Tea-Derived Polyphenols Enhance Drought Resistance of Tea Plants (Camellia sinensis) by Alleviating Jasmonate–Isoleucine Pathway and Flavonoid Metabolism Flow
Abstract
1. Introduction
2. Results
2.1. Effects of EXTP on Morphological Characteristics and Physiological Indexes of Tea Plant under Drought Stress
2.1.1. Tea Plant Phenotyping
2.1.2. Anatomical Structure Analysis of Tea Plant Leaves
2.2. Transcriptome Analysis of EXTP Affecting Drought Stress
2.2.1. Transcriptome Quality
2.2.2. Differentially Expressed Genes Analysis
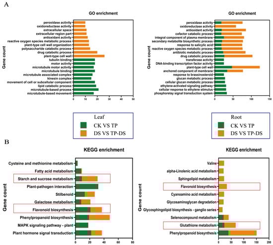
2.2.3. Enrichment Pathway Analysis
2.3. Metabolomic Analysis
2.3.1. Metabolomic Data Quality
2.3.2. Metabolite Content in Tea Plants
2.3.3. Effects of EXTP on Metabolites of Tea Plant under Drought Stress
2.3.4. Metabolic Pathway Enrichment Analysis
2.4. Integrative Analysis of Transcriptome and Metabolome
2.5. Analysis of Key Pathways of EXTP in Response to Drought Stress
2.5.1. Analysis of Energy Metabolism in Leaves
2.5.2. Analysis of Drought Response in the Root
2.5.3. Key Response Pathways Jasmonate Metabolism and Flavonoid Biosynthesis in the Root
3. Discussion
3.1. ROS Accumulated under Drought Stress Activated the ROS Scavenging System of Tea Plant, but the Addition of EXTP Alleviated ROS Accumulation
3.2. Addition of Tea Polyphenols Effectively Improves the Accumulation of Substances Affected by Drought Stress
3.3. EXTP Promote Root Adaptation to Drought Stress in Tea Plant under Drought Stress
3.3.1. EXTP Promote Up-Regulation of Jasmonic Acid–Isoleucine Signaling in Tea Root under Drought Stress
3.3.2. EXTP Alter Flavonoid Metabolic Flow in Roots under Drought Stress
4. Materials and Methods
4.1. Plant Materials and Sampling
4.2. Scanning Electron Microscopy
4.3. Malondialdehyde (MDA) Detection
4.4. Photosynthetic Pigment Content
4.5. Relative Water Content of the Leaves and Root
4.6. Determination of the Content of Tea Polyphenols
4.7. Transcriptome Analysis
4.8. Metabolomics Analysis
4.9. Statistical Analyses
5. Conclusions
Supplementary Materials
Author Contributions
Funding
Institutional Review Board Statement
Informed Consent Statement
Data Availability Statement
Conflicts of Interest
Abbreviations
| EXTP | exogenous tea polyphenols, i.e., tea-derived polyphenols |
| CK | control group |
| TP | normal externally applied tea polyphenol group |
| DS + TP | externally applied tea polyphenol group after drought |
| PQ | berry quinone |
| PC | plastocyanin |
| FNR | ferredoxin-NADP + reductase |
| PGA | 3-phosphoglycerate |
| GP | glycerone phosphate |
| F6P | D-fructose 6-phosphate |
| Xu5P | D-xylulose 5-phosphate |
| S7P | sedoheptulose 7-phosphate |
| Ru5P | ribulose 5-phosphate |
| SS | starch synthase |
| INV | beta-fructofuranosidase |
| HK | hexokinase |
| FBA | fructose bisphosphate aldolase |
| ENO | enolase |
| GAPDH | glyceraldehyde 3-phosphate dehydrogenase |
| A1P | aldose 1-epimerase |
| UGP2 | UTP–glucose-1-phosphate uridylyltransferase |
| PEP | phosphoenolpyruvate |
| CS | citrate synthase |
