Chromosome-Level Genome Assembly and Genomic Analysis of the Hybrid Grouper ShanHu (Epinephelus fuscoguttatus ♀ × Epinephelus polyphekadion ♂)
Abstract
1. Introduction
2. Results
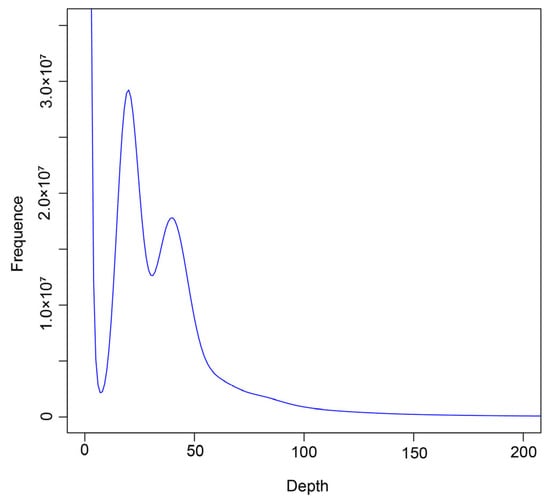
2.1. Genome Assembly and Quality Assessment
2.2. Pseudochromosome Construction
2.3. Genome Annotation
2.4. Phylogenetic Analysis of Economically Epinephelus
2.5. Comparative Analyses of the Genome Structure
3. Discussion
4. Materials and Methods
4.1. Sample Collection, Library Construction, and Sequencing
4.2. Genome Size Estimation, Assembly, and Quality Assessment
4.3. Pseudochromosome Construction
4.4. Genome Prediction and Annotation
4.5. Phylogenetic Analysis
4.6. Comparative Genomic Analyses
Author Contributions
Funding
Institutional Review Board Statement
Data Availability Statement
Conflicts of Interest
Appendix A
| Sequeues ID | Cluster Number | Sequeues Length (bp) |
|---|---|---|
| Chr1 | 1 | 44,551,120 |
| Chr2 | 2 | 37,351,789 |
| Chr3 | 1 | 53,015,742 |
| Chr4 | 1 | 47,211,449 |
| Chr5 | 1 | 48,719,712 |
| Chr6 | 1 | 53,326,279 |
| Chr7 | 1 | 48,243,466 |
| Chr8 | 1 | 46,120,958 |
| Chr9 | 1 | 45,365,500 |
| Chr10 | 1 | 48,494,318 |
| Chr11 | 1 | 43,829,164 |
| Chr12 | 1 | 43,297,142 |
| Chr13 | 1 | 47,782,323 |
| Chr14 | 1 | 24,826,122 |
| Chr15 | 1 | 48,046,878 |
| Chr16 | 1 | 52,374,887 |
| Chr17 | 1 | 41,935,179 |
| Chr18 | 1 | 58,196,232 |
| Chr19 | 1 | 45,048,601 |
| Chr20 | 1 | 45,100,459 |
| Chr21 | 2 | 46,795,679 |
| Chr22 | 2 | 39,857,385 |
| Chr23 | 25 | 41,020,352 |
| Chr24 | 100 | 32,676,861 |
Appendix B










References
- Zhuang, X.; Qu, M.; Zhang, X.; Ding, S. A Comprehensive Description and Evolutionary Analysis of 22 Grouper (Perciformes, Epinephelidae) Mitochondrial Genomes with Emphasis on Two Novel Genome Organizations. PLoS ONE 2013, 8, e73561. [Google Scholar] [CrossRef] [PubMed]
- Rimmer, M.A.; Glamuzina, B. A Review of Grouper (Family Serranidae: Subfamily Epinephelinae) Aquaculture from a Sustainability Science Perspective. Rev. Aquac. 2019, 11, 58–87. [Google Scholar] [CrossRef]
- Agriculture and Rural Affairs Department. China Fishery Statistical Yearbook. In 2–2 Aquaculture; China Agriculture Press: Beijing, China, 2023; p. 22. [Google Scholar]
- Hennersdorf, P.; Mrotzek, G.; Abdul-Aziz, M.A.; Saluz, H.P. Metagenomic Analysis between Free-Living and Cultured Epinephelus fuscoguttatus under Different Environmental Conditions in Indonesian Waters. Mar. Pollut. Bull. 2016, 110, 726–734. [Google Scholar] [CrossRef]
- Zhou, Q.; Gao, H.; Zhang, Y.; Fan, G.; Xu, H.; Zhai, J.; Xu, W.; Chen, Z.; Zhang, H.; Liu, S.; et al. A Chromosome-level Genome Assembly of the Giant Grouper (Epinephelus lanceolatus) Provides Insights into Its Innate Immunity and Rapid Growth. Mol. Ecol. Resour. 2019, 19, 1322–1332. [Google Scholar] [CrossRef]
