712. [Google Scholar] [CrossRef]
- Raphela-Choma, P.P.; Choene, M.S.; Motadi, L.R. Molecular Mechanism of Angiogenesis in Colorectal Cancer. Gene Rep. 2025, 39, 102163. [Google Scholar] [CrossRef]
- Choi, G.C.G.; Li, J.; Wang, Y.; Li, L.; Zhong, L.; Ma, B.; Su, X.; Ying, J.; Xiang, T.; Rha, S.Y.; et al. The Metalloprotease ADAMTS8 Displays Antitumor Properties through Antagonizing EGFR–MEK–ERK Signaling and Is Silenced in Carcinomas by CpG Methylation. Mol. Cancer Res. 2014, 12, 228–238. [Google Scholar] [CrossRef]
- Zhang, Y.; Hu, K.; Qu, Z.; Xie, Z.; Tian, F. ADAMTS8 Inhibited Lung Cancer Progression through Suppressing VEGFA. Biochem. Biophys. Res. Commun. 2022, 598, 1–8. [Google Scholar] [CrossRef] [PubMed]
- Li, L.; Yuan, S.; Zhao, X.; Luo, T. ADAMTS8 Is Frequently Down-Regulated in Colorectal Cancer and Functions as a Tumor Suppressor. Biochem. Biophys. Res. Commun. 2020, 524, 663–671. [Google Scholar] [CrossRef] [PubMed]
- Zhang, K.; Tian, R.; Wang, G.; Zhang, J.; Ma, H.; Hu, X.; Xi, J.; Wang, G. ADAMTS8 Inhibits Cell Proliferation and Invasion, and Induces Apoptosis in Breast Cancer. Onco Targets Ther. 2020, 13, 8373–8382. [Google Scholar] [CrossRef] [PubMed]
- Wang, W.; Li, D.; Xiang, L.; Lv, M.; Tao, L.; Ni, T.; Deng, J.; Gu, X.; Masatara, S.; Liu, Y.; et al. TIMP-2 Inhibits Metastasis and Predicts Prognosis of Colorectal Cancer via Regulating MMP-9. Cell Adhes. Migr. 2019, 13, 272–283. [Google Scholar] [CrossRef]
- Yu, J.; He, Z.; He, X.; Luo, Z.; Lian, L.; Wu, B.; Lan, P.; Chen, H. Comprehensive Analysis of the Expression and Prognosis for MMPs in Human Colorectal Cancer. Front. Oncol. 2021, 11, 771099. [Google Scholar] [CrossRef]
- Zhang, D.; Bi, J.; Liang, Q.; Wang, S.; Zhang, L.; Han, F.; Li, S.; Qiu, B.; Fan, X.; Chen, W.; et al. VCAM1 Promotes Tumor Cell Invasion and Metastasis by Inducing EMT and Transendothelial Migration in Colorectal Cancer. Front. Oncol. 2020, 10, 1066. [Google Scholar] [CrossRef]
- Zhang, L.; Shay, J.W. Multiple Roles of APC and Its Therapeutic Implications in Colorectal Cancer. JNCI J. Natl. Cancer Inst. 2017, 109, djw332. [Google Scholar] [CrossRef]
- Abdel-Fattah, G.; Yoffe, B.; Krishnan, B.; Khaoustov, V.; Itani, K. MDM2/P53 Protein Expression in the Development of Colorectal Adenocarcinoma. J. Gastrointest. Surg. 2000, 4, 109–114. [Google Scholar] [CrossRef]
- Chen, H.; Lu, W.; Huang, C.; Ding, K.; Xia, D.; Wu, Y.; Cai, M. Prognostic Significance of ZEB1 and ZEB2 in Digestive Cancers: A Cohort-Based Analysis and Secondary Analysis. Oncotarget 2017, 8, 31435–31448. [Google Scholar] [CrossRef]
- Cui, X.; Wang, G.; Shen, W.; Huang, Z.; He, H.; Cui, L. Lysyl Oxidase-like 2 Is Highly Expressed in Colorectal Cancer Cells and Promotes the Development of Colorectal Cancer. Oncol. Rep. 2018, 40, 932–942. [Google Scholar] [CrossRef]
- Filou, S.; Korpetinou, A.; Kyriakopoulou, D.; Bounias, D.; Stavropoulos, M.; Ravazoula, P.; Papachristou, D.J.; Theocharis, A.D.; Vynios, D.H. ADAMTS Expression in Colorectal Cancer. PLoS ONE 2015, 10, e0121209. [Google Scholar] [CrossRef] [PubMed][Green Version]