| MDH | malate dehydrogenase |
| 6PGDH | 6-phosphogluconate dehydrogenase |
| GPP | gag–pol, partial |
| AG | alpha-galactosidase |
| PHL8 | myb family transcription factor PHL8 |
| GCL | Glutamate—cysteine ligase |
| GR | glutathione reductase |
| LA | leucine aminopeptidase |
| G6p | glucose-6-p |
| DPPH | 2,2-diphenyl-1-picrylhydrazyl |
| JAZ | jasmonate ZIM-domain |
| JA-Iles | jasmonic acid–isoleucine synthetase |
| Lip | lipoxygenase |
| CYP | CYP74A52 |
| AOC | allene oxide cyclase 4 |
| LCFA | long-chain fatty-acid—AMP ligase |
| PAL | phenylalanine deaminase |
| 4CL | 4-coumarate-CoA ligase |
| CHI | Chalcone isomerase |
| FLS | flavonol synthase |
| DFR | dihydroflavonol 4-reductase |
| ANR | anthocyanidin reductase |
| PEG | polyethylene glycol |
| GHs | glycoside hydrolases |
| EGC | (−)-epigallocatechin |
| EC | (−)-epicatechin |
| GCG | (−)-gallocatechin gallate |
| CG | (−)-catechin gallate |
| GO | gene ontology |
| DS | drought group |
| Cyt b6/f | cytochrome b6/f |
| FD | ferredoxin |
| RuBP | D-ribulose 1:5-bisphosphate |
| PGAld | glyceraldehyde 3-phosphate |
| FBP | D-fructose 1:6-bisphosphate |
| E4P | D-erythrose 4-phosphate |
| SBP | sedoheptulose 1:7-bisphosphate |
| R5P | ribose 5-phosphate |
| Rubisco | ribulose bisphosphate carboxylase |
| AMY | alpha-amylase |
| SUS | sucrose synthase |
| GPI | glucose-6-phosphate isomerase |
| UDPGT | UDP-glycosyltransferase 86A1 |
| PK | pyruvate kinase |
| PGK | phosphoglycerate kinase |
| UDPG | uridine diphosphate glucose |
| FBA | fructosebisphosphate aldolase |
| DLTA | pyruvate dehydrogenase |
| IDH | isocitrate dehydrogenase |
| G6PDH | glucose-6-phosphate dehydrogenase |
| TKT | transketolase |
| BG | beta-galactosidase |
| OCLT | ornithine carbamoyltransferase |
| AGS | argininosuccinate synthase |
| GS | glutathione synthetase |
| GGL | gamma-glutamyltranspeptidase |
| G6D | glucose-6-phosphate 1-dehydrogenase |
| APX | ascorbate peroxidase |
| JAs | jasmonates |
| JA-Ile | jasmonic acid–isoleucine |
| UDP | uridine diphosphate |
| ACX | Acyl-CoA oxidase |
| C4H | cinnamate 4-hydroxylase |
| CHS | chalcone synthase |
| SHT | shikimate O-hydroxycinnamoyltransferase |
| F3H | naringenin 3-dioxygenase |
| LAR | leucoanthocyanidin reductase |
| UFGT | flavonoid-3-O-glucosyltransferase |
| GTs | glycosyltransferases |
| GC | (−)-gallocatechin |
| C | (+)-catechin |
| EGCG | (−)-epigallocatechin gallate |
| ECG | (−)-epicatechin gallate |
| ABA | abscisic acid |
| KEGG | Kyoto Encyclopedia of Genes and Genomes |
References
- Nakabayashi, R.; Yonekura-Sakakibara, K.; Urano, K.; Suzuki, M.; Yamada, Y.; Nishizawa, T.; Matsuda, F.; Kojima, M.; Sakakibara, H.; Shinozaki, K.; et al. Enhancement of oxidative and drought tolerance in Arabidopsis by overaccumulation of antioxidant flavonoids. Plant J. 2014, 77, 367–379. [Google Scholar] [CrossRef] [PubMed]
- Gilbert, N. Drought devastates US crops. Nature 2012, 11065. [Google Scholar] [CrossRef]
- Ercin, E.; Veldkamp, T.I.E.; Hunink, J. Cross-border climate vulnerabilities of the European Union to drought. Nat. Commun. 2021, 12, 3322. [Google Scholar] [CrossRef]