- Ge, H.; Lin, K.; Shen, M.; Wu, S.; Wang, Y.; Zhang, Z.; Wang, Z.; Zhang, Y.; Huang, Z.; Zhou, C.; et al. De Novo Assembly of a Chromosome-level Reference Genome of Red-spotted Grouper (Epinephelus akaara) Using Nanopore Sequencing and Hi-C. Mol. Ecol. Resour. 2019, 19, 1461–1469. [Google Scholar] [CrossRef]
- Zhou, Q.; Guo, X.; Huang, Y.; Gao, H.; Xu, H.; Liu, S.; Zheng, W.; Zhang, T.; Tian, C.; Zhu, C.; et al. De Novo Sequencing and Chromosomal-scale Genome Assembly of Leopard Coral Grouper, Plectropomus leopardus. Mol. Ecol. Resour. 2020, 20, 1403–1413. [Google Scholar] [CrossRef]
- Wang, L.; Li, Z.; Liu, Y.; Chen, S.; Li, L.; Duan, P.; Wang, X.; Li, W.; Wang, Q.; Zhai, J.; et al. A Chromosome-Level Genome Assembly of the Potato Grouper (Epinephelus tukula). Genomics 2022, 114, 110473. [Google Scholar] [CrossRef]
- Yang, Y.; Wu, L.; Weng, Z.; Wu, X.; Wang, X.; Xia, J.; Meng, Z.; Liu, X. Chromosome Genome Assembly of Cromileptes altivelis Reveals Loss of Genome Fragment in Cromileptes Compared with Epinephelus Species. Genes 2021, 12, 1873. [Google Scholar] [CrossRef]
- Cao, X.; Zhang, J.; Deng, S.; Ding, S. Chromosome-Level Genome Assembly of the Speckled Blue Grouper (Epinephelus cyanopodus) Provides Insight into Its Adaptive Evolution. Biology 2022, 11, 1810. [Google Scholar] [CrossRef]
- Zhou, Q.; Gao, H.; Xu, H.; Lin, H.; Chen, S. A Chromosomal-Scale Reference Genome of the Kelp Grouper Epinephelus moara. Mar. Biotechnol. 2021, 23, 12–16. [Google Scholar] [CrossRef]
- Li, H.; Liu, Y.; Mao, M.; Mao, Y. Chromosome-Level Genome Assembly and Annotation of the Camouflage Grouper (Epinephelus polyphekadion). Sci. Data 2024, 11, 1353. [Google Scholar] [CrossRef]
- Sun, Y.; Guo, C.-Y.; Wang, D.-D.; Li, X.F.; Xiao, L.; Zhang, X.; You, X.; Shi, Q.; Hu, G.-J.; Fang, C.; et al. Transcriptome Analysis Reveals the Molecular Mechanisms Underlying Growth Superiority in a Novel Grouper Hybrid (Epinephelus fuscogutatus♀ × E. lanceolatus♂). BMC Genet. 2016, 17, 24. [Google Scholar] [CrossRef] [PubMed]
- Rimmer, M.A.; Thampisamraj, Y.C.; Jayagopal, P.; Thineshsanthar, D.; Damodar, P.N.; Toledo, J.D. Spawning of Tiger Grouper Epinephelus fuscoguttatus and Squaretail Coralgrouper Plectropomus areolatus in Sea Cages and Onshore Tanks in Andaman and Nicobar Islands, India. Aquaculture 2013, 410–411, 197–202. [Google Scholar] [CrossRef]
- Cheng, M.; Tian, Y.; Li, Z.; Wang, L.; Wu, Y.; Zhang, J.; Pang, Z.; Ma, W.; Zhai, J. The Complete Mitochondrial Genome of the Hybrid Offspring Epinephelus fuscoguttatus ♀ × Epinephelus tukula ♂. Mitochondrial DNA Part B 2019, 4, 2717–2718. [Google Scholar] [CrossRef]
