The Relationship Between Impulsivity Traits and In Vivo Cerebral Serotonin Transporter and Serotonin 2A Receptor Binding in Healthy Individuals: A Double-Tracer PET Study with C-11 DASB and C-11 MDL100907
Abstract
1. Introduction
2. Results
3. Discussion
4. Materials and Methods
4.1. Participants
4.2. Assessment of Impulsivity
4.3. Scan Protocol
4.4. Image Analysis
4.5. Statistical Analysis
5. Conclusions
Supplementary Materials
Author Contributions
Funding
Institutional Review Board Statement
Informed Consent Statement
Data Availability Statement
Acknowledgments
Conflicts of Interest
References
- VandenBos, G.R. APA Dictionary of Psychology; American Psychological Association: Washington, DC, USA, 2007; p. 470. [Google Scholar]
- Evenden, J.L. Varieties of Impulsivity. Psychopharmacology 1999, 146, 348–361. [Google Scholar] [CrossRef] [PubMed]
- Moeller, F.G.; Barratt, E.S.; Dougherty, D.M.; Schmitz, J.M.; Swann, A.C. Psychiatric Aspects of Impulsivity. Am. J. Psychiatry 2001, 158, 1783–1793. [Google Scholar] [CrossRef] [PubMed]
- Grant, J.E.; Potenza, M.N. The Oxford Handbook of Impulse Control Disorders; Oxford University Press: Oxford, NY, USA, 2011; ISBN 978-0-19-538971-5. [Google Scholar]
- Tomasi, D.; Volkow, N.D. Abnormal Functional Connectivity in Children with Attention-Deficit/Hyperactivity Disorder. Biol. Psychiatry 2012, 71, 443–450. [Google Scholar] [CrossRef] [PubMed]
- Jones, J.A.; Zuhlsdorff, K.; Dalley, J.W. Neurochemical Substrates Linked to Impulsive and Compulsive Phenotypes in Addiction: A Preclinical Perspective. J. Neurochem. 2021, 157, 1525–1546. [Google Scholar] [CrossRef]
- Dalley, J.W.; Roiser, J.P. Dopamine, Serotonin and Impulsivity. Neuroscience 2012, 215, 42–58. [Google Scholar] [CrossRef]
- Korpi, E.R.; Kleinman, J.E.; Goodman, S.I.; Phillips, I.; DeLisi, L.E.; Linnoila, M.; Wyatt, R.J. Serotonin and 5-Hydroxyindoleacetic Acid in Brains of Suicide Victims. Comparison in Chronic Schizophrenic Patients with Suicide as Cause of Death. Arch. Gen. Psychiatry 1986, 43, 594–600. [Google Scholar] [CrossRef]
- Arango, V.; Underwood, M.D.; Boldrini, M.; Tamir, H.; Kassir, S.A.; Hsiung, S.; Chen, J.J.; Mann, J.J. Serotonin 1A Receptors, Serotonin Transporter Binding and Serotonin Transporter mRNA Expression in the Brainstem of Depressed Suicide Victims. Neuropsychopharmacology 2001, 25, 892–903. [Google Scholar] [CrossRef]
- Arango, V.; Underwood, M.D.; Gubbi, A.V.; Mann, J.J. Localized Alterations in Pre- and Postsynaptic Serotonin Binding Sites in the Ventrolateral Prefrontal Cortex of Suicide Victims. Brain Res. 1995, 688, 121–133. [Google Scholar] [CrossRef]
- Mann, J.J.; Henteleff, R.A.; Lagattuta, T.F.; Perper, J.A.; Li, S.; Arango, V. Lower 3H-Paroxetine Binding in Cerebral Cortex of Suicide Victims Is Partly Due to Fewer High Affinity, Non-Transporter Sites. J. Neural Trans. 1996, 103, 1337–1350. [Google Scholar] [CrossRef]
- Du, L.; Faludi, G.; Palkovits, M.; Demeter, E.; Bakish, D.; Lapierre, Y.D.; Sótonyi, P.; Hrdina, P.D. Frequency of Long Allele in Serotonin Transporter Gene Is Increased in Depressed Suicide Victims. Biol. Psychiatry 1999, 46, 196–201. [Google Scholar] [CrossRef]
- Oquendo, M.A.; Russo, S.A.; Underwood, M.D.; Kassir, S.A.; Ellis, S.P.; Mann, J.J.; Arango, V. Higher Postmortem Prefrontal 5-HT2A Receptor Binding Correlates with Lifetime Aggression in Suicide. Biol. Psychiatry 2006, 59, 235–243. [Google Scholar] [CrossRef] [PubMed]