- Hu, H.; Jing, N.; Peng, Y.; Liu, C.; Ma, H.; Ma, Y. 60Coγ-ray irradiation inhibits germination of fresh walnuts by modulating respiratory metabolism and reducing energy status during storage. Postharvest Biol. Technol. 2021, 182, 111694. [Google Scholar] [CrossRef]
- Lei, H.; Zhang, H.; Zhang, Z.; Sun, H.; Li, M.; Shao, C.; Liang, H.; Wu, H.; Zhang, Y. Physiological and transcriptomic analyses of roots from Panax ginseng C. A. Meyer under drought stress. Ind. Crops Prod. 2023, 191, 115858. [Google Scholar] [CrossRef]
- Lv, Z.; Zhang, C.; Shao, C.; Liu, B.; Liu, E.; Yuan, D.; Zhou, Y.; Shen, C. Research progress on the response of tea catechins to drought stress. J. Sci. Food Agric. 2021, 101, 5305–5313. [Google Scholar] [CrossRef]
- Fang, Y.; Xiong, L. General mechanisms of drought response and their application in drought resistance improvement in plants. Cell. Mol. Life Sci. 2015, 72, 673–689. [Google Scholar] [CrossRef] [PubMed]
- Gupta, A.; Rico-Medina, A.; Caño-Delgado, A.I. The physiology of plant responses to drought. Science 2020, 368, 266–269. [Google Scholar] [CrossRef] [PubMed]
- Sun, J.; Qiu, C.; Ding, Y.; Wang, Y.; Sun, L.; Fan, K.; Gai, Z.; Dong, G.; Wang, J.; Li, X.; et al. Fulvic acid ameliorates drought stress-induced damage in tea plants by regulating the ascorbate metabolism and flavonoids biosynthesis. BMC Genom. 2020, 21, 411. [Google Scholar] [CrossRef]
- Upadhyaya, H.; Dutta, B.K.; Panda, S.K. Zinc modulates drought-induced biochemical damages in tea [Camellia sinensis (L) O Kuntze]. J. Agric. Food Chem. 2013, 67, 6660–6670. [Google Scholar] [CrossRef]
- Langaroudi, I.K.; Piri, S.; Chaeikar, S.S.; Salehi, B. Evaluating drought stress tolerance in different Camellia sinensis L. cultivars and effect of melatonin on strengthening antioxidant system. Sci. Hortic. 2022, 307, 111517. [Google Scholar] [CrossRef]
- Mallik, P.; Ghosh, T. Impact of climate on tea production: A study of the Dooars region in India. Theor. Appl. Climatol. 2021, 147, 559–573. [Google Scholar] [CrossRef]
- Shao, C.; Chen, J.; Lv, Z.; Gao, X.; Guo, S.; Xu, R.; Deng, Z.; Yao, S.; Chen, Z.; Kang, Y.; et al. Staged and repeated drought-induced regulation of phenylpropanoid synthesis confers tolerance to a water deficit environment in Camellia sinensis. Ind. Crops Prod. 2023, 201, 116843. [Google Scholar] [CrossRef]
- Pheomphun, P.; Treesubsuntorn, C.; Thiravetyan, P. Effect of exogenous catechin on alleviating O3 stress: The role of catechin-quinone in lipid peroxidation, salicylic acid, chlorophyll content, and antioxidant enzymes of Zamioculcas zamiifolia. Ecotoxicol. Environ. Saf. 2019, 180, 374–383. [Google Scholar] [CrossRef] [PubMed]
- Li, X.; Wang, A.; Wang, J.; Wu, J.; Wang, D.; Gao, X.; Wu, S.; Zhao, X. Association between High-density-lipoprotein-cholesterol Levels and the Prevalence of Asymptomatic Intracranial Arterial Stenosis. Sci. Rep. 2017, 7, 573. [Google Scholar] [CrossRef]
