Use of 3-Deoxy-D-arabino-heptulosonic acid 7-phosphate Synthase (DAHP Synthase) to Enhance the Heterologous Biosynthesis of Diosmetin and Chrysoeriol in an Engineered Strain of Streptomyces albidoflavus
Abstract
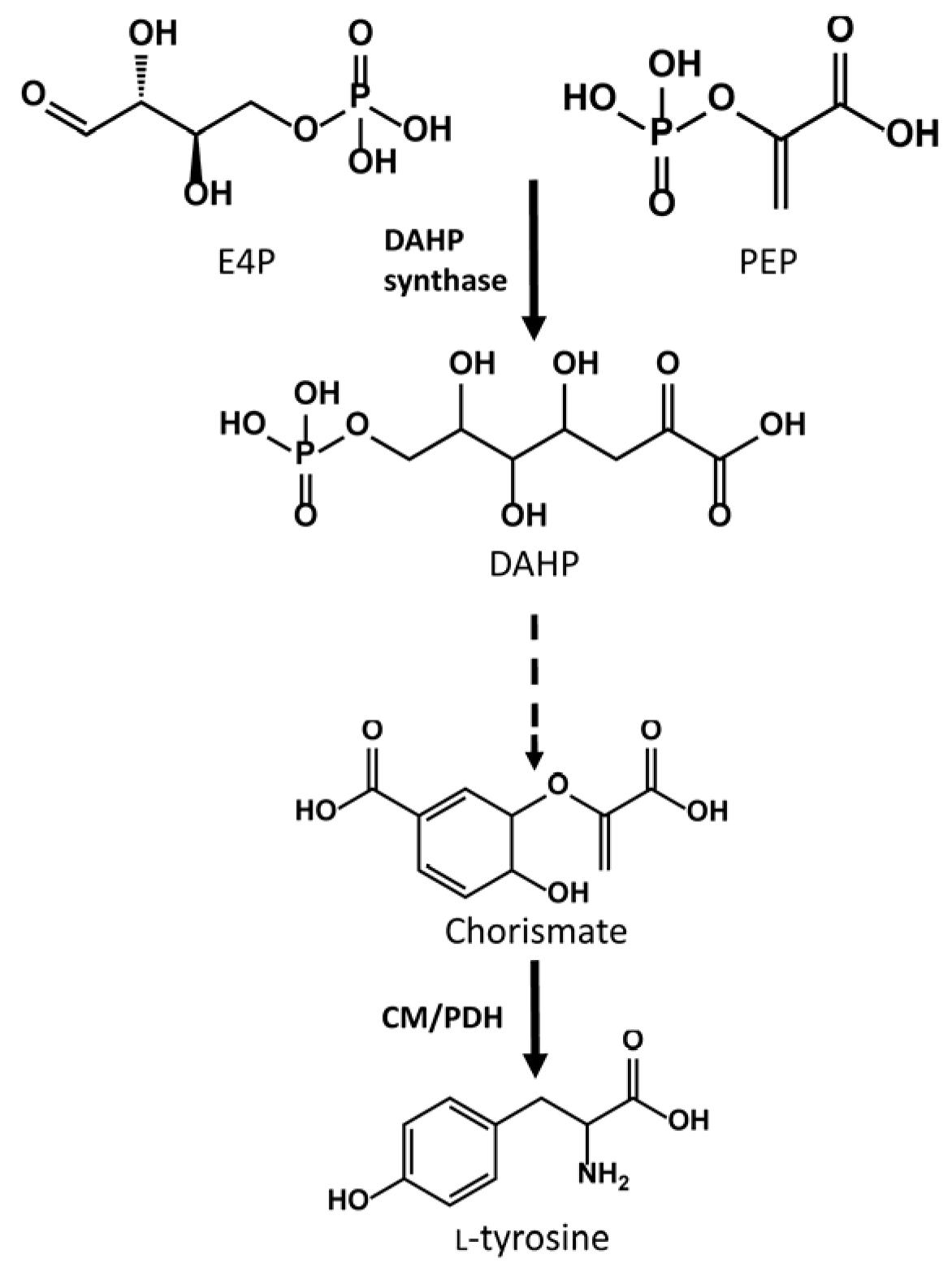
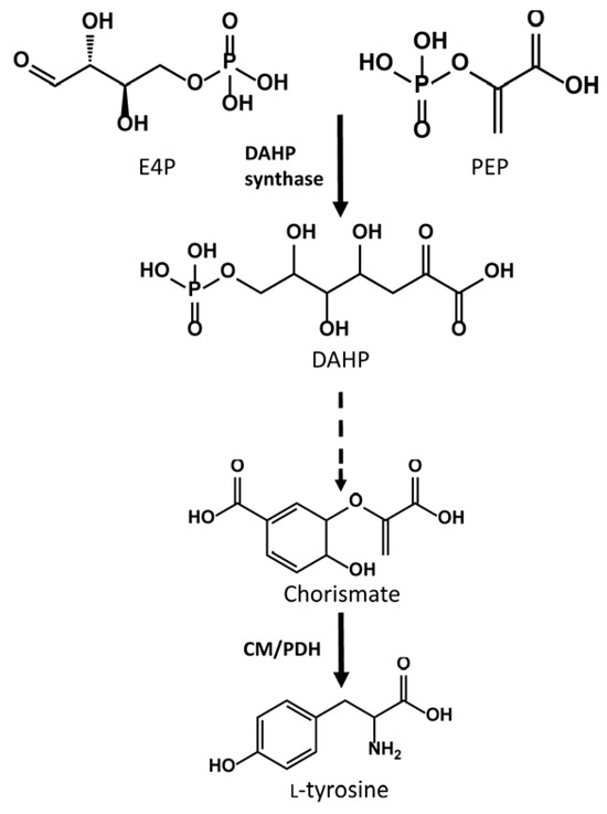
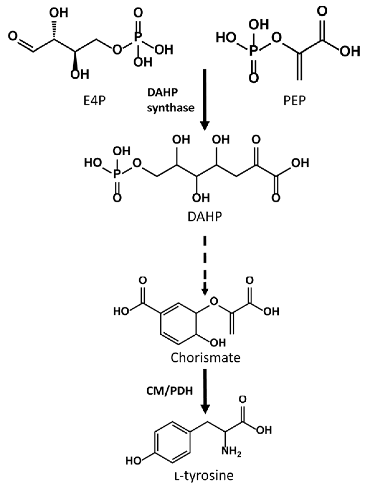
1. Introduction
2. Results
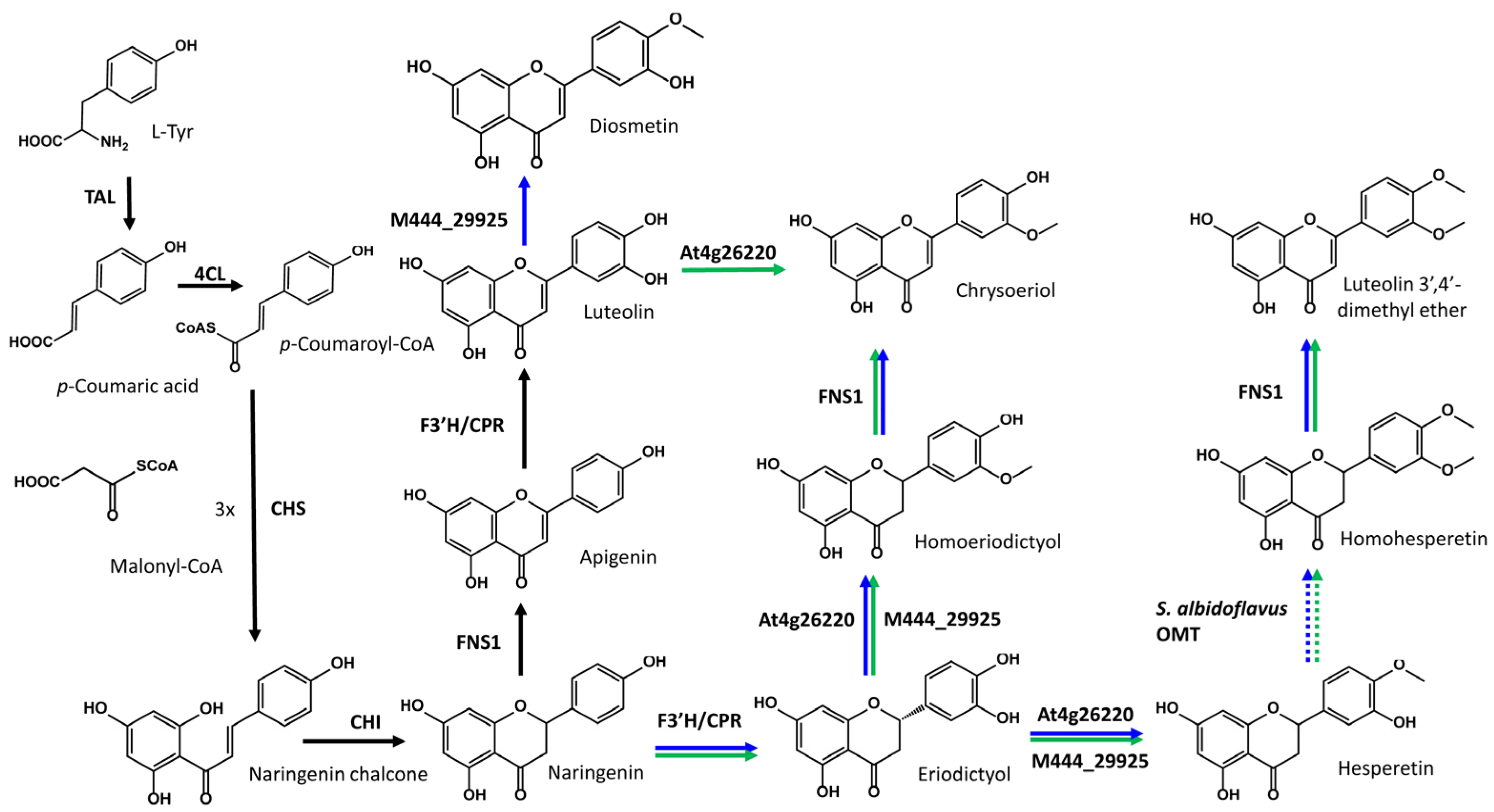
2.1. Heterologous Biosynthesis of Diosmetin
2.2. Heterologous Biosynthesis of Chrysoeriol
2.3. Identification of Putative Luteolin 3′,4′-Dimethyl Ether in Both Diosmetin- and Chrysoeriol-Producing Strains
2.4. Use of a DAHP Synthase to Increase the Production Titers of Diosmetin and Chrysoeriol through Precursor Titer Enhancement
3. Discussion
4. Materials and Methods
4.1. Bacterial Strains and Culture Conditions
| Description | Reference | |
|---|---|---|
| Plasmids | ||
| pSEVA181-At4g26220 | Source of At4g26220 (Level 0 MoClo) | This study |
| pSEVA181SP25 | Source of SP25 (Level 0 MoClo) | [21] |
| pSEVA181SP43 | Source of SP43 (Level 0 MoClo) | [21] |
| pSEVA181-M444_29925 | Source of M444_29925 (Level 0 MoClo) | This study |
| pSEVA181RiboJ-RBS | Source of RiboJ-RBS (Level 0 MoClo) | [21] |
| pIDTSMARTttsbib | Source of ttsbib (Level 0 MoClo) | [21] |
| pSEVAUO-M21102 | Level 2 MoClo receptor | [21] |
| pSEVAUO-M31205 | Level 2 MoClo receptor | [21] |
| pSEVAUO-M21206F3H-CPR | Level 1 MoClo harboring F3′H-CPR | [21] |
| PCR-Blunt II-TOPO-FNS1 | Source of FNS1 (Level 0 MoClo) | [24] |
| pSEVAUO-M21102-FNS1 | Level 1 MoClo harboring FNS1 | This study |
| pSEVAUO-M21503-FNS1/F3′H-CPR | Level 2 MoClo harboring FNS1 and F3′H-CPR | This study |
| pSEVAUO-M31105-At4g26220 | Level 1 MoClo plasmid harboring At4g26220 | This study |
| pSEVAUO-M31105-M444_29925 | Level 1 MoClo plasmid harboring M444_29925 | This study |
| pSEVAUO-M31105 | Level 1 MoClo receptor | [21] |
| pSEVAUO-M31205-dahp | Level 1 MoClo plasmid harboring dahp | This study |
| pSEVAUO-M31505 | Level 2 MoClo receptor | [21] |
| pSEVAUO-M31505-At4g26220-dahp | Level 2 MoClo harboring At4g26220 and dahp | This study |
| pSEVAUO-M31505-M444_29925-dahp | Level 2 MoClo harboring M444_29925 and dahp | This study |
| Strains | ||
| E. coli TOP10 | Strain used for routine subcloning | Invitrogen (Waltham, MA, USA) |
