Structural Characterization and Functional Analysis of Mevalonate Kinase from Tribolium castaneum (Red Flour Beetle)
Abstract
1. Introduction
2. Results and Discussion
2.1. Structural Model of TcMevK
2.2. Substrate- and Cofactor-Binding Site of TcMevK
2.3. Effect of pH and Temperature on Enzymatic Activity of TcMevK
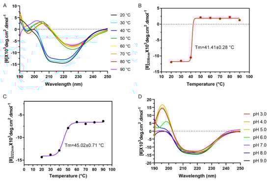
2.4. Structural Stability Analysis of TcMevK
2.5. Expression Profile of TcMevK and Its Physiological Activity in T. castaneum
3. Conclusions
4. Materials and Methods
4.1. Overexpression and Purification of TcMevK and Mutants
4.2. Docking Simulation
4.3. Binding Affinity Measurements
4.4. Enzymatic Activity Assay of TcMevK
4.5. Circular Dichroism Spectroscopy
4.6. Expression Analysis of TcMevK
4.7. RNA Interference of TcMevK
Supplementary Materials
Author Contributions
Funding
Institutional Review Board Statement
Informed Consent Statement
Data Availability Statement
Conflicts of Interest
References
- Belles, X.; Martin, D.; Piulachs, M.D. The mevalonate pathway and the synthesis of juvenile hormone in insects. Annu. Rev. Entomol. 2005, 50, 181–199. [Google Scholar] [CrossRef] [PubMed]
- Lombard, J.; Moreira, D. Origins and early evolution of the mevalonate pathway of isoprenoid biosynthesis in the three domains of life. Mol. Biol. Evol. 2011, 28, 87–99. [Google Scholar] [CrossRef] [PubMed]
- Mcgarvey, D.J.; Croteau, R. Terpenoid Metabolism. Plant Cell 1995, 7, 1015–1026. [Google Scholar] [PubMed]
- Mullen, P.J.; Yu, R.; Longo, J.; Archer, M.C.; Penn, L.Z. The interplay between cell signalling and the mevalonate pathway in cancer. Nat. Rev. Cancer 2016, 16, 718–731. [Google Scholar] [CrossRef]
- Buhaescu, I.; Izzedine, H. Mevalonate pathway: A review of clinical and therapeutical implications. Clin. Biochem. 2007, 40, 575–584. [Google Scholar] [CrossRef] [PubMed]
- Schooley, D.; Baker, F. Juvenile hormone biosynthesis. Compr. Insect Physiol. Biochem. Pharmacol. 1985, 7, 363–389. [Google Scholar]
- Goodman, W.G.; Granger, N.A. The Juvenile Hormones. Compr. Mol. Insect Sci. 2005, 3, 319–408. [Google Scholar]
- Riddiford, L.M. Cellular and Molecular Actions of Juvenile Hormone I. General Considerations and Premetamorphic Actions. Adv. Insect Physiol. 1994, 24, 213–274. [Google Scholar]
- Kinjoh, T.; Kaneko, Y.; Itoyama, K.; Mita, K.; Hiruma, K.; Shinoda, T. Control of juvenile hormone biosynthesis in Bombyx mori: Cloning of the enzymes in the mevalonate pathway and assessment of their developmental expression in the corpora allata. Insect. Biochem. Mol. Biol. 2007, 37, 808–818. [Google Scholar] [CrossRef]
- Shinoda, T.; Itoyama, K. Juvenile hormone acid methyltransferase: A key regulatory enzyme for insect metamorphosis. Proc. Natl. Acad. Sci. USA 2003, 100, 11986–11991. [Google Scholar] [CrossRef]
- Hiruma, K.; Kaneko, Y. Hormonal regulation of insect metamorphosis with special reference to juvenile hormone biosynthesis. Curr. Top Dev. Biol. 2013, 103, 73–100. [Google Scholar] [PubMed]
- Cusson, M.; Sen, S.; Shinoda, T. Juvenile Hormone Biosynthetic Enzymes as Targets for Insecticide Discovery. In Advanced Technologies for Managing Insect Pests; Springer: Cham, Switzerland, 2012; Chapter 3; pp. 31–55. [Google Scholar]
