Sex-Specific Effects of Long-Term Antipsychotic Drug Treatment on Adipocyte Tissue and the Crosstalk to Liver and Brain in Rats
Abstract
1. Introduction
2. Results
2.1. Effect of Haloperidol and Clozapine on Percentage Body Weight Gain after 12-Week Treatment of Clozapine and Haloperidol on Male and Female Sprague Dawley Rats
2.2. Effect of Haloperidol and Clozapine on Adipocyte Mass, Neutral Fat Content, Adipocyte Area Value, and Ferric Iron Content of Perirenal VAT
2.3. Effect of Haloperidol and Clozapine on Triglycerides, and NEFAs in Rat Perirenal Adipose Tissue as Well as Serum Cholesterol/HDL Ratio and LDL/HDL Ratio, and Hepatic Chol/HDL Ratio
2.4. Effect of Haloperidol and Clozapine on Glucose, Glycogen, and Lactate Contents in Rat Perirenal VAT
2.5. Effect of Haloperidol and Clozapine on Oxidative Stress of Rat Perirenal VAT and on Plasma Estrogen Level in Female Rats
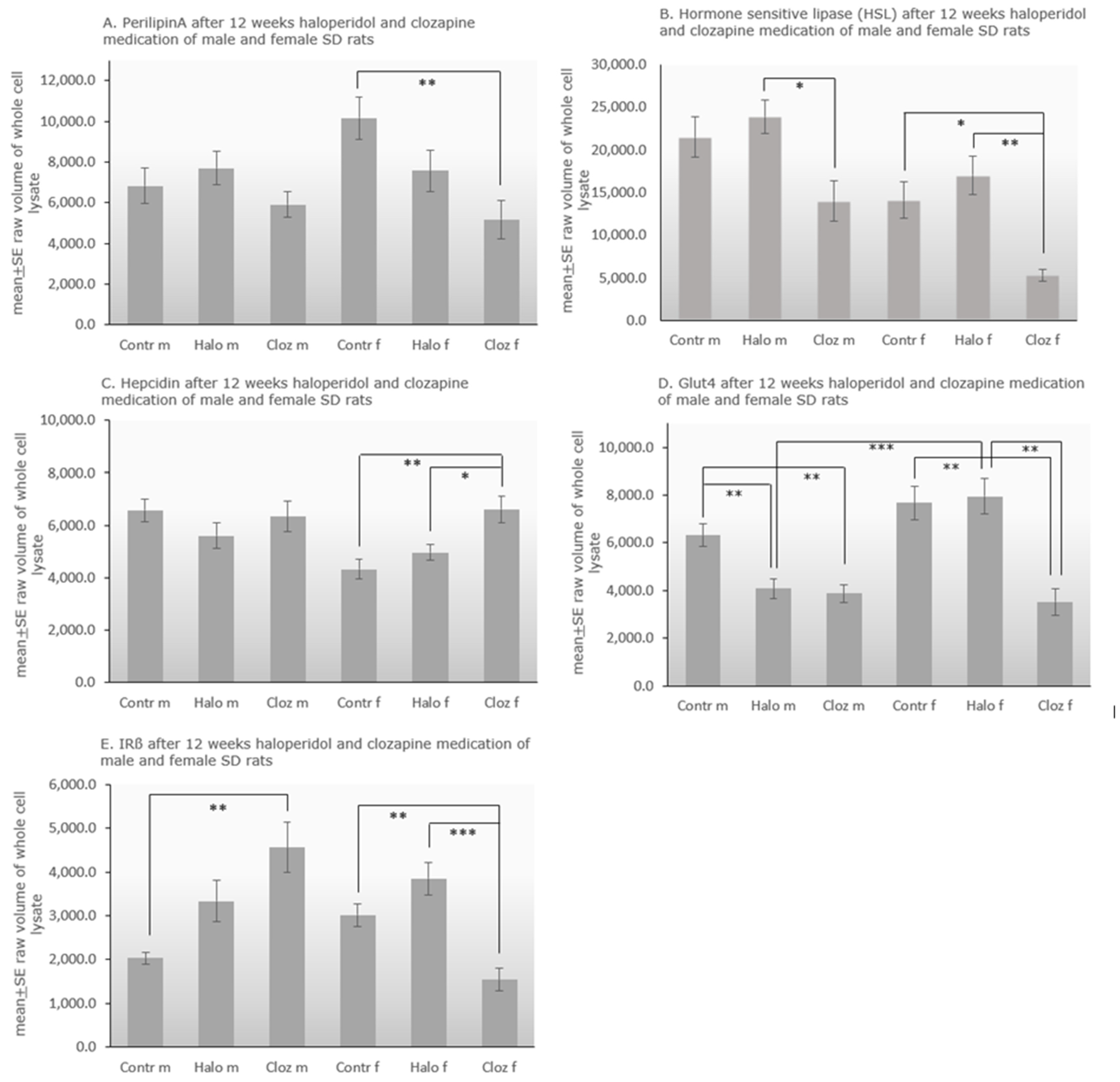
2.6. Protein Expression of Perilipin-A, HSL, Hepcidin, Glut-4, IR-ß in Perirenal Adipocytes of Haloperidol- and Clozapine-Medicated Rat
3. Discussion
Limitations
4. Methods
4.1. Ethics Statement
4.2. Experimental Design
4.3. Determination of Percentage Weight, Neutral Fat Content and Adipocyte Area Value
4.4. Determination of Ferric Iron by Perl’s Prussian Blue Staining of Frozen Fat Tissue Sections
4.5. Determination of Triglycerides and Non-Esterified Fatty Acids (NEFAs) in Adipocytes, Cholesterol/HDL-Cholesterol Ratio in Liver and Serum, and LDL-Cholesterol/HDL-Cholesterol Ratio in Serum
4.6. Determination of Glucose, Glycogen, and Lactate in Lysates of Fat Tissue
4.7. Determination of Oxidative Stress in Perirenal Fat of All Rats and of Estrogen Levels in Serum
4.8. Western Blot Analysis of Adipocyte Lysates of the Drug-Medicated Rats and Controls
4.9. Statistical Analysis
5. Conclusions
Supplementary Materials
Author Contributions
Funding
Institutional Review Board Statement
Informed Consent Statement
Data Availability Statement
Acknowledgments
Conflicts of Interest
Abbreviations
References
- Dayabandera, M.; Hanwella, R.; Ratnatunga, S.; Seneviratne, S.; Suraweera, C.; de Silva, V.A. Antipsychotic-associated weight gain: Management strategies and impact on treatment adherence. Neuropsychiatr. Dis. Treat. 2017, 13, 2231–2241. [Google Scholar] [CrossRef]
- Alonso-Pedrero, L.; Bes-Rastrollo, M.; Marti, A. Effects of antidepressant and antipsychotic use on weight gain: A systematic review. Obesity Rev. 2019, 20, 1680–1690. [Google Scholar] [CrossRef]
- Ferreira, V.; Grajales, D.; Valverde, A.M. Adipose tissue as a target for second generation (atypical) antipsychotics: A molecular review. BBA Mol. Cell Biol. Lipids 2020, 1865, 158534. [Google Scholar] [CrossRef]
- Spalding, K.L.; Arner, E.; Westermark, P.O.; Bernard, S.; Buchholz, B.A.; Bergmann, O.; Blomquist, L.; Hoffstedt, J.; Näslund, E.; Britton, T.; et al. Dynamics of fat cell turnover in human. Nature 2008, 453, 783–787. [Google Scholar] [CrossRef]