| E. coli ET12567/pUZ8002 | Strain used for conjugation | [48] |
| UO-FLAV-004 | S. albidoflavus strain used in this work | [24] |
| UO-FLAV-004-NAR | UO-FLAV-004 harboring TAL, 4CL, CHS and CHI | [24] |
| UO-FLAV-004-LUT | UO-FLAV-004 harboring TAL, 4CL, CHS, CHI, FNS1 and F3′H-CPR | This study |
| UO-FLAV-004-DIO | UO-FLAV-004 harboring TAL, 4CL, CHS, CHI, FNS1, F3′H-CPR and M444_29925 | This study |
| UO-FLAV-004-CHR | UO-FLAV-004 harboring TAL, 4CL, CHS, CHI, FNS1, F3′H-CPR and At4g26220 | This study |
| UO-FLAV-004-DIO-dahp | UO-FLAV-004 harboring TAL, 4CL, CHS, CHI, FNS1, F3′H-CPR, M444_29925 and dahp | This study |
| UO-FLAV-004-CHR-dahp | UO-FLAV-004 harboring TAL, 4CL, CHS, CHI, FNS1, F3′H-CPR, At4g26220 and dahp | This study |
| UO-FLAV-004-FNS1 | UO-FLAV-004 harboring FNS1 | [24] |
4.2. Reagents and Biochemicals
4.3. Genes and Enzymes
4.4. Plasmids Construction
4.4.1. Construction of pSEVAUO-M21503-FNS1/F3′H-CPR
4.4.2. Construction of pSEVAUO-M31105-At4g26220, pSEVAUO-M31105-M444_29925, and pSEVAUO-M31205-dahp
4.4.3. Construction of pSEVAUO-M31505-At4g26220-dahp and pSEVAUO-M31505-M444_29925-dahp
4.5. Flavonoid Extraction and LC-DAD Analysis
4.6. Statistical Analysis
Supplementary Materials
Author Contributions
Funding
Institutional Review Board Statement
Informed Consent Statement
Data Availability Statement
Acknowledgments
Conflicts of Interest
References
- Kumar, S.; Pandey, A.K. Chemistry and Biological Activities of Flavonoids: An Overview. Sci. World J. 2013, 2013, 162750. [Google Scholar] [CrossRef] [PubMed]
- Li, A.-N.; Li, S.; Zhang, Y.-J.; Xu, X.-R.; Chen, Y.-M.; Li, H.-B. Resources and Biological Activities of Natural Polyphenols. Nutrients 2014, 6, 6020–6047. [Google Scholar] [CrossRef] [PubMed]
- Shah, F.L.A.; Ramzi, A.B.; Baharum, S.N.; Noor, N.M.; Goh, H.H.; Leow, T.C.; Oslan, S.N.; Sabri, S. Recent Advancement of Engineering Microbial Hosts for the Biotechnological Production of Flavonoids. Mol. Biol. Rep. 2019, 46, 6647–6659. [Google Scholar] [CrossRef]
- Al-Khayri, J.M.; Sahana, G.R.; Nagella, P.; Joseph, B.V.; Alessa, F.M.; Al-Mssallem, M.Q. Flavonoids as Potential Anti-Inflammatory Molecules: A Review. Molecules 2022, 27, 2901. [Google Scholar] [CrossRef]