- Meyerson, L.R.; Wennogle, L.P.; Abel, M.S.; Coupet, J.; Lippa, A.S.; Rauh, C.E.; Beer, B. Human Brain Receptor Alterations in Suicide Victims. Pharmacol. Biochem. Behav. 1982, 17, 159–163. [Google Scholar] [CrossRef] [PubMed]
- Arango, V.; Underwood, M.D. Serotonin Chemistry in the Brain of Suicide Victims, 1st ed.; Maris, R., Silverman, M., Canetto, S., Eds.; Guilford Press: New York, NY, USA, 1997; pp. 237–250. [Google Scholar]
- Arango, V.; Underwood, M.D.; Mann, J.J. Serotonin Brain Circuits Involved in Major Depression and Suicide. Prog. Brain Res. 2002, 136, 443–453. [Google Scholar] [CrossRef] [PubMed]
- Lindström, M.B.; Ryding, E.; Bosson, P.; Ahnlide, J.-A.; Rosén, I.; Träskman-Bendz, L. Impulsivity Related to Brain Serotonin Transporter Binding Capacity in Suicide Attempters. Eur. Neuropsychopharmacol. 2004, 14, 295–300. [Google Scholar] [CrossRef]
- Ryding, E.; Ahnlide, J.-A.; Lindström, M.; Rosén, I.; Träskman-Bendz, L. Regional Brain Serotonin and Dopamine Transporter Binding Capacity in Suicide Attempters Relate to Impulsiveness and Mental Energy. Psychiatry Res. 2006, 148, 195–203. [Google Scholar] [CrossRef]
- Soloff, P.H.; Price, J.C.; Meltzer, C.C.; Fabio, A.; Frank, G.K.; Kaye, W.H. 5HT2A Receptor Binding Is Increased in Borderline Personality Disorder. Biol. Psychiatry 2007, 62, 580–587. [Google Scholar] [CrossRef]
- John, O.P.; Caspi, A.; Robins, R.W.; Moffitt, T.E.; Stouthamer-Loeber, M. The “Little Five”: Exploring the Nomological Network of the Five-Factor Model of Personality in Adolescent Boys. Child Dev. 1994, 65, 160–178. [Google Scholar] [CrossRef]
- Luengo, M.A.; Carrillo-de-la-Peña, M.T.; Otero, J.M.; Romero, E. A Short-Term Longitudinal Study of Impulsivity and Antisocial Behavior. J. Pers. Soc. Psychol. 1994, 66, 542–548. [Google Scholar] [CrossRef]
- Tremblay, R.E.; Pihl, R.O.; Vitaro, F.; Dobkin, P.L. Predicting Early Onset of Male Antisocial Behavior from Preschool Behavior. Arch. Gen. Psychiatry 1994, 51, 732–739. [Google Scholar] [CrossRef]
- Flory, J.D.; Harvey, P.D.; Mitropoulou, V.; New, A.S.; Silverman, J.M.; Siever, L.J.; Manuck, S.B. Dispositional Impulsivity in Normal and Abnormal Samples. J. Psychiatr. Res. 2006, 40, 438–447. [Google Scholar] [CrossRef]
- Wong, G.; Zane, N.; Saw, A.; Chan, A.K.K. Examining Gender Differences for Gambling Engagement and Gambling Problems among Emerging Adults. J. Gambl. Stud. 2013, 29, 171–189. [Google Scholar] [CrossRef] [PubMed]
- Zuckerman, M. Sensation Seeking: Beyond the Optimal Level of Arousal, 1st ed.; Psychology Press: Hillsdale, NJ, USA, 1979. [Google Scholar]
- Patton, J.H.; Stanford, M.S.; Barratt, E.S. Factor Structure of the Barratt Impulsiveness Scale. J. Clin. Psychol. 1995, 51, 768–774. [Google Scholar] [CrossRef] [PubMed]
- Whiteside, S.P.; Lynam, D.R. The Five Factor Model and Impulsivity: Using a Structural Model of Personality to Understand Impulsivity. Personal. Individ. Differ. 2001, 30, 669–689. [Google Scholar] [CrossRef]
- Eysenck, H.J.; Eysenck, M.W. Personality and Individual Differences: A Natural Science Approach; Plenum Press: New York, NY, USA, 1985. [Google Scholar]