- Cao, L.; Chen, P.; Hou, X.; Ma, J.; Yang, N.; Xu, Y.; Zhang, Y.; Zhao, A.; Zhang, J.; Li, X.; et al. Genetic Characteristics and Growth Patterns of the Hybrid Grouper Derived from the Hybridization of Epinephelus fuscoguttatus (Female) × Epinephelus polyphekadion (Male). J. Fish Biol. 2023, 102, 328–339. [Google Scholar] [CrossRef]
- Huang, Y.S.; Li, Z.B.; Ning, Y.F.; Shangguan, J.B.; Yuan, Y.; Mao, X.Q.; Li, B.B. Isolation and Characterization of Microsatellite Loci in Hybrid Giant Tiger Grouper. Genet. Mol. Res. 2015, 14, 14706–14710. [Google Scholar] [CrossRef]
- Ou, G.; Xie, R.; Huang, J.; Huang, J.; Wen, Z.; Li, Y.; Jiang, X.; Ma, Q.; Chen, G. Effects of Dietary Alpha-Lipoic Acid on Growth Performance, Serum Biochemical Indexes, Liver Antioxidant Capacity and Transcriptome of Juvenile Hybrid Grouper (Epinephelus fuscoguttatus♀ × Epinephelus polyphekadion♂). Animals 2023, 13, 887. [Google Scholar] [CrossRef]
- Amenyogbe, E.; Chen, G.; Wang, Z. Identification, Characterization, and Expressions Profile Analysis of Growth Hormone Receptors (GHR1 and GHR2) in Hybrid Grouper (Epinephelus fuscoguttatus ♀ × Epinephelus polyphekadion ♂). Genomics 2020, 112, 1–9. [Google Scholar] [CrossRef]
- Quail, M.; Smith, M.E.; Coupland, P.; Otto, T.D.; Harris, S.R.; Connor, T.R.; Bertoni, A.; Swerdlow, H.P.; Gu, Y. A Tale of Three next Generation Sequencing Platforms: Comparison of Ion Torrent, Pacific Biosciences and Illumina MiSeq Sequencers. BMC Genom. 2012, 13, 341. [Google Scholar] [CrossRef]
- Cao, L.; Ma, J.; Chen, P.; Hou, X.; Yang, N.; Lu, Y.; Huang, H. Exploring the Influence of DNA Methylation and Single Nucleotide Polymorphisms of the Myostatin Gene on Growth Traits in the Hybrid Grouper (Epinephelus fuscoguttatus (Female) × Epinephelus polyphekadion (Male)). Front. Genet. 2024, 14, 1277647. [Google Scholar] [CrossRef]
- Nugent, C.M.; Kess, T.; Brachmann, M.K.; Langille, B.L.; Duffy, S.J.; Lehnert, S.J.; Wringe, B.F.; Bentzen, P.; Bradbury, I.R. Whole-genome Sequencing Reveals Fine-scale Environment-associated Divergence near the Range Limits of a Temperate Reef Fish. Mol. Ecol. 2023, 32, 4742–4762. [Google Scholar] [CrossRef]
- Elgvin, T.O.; Trier, C.N.; Tørresen, O.K.; Hagen, I.J.; Lien, S.; Nederbragt, A.J.; Ravinet, M.; Jensen, H.; Sætre, G.-P. The Genomic Mosaicism of Hybrid Speciation. Sci. Adv. 2017, 3, e1602996. [Google Scholar] [CrossRef]
- The Heliconius Genome Consortium. Butterfly Genome Reveals Promiscuous Exchange of Mimicry Adaptations among Species. Nature 2012, 487, 94–98. [Google Scholar] [CrossRef]
- Rao, S.S.P.; Huntley, M.H.; Durand, N.C.; Stamenova, E.K.; Bochkov, I.D.; Robinson, J.T.; Sanborn, A.L.; Machol, I.; Omer, A.D.; Lander, E.S.; et al. A 3D Map of the Human Genome at Kilobase Resolution Reveals Principles of Chromatin Looping. Cell 2014, 159, 1665–1680. [Google Scholar] [CrossRef]