- Kaushal, N.; Singh, M.; Singh Sangwan, R. Flavonoids: Food Associations, Therapeutic Mechanisms, Metabolism and Nanoformulations. Food Res. Int. 2022, 157, 111442. [Google Scholar] [CrossRef]
- Roy, A.; Khan, A.; Ahmad, I.; Alghamdi, S.; Rajab, B.S.; Babalghith, A.O.; Alshahrani, M.Y.; Islam, S.; Islam, M.R. Flavonoids a Bioactive Compound from Medicinal Plants and Its Therapeutic Applications. BioMed Res. Int. 2022, 2022, 5445291. [Google Scholar] [CrossRef]
- Zhao, L.; Yuan, X.; Wang, J.; Feng, Y.; Ji, F.; Li, Z.; Bian, J. A Review on Flavones Targeting Serine/Threonine Protein Kinases for Potential Anticancer Drugs. Bioorg. Med. Chem. 2019, 27, 677–685. [Google Scholar] [CrossRef]
- Zhao, K.; Yuan, Y.; Lin, B.; Miao, Z.; Li, Z.; Guo, Q.; Lu, N. LW-215, a Newly Synthesized Flavonoid, Exhibits Potent Anti-Angiogenic Activity In Vitro and In Vivo. Gene 2018, 642, 533–541. [Google Scholar] [CrossRef]
- Camero, C.M.; Germanò, M.P.; Rapisarda, A.; D’Angelo, V.; Amira, S.; Benchikh, F.; Braca, A.; De Leo, M. Anti-Angiogenic Activity of Iridoids from Galium tunetanum. Rev. Bras. Farmacogn. 2018, 28, 374–377. [Google Scholar] [CrossRef]
- Patel, K.; Kumar, V.; Rahman, M.; Verma, A.; Patel, D.K. New Insights into the Medicinal Importance, Physiological Functions and Bioanalytical Aspects of an Important Bioactive Compound of Foods ‘Hyperin’: Health Benefits of the Past, the Present, the Future. Beni-Suef Univ. J. Basic Appl. Sci. 2018, 7, 31–42. [Google Scholar] [CrossRef]
- Wen, X.; Walle, T. Methylated Flavonoids Have Greatly Improved Intestinal Absorption and Metabolic Stability. Drug Metab. Dispos. 2006, 34, 1786–1792. [Google Scholar] [CrossRef]
- Patel, K.; Gadewar, M.; Tahilyani, V.; Patel, D.K. A Review on Pharmacological and Analytical Aspects of Diosmetin: A Concise Report. Chin. J. Integr. Med. 2013, 19, 792–800. [Google Scholar] [CrossRef]
- Chan, B.C.L.; Ip, M.; Gong, H.; Lui, S.L.; See, R.H.; Jolivalt, C.; Fung, K.P.; Leung, P.C.; Reiner, N.E.; Lau, C.B.S. Synergistic Effects of Diosmetin with Erythromycin against ABC Transporter Over-Expressed Methicillin-Resistant Staphylococcus aureus (MRSA) RN4220/PUL5054 and Inhibition of MRSA Pyruvate Kinase. Phytomedicine 2013, 20, 611–614. [Google Scholar] [CrossRef]