- Costa, P.T.; McCrae, R.R. Revised NEO Personality Inventory (NEO PI-R) and NEO Five-Factor Inventory (NEO-FFI): Professional Manual; Psychological Assessment Resources: Odessa, FL, USA, 1992. [Google Scholar]
- Cloninger, C.R. Assessment of the impulsive-compulsive spectrum of behavior by the seven-factor model of temperament and character. In Impulsivity and Compulsivity; Oldham, J.M., Hollander, E., Skodol, A.E., Eds.; American Psychiatric Press: Washington, DC, USA, 1996; pp. 59–95. [Google Scholar]
- Cloninger, C.R.; Svrakic, D.M.; Przybeck, T.R. A Psychobiological Model of Temperament and Character. Arch. Gen. Psychiatry 1993, 50, 975–990. [Google Scholar] [CrossRef]
- Korfine, L.; Hooley, J.M. Detecting Individuals with Borderline Personality Disorder in the Community: An Ascertainment Strategy and Comparison with a Hospital Sample. J. Pers. Disord. 2009, 23, 62–75. [Google Scholar] [CrossRef][Green Version]
- Fonseca-Pedrero, E.; Paino, M.; Lemos-Giráldez, S.; Sierra-Baigrie, S.; González, M.P.G.-P.; Bobes, J.; Muňiz, J. Borderline Personality Traits in Nonclinical Young Adults. J. Pers. Disord. 2011, 25, 542–556. [Google Scholar] [CrossRef]
- Rylands, A.J.; Hinz, R.; Jones, M.; Holmes, S.E.; Feldmann, M.; Brown, G.; McMahon, A.W.; Talbot, P.S. Pre- and Postsynaptic Serotonergic Differences in Males with Extreme Levels of Impulsive Aggression Without Callous Unemotional Traits: A Positron Emission Tomography Study Using 11C-DASB and 11C-MDL100907. Biol. Psychiatry 2012, 72, 1004–1011. [Google Scholar] [CrossRef]
- da Cunha-Bang, S.; Stenbæk, D.S.; Holst, K.; Licht, C.L.; Jensen, P.S.; Frokjaer, V.G.; Mortensen, E.L.; Knudsen, G.M. Trait Aggression and Trait Impulsivity Are Not Related to Frontal Cortex 5-HT2A Receptor Binding in Healthy Individuals. Psychiatry Res. Neuroimaging 2013, 212, 125–131. [Google Scholar] [CrossRef]
- da Cunha-Bang, S.; Knudsen, G.M. The Modulatory Role of Serotonin on Human Impulsive Aggression. Biol. Psychiatry 2021, 90, 447–457. [Google Scholar] [CrossRef]
- Aron, A.R.; Poldrack, R.A. The Cognitive Neuroscience of Response Inhibition: Relevance for Genetic Research in Attention-Deficit/Hyperactivity Disorder. Biol. Psychiatry 2005, 57, 1285–1292. [Google Scholar] [CrossRef]
- Everitt, B.J.; Robbins, T.W. Drug Addiction: Updating Actions to Habits to Compulsions Ten Years On. Annu. Rev. Psychol. 2016, 67, 23–50. [Google Scholar] [CrossRef] [PubMed]
- Hampshire, A.; Sharp, D.J. Contrasting Network and Modular Perspectives on Inhibitory Control. Trends Cogn. Sci. 2015, 19, 445–452. [Google Scholar] [CrossRef] [PubMed]
- Toni, I.; Passingham, R.E. Prefrontal-Basal Ganglia Pathways Are Involved in the Learning of Arbitrary Visuomotor Associations: A PET Study. Exp. Brain Res. 1999, 127, 19–32. [Google Scholar] [CrossRef]
- Davis, F.C.; Knodt, A.R.; Sporns, O.; Lahey, B.B.; Zald, D.H.; Brigidi, B.D.; Hariri, A.R. Impulsivity and the Modular Organization of Resting-State Neural Networks. Cereb. Cortex 2013, 23, 1444–1452. [Google Scholar] [CrossRef]
- Schrimsher, G.W.; Billingsley, R.L.; Jackson, E.F.; Moore, B.D. Caudate Nucleus Volume Asymmetry Predicts Attention-Deficit Hyperactivity Disorder (ADHD) Symptomatology in Children. J. Child Neurol. 2002, 17, 877–884. [Google Scholar] [CrossRef] [PubMed]