- George, M.L.; Tutton, M.G.; Janssen, F.; Arnaout, A.; Abulafi, A.M.; Eccles, S.A.; Swift, R.I. VEGF-A, VEGF-C, and VEGF-D in Colorectal Cancer Progression. Neoplasia 2001, 3, 420–427. [Google Scholar] [CrossRef] [PubMed]
- Gomez, I.; Peña, C.; Herrera, M.; Muñoz, C.; Larriba, M.J.; Garcia, V.; Dominguez, G.; Silva, J.; Rodriguez, R.; Garcia De Herreros, A.; et al. TWIST1 Is Expressed in Colorectal Carcinomas and Predicts Patient Survival. PLoS ONE 2011, 6, e18023. [Google Scholar] [CrossRef] [PubMed]
- Hosseini, S.M.; Jafary, F.; Hosseini, M.; Mahjoubi, F. VCAN Gene Expression and Its Association with Tumor Stage and Lymph Node Metastasis in Colorectal Cancer Patients. Biomed. Res. 2018, 29, 1110–1114. [Google Scholar] [CrossRef]
- Hutasoit, G.; Miskad, U.; Akil, F.; Cangara, M.H.; Dahlan, H.; Yamin, A.; Mardiati, M. Snail Expression as a Prognostic Factor in Colorectal Adenocarcinoma. Asian Pac. J. Cancer Prev. 2024, 25, 3143–3149. [Google Scholar] [CrossRef]
- Ioannou, M.; Paraskeva, E.; Baxevanidou, K.; Simos, G.; Papamichali, R.; Papacharalambous, C.; Samara, M.; Koukoulis, G. HIF-1α in Colorectal Carcinoma: Review of the Literature. J. BUON 2015, 20, 680–689. [Google Scholar]
- Kim, S.A.; Inamura, K.; Yamauchi, M.; Nishihara, R.; Mima, K.; Sukawa, Y.; Li, T.; Yasunari, M.; Morikawa, T.; Fitzgerald, K.C.; et al. Loss of CDH1 (E-Cadherin) Expression Is Associated with Infiltrative Tumour Growth and Lymph Node Metastasis. Br. J. Cancer 2016, 114, 199–206. [Google Scholar] [CrossRef]
- Kozik, B.; Kokanov, N.; Knezevic-Usaj, S.; Nikolic, I.; Davidovic, R.; Jovanovic-Cupic, S.; Krajnovic, M. Methylation Status of P16 and P14 Genes in Locally Advanced Rectal Cancer: Potential Clinical Implication. Arch. Biol. Sci. 2018, 70, 681–690. [Google Scholar] [CrossRef]
- Lao, V.V.; Grady, W.M. The Role of Timp3 in the Pathogenesis of Colorectal Cancer and Timp3 Promoter Methylation as a Potential Predictive Marker for Egfr Inhibitor Therapy. J. Surg. Res. 2012, 172, 306. [Google Scholar] [CrossRef]
- Li, X.; Wu, Y.; Tian, T. TGF-β Signaling in Metastatic Colorectal Cancer (mCRC): From Underlying Mechanism to Potential Applications in Clinical Development. Int. J. Mol. Sci. 2022, 23, 14436. [Google Scholar] [CrossRef]
- Ma, B.; Ueda, H.; Okamoto, K.; Bando, M.; Fujimoto, S.; Okada, Y.; Kawaguchi, T.; Wada, H.; Miyamoto, H.; Shimada, M.; et al. TIMP1 Promotes Cell Proliferation and Invasion Capability of Right-sided Colon Cancers via the FAK/Akt Signaling Pathway. Cancer Sci. 2022, 113, 4244–4257. [Google Scholar] [CrossRef] [PubMed]
- Tomasini-Johansson, B.R.; Sundberg, C.; Lindmark, G.; Gailit, J.O.; Rubin, K. Vitronectin in Colorectal Adenocarcinoma—Synthesis by Stromal Cells in Culture. Exp. Cell Res. 1994, 214, 303–312. [Google Scholar] [CrossRef] [PubMed]
- Tyagi, A.; Sharma, A.K.; Damodaran, C. A Review on Notch Signaling and Colorectal Cancer. Cells 2020, 9, 1549. [Google Scholar] [CrossRef] [PubMed]