- Qiao, D.; Yang, C.; Chen, J.; Guo, Y.; Li, Y.; Niu, S.; Cao, K.; Chen, Z. Comprehensive identification of the full-length transcripts and alternative splicing related to the secondary metabolism pathways in the tea plant (Camellia sinensis). Sci. Rep. 2019, 9, 2709. [Google Scholar] [CrossRef] [PubMed]
- Tai, Y.; Liu, C.; Yu, S.; Yang, H.; Sun, J.; Guo, C.; Huang, B.; Liu, Z.; Yuan, Y.; Xia, E.; et al. Gene co-expression network analysis reveals coordinated regulation of three characteristic secondary biosynthetic pathways in tea plant (Camellia sinensis). BMC Genom. 2018, 19, 616. [Google Scholar] [CrossRef]
- Liu, S.-C.; Yao, M.-Z.; Ma, C.-L.; Jin, J.-Q.; Ma, J.-Q.; Li, C.-F.; Chen, L. Physiological changes and differential gene expression of tea plant under dehydration and rehydration conditions. Sci. Hortic. 2015, 184, 129–141. [Google Scholar] [CrossRef]
- Wang, Y.; Zhang, X.; Yang, S.; Yuan, Y. Lignin Involvement in Programmed Changes in Peach-Fruit Texture Indicated by Metabolite and Transcriptome Analyses. J. Agric. Food Chem. 2018, 66, 12627–12640. [Google Scholar] [CrossRef]
- Zhou, L.; Xu, H.; Mischke, S.; Meinhardt, L.W.; Zhang, D.; Zhu, X.; Li, X.; Fang, W. Exogenous abscisic acid significantly affects proteome in tea plant (Camellia sinensis) exposed to drought stress. Hortic. Res. 2014, 1, 14029. [Google Scholar] [CrossRef]
- Castro, B.; Citterico, M.; Kimura, S.; Stevens, D.M.; Wrzaczek, M.; Coaker, G. Stress-induced reactive oxygen species compartmentalization, perception and signalling. Nat. Plants 2021, 7, 403–412. [Google Scholar] [CrossRef] [PubMed]
- Esterbauer, H.; Schaur, R.J.; Zollner, H. Chemistry and biochemistry of 4-hydroxynonenal, malonaldehyde and related aldehydes. Free Radic. Biol. Med. 1991, 11, 81–128. [Google Scholar] [CrossRef] [PubMed]
- Schieber, M.; Chandel, N.S. ROS Function in Redox Signaling and Oxidative Stress. Curr. Biol. 2014, 24, R453–R462. [Google Scholar] [CrossRef] [PubMed]
- Li, Y.; Chen, Y.; Chen, J.; Shen, C. Flavonoid metabolites in tea plant (Camellia sinensis) stress response: Insights from bibliometric analysis. Plant Physiol. Biochem. 2023, 202, 107934. [Google Scholar] [CrossRef] [PubMed]
- Ali, E.F.; El-Shehawi, A.M.; Ibrahim, O.H.M.; Abdul-Hafeez, E.Y.; Moussa, M.M.; Hassan, F.A.S. A vital role of chitosan nanoparticles in improvisation the drought stress tolerance in Catharanthus roseus (L.) through biochemical and gene expression modulation. Plant Physiol. Biochem. 2021, 161, 166–175. [Google Scholar] [CrossRef] [PubMed]
- Andama, J.B.; Mujiono, K.; Hojo, Y.; Shinya, T.; Galis, I. Nonglandular silicified trichomes are essential for rice defense against chewing herbivores. Plant Cell Environ. 2020, 43, 2019–2032. [Google Scholar] [CrossRef] [PubMed]
- Choi, S.W.; Lee, S.K.; Kim, E.O.; Oh, J.H.; Yoon, K.S.; Parris, N.; Hicks, K.B.; Moreau, R.A. Antioxidant and Antimelanogenic Activities of Polyamine Conjugates from Corn Bran and Related Hydroxycinnamic Acids. J. Agric. Food Chem. 2007, 55, 3920–3925. [Google Scholar] [CrossRef] [PubMed]