- Dang, L.C.; Samanez-Larkin, G.R.; Young, J.S.; Cowan, R.L.; Kessler, R.M.; Zald, D.H. Caudate Asymmetry Is Related to Attentional Impulsivity and an Objective Measure of ADHD-like Attentional Problems in Healthy Adults. Brain Struct. Funct. 2016, 221, 277–286. [Google Scholar] [CrossRef]
- Fujimoto, A.; Elorette, C.; Fredericks, J.M.; Fujimoto, S.H.; Fleysher, L.; Rudebeck, P.H.; Russ, B.E. Resting-State fMRI-Based Screening of Deschloroclozapine in Rhesus Macaques Predicts Dosage-Dependent Behavioral Effects. J. Neurosci. 2022, 42, 5705–5716. [Google Scholar] [CrossRef]
- Dalley, J.W.; Mar, A.C.; Economidou, D.; Robbins, T.W. Neurobehavioral Mechanisms of Impulsivity: Fronto-Striatal Systems and Functional Neurochemistry. Pharmacol. Biochem. Behav. 2008, 90, 250–260. [Google Scholar] [CrossRef]
- Dalley, J.W.; Theobald, D.E.; Eagle, D.M.; Passetti, F.; Robbins, T.W. Deficits in Impulse Control Associated with Tonically-Elevated Serotonergic Function in Rat Prefrontal Cortex. Neuropsychopharmacology 2002, 26, 716–728. [Google Scholar] [CrossRef]
- Passetti, F.; Dalley, J.W.; Robbins, T.W. Double Dissociation of Serotonergic and Dopaminergic Mechanisms on Attentional Performance Using a Rodent Five-Choice Reaction Time Task. Psychopharmacology 2003, 165, 136–145. [Google Scholar] [CrossRef]
- Cho, S.S.; Pellecchia, G.; Aminian, K.; Ray, N.; Segura, B.; Obeso, I.; Strafella, A.P. Morphometric Correlation of Impulsivity in Medial Prefrontal Cortex. Brain Topogr. 2013, 26, 479–487. [Google Scholar] [CrossRef] [PubMed]
- Tschernegg, M.; Pletzer, B.; Schwartenbeck, P.; Ludersdorfer, P.; Hoffmann, U.; Kronbichler, M. Impulsivity Relates to Striatal Gray Matter Volumes in Humans: Evidence from a Delay Discounting Paradigm. Front. Hum. Neurosci. 2015, 9, 384. [Google Scholar] [CrossRef] [PubMed]
- Brewer, J.A.; Potenza, M.N. The Neurobiology and Genetics of Impulse Control Disorders: Relationships to Drug Addictions. Biochem. Pharmacol. 2008, 75, 63–75. [Google Scholar] [CrossRef] [PubMed]
- Fineberg, N.A.; Potenza, M.N.; Chamberlain, S.R.; Berlin, H.A.; Menzies, L.; Bechara, A.; Sahakian, B.J.; Robbins, T.W.; Bullmore, E.T.; Hollander, E. Probing Compulsive and Impulsive Behaviors, from Animal Models to Endophenotypes: A Narrative Review. Neuropsychopharmacology 2010, 35, 591–604. [Google Scholar] [CrossRef]
- Ágrez, K.; Bunford, N. Gray’s Impulsivity Is Differentially Associated with Amygdala-Insula Functional Connectivity in Adolescents, Depending on ADHD Risk Status. BJPsych Open 2022, 8, S79–S80. [Google Scholar] [CrossRef]
- Talbot, P.S.; Slifstein, M.; Hwang, D.-R.; Huang, Y.; Scher, E.; Abi-Dargham, A.; Laruelle, M. Extended Characterisation of the Serotonin 2A (5-HT2A) Receptor-Selective PET Radiotracer 11C-MDL100907 in Humans: Quantitative Analysis, Test-Retest Reproducibility, and Vulnerability to Endogenous 5-HT Tone. Neuroimage 2012, 59, 271–285. [Google Scholar] [CrossRef]
- Paterson, L.M.; Tyacke, R.J.; Nutt, D.J.; Knudsen, G.M. Measuring Endogenous 5-HT Release by Emission Tomography: Promises and Pitfalls. J. Cereb. Blood Flow. Metab. 2010, 30, 1682–1706. [Google Scholar] [CrossRef]
- Ettrup, A.; Palner, M.; Gillings, N.; Santini, M.A.; Hansen, M.; Kornum, B.R.; Rasmussen, L.K.; Någren, K.; Madsen, J.; Begtrup, M.; et al. Radiosynthesis and Evaluation of 11C-CIMBI-5 as a 5-HT2A Receptor Agonist Radioligand for PET. J. Nucl. Med. 2010, 51, 1763–1770. [Google Scholar] [CrossRef]