- Voutsadakis, I.A. Tight Junction Claudins and Occludin Are Differentially Regulated and Expressed in Genomically Defined Subsets of Colon Cancer. Curr. Issues Mol. Biol. 2023, 45, 8670–8686. [Google Scholar] [CrossRef]
- Wang, Q.; Zhu, G.; Lin, C.; Lin, P.; Chen, H.; He, R.; Huang, Y.; Yang, S.; Ye, J. Vimentin Affects Colorectal Cancer Proliferation, Invasion, and Migration via Regulated by Activator Protein 1. J. Cell. Physiol. 2021, 236, 7591–7604. [Google Scholar] [CrossRef]
- Kelwick, R.; Desanlis, I.; Wheeler, G.N.; Edwards, D.R. The ADAMTS (A Disintegrin and Metalloproteinase with Thrombospondin Motifs) Family. Genome Biol. 2015, 16, 113. [Google Scholar] [CrossRef]
- Kumar, S.; Rao, N.; Ge, R. Emerging Roles of ADAMTSs in Angiogenesis and Cancer. Cancers 2012, 4, 1252–1299. [Google Scholar] [CrossRef]
- Kokelaar, R. A Mechanistic Investigation of the Relationship Between Extramural Vascular Invasion (EMVI) and CpG Island Methylator Phenotype (CIMP) in Rectal Cancer. Ph.D. Thesis, Swansea University, Swansea, UK, 2021. [Google Scholar]
- Yang, Z.; Zhang, X.; Bai, X.; Xi, X.; Liu, W.; Zhong, W. Anti-angiogenesis in Colorectal Cancer Therapy. Cancer Sci. 2024, 115, 734–751. [Google Scholar] [CrossRef]
- Zhang, Q.; Kanyomse, Q.; Luo, C.; Mo, Q.; Zhao, X.; Wang, L.; Peng, W.; Ren, G. The Prognostic Value of ADAMTS8 and Its Role as a Tumor Suppressor in Breast Cancer. Cancer Investig. 2023, 41, 119–132. [Google Scholar] [CrossRef]
- Lee, H.-C.; Chang, C.-Y.; Wu, K.-L.; Chiang, H.-H.; Chang, Y.-Y.; Liu, L.-X.; Huang, Y.-C.; Hung, J.-Y.; Hsu, Y.-L.; Wu, Y.-Y.; et al. The Therapeutic Potential of ADAMTS8 in Lung Adenocarcinoma without Targetable Therapy. J. Pers. Med. 2022, 12, 902. [Google Scholar] [CrossRef]
- Wu, Z.; Shi, Y.; Ren, S.; Ju, Y.; Hu, Y.; Wu, J. ADAMTS8 Inhibits Progression of Esophageal Squamous Cell Carcinoma. DNA Cell Biol. 2020, 39, 2300–2307. [Google Scholar] [CrossRef] [PubMed]
- Zhao, X.; Yang, C.; Wu, J.; Nan, Y. ADAMTS8 Targets ERK to Suppress Cell Proliferation, Invasion, and Metastasis of Hepatocellular Carcinoma. Onco Targets Ther. 2018, 11, 7569–7578. [Google Scholar] [CrossRef] [PubMed]
- Dunn, J.R.; Reed, J.E.; Du Plessis, D.G.; Shaw, E.J.; Reeves, P.; Gee, A.L.; Warnke, P.; Walker, C. Expression of ADAMTS-8, a Secreted Protease with Antiangiogenic Properties, Is Downregulated in Brain Tumours. Br. J. Cancer 2006, 94, 1186–1193. [Google Scholar] [CrossRef] [PubMed]
- Chen, J.; Zhang, J.; Li, X.; Zhang, C.; Zhang, H.; Jin, J.; Dai, D. Downregulation of ADAMTS8 by DNA Hypermethylation in Gastric Cancer and Its Clinical Significance. BioMed Res. Int. 2016, 2016, 5083841. [Google Scholar] [CrossRef]
- Matter, H.; Sotriffer, C. Applications and Success Stories in Virtual Screening. In Methods and Principles in Medicinal Chemistry; Sotriffer, C., Ed.; Wiley: Hoboken, NJ, USA, 2011; pp. 319–358. ISBN 978-3-527-32636-5. [Google Scholar] [CrossRef]
- Cheng, W.-Y.; Yang, T.-H.O.; Anastassiou, D. Biomolecular Events in Cancer Revealed by Attractor Metagenes. PLoS Comput. Biol. 2013, 9, e1002920. [Google Scholar] [CrossRef]
