Runx2 Regulates Galnt3 and Fgf23 Expressions and Galnt3 Decelerates Osteoid Mineralization by Stabilizing Fgf23
Abstract
1. Introduction
2. Results
2.1. Runx2 and Galnt3 Are Expressed in Osteoblasts and Osteocytes, and Fgf23 Is Expressed in Osteocytes
2.2. Runx2 Regulates Galnt3 and Fgf23 Expressions in Osteoblast Lineage Cells
2.3. Runx2 Directly Regulates Galnt3 Expression
2.4. The Expressions of Galnt3 and Fgf23 Were Reduced in Runx2fl/flCre Mice
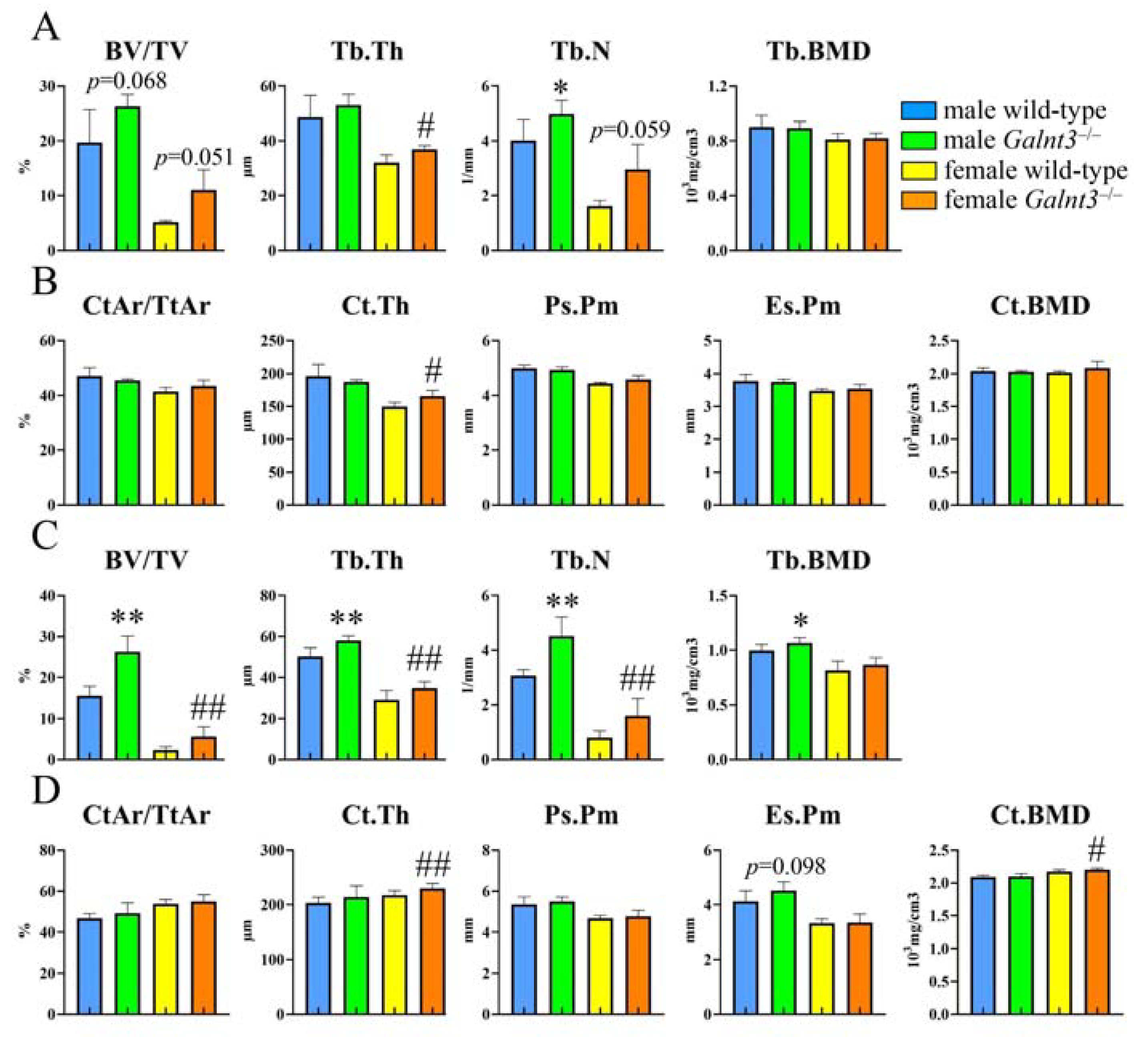
2.5. Trabecular Bone Volume in Galnt3−/− Mice Was Higher Than That in Wild-Type Mice in Both Males and Females at 30 Weeks of Age
2.6. The Serum Levels of Osteocalcin and TRAP5b Were Similar between Wild-Type and Galnt3−/− Mice, Those of Phosphorus and Calcium Were Increased, and Those of Intact Fgf23 Were Reduced in Both Males and Females
3. Discussion
4. Materials and Methods
4.1. Mice
4.2. Cell Culture
4.3. Real-Time RT-PCR Analyses
4.4. Reporter Assays
4.5. ChIP Assay
4.6. Micro-CT Analyses
4.7. Serum Test
4.8. Measurement of Calcium and Phosphorus in Dry Kidney
4.9. Statistical Analysis
5. Conclusions
Supplementary Materials
Author Contributions
Funding
Institutional Review Board Statement
Informed Consent Statement
Data Availability Statement
Acknowledgments
Conflicts of Interest
References
- Komori, T. Whole Aspect of Runx2 Functions in Skeletal Development. Int. J. Mol. Sci. 2022, 23, 5776. [Google Scholar] [CrossRef]
- Takeda, S.; Bonnamy, J.P.; Owen, M.J.; Ducy, P.; Karsenty, G. Continuous expression of Cbfa1 in nonhypertrophic chondrocytes uncovers its ability to induce hypertrophic chondrocyte differentiation and partially rescues Cbfa1-deficient mice. Genes. Dev. 2001, 15, 467–481. [Google Scholar] [CrossRef]
- Yoshida, C.A.; Kawane, T.; Moriishi, T.; Purushothaman, A.; Miyazaki, T.; Komori, H.; Mori, M.; Qin, X.; Hashimoto, A.; Sugahara, K.; et al. Overexpression of Galnt3 in Chondrocytes Resulted in Dwarfism Due to the Increase of Mucin-type O-Glycans and Reduction of Glycosaminoglycans. J. Biol. Chem. 2014, 289, 26584–26596. [Google Scholar] [CrossRef]
- Bennett, E.P.; Mandel, U.; Clausen, H.; Gerken, T.A.; Fritz, T.A.; Tabak, L.A. Control of mucin-type O-glycosylation: A classification of the polypeptide GalNAc-transferase gene family. Glycobiology 2012, 22, 736–756. [Google Scholar] [CrossRef] [PubMed]