- Urban, N.B.; Girgis, R.R.; Talbot, P.S.; Kegeles, L.S.; Xu, X.; Frankle, W.G.; Hart, C.L.; Slifstein, M.; Abi-Dargham, A.; Laruelle, M. Sustained Recreational Use of Ecstasy Is Associated with Altered Pre and Postsynaptic Markers of Serotonin Transmission in Neocortical Areas: A PET Study with [¹¹C]DASB and [¹¹C]MDL 100907. Neuropsychopharmacology 2012, 37, 1465–1473. [Google Scholar] [CrossRef]
- Parsey, R.V.; Oquendo, M.A.; Simpson, N.R.; Ogden, R.T.; Van Heertum, R.; Arango, V.; Mann, J.J. Effects of Sex, Age, and Aggressive Traits in Man on Brain Serotonin 5-HT1A Receptor Binding Potential Measured by PET Using [C-11]WAY-100635. Brain Res. 2002, 954, 173–182. [Google Scholar] [CrossRef]
- Witte, A.V.; Flöel, A.; Stein, P.; Savli, M.; Mien, L.-K.; Wadsak, W.; Spindelegger, C.; Moser, U.; Fink, M.; Hahn, A.; et al. Aggression Is Related to Frontal Serotonin-1A Receptor Distribution as Revealed by PET in Healthy Subjects. Hum. Brain Mapp. 2009, 30, 2558–2570. [Google Scholar] [CrossRef] [PubMed]
- da Cunha-Bang, S.; Mc Mahon, B.; MacDonald Fisher, P.; Jensen, P.S.; Svarer, C.; Moos Knudsen, G. High Trait Aggression in Men Is Associated with Low 5-HT Levels, as Indexed by 5-HT4 Receptor Binding. Soc. Cogn. Affect Neurosci. 2016, 11, 548–555. [Google Scholar] [CrossRef] [PubMed]
- Wu, Y.; Carson, R.E. Noise Reduction in the Simplified Reference Tissue Model for Neuroreceptor Functional Imaging. J. Cereb. Blood Flow Metab. 2002, 22, 1440–1452. [Google Scholar] [CrossRef] [PubMed]
- Meyer, P.T.; Bhagwagar, Z.; Cowen, P.J.; Cunningham, V.J.; Grasby, P.M.; Hinz, R. Simplified Quantification of 5-HT2A Receptors in the Human Brain with [11C]MDL 100,907 PET and Non-Invasive Kinetic Analyses. Neuroimage 2010, 50, 984–993. [Google Scholar] [CrossRef]
- Slifstein, M.; Laruelle, M. Models and Methods for Derivation of In Vivo Neuroreceptor Parameters with PET and SPECT Reversible Radiotracers. Nucl. Med. Biol. 2001, 28, 595–608. [Google Scholar] [CrossRef]
- Hinz, R.; Bhagwagar, Z.; Cowen, P.J.; Cunningham, V.J.; Grasby, P.M. Validation of a Tracer Kinetic Model for the Quantification of 5-HT(2A) Receptors in Human Brain with [(11)C]MDL 100,907. J. Cereb. Blood Flow. Metab. 2007, 27, 161–172. [Google Scholar] [CrossRef]
- Talbot, P.S.; Bradley, S.; Clarke, C.P.; Babalola, K.O.; Philipp, A.W.; Brown, G.; McMahon, A.W.; Matthews, J.C. Brain Serotonin Transporter Occupancy by Oral Sibutramine Dosed to Steady State: A PET Study Using (11)C-DASB in Healthy Humans. Neuropsychopharmacology 2010, 35, 741–751. [Google Scholar] [CrossRef]
- Reimold, M.; Knobel, A.; Rapp, M.A.; Batra, A.; Wiedemann, K.; Ströhle, A.; Zimmer, A.; Schönknecht, P.; Smolka, M.N.; Weinberger, D.R.; et al. Central Serotonin Transporter Levels Are Associated with Stress Hormone Response and Anxiety. Psychopharmacology 2011, 213, 563–572. [Google Scholar] [CrossRef]
- Barrett, F.S.; Zhou, Y.; Carbonaro, T.M.; Roberts, J.M.; Smith, G.S.; Griffiths, R.R.; Wong, D.F. Human Cortical Serotonin 2A Receptor Occupancy by Psilocybin Measured Using [11C]MDL 100,907 Dynamic PET and a Resting-State FMRI-Based Brain Parcellation. Front. Neuroergon. 2022, 2, 45. [Google Scholar] [CrossRef]