- Marçais, G.; Kingsford, C. A Fast, Lock-Free Approach for Efficient Parallel Counting of Occurrences of k -Mers. Bioinformatics 2011, 27, 764–770. [Google Scholar] [CrossRef]
- Luo, R.; Liu, B.; Xie, Y.; Li, Z.; Huang, W.; Yuan, J.; He, G.; Chen, Y.; Pan, Q.; Liu, Y.; et al. SOAPdenovo2: An Empirically Improved Memory-Efficient Short-Read De novo Assembler. Gigascience 2012, 1, 18. [Google Scholar] [CrossRef]
- Burton, J.N.; Adey, A.; Patwardhan, R.P.; Qiu, R.; Kitzman, J.O.; Shendure, J. Chromosome-Scale Scaffolding of de Novo Genome Assemblies Based on Chromatin Interactions. Nat. Biotechnol. 2013, 31, 1119–1125. [Google Scholar] [CrossRef] [PubMed]
- Waterhouse, R.M.; Seppey, M.; Simão, F.A.; Manni, M.; Ioannidis, P.; Klioutchnikov, G.; Kriventseva, E.V.; Zdobnov, E.M. BUSCO Applications from Quality Assessments to Gene Prediction and Phylogenomics. Mol. Biol. Evol. 2018, 35, 543–548. [Google Scholar] [CrossRef]
- Belton, J.-M.; McCord, R.P.; Gibcus, J.H.; Naumova, N.; Zhan, Y.; Dekker, J. Hi–C: A Comprehensive Technique to Capture the Conformation of Genomes. Methods 2012, 58, 268–276. [Google Scholar] [CrossRef]
- Zhang, X.; Zhang, S.; Zhao, Q.; Ming, R.; Tang, H. Assembly of Allele-Aware, Chromosomal-Scale Autopolyploid Genomes Based on Hi-C Data. Nat. Plants 2019, 5, 833–845. [Google Scholar] [CrossRef]
- Bao, W.; Kojima, K.K.; Kohany, O. Repbase Update, a Database of Repetitive Elements in Eukaryotic Genomes. Mob. DNA 2015, 6, 11. [Google Scholar] [CrossRef] [PubMed]
- Xu, Z.; Wang, H. LTR_FINDER: An Efficient Tool for the Prediction of Full-Length LTR Retrotransposons. Nucleic Acids Res. 2007, 35, W265–W268. [Google Scholar] [CrossRef]
- Abrusán, G.; Grundmann, N.; DeMester, L.; Makalowski, W. TEclass—A Tool for Automated Classification of Unknown Eukaryotic Transposable Elements. Bioinformatics 2009, 25, 1329–1330. [Google Scholar] [CrossRef]
- Price, A.L.; Jones, N.C.; Pevzner, P.A. De Novo Identification of Repeat Families in Large Genomes. Bioinformatics 2005, 21 (Suppl. 1), i351–i358. [Google Scholar] [CrossRef]
- Nawrocki, E.P.; Eddy, S.R. Infernal 1.1: 100-Fold Faster RNA Homology Searches. Bioinformatics 2013, 29, 2933–2935. [Google Scholar] [CrossRef]
- Chan, P.P.; Lin, B.Y.; Mak, A.J.; Lowe, T.M. tRNAscan-SE 2.0: Improved Detection and Functional Classification of Transfer RNA Genes. Nucleic Acids Res. 2021, 49, 9077–9096. [Google Scholar] [CrossRef]
- Stanke, M.; Keller, O.; Gunduz, I.; Hayes, A.; Waack, S.; Morgenstern, B. AUGUSTUS: Ab Initio Prediction of Alternative Transcripts. Nucleic Acids Res. 2006, 34, W435–W439. [Google Scholar] [CrossRef]