- Vestri, H.S.; Maianu, L.; Moellering, D.R.; Garvey, W.T. Atypical antipsychotic drugs directly impair insulin action in adipocytes: Effects on glucose transport, lipogenesis, and antilipolysis. Neuropsychopharmacology 2006, 32, 765–772. [Google Scholar] [CrossRef] [PubMed]
- Wilson, J.L.; Enriori, P.J. A talk between fat tissue, gut, pancreas and brain to control body weight. Mol. Cell Endocrinol. 2015, 418, 108–119. [Google Scholar] [CrossRef] [PubMed]
- Yang, A.; Mottillo, E.P. Adipocyte lipolysis: From molecular mechanisms of regulation to disease and therapeutics. Biochem. J. 2020, 477, 985–1008. [Google Scholar] [CrossRef] [PubMed]
- Rotondo, F.; Ho-Palma, A.C.; Remesar, X.; Fernandez-Lopez, J.A.; del Mar Romero, M.; Alemany, M. Glycerol is synthesized and secreted by adipocytes to dispose of excess glucose, via glycerogenesis and increased acyl-glycerol turnover. Sci. Rep. 2017, 7, 8983. [Google Scholar] [CrossRef] [PubMed]
- Meyer, L.K.; Ciaraldi, T.P.; Henry, R.R.; Wittgrove, A.C.; Phillips, S.A. Adipose tissue depot and cell size dependency of adiponectin synthesis and secretion in human obesity. Adipocyte 2013, 2, 217–226. [Google Scholar] [CrossRef] [PubMed]
- Chau, Y.Y.; Bandiera, R.; Serrels, A.; Martinez-Estrada, O.M.; Qing, W.; Lee, M.; Slight, J.; Thornburn, A.; Berry, R.; McHaffie, S.; et al. Visceral and subcutaneous fat have different origins and evidence supports a mesothelial source. Nat. Cell Biol. 2014, 16, 367–375. [Google Scholar] [CrossRef] [PubMed]
- Huang, N.; Mao, E.W.; Hou, N.N.; Liu, Y.P.; Han, F.; Sun, X.D. Novel insight into perirenal adipose tissue: A neglected adipose depot linking cardiovascular and chronic kidney disease. World J. Diabetes 2020, 11, 115–125. [Google Scholar] [CrossRef] [PubMed]
- Ibrahim, M.M. Subcutaneous and visceral adipose tissue: Structural and functional differences. Obes. Rev. 2010, 11, 11–18. [Google Scholar] [CrossRef] [PubMed]
- Booth, A.; Magnuson, A.; Fouts, J.; Foster, M.T. Adipose tissue: An endocrine organ playing a role in metabolic regulation. Horm. Mol. Biol. Clin. Investig. 2016, 26, 25–42. [Google Scholar] [CrossRef]
- Friedman, J.M. Leptin and the regulation of body weight. Keio J. Med. 2011, 60, 1–9. [Google Scholar] [CrossRef]
- Stern, J.H.; Rutkowski, J.M.; Scherer, P.E. Adiponectin, leptin, and fatty acids in the maintenance of metabolic homeostasis through adipose tissue crosstalk. Cell Metab. 2016, 23, 770–784. [Google Scholar] [CrossRef] [PubMed]
- Achari, A.E.; Jain, S.K. Adiponectin, a therapeutic target for obesity, diabetes, and endothelial dysfunction. Int. J. Mol. Sci. 2017, 18, 1321. [Google Scholar] [CrossRef]
- Ukkola, O.; Santaniemi, M. Adiponectin: A link between excess adiposity and associated comorbidities? J. Mol. Med. 2002, 80, 606–702. [Google Scholar] [CrossRef]