- Miller, J.M.; Hesselgrave, N.; Ogden, R.T.; Sullivan, G.M.; Oquendo, M.A.; Mann, J.J.; Parsey, R.V. Positron Emission Tomography Quantification of Serotonin Transporter in Suicide Attempters with Major Depressive Disorder. Biol. Psychiatry 2013, 74, 287–295. [Google Scholar] [CrossRef]
- Timmers, E.R.; Peretti, D.E.; Smit, M.; de Jong, B.M.; Dierckx, R.A.J.O.; Kuiper, A.; de Koning, T.J.; Vállez García, D.; Tijssen, M.A.J. Serotonergic System in Vivo with [11C]DASB PET Scans in GTP-Cyclohydrolase Deficient Dopa-Responsive Dystonia Patients. Sci. Rep. 2022, 12, 6292. [Google Scholar] [CrossRef] [PubMed]
- American Psychiatric Association. Diagnostic and Statistical Manual of Mental Disorders: DSM-IV, 4th ed.; American Psychiatric Association: Washington, DC, USA, 1994. [Google Scholar]
- First, M.B.; Spitzer, R.L.; Gibbon, M.; Williams, J.B.W. Structured Clinical Interview for DSM-IV Axis I Disorders Research Version (SCID-I); Biometrics Research, New York State Psychiatric Institute: New York, NY, USA, 1996. [Google Scholar]
- Heo, S.Y.; Oh, J.Y.; Kim, J.H. The Korean version of the Barratt Impulsiveness Scale, 11th version: Its reliability and validity. Korean J. Psychol. Gen. 2012, 31, 769–782. [Google Scholar]
- Min, B.; Oh, H.; Lee, J. Temperament and Character Inventory-Revised-Short; Maumsarang: Seoul, Republic of Korea, 2007. [Google Scholar]
- Lammertsma, A.A.; Hume, S.P. Simplified Reference Tissue Model for PET Receptor Studies. Neuroimage 1996, 4, 153–158. [Google Scholar] [CrossRef] [PubMed]
- Gunn, R.N.; Lammertsma, A.A.; Hume, S.P.; Cunningham, V.J. Parametric Imaging of Ligand-Receptor Binding in PET Using a Simplified Reference Region Model. Neuroimage 1997, 6, 279–287. [Google Scholar] [CrossRef]
- Dalley, J.W.; Everitt, B.J.; Robbins, T.W. Impulsivity, Compulsivity, and Top-down Cognitive Control. Neuron 2011, 69, 680–694. [Google Scholar] [CrossRef]
- Desrochers, S.S.; Spring, M.G.; Nautiyal, K.M. A Role for Serotonin in Modulating Opposing Drive and Brake Circuits of Impulsivity. Front. Behav. Neurosci. 2022, 16, 791749. [Google Scholar] [CrossRef]
- Teffer, K.; Semendeferi, K. Human Prefrontal Cortex: Evolution, Development, and Pathology. Prog. Brain Res. 2012, 195, 191–218. [Google Scholar] [CrossRef]
- Lancaster, J.L.; Woldorff, M.G.; Parsons, L.M.; Liotti, M.; Freitas, C.S.; Rainey, L.; Kochunov, P.V.; Nickerson, D.; Mikiten, S.A.; Fox, P.T. Automated Talairach Atlas Labels for Functional Brain Mapping. Hum. Brain Mapp. 2000, 10, 120–131. [Google Scholar] [CrossRef]
- Rolls, E.T.; Huang, C.-C.; Lin, C.-P.; Feng, J.; Joliot, M. Automated Anatomical Labelling Atlas 3. Neuroimage 2020, 206, 116189. [Google Scholar] [CrossRef]
- Tzourio-Mazoyer, N.; Landeau, B.; Papathanassiou, D.; Crivello, F.; Etard, O.; Delcroix, N.; Mazoyer, B.; Joliot, M. Automated Anatomical Labeling of Activations in SPM Using a Macroscopic Anatomical Parcellation of the MNI MRI Single-Subject Brain. Neuroimage 2002, 15, 273–289. [Google Scholar] [CrossRef]
- van Dyck, C.H.; Malison, R.T.; Seibyl, J.P.; Laruelle, M.; Klumpp, H.; Zoghbi, S.S.; Baldwin, R.M.; Innis, R.B. Age-Related Decline in Central Serotonin Transporter Availability with [(123)I]Beta-CIT SPECT. Neurobiol. Aging 2000, 21, 497–501. [Google Scholar] [CrossRef] [PubMed]