- Majoros, W.H.; Pertea, M.; Salzberg, S.L. TigrScan and GlimmerHMM: Two Open Source Ab initio Eukaryotic Gene-Finders. Bioinformatics 2004, 20, 2878–2879. [Google Scholar] [CrossRef]
- Burge, C.; Karlin, S. Prediction of Complete Gene Structures in Human Genomic DNA. J. Mol. Biol. 1997, 268, 78–94. [Google Scholar] [CrossRef]
- Yu, X.-J.; Zheng, H.-K.; Wang, J.; Wang, W.; Su, B. Detecting Lineage-Specific Adaptive Evolution of Brain-Expressed Genes in Human Using Rhesus Macaque as Outgroup. Genomics 2006, 88, 745–751. [Google Scholar] [CrossRef]
- Birney, E.; Clamp, M.; Durbin, R. GeneWise and Genomewise. Genome Res. 2004, 14, 988–995. [Google Scholar] [CrossRef] [PubMed]
- Grabherr, M.G.; Haas, B.J.; Yassour, M.; Levin, J.Z.; Thompson, D.A.; Amit, I.; Adiconis, X.; Fan, L.; Raychowdhury, R.; Zeng, Q.; et al. Full-Length Transcriptome Assembly from RNA-Seq Data without a Reference Genome. Nat. Biotechnol. 2011, 29, 644–652. [Google Scholar] [CrossRef] [PubMed]
- Haas, B.J.; Salzberg, S.L.; Zhu, W.; Pertea, M.; Allen, J.E.; Orvis, J.; White, O.; Buell, C.R.; Wortman, J.R. Automated Eukaryotic Gene Structure Annotation Using EVidenceModeler and the Program to Assemble Spliced Alignments. Genome Biol. 2008, 9, R7. [Google Scholar] [CrossRef] [PubMed]
- Trapnell, C.; Roberts, A.; Goff, L.; Pertea, G.; Kim, D.; Kelley, D.R.; Pimentel, H.; Salzberg, S.L.; Rinn, J.L.; Pachter, L. Differential Gene and Transcript Expression Analysis of RNA-Seq Experiments with TopHat and Cufflinks. Nat. Protoc. 2012, 7, 562–578. [Google Scholar] [CrossRef]
- Apweiler, R. UniProt: The Universal Protein Knowledgebase. Nucleic Acids Res. 2004, 32, D115–D119. [Google Scholar] [CrossRef]
- Finn, R.D.; Attwood, T.K.; Babbitt, P.C.; Bateman, A.; Bork, P.; Bridge, A.J.; Chang, H.-Y.; Dosztányi, Z.; El-Gebali, S.; Fraser, M.; et al. InterPro in 2017—Beyond Protein Family and Domain Annotations. Nucleic Acids Res. 2017, 45, D190–D199. [Google Scholar] [CrossRef]
- Kanehisa, M.; Sato, Y.; Kawashima, M.; Furumichi, M.; Tanabe, M. KEGG as a Reference Resource for Gene and Protein Annotation. Nucleic Acids Res. 2016, 44, D457–D462. [Google Scholar] [CrossRef]
- Li, L.; Stoeckert, C.J.; Roos, D.S. OrthoMCL: Identification of Ortholog Groups for Eukaryotic Genomes. Genome Res. 2003, 13, 2178–2189. [Google Scholar] [CrossRef]
- Li, H. TreeFam: A Curated Database of Phylogenetic Trees of Animal Gene Families. Nucleic Acids Res. 2006, 34, D572–D580. [Google Scholar] [CrossRef]
- Edgar, R.C. MUSCLE: Multiple Sequence Alignment with High Accuracy and High Throughput. Nucleic Acids Res. 2004, 32, 1792–1797. [Google Scholar] [CrossRef]
- Darriba, D.; Taboada, G.L.; Doallo, R.; Posada, D. ProtTest 3: Fast Selection of Best-Fit Models of Protein Evolution. Bioinformatics 2011, 27, 1164–1165. [Google Scholar] [CrossRef] [PubMed]