- Shabalala, S.C.; Dludla, P.V.; Mabasa, L.; Kappo, A.P.; Basson, A.K.; Pheiffer, C.; Johnson, R. The effect of adiponectin in the pathogenesis of non-alcoholic fatty liver desease (NAFDL) and the potential role of polyphenols in the modulation of adiponectin signaling. Biomed. Pharmacother. 2020, 131, 110785. [Google Scholar] [CrossRef]
- Gatselis, N.K.; Ntaios, G.; Makaritsis, K.; Dalekos, G.N. Adiponectin: A key playmaker adipocytokine in non-alcoholic fatty liver disease. Clin. Exp. Med. 2014, 14, 121–131. [Google Scholar] [CrossRef]
- Thompson, N.M.; Gill, D.A.S.; Loveridge, N.; Houstan, P.A.; Robinson, I.C.A.F.; Wells, T. Ghrelin and des-octanoyl ghrelinpromote adipogenesis directly in vivo by a mechanism independent of the type 1a growth hormone secretagogue receptor. Endocrinology 2004, 145, 234–242. [Google Scholar] [CrossRef]
- Miao, H.; Pan, H.; Wang, L.; Yang, H.; Zhu, H.; Gong, F. Ghrelin promotes proliferation and inhibits differentiation of 3L3-L1 and human primary preadipocytes. Front. Physiol. 2019, 10, 1296. [Google Scholar] [CrossRef]
- Carvalho, E.; Schellhorn, S.E.; Zabolotny, J.M.; Martin, S.; Tozzo, E.; Peroni, O.D.; Houseknecht, K.L.; Mundt, A.; James, D.E.; Kahn, B.B. GLUT4 overexpression or deficiency in adipocytes of transgenic mice alters the composition of GLUT4 vesicles and the subcellular localization of GLUT4 and insulin-responsive aminopeptidase. J. Biol. Chem. 2004, 279, 21598–21605. [Google Scholar] [CrossRef]
- von Wilmsdorff, M.; Bouvier, M.L.; Henning, U.; Schmitt, A.; Schneider-Axmann, T.; Gaebel, W. The sex-dependent impact of chronic clozapine and haloperidol treatment on characteristics of the metabolic syndrome in a rat model. Pharmacopsychiatry 2013, 46, 1–9. [Google Scholar] [CrossRef] [PubMed]
- von Wilmsdorff, M.; Bouvier, M.L.; Henning, U.; Schmitt, A.; Schneider-Axmann, T.; Gaebel, W. Sex-dependent metabolic alterations of rat liver after 12-week exposition to haloperidol or clozapine. Horm. Metab. Res. 2014, 46, 782–788. [Google Scholar] [CrossRef]
- Bouvier, M.L.; Fehsel, K.; Schmitt, A.; Meisenzahl-Lechner, E.; Gaebel, W.; von Wilmsdorff, M. Sex-dependent alterations of dopamine receptor and glucose transporter density in rat hypothalamus under long-term clozapine and haloperidol medication. Brain Behav. 2020, 10, e01694. [Google Scholar] [CrossRef]
- Bouvier, M.L.; Fehsel, K.; Schmitt, A.; Meisenzahl-Lechner, E.; Gaebel, W.; von Wilmsdorff, M. Sex-dependent effects of long-term clozapine or haloperidol medication on red blood cells and liver iron metabolism in Sprague Dawley rats as a model of metabolic syndrome. BMC Pharmacol. Toxicol. 2022, 23, 8. [Google Scholar] [CrossRef] [PubMed]