- Anupriya, S.; Parida, N.; Patnaik, S. SOX4 Induces Cytoskeleton Remodeling and Promotes Cell Motility via N-Wasp/ARP2/3 Pathway in Colorectal Cancer Cells. Exp. Cell Res. 2024, 439, 114059. [Google Scholar] [CrossRef]
- Zhu, J.; Long, T.; Gao, L.; Zhong, Y.; Wang, P.; Wang, X.; Li, Z.; Hu, Z. RPL21 Interacts with LAMP3 to Promote Colorectal Cancer Invasion and Metastasis by Regulating Focal Adhesion Formation. Cell Mol. Biol. Lett. 2023, 28, 31. [Google Scholar] [CrossRef]
- Tamagawa, H.; Oshima, T.; Yoshihara, K.; Watanabe, T.; Numata, M.; Yamamoto, N.; Tuschida, K.; Shiozawa, M.; Morinaga, S.; Akaike, M.; et al. The Expression of the Phosphatase Regenerating Liver 3 Gene Is Associated with Outcome in Patients with Colorectal Cancer. Hepato-Gastroenterology 2012, 59, 2122–2126. [Google Scholar] [CrossRef]
- Leiphrakpam, P.D.; Lazenby, A.J.; Smith, L.M.; Brattain, M.G.; Black, J.D.; Wang, J.; Are, C. Correlation of PRL3 Expression with Colorectal Cancer Progression. J. Surg. Oncol. 2021, 123, 42–51. [Google Scholar] [CrossRef]
- Du, L.; Liu, N.; Jin, J.; Cao, M.; Sun, Y.; Gao, X.; Ruan, B.; Yang, S.; Ge, D.; Ye, Y.; et al. ZNF3 Regulates Proliferation, Migration and Invasion through MMP1 and TWIST in Colorectal Cancer. Acta Biochim. Biophys. Sin. 2022, 54, 1889. [Google Scholar] [CrossRef]
- Mamoor, S. PPP1R35 Is Differentially Expressed in the Lymph Node Metastases of Patients with Breast Cancer. 2021. Available online: https://osf.io/preprints/osf/7vsm3_v1 (accessed on 18 August 2024).
- Wang, Z.; Huang, R.; Wang, H.; Peng, Y.; Fan, Y.; Feng, Z.; Zeng, Z.; Ji, Y.; Wang, Y.; Lu, J. Prognostic and Immunological Role of PPP1R14A as a Pan-Cancer Analysis Candidate. Front. Genet. 2022, 13, 842975. [Google Scholar] [CrossRef] [PubMed]
- Deng, Y.; Ke, T.-W.; Yueh, T.-C.; Chin, Y.-T.; Wang, Y.-C.; Hung, Y.-C.; Mong, M.-C.; Yang, Y.-C.; Wu, W.-T.; Chang, W.-S.; et al. The Contribution of DNA Ligase 4 Polymorphisms to Colorectal Cancer. In Vivo 2024, 38, 127–133. [Google Scholar] [CrossRef] [PubMed]
- Li, K.; Yang, M.; Dai, Y.; Huang, J.; Zhu, P.; Qiuzhen, L. Microcystin-LR Improves Anti-Tumor Efficacy of Oxaliplatin through Induction of M1 Macrophage Polarization. Toxicon 2024, 243, 107723. [Google Scholar] [CrossRef] [PubMed]
- Monks, N.R.; Liu, S.; Xu, Y.; Yu, H.; Bendelow, A.S.; Moscow, J.A. Potent Cytotoxicity of the Phosphatase Inhibitor Microcystin LR and Microcystin Analogues in OATP1B1- and OATP1B3-Expressing HeLa Cells. Mol. Cancer Ther. 2007, 6, 587–598. [Google Scholar] [CrossRef]
- Lohlamoh, W.; Soontornworajit, B.; Rotkrua, P. Anti-Proliferative Effect of Doxorubicin-Loaded AS1411 Aptamer on Colorectal Cancer Cell. Asian Pac. J. Cancer Prev. 2021, 22, 2209–2219. [Google Scholar] [CrossRef]
- Ding, J.; Zhao, Z.; Song, J.; Luo, B.; Huang, L. MiR-223 Promotes the Doxorubicin Resistance of Colorectal Cancer Cells via Regulating Epithelial–Mesenchymal Transition by Targeting FBXW7. Acta Biochim. Biophys. Sin. 2018, 50, 597–604. [Google Scholar] [CrossRef]