- Frishberg, Y.; Topaz, O.; Bergman, R.; Behar, D.; Fisher, D.; Gordon, D.; Richard, G.; Sprecher, E. Identification of a recurrent mutation in GALNT3 demonstrates that hyperostosis-hyperphosphatemia syndrome and familial tumoral calcinosis are allelic disorders. J. Mol. Med. 2005, 83, 33–38. [Google Scholar] [CrossRef]
- Frishberg, Y.; Ito, N.; Rinat, C.; Yamazaki, Y.; Feinstein, S.; Urakawa, I.; Navon-Elkan, P.; Becker-Cohen, R.; Yamashita, T.; Araya, K.; et al. Hyperostosis-hyperphosphatemia syndrome: A congenital disorder of O-glycosylation associated with augmented processing of fibroblast growth factor 23. J. Bone Miner. Res. 2007, 22, 235–242. [Google Scholar] [CrossRef]
- Topaz, O.; Shurman, D.L.; Bergman, R.; Indelman, M.; Ratajczak, P.; Mizrachi, M.; Khamaysi, Z.; Behar, D.; Petronius, D.; Friedman, V.; et al. Mutations in GALNT3, encoding a protein involved in O-linked glycosylation, cause familial tumoral calcinosis. Nat. Genet. 2004, 36, 579–581. [Google Scholar] [CrossRef]
- Ichikawa, S.; Baujat, G.; Seyahi, A.; Garoufali, A.G.; Imel, E.A.; Padgett, L.R.; Austin, A.M.; Sorenson, A.H.; Pejin, Z.; Topouchian, V.; et al. Clinical variability of familial tumoral calcinosis caused by novel GALNT3 mutations. Am. J. Med. Genet. A 2010, 152A, 896–903. [Google Scholar] [CrossRef]
- Sitara, D.; Razzaque, M.S.; St-Arnaud, R.; Huang, W.; Taguchi, T.; Erben, R.G.; Lanske, B. Genetic ablation of vitamin D activation pathway reverses biochemical and skeletal anomalies in Fgf-23-null animals. Am. J. Pathol. 2006, 169, 2161–2170. [Google Scholar] [CrossRef] [PubMed]
- Fukumoto, S.; Takashi, Y.; Tsoumpra, M.K.; Sawatsubashi, S.; Matsumoto, T. How do we sense phosphate to regulate serum phosphate level? J. Bone Miner. Metab. 2020, 38, 1–6. [Google Scholar] [CrossRef] [PubMed]
- Ichikawa, S.; Sorenson, A.H.; Austin, A.M.; Mackenzie, D.S.; Fritz, T.A.; Moh, A.; Hui, S.L.; Econs, M.J. Ablation of the Galnt3 gene leads to low-circulating intact fibroblast growth factor 23 (Fgf23) concentrations and hyperphosphatemia despite increased Fgf23 expression. Endocrinology 2009, 150, 2543–2550. [Google Scholar] [CrossRef] [PubMed]
- Ichikawa, S.; Gray, A.K.; Padgett, L.R.; Reilly, A.M.; Unsicker, T.R. High dietary phosphate intake induces development of ectopic calcifications in a murine model of familial tumoral calcinosis. J. Bone Miner. Res. 2014, 29, 2017–2023. [Google Scholar] [CrossRef] [PubMed]