- Aboulaghras, S.; Sahib, N.; Bakrim, S.; Benali, T.; Charfi, S.; Guaouguaou, F.E.; El Omari, N.; Gallo, M.; Montesano, D.; Zengin, G.; et al. Health Benefits and Pharmacological Aspects of Chrysoeriol. Pharmaceuticals 2022, 15, 973. [Google Scholar] [CrossRef] [PubMed]
- Shen, N.; Wang, T.; Gan, Q.; Liu, S.; Wang, L.; Jin, B. Plant Flavonoids: Classification, Distribution, Biosynthesis, and Antioxidant Activity. Food Chem. 2022, 383, 132531. [Google Scholar] [CrossRef] [PubMed]
- Tsao, R. Chemistry and Biochemistry of Dietary Polyphenols. Nutrients 2010, 2, 1231–1246. [Google Scholar] [CrossRef]
- Falcone Ferreyra, M.L.; Rius, S.P.; Casati, P. Flavonoids: Biosynthesis, Biological Functions, and Biotechnological Applications. Front. Plant Sci. 2012, 3, 222. [Google Scholar] [CrossRef] [PubMed]
- Chouhan, S.; Sharma, K.; Zha, J.; Guleria, S.; Koffas, M.A.G. Recent Advances in the Recombinant Biosynthesis of Polyphenols. Front. Microbiol. 2017, 8, 2259. [Google Scholar] [CrossRef] [PubMed]
- Wang, Y.; Chen, S.; Yu, O. Metabolic Engineering of Flavonoids in Plants and Microorganisms. Appl. Microbiol. Biotechnol. 2011, 91, 949–956. [Google Scholar] [CrossRef] [PubMed]
- Falcone Ferreyra, M.L.; Emiliani, J.; Rodriguez, E.J.; Campos-Bermudez, V.A.; Grotewold, E.; Casati, P. The Identification of Maize and Arabidopsis Type I FLAVONE SYNTHASEs Links Flavones with Hormones and Biotic Interactions. Plant Physiol. 2015, 169, 1090–1107. [Google Scholar] [CrossRef] [PubMed]
- Magadán-Corpas, P.; Ye, S.; Pérez-Valero, Á.; McAlpine, P.L.; Valdés-Chiara, P.; Torres-Bacete, J.; Nogales, J.; Villar, C.J.; Lombó, F. Optimized De Novo Eriodictyol Biosynthesis in Streptomyces albidoflavus Using an Expansion of the Golden Standard Toolkit for Its Use in Actinomycetes. Int. J. Mol. Sci. 2023, 24, 8879. [Google Scholar] [CrossRef]
- Kim, M.J.; Kim, B.G.; Ahn, J.H. Biosynthesis of Bioactive O-Methylated Flavonoids in Escherichia coli. Appl. Microbiol. Biotechnol. 2013, 97, 7195–7204. [Google Scholar] [CrossRef] [PubMed]
- Liu, X.; Cheng, J.; Zhu, X.; Zhang, G.; Yang, S.; Guo, X.; Jiang, H.; Ma, Y. De Novo Biosynthesis of Multiple Pinocembrin Derivatives in Saccharomyces cerevisiae. ACS Synth. Biol. 2020, 9, 3042–3051. [Google Scholar] [CrossRef] [PubMed]