- Pan, D.C.; Krishnan, V.; Salinas, A.K.; Kim, J.; Sun, T.; Ravid, S.; Peng, K.; Wu, D.; Nurunnabi, M.; Nelson, J.A.; et al. Hyaluronic a cid–doxorubicin Nanoparticles for Targeted Treatment of Colorectal Cancer. Bioeng. Transla Med. 2021, 6, e10166. [Google Scholar] [CrossRef]
- Liu, C.-L.; Chen, M.-J.; Lin, J.-C.; Lin, C.-H.; Huang, W.-C.; Cheng, S.-P.; Chen, S.-N.; Chang, Y.-C. Doxorubicin Promotes Migration and Invasion of Breast Cancer Cells through the Upregulation of the RhoA/MLC Pathway. J. Breast Cancer 2019, 22, 185. [Google Scholar] [CrossRef]
- Lv, H.; Tan, R.; Liao, J.; Hao, Z.; Yang, X.; Liu, Y.; Xia, Y. Doxorubicin Contributes to Thrombus Formation and Vascular Injury by Interfering with Platelet Function. Am. J. Physiol. Heart Circ. Physiol. 2020, 319, H133–H143. [Google Scholar] [CrossRef]
- Podyacheva, E.; Danilchuk, M.; Toropova, Y. Molecular Mechanisms of Endothelial Remodeling under Doxorubicin Treatment. Biomed. Pharmacother. 2023, 162, 114576. [Google Scholar] [CrossRef]
- Miller, K.P.; Ramos, K.S. Impact of Cellular Metabolism on the Biological Effects of Benzo[a]pyrene and Related Hydrocarbons. Drug Metab. Rev. 2001, 33, 1–35. [Google Scholar] [CrossRef] [PubMed]
- Luch, A. On the Impact of the Molecule Structure in Chemical Carcinogenesis. In Molecular, Clinical and Environmental Toxicology; Luch, A., Ed.; Experientia Supplementum; Birkhäuser Basel: Basel, Switzerland, 2009; Volume 99, pp. 151–179. ISBN 978-3-7643-8335-0. [Google Scholar] [CrossRef]
- Reizer, E.; Csizmadia, I.G.; Palotás, Á.B.; Viskolcz, B.; Fiser, B. Formation Mechanism of Benzo(a)Pyrene: One of the Most Carcinogenic Polycyclic Aromatic Hydrocarbons (PAH). Molecules 2019, 24, 1040. [Google Scholar] [CrossRef] [PubMed]
- Negi, K.; Chaudhary, P. Benzo[a]Pyrene: A Carcinogen, Its Sources, Adverse Effects, and Preventive Measures. Appl. Biol. Chem. J. 2024, 5, 44–56. [Google Scholar] [CrossRef]
- Yu, Z.; Loehr, C.V.; Fischer, K.A.; Louderback, M.A.; Krueger, S.K.; Dashwood, R.H.; Kerkvliet, N.I.; Pereira, C.B.; Jennings-Gee, J.E.; Dance, S.T.; et al. In Utero Exposure of Mice to Dibenzo[a,l]Pyrene Produces Lymphoma in the Offspring: Role of the Aryl Hydrocarbon Receptor. Cancer Res. 2006, 66, 755–762. [Google Scholar] [CrossRef]
- Bukowska, B.; Duchnowicz, P. Molecular Mechanisms of Action of Selected Substances Involved in the Reduction of Benzo[a]Pyrene-Induced Oxidative Stress. Molecules 2022, 27, 1379. [Google Scholar] [CrossRef]
- Uno, S.; Makishima, M. Benzo[a]Pyrene Toxicity and Inflammatory Disease. Curr. Rheumatol. Rev. 2009, 5, 266–271. [Google Scholar] [CrossRef]
- The UniProt Consortium; Bateman, A.; Martin, M.-J.; Orchard, S.; Magrane, M.; Adesina, A.; Ahmad, S.; Bowler-Barnett, E.H.; Bye-A-Jee, H.; Carpentier, D.; et al. UniProt: The Universal Protein Knowledgebase in 2025. Nucleic Acids Res. 2025, 53, D609–D617. [Google Scholar] [CrossRef]
- Berman, H.M. The Protein Data Bank. Nucleic Acids Res. 2000, 28, 235–242. [Google Scholar] [CrossRef]