- Manu, P.; Dima, L.; Shulman, M.; Vancampfort, D.; De Hert, M.; Correll, C.U. Weight gain and obesity in schizophrenia: Epidemiology, pathobiology, and management. Acta Psychiatr. Scand. 2015, 132, 97–108. [Google Scholar] [CrossRef]
- Guo, D.H.; Yamamoto, M.; Hernandez, C.M.; Khodadadi, H.; Baban, B.; Stranahan, A.M. Beige adipocytes mediate the neuroprotective and anti-inflammatory effects of subcutaneous fat in obese mice. Nat. Commun. 2021, 12, 4623. [Google Scholar] [CrossRef] [PubMed]
- Engfeldt, P.; Arner, P. Lipolysis in human adipocytes, effects of cell size, age and regional differences. Horm. Metabol. Res. Suppl. 1988, 19, 26–29. [Google Scholar]
- Perez-Torres, I.; Gutierrez-Alvarez, Y.; Guarner-Lans, V.; Diaz-Diaz, E.; Pech, M.L.; Del Carmen Caballero-Chacon, S. Intra-abdominal fat adipocyte hypertrophy through progressive alteration of lipolysis and lipogenesis in metabolic syndrome rats. Nutrients 2019, 11, 1529. [Google Scholar] [CrossRef]
- Löffler, D.; Landgraf, K.; Körner, A.; Kratzsch, J.; Kirkby, K.C.; Himmerich, H. Modulation of triglyceride accumulation in adipocytes by psychopharmacological agents in vitro. J. Psychiatric Res. 2016, 72, 37–42. [Google Scholar] [CrossRef]
- Sertié, A.L.; May Suzuki, A.; Sertié, R.A.L.; Andreotti, S.; Lima, F.B.; Passos-Bueno, M.R.; Gattaz, W.F. Effects of antipsychotics with different weight gain liabilities on human in vitro models of adipose tissue differentiation and metabolism. Prog. Neuro-Psychopharm. Biol. Psych. 2011, 35, 1884–1890. [Google Scholar] [CrossRef] [PubMed]
- Westerink, J.; Olijhoek, K.; Koppen, A.; Faber, D.R.; Kalkhoven, E.; Monajemi, H.; van Asbeck, B.S.; van der Graaf, Y.; Visseren, F.L.J. The relation between body iron stores and adipose tissue function in patients with manifest vascular disease. Eur. J. Clin. Investig. 2013, 43, 240–1249. [Google Scholar] [CrossRef] [PubMed][Green Version]
- Britton, L.; Jaskowski, L.A.; Bridle, K.; Secondes, E.; Wallace, D.; Santrampurwala, N.; Reiling, J.; Miller, G.; Mangiafico, S.; Andrikopoulos, S.; et al. Ferroportin expression in adipocytes does not contribute to iron homeostasis or metabolic responses to a high calorie diet. Cell Mol. Gastroenterol. Hepatol. 2018, 5, 319–331. [Google Scholar] [CrossRef] [PubMed]
- Zhang, Z.; Funcke, J.B.; Zi, Z.; Zhao, S.; Straub, L.G.; Zhu, Y.; Zhu, Q.; Crewe, C.; An, Y.; Chen, S.; et al. Adipocyte iron levels impinge on a fat-gut crosstalk to regulate intestinal lipid absorption and mediate protection from obesity. Cell Metabol. 2021, 33, 1624–1639.e9. [Google Scholar] [CrossRef] [PubMed]
- Ma, X.; Pham, V.T.; Mori, H.; MacDougald, O.A.; Shah, Y.M.; Bodary, P.F. Iron elevation and adipose tissue remodelling in the epididymal depot of a mouse model of polygenic obesity. PLoS ONE 2017, 12, e179889. [Google Scholar] [CrossRef]