- Pérez-Valero, Á.; Ye, S.; Magadán-Corpas, P.; Villar, C.J.; Lombó, F. Metabolic Engineering in Streptomyces albidoflavus for the Biosynthesis of the Methylated Flavonoids Sakuranetin, Acacetin, and Genkwanin. Microb. Cell Factories 2023, 22, 234. [Google Scholar] [CrossRef] [PubMed]
- Sharma, V.; Kaur, R.; Salwan, R. Streptomyces: Host for Refactoring of Diverse Bioactive Secondary Metabolites; Springer International Publishing: Cham, Switzerland, 2021; Volume 11, ISBN 0123456789. [Google Scholar]
- Kuhstoss, S.; Rao, R.N. Analysis of the Integration Function of the Streptomycete Bacteriophage ΦC31. J. Mol. Biol. 1991, 222, 897–908. [Google Scholar] [CrossRef] [PubMed]
- Gregory, M.A.; Till, R.; Smith, M.C.M. Integration Site for Streptomyces Phage ΦBT1 and Development of Site-Specific Integrating Vectors. J. Bacteriol. 2003, 185, 5320–5323. [Google Scholar] [CrossRef] [PubMed]
- Raynal, A.; Friedmann, A.; Tuphile, K.; Guerineau, M.; Pernodet, J.L. Characterization of the AttP Site of the Integrative Element PSAM2 from Streptomyces ambofaciens. Microbiology 2002, 148, 61–67. [Google Scholar] [CrossRef]
- Thykaer, J.; Nielsen, J.; Wohlleben, W.; Weber, T.; Gutknecht, M.; Lantz, A.E.; Stegmann, E. Increased Glycopeptide Production after Overexpression of Shikimate Pathway Genes Being Part of the Balhimycin Biosynthetic Gene Cluster. Metab. Eng. 2010, 12, 455–461. [Google Scholar] [CrossRef]
- Ikeda, M. Towards Bacterial Strains Overproducing L-Tryptophan and Other Aromatics by Metabolic Engineering. Appl. Microbiol. Biotechnol. 2006, 69, 615–626. [Google Scholar] [CrossRef]
- Pandurangan, N. A New Synthesis for Acacetin, Chrysoeriol, Diosmetin, Tricin and Other Hydroxylated Flavones by Modified Baker-Venkataraman Transformation. Lett. Org. Chem. 2014, 11, 225–229. [Google Scholar] [CrossRef]
- Victor, M.M.; David, J.M.; Cortez, M.V.M.; Leite, J.L.; da Silva, G.S.B. A High-Yield Process for Extraction of Hesperidin from Orange (Citrus sinensis L. Osbeck) Peels Waste, and Its Transformation to Diosmetin, A Valuable and Bioactive Flavonoid. Waste Biomass Valorization 2021, 12, 313–320. [Google Scholar] [CrossRef]
- Myronovskyi, M.; Luzhetskyy, A. Native and Engineered Promoters in Natural Product Discovery. Nat. Prod. Rep. 2016, 33, 1006–1019. [Google Scholar] [CrossRef] [PubMed]