- Morris, G.M.; Huey, R.; Lindstrom, W.; Sanner, M.F.; Belew, R.K.; Goodsell, D.S.; Olson, A.J. AutoDock4 and AutoDockTools4: Automated Docking with Selective Receptor Flexibility. J. Comput. Chem. 2009, 30, 2785–2791. [Google Scholar] [CrossRef]
- Davis, A.P.; Wiegers, T.C.; Sciaky, D.; Barkalow, F.; Strong, M.; Wyatt, B.; Wiegers, J.; McMorran, R.; Abrar, S.; Mattingly, C.J. Comparative Toxicogenomics Database’s 20th Anniversary: Update 2025. Nucleic Acids Res. 2025, 53, D1328–D1334. [Google Scholar] [CrossRef]
- Kim, S.; Chen, J.; Cheng, T.; Gindulyte, A.; He, J.; He, S.; Li, Q.; Shoemaker, B.A.; Thiessen, P.A.; Yu, B.; et al. PubChem 2025 Update. Nucleic Acids Res. 2025, 53, D1516–D1525. [Google Scholar] [CrossRef] [PubMed]
- Corbo, T.; Kalajdzic, A.; Omerkic, D.; Catic, F.; Pojskic, N.; Bajrovic, K. Inhibitory Potential of Phytochemicals on Five SARS-CoV-2 Proteins: In Silico Evaluation of Endemic Plants of Bosnia and Herzegovina. Biotechnol. Biotechnol. Equip. 2023, 37, 2222196. [Google Scholar] [CrossRef]
- O’Boyle, N.M.; Banck, M.; James, C.A.; Morley, C.; Vandermeersch, T.; Hutchison, G.R. Open Babel: An Open Chemical Toolbox. J. Cheminform 2011, 3, 33. [Google Scholar] [CrossRef] [PubMed]
- Trott, O.; Olson, A.J. AutoDock Vina: Improving the Speed and Accuracy of Docking with a New Scoring Function, Efficient Optimization, and Multithreading. J. Comput. Chem. 2010, 31, 455–461. [Google Scholar] [CrossRef]





| Gene | Vascular Invasion (N) | Mean Rank | Sum of Ranks | Z | p |
|---|---|---|---|---|---|
| APC | Negative (61) Positive (17) | 40.23 36.88 | 2454.00 627.00 | −0.539 | 0.590 |
| CDH1 | Negative (61) Positive (17) | 38.52 43.00 | 2350.00 731.00 | −0.720 | 0.471 |
| CDKN2A | Negative (61) Positive (17) | 39.74 38.65 | 2424.00 657.00 | −0.175 | 0.861 |
| COL4A2 | Negative (61) Positive (17) | 38.64 42.59 | 2357.00 724.00 | −0.635 | 0.525 |
| MDM2 | Negative (61) Positive (17) | 40.05 37.53 | 2443.00 638.00 | −0.405 | 0.685 |
| MMP10 | Negative (61) Positive (17) | 37.67 46.06 | 2298.00 783.00 | −1.349 | 0.177 |
| MMP11 | Negative (61) Positive (17) | 37.74 45.82 | 2302.00 779.00 | −1.301 | 0.193 |
| MMP13 | Negative (61) Positive (17) | 39.82 38.35 | 2429.00 652.00 | −0.236 | 0.813 |
| MMP2 | Negative (61) Positive (17) | 38.70 42.35 | 2361.00 720.00 | −0.587 | 0.557 |
| MMP3 | Negative (61) Positive (17) | 38.56 42.88 | 2352.00 729.00 | −0.696 | 0.486 |
| MMP7 | Negative (61) Positive (17) | 39.67 38.88 | 2420.00 661.00 | −0.127 | 0.899 |
| MMP9 | Negative (61) Positive (17) | 39.16 40.71 | 2389.00 692.00 | −0.248 | 0.804 |
| TGFB1 | Negative (61) Positive (17) | 38.95 41.47 | 2376.00 705.00 | −0.405 | 0.685 |
| TIMP2 | Negative (61) Positive (17) | 37.84 45.47 | 2308.00 773.00 | −1.228 | 0.219 |
| TIMP3 | Negative (61) Positive (17) | 37.75 45.76 | 2303.00 778.00 | −1.289 | 0.197 |
| TIMP4 | Negative (61) Positive (17) | 39.08 41.00 | 2384.00 697.00 | −0.309 | 0.758 |
| VEGFA | Negative (61) Positive (17) | 40.07 37.47 | 2444.00 637.00 | −0.418 | 0.676 |
| NOTCH1 | Negative (61) Positive (17) | 40.95 34.29 | 2498.00 583.00 | −1.071 | 0.284 |