- Lu, M.L.; Wang, T.N.; Lin, T.Y.; Shao, W.C.; Chang, S.H.; Chou, J.Y.; Ho, Y.F.; Liao, Y.T.; Chen, V.C. Differential effects of olanzapine and clozapine on plasma levels of adipocytokines and total ghrelin. Prog. Neuro-Psychopharmacol. Biol. Psychiatry 2015, 58, 47–50. [Google Scholar] [CrossRef] [PubMed]
- Shimizu, H.; Shimomura, Y.; Hayashi, R.; Ohtani, K.; Sato, N.; Futawatari, T.; Mori, M. Serum leptin concentration is associated with total body fat mass, but not abdominal fat distribution. Int. J. Obes. 1997, 21, 536–541. [Google Scholar] [CrossRef] [PubMed]
- Meier, U.; Gressner, A.M. Endocrine regulation of energy metabolism: Review of pathobiochemical and clinical chemical aspects of leptin, ghrelin, adiponectin, and resistin. Clin. Chem. 2004, 50, 1511–1525. [Google Scholar] [CrossRef]
- Fang, H.; Judd, R.L. Adiponectin regulation and function. Compr. Physiol. 2018, 8, 1031–1063. [Google Scholar] [CrossRef]
- Liu, Z.; Cui, C.; Xu, P.; Dang, R.; Cai, H.; Liao, D.; Yang, M.; Feng, Q.; Yan, X.; Jiang, P. Curcumin activates AMPK pathway and regulates lipid metabolism in rats following prolonged clozapine exposure. Front. Neurosci. 2017, 11, 558. [Google Scholar] [CrossRef] [PubMed]
- Canfran-Duque, A.; Casado, M.E.; Pastor, O.; Sanchez-Wandelmer, J.; de la Pena, G.; Lerma, M.; Mariscal, P.; Bracher, F.; Lasuncion, M.A.; Busto, R. Atypical antipsychotics alter cholesterol and fatty acid metabolism in vitro. J. Lipid Res. 2013, 52, 310–324. [Google Scholar] [CrossRef]
- McBride, A.; Ghilagaber, S.; Nikolaev, A.; Hardie, D.G. The glycogen-binding domain on the AMPK beta sununit allows the kinase to act as a glycogen sensor. Cell Metab. 2009, 9, 23–34. [Google Scholar] [CrossRef] [PubMed]
- Izumida, Y.; Yahagi, N.; Takeuchi, Y.; Nishi, M.; Shikama, A.; Takarada, A.; Masuda, Y.; Kubota, M.; Matsuzaka, T.; Nakagawa, Y.; et al. Glycogen shortage during fasting triggers liver-brain-adipose neurocircuitry to facilitate fat utilization. Nat. Commun. 2013, 4, 2316. [Google Scholar] [CrossRef]
- Idonije, O.B.; Festus, O.O.; Akpamu, U.; Ohhiai, O.; Iribhogbe, O.I.; Iyalomhe, G.B.S. A comparative study of the effects of clozapine and risperidone monotherapy on lipid profile in Nigerian patients with schizophrenia. Int. J. Pharmacol. 2012, 8, 169–176. [Google Scholar] [CrossRef]
- Kim, J.H.; Lee, J.O.; Lee, S.K.; Jung, J.; You, G.Y.; Park, S.H.; Park, M.; Kim, S.D.; Kim, H.S. Clozapine activates AMP-activated protein kinase (AMPK) in C2C12 myotube cells and stimulates glucose uptake. Life Sci. 2010, 87, 42–48. [Google Scholar] [CrossRef] [PubMed]
- Li, Y.; Xu, S.; Mihaylova, M.; Zheng, B.; Hou, X.; Jiang, B.; Park, O.; Luo, Z.; Lefai, E.; Shyy, J.; et al. AMPK phosphorylates and inhibits SREBP activity to attenuate hepatic steatosis and atherosclerosis in diet-induced insulin resistant mice. Cell Metab. 2011, 13, 376–388. [Google Scholar] [CrossRef]