- Darsandhari, S.; Dhakal, D.; Shrestha, B.; Parajuli, P.; Seo, J.-H.; Kim, T.-S.; Sohng, J.K. Characterization of Regioselective Flavonoid O-Methyltransferase from the Streptomyces Sp. KCTC 0041BP. Enzym. Microb. Technol. 2018, 113, 29–36. [Google Scholar] [CrossRef] [PubMed]
- Wils, C.R.; Brandt, W.; Manke, K.; Vogt, T. A Single Amino Acid Determines Position Specificity of an Arabidopsis thaliana CCoAOMT-like O-Methyltransferase. FEBS Lett. 2013, 587, 683–689. [Google Scholar] [CrossRef]
- Schröder, G.; Wehinger, E.; Lukačin, R.; Wellmann, F.; Seefelder, W.; Schwab, W.; Schröder, J. Flavonoid Methylation: A Novel 4′-O-Methyltransferase from Catharanthus Roseus, and Evidence That Partially Methylated Flavanones Are Substrates of Four Different Flavonoid Dioxygenases. Phytochemistry 2004, 65, 1085–1094. [Google Scholar] [CrossRef]
- Aisa, H.A.; Izotova, L.; Karimov, A.; Botirov, E.; Mamadrahimov, A.; Ibragimov, B. Crystal, Molecular Structure and Hirshheld Surface Analysis of 5-Hydroxy-3,6,7,8-Tetramethoxyflavone. Acta Crystallogr. Sect. E Crystallogr. Commun. 2020, 76, 1748–1751. [Google Scholar] [CrossRef]
- Shin, W.; Lah, M.S. Structure of (R,S)-Naringenin. Acta Crystallogr. Sect. C Cryst. Struct. Commun. 1986, 42, 626–628. [Google Scholar] [CrossRef]
- Lütke-Eversloh, T.; Santos, C.N.S.; Stephanopoulos, G. Perspectives of Biotechnological Production of L-Tyrosine and Its Applications. Appl. Microbiol. Biotechnol. 2007, 77, 751–762. [Google Scholar] [CrossRef]
- Koopman, F.; Beekwilder, J.; Crimi, B.; Van Houwelingen, A.; Hall, R.D.; Bosch, D.; Van Maris, A.J.A.; Pronk, J.T.; Daran, J. De Novo Production of the Flavonoid Naringenin in Engineered Saccharomyces cerevisiae. Microb. Cell Factories 2012, 11, 155. [Google Scholar] [CrossRef]
- Wu, J.; Zhou, T.; Du, G.; Zhou, J.; Chen, J. Modular Optimization of Heterologous Pathways for de Novo Synthesis of (2S)-Naringenin in Escherichia coli. PLoS ONE 2014, 9, e101492. [Google Scholar] [CrossRef]
- Zhou, S.; Hao, T.; Zhou, J. Fermentation and Metabolic Pathway Optimization to De Novo Synthesize (2S)-Naringenin in Escherichia coli. J. Microbiol. Biotechnol. 2020, 30, 1574–1582. [Google Scholar] [CrossRef]