- Bork, P.; Sander, C.; Valencia, A. Convergent Evolution of Similar Enzymatic Function on Different Protein Folds—The Hexokinase, Ribokinase, and Galactokinase Families of Sugar Kinases. Protein Sci. 1993, 2, 31–40. [Google Scholar] [CrossRef] [PubMed]
- Sgraja, T.; Smith, T.K.; Hunter, W.N. Structure, substrate recognition and reactivity of Leishmania major mevalonate kinase. Bmc Struct. Biol. 2007, 7, 20. [Google Scholar] [CrossRef] [PubMed]
- Fu, Z.J.; Wang, M.; Potter, D.; Miziorko, H.M.; Kim, J.J.P. The structure of a binary complex between a mammalian mevalonate kinase and ATP—Insights into the reaction mechanism and human inherited disease. J. Biol. Chem. 2002, 277, 18134–18142. [Google Scholar] [CrossRef] [PubMed]
- Tanaka, R.D.; Lee, L.Y.; Schafer, B.L.; Kratunis, V.J.; Mohler, W.A.; Robinson, G.W.; Mosley, S.T. Molecular cloning of mevalonate kinase and regulation of its mRNA levels in rat liver. Proc. Natl. Acad. Sci. USA 1990, 87, 2872–2876. [Google Scholar] [CrossRef]
- Potter, D.; Miziorko, H.M. Identification of catalytic residues in human mevalonate kinase. J. Biol. Chem. 1997, 272, 25449–25454. [Google Scholar] [CrossRef]
- Andreassi, J.L., 2nd; Dabovic, K.; Leyh, T.S. Streptococcus pneumoniae isoprenoid biosynthesis is downregulated by diphosphomevalonate: An antimicrobial target. Biochemistry 2004, 43, 16461–16466. [Google Scholar] [CrossRef]
- Ueda, H.; Shinoda, T.; Hiruma, K. Spatial expression of the mevalonate enzymes involved in juvenile hormone biosynthesis in the corpora allata in Bombyx mori. J. Insect. Physiol. 2009, 55, 798–804. [Google Scholar] [CrossRef]
- Chen, Y.H.; Jiang, T.; Yasen, A.; Fan, B.Y.; Zhu, J.; Wang, M.X.; Qian, P.; Shen, X.J. m(6)A-dependent mevalonate kinase in juvenile hormone synthesis pathway regulates the diapause process of bivoltine silkworm (Bombyx mori). Mol. Biol. Rep. 2023, 50, 5295–5306. [Google Scholar] [CrossRef]
- Larkin, M.A.; Blackshields, G.; Brown, N.P.; Chenna, R.; McGettigan, P.A.; McWilliam, H.; Valentin, F.; Wallace, I.M.; Wilm, A.; Lopez, R.; et al. Clustal W and Clustal X version 2.0. Bioinformatics 2007, 23, 2947–2948. [Google Scholar] [CrossRef]
- Robert, X.; Gouet, P. Deciphering key features in protein structures with the new ENDscript server. Nucleic Acids Res. 2014, 42, W320–W324. [Google Scholar] [CrossRef]
- De Vries, S.J.; van Dijk, M.; Bonvin, A.M. The HADDOCK web server for data-driven biomolecular docking. Nat. Protoc. 2010, 5, 883–897. [Google Scholar] [CrossRef] [PubMed]
- Schulte, A.E.; van der Heijden, R.; Verpoorte, R. Purification and characterization of mevalonate kinase from suspension-cultured cells of Catharanthus roseus (L.) G. Don. Arch. Biochem. Biophys. 2000, 378, 287–298. [Google Scholar] [CrossRef] [PubMed]
- Potter, D.; Wojnar, J.M.; Narasimhan, C.; Miziorko, H.M. Identification and functional characterization of an active-site lysine in mevalonate kinase. J. Biol. Chem. 1997, 272, 5741–5746. [Google Scholar] [CrossRef] [PubMed]
- Zhang, H.; Liu, J.; Wang, H.L.; Fang, H.; Zhao, P.; Xia, Q.Y.; Guo, P.C. Structural insights into the substrate binding of phosphomevalonate kinase from the silkworm, Bombyx mori. Insect. Biochem. Mol. Biol. 2022, 150, 103849. [Google Scholar] [CrossRef]