- Jovanovic, H.; Lundberg, J.; Karlsson, P.; Cerin, A.; Saijo, T.; Varrone, A.; Halldin, C.; Nordström, A.-L. Sex Differences in the Serotonin 1A Receptor and Serotonin Transporter Binding in the Human Brain Measured by PET. Neuroimage 2008, 39, 1408–1419. [Google Scholar] [CrossRef] [PubMed]
- Soloff, P.H.; Price, J.C.; Mason, N.S.; Becker, C.; Meltzer, C.C. Gender, Personality, and Serotonin-2A Receptor Binding in Healthy Subjects. Psychiatry Res. 2010, 181, 77–84. [Google Scholar] [CrossRef]
- Moses-Kolko, E.L.; Price, J.C.; Shah, N.; Berga, S.; Sereika, S.M.; Fisher, P.M.; Coleman, R.; Becker, C.; Mason, N.S.; Loucks, T.; et al. Age, Sex, and Reproductive Hormone Effects on Brain Serotonin-1A and Serotonin-2A Receptor Binding in a Healthy Population. Neuropsychopharmacology 2011, 36, 2729–2740. [Google Scholar] [CrossRef]
- Cross, C.P.; Copping, L.T.; Campbell, A. Sex Differences in Impulsivity: A Meta-Analysis. Psychol. Bull. 2011, 137, 97–130. [Google Scholar] [CrossRef]
- Weinstein, A.; Dannon, P. Is Impulsivity a Male Trait Rather than Female Trait? Exploring the Sex Difference in Impulsivity. Curr. Behav. Neurosci. Rep. 2015, 2, 9–14. [Google Scholar] [CrossRef]



| Variables | Mean ± SD/Number (%) | |
|---|---|---|
| Demographic information | ||
| Age (years) | 31.4 ± 8.4 | |
| Sex | ||
| Male | 10 (38.5%) | |
| Female | 16 (61.5%) | |
| Education (years) | 15.7 ± 0.7 | |
| Barratt impulsiveness scale-11 | ||
| Attentional impulsiveness | 14.2 ± 3.1 | |
| Motor impulsiveness | 18.3 ± 3.4 | |
| Non-planning impulsiveness | 23.4 ± 4.3 | |
| Total score | 55.8 ± 8.7 | |
| TCI temperament scale | ||
| Novelty seeking | 30.5 ± 9.9 | |
| Harm avoidance | 33.5 ± 13.4 | |
| Reward dependence | 45.0 ± 8.8 | |
| Persistence | 40.7 ± 8.8 | |
| PET scan information | ||
| [11C]DASB | Injected dose (MBq) | 751.5 ± 68.3 |
| Specific activity (GBq/μmol) | 64.3 ± 28.7 | |
| [11C]MDL100907 | Injected dose (MBq) | 693.6 ± 54.5 |
| Specific activity (GBq/μmol) | 61.8 ± 34.1 | |
| Regions of Interest | Mean (SD) | Correlation Coefficients † (p-Value) | |||
|---|---|---|---|---|---|
| Attentional Impulsiveness | Motor Impulsiveness | Non-Planning Impulsiveness | Total Score | ||
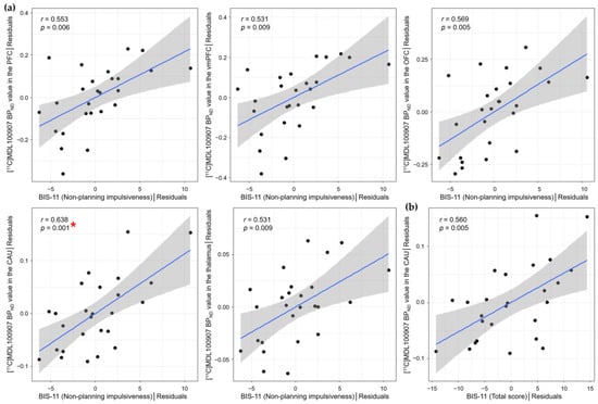
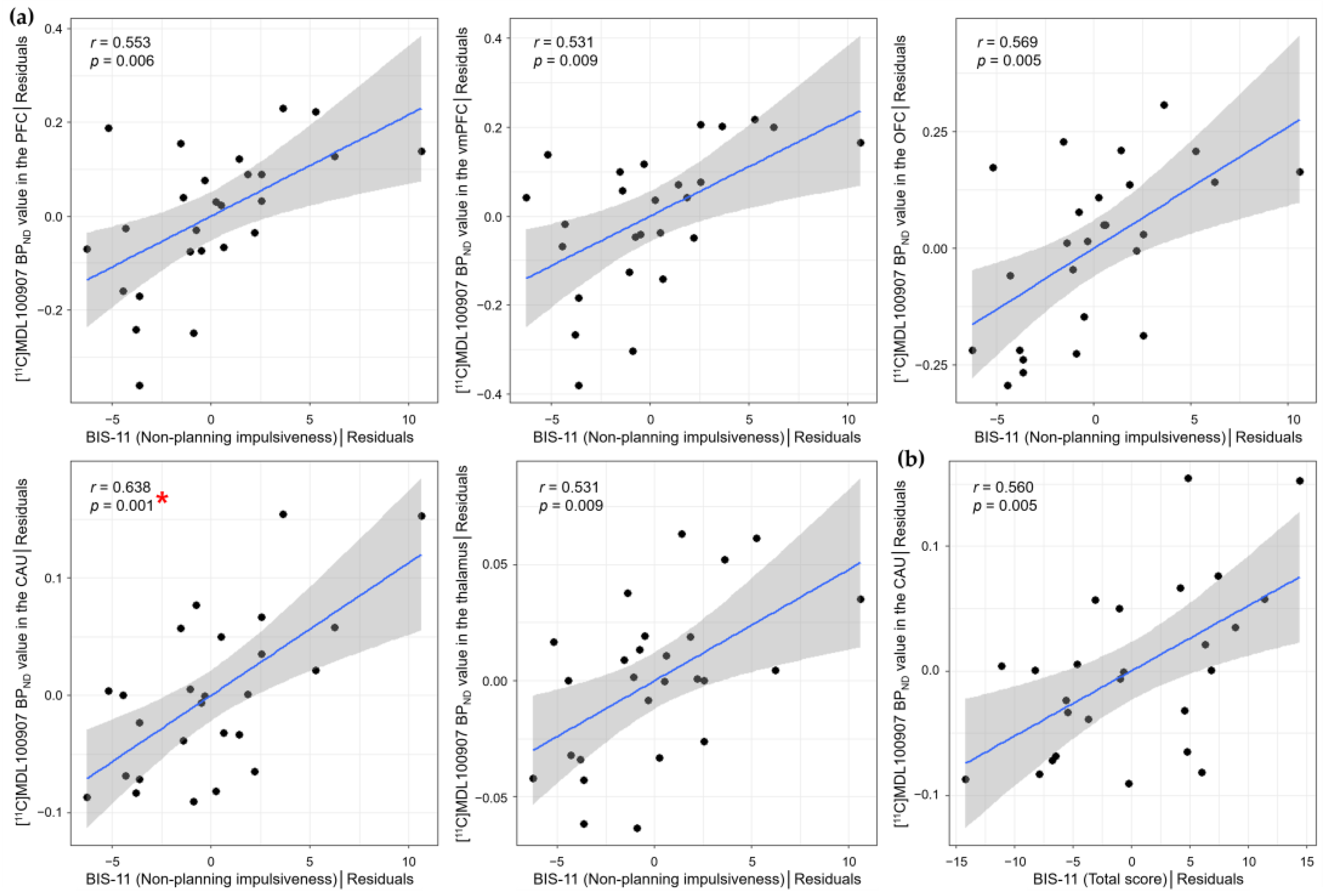
| Prefrontal cortex | 1.27 (0.18) | 0.286 (0.186) | 0.145 (0.509) | 0.553 (0.006) ** | 0.411 (0.051) |
| Ventromedial prefrontal cortex | 1.40 (0.19) | 0.222 (0.309) | 0.176 (0.421) | 0.531 (0.009) ** | 0.394 (0.063) |
| Orbitofrontal cortex | 1.33 (0.19) | 0.307 (0.154) | 0.179 (0.415) | 0.569 (0.005) ** | 0.494 (0.017) * |
| Hippocampus | 0.42 (0.07) | 0.329 (0.125) | 0.299 (0.166) | 0.362 (0.089) | 0.392 (0.064) |
| Anterior cingulate cortex | 1.30 (0.18) | 0.145 (0.508) | 0.077 (0.726) | 0.383 (0.071) | 0.258 (0.234) |
| Insula | 1.42 (0.18) | 0.322 (0.133) | 0.122 (0.580) | 0.497 (0.016) * | 0.415 (0.049) * |
| Amygdala | 0.64 (0.10) | 0.247 (0.255) | 0.229 (0.293) | 0.500 (0.015) * | 0.416 (0.048) * |
| Caudate | 0.28 (0.07) | 0.310 (0.150) | 0.139 (0.528) | 0.638 (0.001)¥ | 0.560 (0.005) ** |
| Putamen | 0.29 (0.06) | 0.151 (0.491) | 0.257 (0.237) | 0.442 (0.035) * | 0.339 (0.113) |
| Ventral striatum | 0.57 (0.11) | 0.068 (0.759) | 0.203 (0.353) | 0.417 (0.048) * | 0.392 (0.064) |
| Thalamus | 0.23 (0.04) | 0.042 (0.847) | 0.073 (0.740) | 0.531 (0.009) ** | 0.348 (0.1) |