- Valette, M.; Rey, M.; Gerin, F.; Comte, G.; Wisniewski-Dyé, F. A common metabolomic signature is observed upon inoculation of rice roots with various rhizobacteria. J. Integr. Plant Biol. 2020, 62, 228–246. [Google Scholar] [CrossRef] [PubMed]
- Lee, D.-K.; Chung, P.J.; Jeong, J.S.; Jang, G.; Bang, S.W.; Jung, H.; Kim, Y.S.; Ha, S.-H.; Choi, Y.D.; Kim, J.-K. The rice OsNAC6 transcription factor orchestrates multiple molecular mechanisms involving root structural adaptions and nicotianamine biosynthesis for drought tolerance. Plant Biotechnol. J. 2017, 15, 754–764. [Google Scholar] [CrossRef]
- Aung, M.S.; Masuda, H.; Nozoye, T.; Kobayashi, T.; Jeon, J.-S.; An, G.; Nishizawa, N.K. Nicotianamine Synthesis by OsNAS3 Is Important for Mitigating Iron Excess Stress in Rice. Front. Plant Sci. 2019, 10, 451617. [Google Scholar] [CrossRef]
- Boulghobra, D.; Grillet, P.-E.; Laguerre, M.; Tenon, M.; Fauconnier, J.; Fança-Berthon, P.; Reboul, C.; Cazorla, O. Sinapine, but not sinapic acid, counteracts mitochondrial oxidative stress in cardiomyocytes. Redox Biol. 2020, 34, 101554. [Google Scholar] [CrossRef]
- Wasternack, C.; Hause, B. Jasmonates: Biosynthesis, perception, signal transduction and action in plant stress response, growth and development. An update to the 2007 review in Annals of Botany. Ann. Bot. 2013, 111, 1021–1058. [Google Scholar] [CrossRef] [PubMed]
- Wasternack, C.; Song, S. Jasmonates: Biosynthesis, metabolism, and signaling by proteins activating and repressing transcription. J. Exp. Bot. 2017, 68, 1303–1321. [Google Scholar] [CrossRef]
- Balfagón, D.; Zandalinas, S.I.; Gómez-Cadenas, A. High temperatures change the perspective: Integrating hormonal responses in citrus plants under co-occurring abiotic stress conditions. Physiol. Plant. 2019, 165, 183–197. [Google Scholar] [CrossRef] [PubMed]
- De Domenico, S.; Bonsegna, S.; Horres, R.; Pastor, V.; Taurino, M.; Poltronieri, P.; Imtiaz, M.; Kahl, G.; Flors, V.; Winter, P.; et al. Transcriptomic analysis of oxylipin biosynthesis genes and chemical profiling reveal an early induction of jasmonates in chickpea roots under drought stress. Plant Physiol. Biochem. 2012, 61, 115–122. [Google Scholar] [CrossRef]
- Marquis, V.; Smirnova, E.; Graindorge, S.; Delcros, P.; Villette, C.; Zumsteg, J.; Heintz, D.; Heitz, T. Broad-spectrum stress tolerance conferred by suppressing jasmonate signaling attenuation in Arabidopsis JASMONIC ACID OXIDASE mutants. Plant J. 2022, 109, 856–872. [Google Scholar] [CrossRef]
- Ogawa, D.; Suzuki, Y.; Yokoo, T.; Katoh, E.; Teruya, M.; Muramatsu, M.; Ma, J.F.; Yoshida, Y.; Isaji, S.; Ogo, Y.; et al. Acetic-acid-induced jasmonate signaling in root enhances drought avoidance in rice. Sci. Rep. 2021, 11, 6280. [Google Scholar] [CrossRef]
- Lackman, P.; González-Guzmán, M.; Tilleman, S.; Carqueijeiro, I.; Pérez, A.C.; Moses, T.; Seo, M.; Kanno, Y.; Häkkinen, S.T.; Van Montagu, M.C.E.; et al. Jasmonate signaling involves the abscisic acid receptor PYL4 to regulate metabolic reprogramming in Arabidopsis and tobacco. Proc. Natl. Acad. Sci. USA 2011, 108, 5891–5896. [Google Scholar] [CrossRef] [PubMed]