| OCLN | Negative (61) Positive (17) | 39.38 39.94 | 2402.00 679.00 | −0.091 | 0.928 |
| SNAI1 | Negative (61) Positive (17) | 37.30 47.41 | 2275.00 806.00 | −1.628 | 0.104 |
| SNAI2 | Negative (61) Positive (17) | 39.49 39.53 | 2409.00 672.00 | −0.006 | 0.995 |
| SNAI3 | Negative (61) Positive (17) | 39.72 38.71 | 2423.00 658.00 | −0.163 | 0.870 |
| TGFB2 | Negative (61) Positive (17) | 39.92 38.00 | 2435.00 646.00 | −0.309 | 0.758 |
| TGFB3 | Negative (61) Positive (17) | 39.51 39.47 | 2410.00 671.00 | −0.006 | 0.995 |
| TIMP1 | Negative (61) Positive (17) | 38.46 43.24 | 2346.00 735.00 | −0.769 | 0.442 |
| TWIST1 | Negative (61) Positive (17) | 39.02 41.24 | 2380.00 701.00 | −0.357 | 0.721 |
| VIM | Negative (61) Positive (17) | 39.61 39.12 | 2416.00 665.00 | −0.079 | 0.937 |
| ZEB1 | Negative (61) Positive (17) | 39.18 40.65 | 2390.00 691.00 | −0.236 | 0.813 |
| ZEB2 | Negative (61) Positive (17) | 38.92 41.59 | 2374.00 707.00 | −0.430 | 0.667 |
| VCAN | Negative (61) Positive (17) | 39.08 41.00 | 2384.00 697.00 | −0.309 | 0.758 |
| ADAMTS1 | Negative (61) Positive (17) | 39.46 39.65 | 2407.00 674.00 | −0.030 | 0.976 |
| ADAMTS13 | Negative (61) Positive (17) | 42.08 30.24 | 2567.00 514.00 | −1.906 | 0.057 |
| ADAMTS8 | Negative (61) Positive (17) | 42.30 29.47 | 2580.00 501.00 | −2.064 | 0.039 |
| LOXL2 | Negative (61) Positive (17) | 38.13 44.41 | 2326.00 755.00 | −1.011 | 0.312 |
| ECM1 | Negative (61) Positive (17) | 37.93 45.12 | 2314.00 767.00 | −1.156 | 0.248 |
| MMP8 | Negative (61) Positive (17) | 38.31 43.76 | 2337.00 744.00 | −0.879 | 0.380 |
| VCAM1 | Negative (61) Positive (17) | 39.95 37.88 | 2437.00 644.00 | −0.333 | 0.739 |
| VTN | Negative (61) Positive (17) | 38.78 42.09 | 2365.50 715.50 | −0.533 | 0.594 |
| HIF1A | Negative (61) Positive (17) | 38.51 43.06 | 2349.00 732.00 | −0.732 | 0.464 |
| VEGFB | Negative (61) Positive (17) | 39.08 41.00 | 2384.00 697.00 | −0.309 | 0.758 |
| VEGFC | Negative (61) Positive (17) | 39.16 40.71 | 2389.00 692.00 | −0.248 | 0.804 |
| Protein | Ligand Binding Affinity (kcal/mol) | Pan-Target Ligands | ||
|---|---|---|---|---|
| Low (≤6.9) | Medium (7.0–8.9) | High (≥9.0) | ||
| ADAMTS8 | Aflatoxin B2, Fulvestrant | Benzo[a]pyrene, Cyanoginosin LR, Doxorubicin | Benzo[a]pyrene, Cyanoginosin LR, Doxorubicin | |
| DNAL4 | Benzo[a]pyrene, Doxorubicin, Fulvestrant, Progesterone | Cyanoginosin LR | ||
| EVI2B | Doxorubicin, Estradiol, Progesterone | Benzo[a]pyrene, Cyanoginosin LR | ||
| PPP1R35 | Aflatoxin B2, Estradiol | Benzo[a]pyrene, Doxorubicin | Cyanoginosin LR | |
| PTGR3 | Aflatoxin, Benzo[a]pyrene, Cyanoginosin LR, Doxorubicin, Fulvestrant | |||
| RPL21 | Benzo[a]pyrene, Doxorubicin, Estradiol, Progesterone | Cyanoginosin LR | ||
| SOX4 | Aflatoxin B2, Progesterone | Benzo[a]pyrene, CyanoginosinLR, Doxorubicin | ||
| ZNF3 | Doxorubicin, Estradiol, Fulvestrant | Benzo[a]pyrene, Cyanoginosin LR | ||
| Protein | Binding Affinity (kcal/mol) | Pan-Target Ligands | ||
|---|---|---|---|---|
| Low (≤6.9) | Medium (7.0–8.9) | High (≥9.0) | ||