| Regions of Interest | Mean (SD) | Correlation Coefficients † (p-Value) | |||
|---|---|---|---|---|---|
| Attentional Impulsiveness | Motor Impulsiveness | Non-Planning Impulsiveness | Total Score | ||
| Prefrontal cortex | 0.38 (0.06) | −0.147 (0.504) | 0.366 (0.086) | −0.145 (0.508) | −0.013 (0.954) |
| Ventromedial prefrontal cortex | 0.57 (0.11) | −0.136 (0.535) | 0.390 (0.065) | −0.178 (0.416) | −0.038 (0.863) |
| Orbitofrontal cortex | 0.45 (0.07) | −0.075 (0.734) | 0.364 (0.088) | −0.103 (0.640) | 0.046 (0.835) |
| Hippocampus | 0.83 (0.16) | −0.157 (0.474) | 0.272 (0.209) | −0.281 (0.194) | −0.202 (0.354) |
| Anterior cingulate cortex | 0.46 (0.10) | −0.075 (0.733) | 0.398 (0.060) | −0.181 (0.407) | −0.019 (0.930) |
| Insula | 0.66 (0.13) | −0.080 (0.716) | 0.335 (0.118) | −0.226 (0.301) | −0.046 (0.834) |
| Amygdala | 1.84 (0.28) | −0.087 (0.693) | −0.037 (0.867) | −0.095 (0.665) | −0.108 (0.623) |
| Caudate | 1.04 (0.27) | −0.019 (0.930) | 0.480 (0.020) * | 0.019 (0.931) | 0.101 (0.647) |
| Putamen | 1.50 (0.32) | −0.142 (0.517) | 0.378 (0.075) | −0.073 (0.739) | 0.026 (0.906) |
| Ventral striatum | 1.81 (0.39) | −0.197 (0.369) | 0.168 (0.443) | −0.026 (0.907) | −0.069 (0.753) |
| Thalamus | 1.61 (0.24) | −0.001 (0.998) | 0.402 (0.057) | 0.244 (0.262) | 0.283 (0.190) |
Disclaimer/Publisher’s Note: The statements, opinions and data contained in all publications are solely those of the individual author(s) and contributor(s) and not of MDPI and/or the editor(s). MDPI and/or the editor(s) disclaim responsibility for any injury to people or property resulting from any ideas, methods, instructions or products referred to in the content. |
© 2024 by the authors. Licensee MDPI, Basel, Switzerland. This article is an open access article distributed under the terms and conditions of the Creative Commons Attribution (CC BY) license (https://creativecommons.org/licenses/by/4.0/).
Share and Cite
Kim, J.-H.; Kim, H.-K.; Son, Y.-D.; Kim, J.-H. The Relationship Between Impulsivity Traits and In Vivo Cerebral Serotonin Transporter and Serotonin 2A Receptor Binding in Healthy Individuals: A Double-Tracer PET Study with C-11 DASB and C-11 MDL100907. Int. J. Mol. Sci. 2025, 26, 252. https://doi.org/10.3390/ijms26010252
Kim J-H, Kim H-K, Son Y-D, Kim J-H. The Relationship Between Impulsivity Traits and In Vivo Cerebral Serotonin Transporter and Serotonin 2A Receptor Binding in Healthy Individuals: A Double-Tracer PET Study with C-11 DASB and C-11 MDL100907. International Journal of Molecular Sciences. 2025; 26(1):252. https://doi.org/10.3390/ijms26010252
Chicago/Turabian StyleKim, Jeong-Hee, Hang-Keun Kim, Young-Don Son, and Jong-Hoon Kim. 2025. "The Relationship Between Impulsivity Traits and In Vivo Cerebral Serotonin Transporter and Serotonin 2A Receptor Binding in Healthy Individuals: A Double-Tracer PET Study with C-11 DASB and C-11 MDL100907" International Journal of Molecular Sciences 26, no. 1: 252. https://doi.org/10.3390/ijms26010252
APA StyleKim, J.-H., Kim, H.-K., Son, Y.-D., & Kim, J.-H. (2025). The Relationship Between Impulsivity Traits and In Vivo Cerebral Serotonin Transporter and Serotonin 2A Receptor Binding in Healthy Individuals: A Double-Tracer PET Study with C-11 DASB and C-11 MDL100907. International Journal of Molecular Sciences, 26(1), 252. https://doi.org/10.3390/ijms26010252