- Zhang, L.; Xu, H.; Zhang, Y.; Zhang, H.; Wang, Z.; Guo, P.; Zhao, P. Structural characterization and functional analysis of juvenile hormone acid methyltransferase JHAMT3 from the silkworm, Bombyx mori. Insect. Biochem. Mol. Biol. 2022, 151, 103863. [Google Scholar] [CrossRef] [PubMed]
- Minakuchi, C.; Namiki, T.; Yoshiyama, M.; Shinoda, T. RNAi-mediated knockdown of juvenile hormone acid O-methyltransferase gene causes precocious metamorphosis in the red flour beetle Tribolium castaneum. FEBS J. 2008, 275, 2919–2931. [Google Scholar] [CrossRef] [PubMed]
- Goldstein, J.L.; Brown, M.S. Regulation of the mevalonate pathway. Nature 1990, 343, 425–430. [Google Scholar] [CrossRef]
- Guo, P.; Zhang, Y.; Zhang, L.; Xu, H.; Zhang, H.; Wang, Z.; Jiang, Y.; Molloy, D.; Zhao, P.; Xia, Q. Structural basis for juvenile hormone biosynthesis by the juvenile hormone acid methyltransferase. J. Biol. Chem. 2021, 297, 101234. [Google Scholar] [CrossRef]
- Zhang, D.; Tang, X.; Chen, L.; Qiu, X.; Song, C.; Wang, H.; Chang, Y. Functional characterization and transcriptional activity analysis of Dryopteris fragrans farnesyl diphosphate synthase genes. Front. Plant Sci. 2023, 14, 1105240. [Google Scholar] [CrossRef]






| KD Value for Mev (μM) | |
|---|---|
| TcMevK | 30.01 ± 0.93 |
| K11A | 75.80 ± 0.84 |
| V21A | 51.65 ± 2.16 |
| S217A | 70.15 ± 1.06 |
| K234A | 89.55 ± 2.45 |
| V264A | 57.14 ± 1.83 |
| D220A | 47.54 ± 2.17 |
Disclaimer/Publisher’s Note: The statements, opinions and data contained in all publications are solely those of the individual author(s) and contributor(s) and not of MDPI and/or the editor(s). MDPI and/or the editor(s) disclaim responsibility for any injury to people or property resulting from any ideas, methods, instructions or products referred to in the content. |
© 2024 by the authors. Licensee MDPI, Basel, Switzerland. This article is an open access article distributed under the terms and conditions of the Creative Commons Attribution (CC BY) license (https://creativecommons.org/licenses/by/4.0/).
Share and Cite
Zheng, H.; Yang, Y.; Hu, Y.; Shi, J.; Li, Q.; Wang, Y.; Xia, Q.; Guo, P. Structural Characterization and Functional Analysis of Mevalonate Kinase from Tribolium castaneum (Red Flour Beetle). Int. J. Mol. Sci. 2024, 25, 2552. https://doi.org/10.3390/ijms25052552
Zheng H, Yang Y, Hu Y, Shi J, Li Q, Wang Y, Xia Q, Guo P. Structural Characterization and Functional Analysis of Mevalonate Kinase from Tribolium castaneum (Red Flour Beetle). International Journal of Molecular Sciences. 2024; 25(5):2552. https://doi.org/10.3390/ijms25052552
Chicago/Turabian StyleZheng, Haogang, Yuanyuan Yang, Ying Hu, Jiaxuan Shi, Qiaohui Li, Yuanqiang Wang, Qingyou Xia, and Pengchao Guo. 2024. "Structural Characterization and Functional Analysis of Mevalonate Kinase from Tribolium castaneum (Red Flour Beetle)" International Journal of Molecular Sciences 25, no. 5: 2552. https://doi.org/10.3390/ijms25052552
APA StyleZheng, H., Yang, Y., Hu, Y., Shi, J., Li, Q., Wang, Y., Xia, Q., & Guo, P. (2024). Structural Characterization and Functional Analysis of Mevalonate Kinase from Tribolium castaneum (Red Flour Beetle). International Journal of Molecular Sciences, 25(5), 2552. https://doi.org/10.3390/ijms25052552