| ADAMTS8 | Dibenzo(a,e)pyrene (9126), 148413, 169380, 626153, 12588587, 14274984, 15001195, 101392782, 129716757, 129805998 | Dibenzo(a,e)pyrene (9126) | ||
| DNAL4 | Dibenzo(a,e)pyrene (9126), 12588587, 14274984, 15001195, 56664790, 101023804, 101392782, 102060712, 129628257, 129716757 | |||
| EVI2B | Dibenzo(a,e)pyrene (9126), 159823, 160349, 187315, 14274984, 15001195, 23617881, 129628257, 129716757, 129762518 | |||
| PPP1R35 | Dibenzo(a,e)pyrene (9126), 153936, 12588587, 14274984, 23617881, 71452697, 102224786, 129628257, 129853608 | 23621448 | ||
| PTGR3 | Dibenzo(a,e)pyrene (9126), 42890, 186437, 10099105, 12588587, 13553135, 23617881, 129628257, 129716757, 129805998 | |||
| RPL21 | Dibenzo(a,e)pyrene (9126), 12588587, 14274984, 23617881, 23621448, 70695534, 90678391, 101023800, 101346118, 129628257 | |||
| SOX4 | 148413, 12588587, 14274984, 129716757, 129853608 | Dibenzo(a,e)pyrene (9126), 23617881, 23621448, 101392782, 129628257 | ||
| ZNF3 | Dibenzo(a,e)pyrene (9126), 160249, 169380, 12588587, 142749984, 23617881, 23621448, 101392782, 129701154, 129716757 | |||
Disclaimer/Publisher’s Note: The statements, opinions and data contained in all publications are solely those of the individual author(s) and contributor(s) and not of MDPI and/or the editor(s). MDPI and/or the editor(s) disclaim responsibility for any injury to people or property resulting from any ideas, methods, instructions or products referred to in the content. |
© 2025 by the authors. Licensee MDPI, Basel, Switzerland. This article is an open access article distributed under the terms and conditions of the Creative Commons Attribution (CC BY) license (https://creativecommons.org/licenses/by/4.0/).
Share and Cite
Kožik, B.; Čorbo, T.; Pojskić, N.; Božović, A.; Todorović, L.; Kolaković, A.; Mandušić, V.; Pojskić, L. Identifying Molecular Modulators of the Vascular Invasion in Rectal Carcinoma: Role of ADAMTS8 and Its Co-Dependent Genes. Int. J. Mol. Sci. 2025, 26, 6261. https://doi.org/10.3390/ijms26136261
Kožik B, Čorbo T, Pojskić N, Božović A, Todorović L, Kolaković A, Mandušić V, Pojskić L. Identifying Molecular Modulators of the Vascular Invasion in Rectal Carcinoma: Role of ADAMTS8 and Its Co-Dependent Genes. International Journal of Molecular Sciences. 2025; 26(13):6261. https://doi.org/10.3390/ijms26136261
Chicago/Turabian StyleKožik, Bojana, Tarik Čorbo, Naris Pojskić, Ana Božović, Lidija Todorović, Ana Kolaković, Vesna Mandušić, and Lejla Pojskić. 2025. "Identifying Molecular Modulators of the Vascular Invasion in Rectal Carcinoma: Role of ADAMTS8 and Its Co-Dependent Genes" International Journal of Molecular Sciences 26, no. 13: 6261. https://doi.org/10.3390/ijms26136261
APA StyleKožik, B., Čorbo, T., Pojskić, N., Božović, A., Todorović, L., Kolaković, A., Mandušić, V., & Pojskić, L. (2025). Identifying Molecular Modulators of the Vascular Invasion in Rectal Carcinoma: Role of ADAMTS8 and Its Co-Dependent Genes. International Journal of Molecular Sciences, 26(13), 6261. https://doi.org/10.3390/ijms26136261