- Benton, M.J.; Donoghue, P.C.J. Paleontological Evidence to Date the Tree of Life. Mol. Biol. Evol. 2006, 24, 26–53. [Google Scholar] [CrossRef] [PubMed]
- Wang, Y.; Tang, H.; DeBarry, J.D.; Tan, X.; Li, J.; Wang, X.; Lee, T.-h.; Jin, H.; Marler, B.; Guo, H.; et al. MCScanX: A Toolkit for Detection and Evolutionary Analysis of Gene Synteny and Collinearity. Nucleic Acids Res. 2012, 40, e49. [Google Scholar] [CrossRef]
- De Bie, T.; Cristianini, N.; Demuth, J.P.; Hahn, M.W. CAFE: A Computational Tool for the Study of Gene Family Evolution. Bioinformatics 2006, 22, 1269–1271. [Google Scholar] [CrossRef]
- Szklarczyk, D.; Gable, A.L.; Lyon, D.; Junge, A.; Wyder, S.; Huerta-Cepas, J.; Simonovic, M.; Doncheva, N.T.; Morris, J.H.; Bork, P.; et al. STRING V11: Protein–Protein Association Networks with Increased Coverage, Supporting Functional Discovery in Genome-Wide Experimental Datasets. Nucleic Acids Res. 2019, 47, D607–D613. [Google Scholar] [CrossRef]
- Chin, C.-H.; Chen, S.-H.; Wu, H.-H.; Ho, C.-W.; Ko, M.-T.; Lin, C.-Y. cytoHubba: Identifying Hub Objects and Sub-Networks from Complex Interactome. BMC Syst. Biol. 2014, 8, S11. [Google Scholar] [CrossRef]






| Type | E fuscoguttatus | E. polyphekadion | ShanHu |
|---|---|---|---|
| Total length of Contigs (bases) | 1,082,718,103 | 1,099,728,802 | 1,176,882,344 |
| Number of Contigs | 396 | 164 | 171 |
| Max length Contig (bases) | 52,327,456 | 53,203,867 | 58,196,232 |
| Contig N50 (bases) | 37,367,964 | 40,804,240 | 45,365,500 |
| Contig N90 (bases) | 9,232,285 | 12,950,428 | 15,571,449 |
| Total length of Scaffolds (bases) | 1,082,726,703 | 1,099,733,602 | 1,176,892,644 |
| Number of Scaffolds | 310 | 116 | 68 |
| Scaffold N50 (bases) | 44,785,048 | 47,393,752 | 46,120,958 |
| Scaffold N90 (bases) | 39,728,480 | 39,964,760 | 24,826,122 |
| Type | Gene Set | Number | Average Transcript Length (bp) | Average CDS Length (bp) | Average Exons Per Gene | Average Exon Length (bp) | Average Intron Length (bp) |
|---|---|---|---|---|---|---|---|
| De novo | Augustus | 39,878 | 10,427.62 | 1197.88 | 6.60 | 181.45 | 1647.61 |
| SNAP | 41,336 | 39,332.49 | 1185.35 | 8.12 | 145.91 | 5355.06 | |
| Homolog | E.fuscoguttatus | 25,123 | 17,952.51 | 1712.51 | 9.69 | 176.79 | 1869.54 |
| E.lanceolatus | 24,336 | 17,919.25 | 1698.19 | 9.68 | 175.49 | 1869.42 | |
| E.moara | 24,927 | 17,676.76 | 1694.95 | 9.63 | 176.05 | 1852.45 | |
| T. rubripes | 21,740 | 17,560.21 | 1688.49 | 9.49 | 177.94 | 1869.64 | |
| G. aculeatus | 22,296 | 17,691.72 | 1702.10 | 9.56 | 178.12 | 1868.87 | |
| D.rerio | 22,09 | 15,746.66 | 1541.84 | 8.50 | 181.39 | 1893.95 | |
| RNA-seq | Transcripts | 106,29 | 4100.74 | 898.00 | 2.50 | 151.12 | 1749.27 |
| PASA | 21,723 | 7242.56 | 715.03 | 4.73 | 177.73 | 1876.96 | |