- Miyazaki, T.; Mori, M.; Yoshida, C.A.; Ito, C.; Yamatoya, K.; Moriishi, T.; Kawai, Y.; Komori, H.; Kawane, T.; Izumi, S.; et al. Galnt3 deficiency disrupts acrosome formation and leads to oligoasthenoteratozoospermia. Histochem. Cell Biol. 2013, 139, 339–354. [Google Scholar] [CrossRef] [PubMed]
- Ichikawa, S.; Gray, A.K.; Padgett, L.R.; Allen, M.R.; Clinkenbeard, E.L.; Sarpa, N.M.; White, K.E.; Econs, M.J. Genetic rescue of glycosylation-deficient Fgf23 in the Galnt3 knockout mouse. Endocrinology 2014, 155, 3891–3898. [Google Scholar] [CrossRef] [PubMed]
- Chapman, J.R.; Waldenström, J. With Reference to Reference Genes: A Systematic Review of Endogenous Controls in Gene Expression Studies. PLoS ONE 2015, 10, e0141853. [Google Scholar] [CrossRef]
- Shimada, T.; Kakitani, M.; Yamazaki, Y.; Hasegawa, H.; Takeuchi, Y.; Fujita, T.; Fukumoto, S.; Tomizuka, K.; Yamashita, T. Targeted ablation of Fgf23 demonstrates an essential physiological role of FGF23 in phosphate and vitamin D metabolism. J. Clin. Investig. 2004, 113, 561–568. [Google Scholar] [CrossRef]
- Sitara, D.; Razzaque, M.S.; Hesse, M.; Yoganathan, S.; Taguchi, T.; Erben, R.G.; Juppner, H.; Lanske, B. Homozygous ablation of fibroblast growth factor-23 results in hyperphosphatemia and impaired skeletogenesis, and reverses hypophosphatemia in Phex-deficient mice. Matrix Biol. 2004, 23, 421–432. [Google Scholar] [CrossRef]
- Fukumoto, S. FGF23-related hypophosphatemic rickets/osteomalacia: Diagnosis and new treatment. J. Mol. Endocrinol. 2021, 66, R57–R65. [Google Scholar] [CrossRef]
- Sitara, D.; Kim, S.; Razzaque, M.S.; Bergwitz, C.; Taguchi, T.; Schuler, C.; Erben, R.G.; Lanske, B. Genetic evidence of serum phosphate-independent functions of FGF-23 on bone. PLoS Genet. 2008, 4, e1000154. [Google Scholar] [CrossRef]
- Boyce, R.W.; Weisbrode, S.E. Effect of dietary calcium on the response of bone to 1,25 (OH)2D3. Lab. Investig. 1983, 48, 683–689. [Google Scholar]
- Gunness-Hey, M.; Hock, J.M.; Gera, I.; Fonseca, J.; Poser, J.; Bevan, J.; Raisz, L.G. Human Parathyroid Hormone (1-34) and Salmon Calcitonin Do Not Reverse Impaired Mineralization Produced by High Doses of 1,25 Dihydroxyvitamin D3. Calcif. Tissue Int. 1986, 38, 234–238. [Google Scholar] [CrossRef] [PubMed]
- Krane, S.M.; Inada, M. Matrix metalloproteinases and bone. Bone 2008, 43, 7–18. [Google Scholar] [CrossRef] [PubMed]