- Albaugh, V.L.; Vary, T.C.; Ilkayeva, O.; Wenner, B.R.; Maresca, K.P.; Joyal, J.L.; Breazeale, S.; Elich, T.D.; Lang, C.H.; Lynch, C.J. Atypical antipsychotics rapidly and inappropriately switch peripheral utilization to lipids, impairing metabolic flexibility in rodents. Schizophr. Bull. 2012, 38, 153–166. [Google Scholar] [CrossRef]
- Rodriguez, A. Novel molecular aspects of ghrelin and leptin in the control of adipobiology and the cardiovascular system. Obes. Facts. 2014, 7, 82–95. [Google Scholar] [CrossRef]
- Straub, B.K.; Stoeffel, P.; Heid, H.; Zimbelmann, R.; Schirmacher, P. Differential pattern of lipid droplet-associated proteins and de novo perilipin expression in hepatocyte steatogenesis. Hepatology 2008, 47, 1936–1946. [Google Scholar] [CrossRef]
- Krycer, J.R.; Elkington, S.D.; Diaz-Vegas, A.; Cooke, K.C.; Burchfield, J.G.; Fisher-Wellman, K.H.; Cooney, G.J.; Fazakerley, D.J.; James, D.E. Mitochondrial oxidants, but not respiration, are sensitive to glucose in adipocytes. J. Biol. Chem. 2020, 295, 99–110. [Google Scholar] [CrossRef]
- Murashita, M.; Kusumi, I.; Hosoda, H.; Kangawa, K.; Koyama, T. Acute administration of clozapine concurrently increases blood glucose and circulating plasma ghrelin levels in rats. Psychoneuroendocrinology 2007, 32, 777–784. [Google Scholar] [CrossRef]
- Sasaki, N.; Iwase, M.; Uchizono, Y.; Nakamura, U.; Imoto, H.; Abe, S.; Iida, M. The atypical antipsychotic clozapine impairs insulin secretion by inhibiting glucose metabolism and distal steps in rat pancreatic islets. Diabetologia 2006, 49, 2930–2938. [Google Scholar] [CrossRef]
- Smith, G.C.; Chaussade, C.; Vickers, M.; Jensen, J.; Shepherd, P.R. Atypical antipsychotic drugs induce derangements in glucose homeostasis by acutely increasing glucagon secretion and hepatic glucose output in the rat. Diabetologia 2008, 51, 2309–2317. [Google Scholar] [CrossRef]
- Leguisamo, N.M.; Lehnen, A.M.; Machado, U.F.; Okamoto, M.M.; Markoski, M.M.; Pinto, G.H.; Schaan, B.D. Glut4 content decreases along with insulin resistance and high levels of inflammatory markers in rats with metabolic syndrome. Cardiovascular Diabetology 2012, 11, 100–110. [Google Scholar] [CrossRef]
- Sarvari, A.K.; Vereb, Z.; Uray, I.P.; Fesüs, L.; Balajthy, Z. Atypical antipsychotics induce both proinflammatory and adipogenic gene expression in human adipocytes in vitro. Biochem. Biophys. Res. Commun. 2014, 450, 1383–1389. [Google Scholar] [CrossRef] [PubMed]
- Chadt, A.; Al-Hasani, H. Glucose transporters in adipose tissue, liver, and skeletal muscle in metabolic health and disease. Eur. J. Physiol. 2020, 472, 1273–1298. [Google Scholar] [CrossRef] [PubMed]
- Sorge, S. Der Einfluss des Atypischen Neuroleptikums Clozapin auf das Verhalten und das Immunsystem der Ratte. Doctoral Thesis, Technical University of Munich, Munich, Germany, 2003. Available online: https://nbn-resolving.de/urn/resolver.pl?urn:nbn:de:bvb:91-diss2003121611089 (accessed on 7 February 2024).