| EVM | EVM | 35,887 | 13,394.27 | 1320.96 | 7.43 | 177.73 | 1876.96 |
| Pasaupdate | pasaupdate | 35,739 | 13,629.09 | 1326.57 | 7.47 | 177.64 | 1902.11 |
| Final set | Final | 26,102 | 17,514.95 | 1626.80 | 9.43 | 172.60 | 1885.81 |
| Type | Number | Length (bp) | Percentage (%) |
|---|---|---|---|
| SINEs | 11,410 | 905,388 | 0.08 |
| LINEs | 328,957 | 91,778,626 | 7.80 |
| LTRs | 563,312 | 103,517,634 | 8.80 |
| DNA | 1,733,660 | 316,822,578 | 26.92 |
| Unknown | 106,739 | 16,787,622 | 1.43 |
| Total | 552,112,951 | 46.91 |
| Type | Copy (w) | Total Length (bp) | % in Genome | |
|---|---|---|---|---|
| miRNA | 3438 | 471,917 | 0.040% | |
| tRNA | 2415 | 180,826 | 0.015% | |
| rRNA | rRNA | 4187 | 1,069,967 | 0.091% |
| 18s | 445 | 279,049 | 0.024% | |
| 28s | 1058 | 474,992 | 0.040% | |
| 5.8s | 145 | 22,458 | 0.002% | |
| 5s | 2539 | 293,468 | 0.025% | |
| snRNA | SnRNA | 836 | 121,144 | 0.010% |
| CD-box | 171 | 19,670 | 0.002% | |
| HACA-box | 95 | 14,842 | 0.001% | |
| splicing | 504 | 74,708 | 0.006% | |
| scaRNA | 65 | 11,867 | 0.001% |
Disclaimer/Publisher’s Note: The statements, opinions and data contained in all publications are solely those of the individual author(s) and contributor(s) and not of MDPI and/or the editor(s). MDPI and/or the editor(s) disclaim responsibility for any injury to people or property resulting from any ideas, methods, instructions or products referred to in the content. |
© 2025 by the authors. Licensee MDPI, Basel, Switzerland. This article is an open access article distributed under the terms and conditions of the Creative Commons Attribution (CC BY) license (https://creativecommons.org/licenses/by/4.0/).
Share and Cite
Liu, Y.; Mao, Y. Chromosome-Level Genome Assembly and Genomic Analysis of the Hybrid Grouper ShanHu (Epinephelus fuscoguttatus ♀ × Epinephelus polyphekadion ♂). Int. J. Mol. Sci. 2025, 26, 5036. https://doi.org/10.3390/ijms26115036
Liu Y, Mao Y. Chromosome-Level Genome Assembly and Genomic Analysis of the Hybrid Grouper ShanHu (Epinephelus fuscoguttatus ♀ × Epinephelus polyphekadion ♂). International Journal of Molecular Sciences. 2025; 26(11):5036. https://doi.org/10.3390/ijms26115036
Chicago/Turabian StyleLiu, Yiqun, and Yunxiang Mao. 2025. "Chromosome-Level Genome Assembly and Genomic Analysis of the Hybrid Grouper ShanHu (Epinephelus fuscoguttatus ♀ × Epinephelus polyphekadion ♂)" International Journal of Molecular Sciences 26, no. 11: 5036. https://doi.org/10.3390/ijms26115036
APA StyleLiu, Y., & Mao, Y. (2025). Chromosome-Level Genome Assembly and Genomic Analysis of the Hybrid Grouper ShanHu (Epinephelus fuscoguttatus ♀ × Epinephelus polyphekadion ♂). International Journal of Molecular Sciences, 26(11), 5036. https://doi.org/10.3390/ijms26115036