- Gimblet, E.G.; Marney, A.F.; Bonsnes, R.W. Determination of calcium and magnesium in serum, urine, diet, and stool by atomic absorption spectrophotometry. Clin. Chem. 1967, 13, 204–214. [Google Scholar] [CrossRef] [PubMed]
- Gomori, G. Modification of colorimetric phosphorus determination of use with photoelectric colorimeter. J. Lab. Clin. Med. 1942, 17, 955–960. [Google Scholar]









Disclaimer/Publisher’s Note: The statements, opinions and data contained in all publications are solely those of the individual author(s) and contributor(s) and not of MDPI and/or the editor(s). MDPI and/or the editor(s) disclaim responsibility for any injury to people or property resulting from any ideas, methods, instructions or products referred to in the content. |
© 2024 by the authors. Licensee MDPI, Basel, Switzerland. This article is an open access article distributed under the terms and conditions of the Creative Commons Attribution (CC BY) license (https://creativecommons.org/licenses/by/4.0/).
Share and Cite
Jiang, Q.; Qin, X.; Moriishi, T.; Fukuyama, R.; Katsumata, S.; Matsuzaki, H.; Komori, H.; Matsuo, Y.; Sakane, C.; Ito, K.; et al. Runx2 Regulates Galnt3 and Fgf23 Expressions and Galnt3 Decelerates Osteoid Mineralization by Stabilizing Fgf23. Int. J. Mol. Sci. 2024, 25, 2275. https://doi.org/10.3390/ijms25042275
Jiang Q, Qin X, Moriishi T, Fukuyama R, Katsumata S, Matsuzaki H, Komori H, Matsuo Y, Sakane C, Ito K, et al. Runx2 Regulates Galnt3 and Fgf23 Expressions and Galnt3 Decelerates Osteoid Mineralization by Stabilizing Fgf23. International Journal of Molecular Sciences. 2024; 25(4):2275. https://doi.org/10.3390/ijms25042275
Chicago/Turabian StyleJiang, Qing, Xin Qin, Takeshi Moriishi, Ryo Fukuyama, Shinichi Katsumata, Hiroshi Matsuzaki, Hisato Komori, Yuki Matsuo, Chiharu Sakane, Kosei Ito, and et al. 2024. "Runx2 Regulates Galnt3 and Fgf23 Expressions and Galnt3 Decelerates Osteoid Mineralization by Stabilizing Fgf23" International Journal of Molecular Sciences 25, no. 4: 2275. https://doi.org/10.3390/ijms25042275
APA StyleJiang, Q., Qin, X., Moriishi, T., Fukuyama, R., Katsumata, S., Matsuzaki, H., Komori, H., Matsuo, Y., Sakane, C., Ito, K., Hojo, H., Ohba, S., & Komori, T. (2024). Runx2 Regulates Galnt3 and Fgf23 Expressions and Galnt3 Decelerates Osteoid Mineralization by Stabilizing Fgf23. International Journal of Molecular Sciences, 25(4), 2275. https://doi.org/10.3390/ijms25042275