- Puértolas, J.; Alcobendas, R.; Alarcón, J.J.; Dodd, I.C. Long-distance abscisic acid signalling under different vertical soil moisture gradients depends on bulk root water potential and average soil water content in the root zone. Plant Cell Environ. 2013, 36, 1465–1475. [Google Scholar] [CrossRef]
- Koo, A.J.K.; Gao, X.; Jones, A.D.; Howe, G.A. A rapid wound signal activates the systemic synthesis of bioactive jasmonates in Arabidopsis. Plant J. 2009, 59, 974–986. [Google Scholar] [CrossRef]
- An, J.-P.; Xu, R.-R.; Liu, X.; Zhang, J.-C.; Wang, X.-F.; You, C.-X.; Hao, Y.-J. Jasmonate induces biosynthesis of anthocyanin and proanthocyanidin in apple by mediating the JAZ1–TRB1–MYB9 complex. Plant J. 2021, 106, 1414–1430. [Google Scholar] [CrossRef] [PubMed]
- Vu, H.T.; Song, F.V.; Tian, K.V.; Su, H.B.; Chass, G.A. Systematic characterisation of the structure and radical scavenging potency of Pu’Er tea () polyphenol theaflavin. Org. Biomol. Chem. 2019, 46, 9942–9950. [Google Scholar] [CrossRef]
- Osmond, C.B.; Foyer, C.H.; Bock, G.; Grace, S.C.; Logan, B.A. Energy dissipation and radical scavenging by the plant phenylpropanoid pathway Philos. Trans. R. Soc. Lond. B Biol. Sci. 2000, 355, 1499–1510. [Google Scholar] [CrossRef]
- Russo, G.L.; Tedesco, I.; Spagnuolo, C.; Russo, M. Antioxidant polyphenols in cancer treatment: Friend, foe or foil? Semin. Cancer Biol. 2017, 46, 1–13. [Google Scholar] [CrossRef] [PubMed]
- Hu, H.; Bai, X.; Xu, K.; Zhang, C.; Chen, L. Effect of phloretin on growth performance, serum biochemical parameters and antioxidant profile in heat-stressed broilers. Poult. Sci. 2021, 100, 101217. [Google Scholar] [CrossRef] [PubMed]
- Islam, A.; Islam, M.S.; Rahman, M.K.; Uddin, M.N.; Akanda, M.R. The pharmacological and biological roles of eriodictyol. Arch. Pharm. Res. 2020, 43, 582–592. [Google Scholar] [CrossRef]
- Xu, Y.; Li, Z.; Wang, Y.; Li, C.; Zhang, M.; Chen, H.; Chen, W.; Zhong, Q.; Pei, J.; Chen, W.; et al. Unraveling the Antioxidant Activity of 2R,3R-dihydroquercetin. Int. J. Mol. Sci. 2023, 24, 14220. [Google Scholar] [CrossRef] [PubMed]
- Wang, W.; Xin, H.; Wang, M.; Ma, Q.; Wang, L.; Kaleri, N.A.; Wang, Y.; Li, X. Transcriptomic Analysis Reveals the Molecular Mechanisms of Drought-Stress-Induced Decreases in Camellia sinensis Leaf Quality. Front. Plant Sci. 2016, 7, 181399. [Google Scholar] [CrossRef] [PubMed]
- Castellarin, S.D.; Pfeiffer, A.; Sivilotti, P.; Degan, M.; Peterlunger, E.; Di Gaspero, G. Transcriptional regulation of anthocyanin biosynthesis in ripening fruits of grapevine under seasonal water deficit. Plant Cell Environ. 2007, 30, 1381–1399. [Google Scholar] [CrossRef]
- Griesser, M.; Weingart, G.; Schoedl-Hummel, K.; Neumann, N.; Becker, M.; Varmuza, K.; Liebner, F.; Schuhmacher, R.; Forneck, A. Severe drought stress is affecting selected primary metabolites, polyphenols, and volatile metabolites in grapevine leaves (Vitis vinifera cv. Pinot noir). Plant Physiol. Biochem. 2015, 88, 17–26. [Google Scholar] [CrossRef]