- Lee, H.; Kim, B.G.; Kim, M.; Ahn, J.H. Biosynthesis of Two Flavones, Apigenin and Genkwanin, in Escherichia coli. J. Microbiol. Biotechnol. 2015, 25, 1442–1448. [Google Scholar] [CrossRef] [PubMed]
- August, P.R.; Tang, L.; Yoon, Y.J.; Ning, S.; Müller, R.; Yu, T.-W.; Taylor, M.; Hoffmann, D.; Kim, C.-G.; Zhang, X.; et al. Biosynthesis of the Ansamycin Antibiotic Rifamycin: Deductions from the Molecular Analysis of the Rif Biosynthetic Gene Cluster of Amycolatopsis Mediterranei S699. Chem. Biol. 1998, 5, 69–79. [Google Scholar] [CrossRef] [PubMed]
- He, J.; Magarvey, N.; Piraee, M.; Vining, L.C. The Gene Cluster for Chloramphenicol Biosynthesis in Streptomyces venezuelae ISP5230 Includes Novel Shikimate Pathway Homologues and a Monomodular Non-Ribosomal Peptide Synthetase Gene The GenBank Accession Number for the Sequence Reported in This Paper is AF262220. Microbiology 2001, 147, 2817–2829. [Google Scholar] [CrossRef]
- Dyer, W.E.; Weaver, L.M.; Zhao, J.M.; Kuhn, D.N.; Weller, S.C.; Herrmann, K.M. A CDNA Encoding 3-Deoxy-D-Arabino-Heptulosonate 7-Phosphate Synthase from Solanum tuberosum L. J. Biol. Chem. 1990, 265, 1608–1614. [Google Scholar] [CrossRef] [PubMed]
- Pinto, J.E.B.P.; Suzich, J.A.; Herrmann, K.M. 3-Deoxy-d- Arabino -Heptulosonate 7-Phosphate Synthase from Potato Tuber (Solanum tuberosum L.). Plant Physiol. 1986, 82, 1040–1044. [Google Scholar] [CrossRef] [PubMed]
- Macneil, D.J.; Gewain, K.M.; Ruby, C.L.; Dezeny, G.; Gibbons, P.H.; Maeneil, T. Analysis of Streptomyces avermitilis Genes Required for Avermectin Biosynthesis Utilizing a Novel Inte-Gration Vector. Gene 1992, 111, 61–68. [Google Scholar] [CrossRef] [PubMed]
- Kieser, T.; Bibb, M.J.; Buttner, M.J.; Chater, K.F.; Hopwood, D.A.; John Innes Foundation. Practical Streptomyces Genetics; John Innes Foundation: Norwich, UK, 2000; Volume 291. [Google Scholar]
- Fernández, E.; Weissbach, U.; Sánchez Reillo, C.; Braña, A.F.; Méndez, C.; Rohr, J.; Salas, J.A. Identification of Two Genes from Streptomyces argillaceus Encoding Glycosyltransferases Involved in Transfer of a Disaccharide during Biosynthesis of the Antitumor Drug Mithramycin. J. Bacteriol. 1998, 180, 4929–4937. [Google Scholar] [CrossRef]