- Dong, N.-Q.; Sun, Y.; Guo, T.; Shi, C.-L.; Zhang, Y.-M.; Kan, Y.; Xiang, Y.-H.; Zhang, H.; Yang, Y.-B.; Li, Y.-C.; et al. UDP-glucosyltransferase regulates grain size and abiotic stress tolerance associated with metabolic flux redirection in rice. Nat. Commun. 2020, 11, 2629. [Google Scholar] [CrossRef]
- Hectors, K.; Van Oevelen, S.; Geuns, J.; Guisez, Y.; Jansen, M.A.K.; Prinsen, E. Dynamic changes in plant secondary metabolites during UV acclimation in Arabidopsis thaliana. Physiol. Plant. 2014, 152, 219–230. [Google Scholar] [CrossRef] [PubMed]
- Parlange, J.-Y.; Waggoner, P.E. Stomatal Dimensions and Resistance to Diffusion. Plant Physiol. 1970, 46, 337–342. [Google Scholar] [CrossRef] [PubMed]
- Shao, C.; Deng, Z.; Liu, J.; Li, Y.; Zhang, C.; Yao, S.; Zuo, H.; Shi, Y.; Yuan, S.; Qin, L.; et al. Effects of Preharvest Shading on Dynamic Changes in Metabolites, Gene Expression, and Enzyme Activity of Three Tea Types during Processing. J. Agric. Food Chem. 2022, 70, 14544–14558. [Google Scholar] [CrossRef] [PubMed]









Disclaimer/Publisher’s Note: The statements, opinions and data contained in all publications are solely those of the individual author(s) and contributor(s) and not of MDPI and/or the editor(s). MDPI and/or the editor(s) disclaim responsibility for any injury to people or property resulting from any ideas, methods, instructions or products referred to in the content. |
© 2024 by the authors. Licensee MDPI, Basel, Switzerland. This article is an open access article distributed under the terms and conditions of the Creative Commons Attribution (CC BY) license (https://creativecommons.org/licenses/by/4.0/).
Share and Cite
Zuo, H.; Chen, J.; Lv, Z.; Shao, C.; Chen, Z.; Zhou, Y.; Shen, C. Tea-Derived Polyphenols Enhance Drought Resistance of Tea Plants (Camellia sinensis) by Alleviating Jasmonate–Isoleucine Pathway and Flavonoid Metabolism Flow. Int. J. Mol. Sci. 2024, 25, 3817. https://doi.org/10.3390/ijms25073817
Zuo H, Chen J, Lv Z, Shao C, Chen Z, Zhou Y, Shen C. Tea-Derived Polyphenols Enhance Drought Resistance of Tea Plants (Camellia sinensis) by Alleviating Jasmonate–Isoleucine Pathway and Flavonoid Metabolism Flow. International Journal of Molecular Sciences. 2024; 25(7):3817. https://doi.org/10.3390/ijms25073817
Chicago/Turabian StyleZuo, Haoming, Jiahao Chen, Zhidong Lv, Chenyu Shao, Ziqi Chen, Yuebin Zhou, and Chengwen Shen. 2024. "Tea-Derived Polyphenols Enhance Drought Resistance of Tea Plants (Camellia sinensis) by Alleviating Jasmonate–Isoleucine Pathway and Flavonoid Metabolism Flow" International Journal of Molecular Sciences 25, no. 7: 3817. https://doi.org/10.3390/ijms25073817
APA StyleZuo, H., Chen, J., Lv, Z., Shao, C., Chen, Z., Zhou, Y., & Shen, C. (2024). Tea-Derived Polyphenols Enhance Drought Resistance of Tea Plants (Camellia sinensis) by Alleviating Jasmonate–Isoleucine Pathway and Flavonoid Metabolism Flow. International Journal of Molecular Sciences, 25(7), 3817. https://doi.org/10.3390/ijms25073817