- Myronovskyi, M.; Tokovenko, B.; Brötz, E.; Rückert, C.; Kalinowski, J.; Luzhetskyy, A. Genome Rearrangements of Streptomyces Albus J1074 Lead to the Carotenoid Gene Cluster Activation. Appl. Microbiol. Biotechnol. 2014, 98, 795–806. [Google Scholar] [CrossRef]






Disclaimer/Publisher’s Note: The statements, opinions and data contained in all publications are solely those of the individual author(s) and contributor(s) and not of MDPI and/or the editor(s). MDPI and/or the editor(s) disclaim responsibility for any injury to people or property resulting from any ideas, methods, instructions or products referred to in the content. |
© 2024 by the authors. Licensee MDPI, Basel, Switzerland. This article is an open access article distributed under the terms and conditions of the Creative Commons Attribution (CC BY) license (https://creativecommons.org/licenses/by/4.0/).
Share and Cite
Pérez-Valero, Á.; Serna-Diestro, J.; Villar, C.J.; Lombó, F. Use of 3-Deoxy-D-arabino-heptulosonic acid 7-phosphate Synthase (DAHP Synthase) to Enhance the Heterologous Biosynthesis of Diosmetin and Chrysoeriol in an Engineered Strain of Streptomyces albidoflavus. Int. J. Mol. Sci. 2024, 25, 2776. https://doi.org/10.3390/ijms25052776
Pérez-Valero Á, Serna-Diestro J, Villar CJ, Lombó F. Use of 3-Deoxy-D-arabino-heptulosonic acid 7-phosphate Synthase (DAHP Synthase) to Enhance the Heterologous Biosynthesis of Diosmetin and Chrysoeriol in an Engineered Strain of Streptomyces albidoflavus. International Journal of Molecular Sciences. 2024; 25(5):2776. https://doi.org/10.3390/ijms25052776
Chicago/Turabian StylePérez-Valero, Álvaro, Juan Serna-Diestro, Claudio J. Villar, and Felipe Lombó. 2024. "Use of 3-Deoxy-D-arabino-heptulosonic acid 7-phosphate Synthase (DAHP Synthase) to Enhance the Heterologous Biosynthesis of Diosmetin and Chrysoeriol in an Engineered Strain of Streptomyces albidoflavus" International Journal of Molecular Sciences 25, no. 5: 2776. https://doi.org/10.3390/ijms25052776
APA StylePérez-Valero, Á., Serna-Diestro, J., Villar, C. J., & Lombó, F. (2024). Use of 3-Deoxy-D-arabino-heptulosonic acid 7-phosphate Synthase (DAHP Synthase) to Enhance the Heterologous Biosynthesis of Diosmetin and Chrysoeriol in an Engineered Strain of Streptomyces albidoflavus. International Journal of Molecular Sciences, 25(5), 2776. https://doi.org/10.3390/ijms25052776