- Cooper, G.D.; Harrold, J.A.; Halford, J.C.G.; Goudie, A.J. Chronic clozapine treatment in female rats does not induce weight gain or metabolic abnormalities but enhances adiposity: Implications for animal models of antipsychotic-induced weight gain. Prog. Neuropsychopharmacol. Biol. Psychiatry 2008, 32, 428–436. [Google Scholar] [CrossRef] [PubMed]
- Chusyd, D.E.; Wang, D.; Huffman, D.M.; Nagy, T.R. Relationships between rodent white adipose fat pads and human white adipose fat depots. Front. Nutr. 2016, 3, 10. [Google Scholar] [CrossRef] [PubMed]
- Palmer, B.F.; Clegg, D.J. The sexual dimorphism of obesity. Mol. Cell Endocrinol. 2015, 402, 113–119. [Google Scholar] [CrossRef]
- Romeis, B. Mikroskopische Technik, 17th ed.; Böck, P., Ed.; München—Wien—Baltimore 1989; Urban und Schwarzenberg: Munich, Germany, 2001; ISBN 3-541-11227-1. [Google Scholar]
- Ohkawa, H.; Ohishi, N.; Yagi, K. Assay for lipid peroxides in animal tissues by thiobarbituric acid reaction. Analyt Biochem. 1979, 95, 351–358. [Google Scholar] [CrossRef] [PubMed]
- Romero-Calvo, I.; Ocon, B.; Martinez-Moya, P.; Suarez, M.D.; Zarzuelo, A.; Martinet-Augustin, O.; de Medina, F.S. Reversible Ponceau staining as a loading control alternative to actin in Western blots. Anal. Biochem. 2010, 401, 318–320. [Google Scholar] [CrossRef] [PubMed]




| Contr m | Halo m | Cloz m | Contr f | Halo f | Cloz f | ||
|---|---|---|---|---|---|---|---|
| adipocytes | percentage weight gain | 149.9 ± 10.0 | 128.6 ± 11.7 | 162.8 ± 8.9 * | 63.6 ± 5.3 | 47.3 ± 3.8 | 54.6 ± 4.4 |
| adipocytes mass [g] | 27.55 ± 2.38 | 22.73 ± 2.60 | 36.13 ± 1.89 * | 13.29 ± 1.34 | 12.35 ± 1.07 | 14.07 ± 0.81 | |
| neutral fat content [g/g fat tissue] | 0.51 ± 0.04 | 0.58 ± 0.05 | 0.43 ± 0.02 | 0.33 ± 0.06 | 0.41 ± 0.04 | 0.36 ± 0.04 | |
| adipocytes area value [µm2] | 1,475,632 ± 100,845 | 1,342,769 ± 86,813 | 1,635,892 ± 88,177 | 1,115,800 ± 62,396 | 1,109,041 ± 63,796 | 1,230,149 ± 74,687 | |
| triglycerides [mg/dl] | 236.7 ± 19.5 | 190.0 ± 11.2 | 222.9 ± 19.8 | 268.6 ± 19.9 | 258.8 ± 26.6 | 237.6 ± 26.7 | |
| NEFAs [mmol/L] | 0.54 ± 0.04 | 0.41 ± 0.01 * | 0.47 ± 0.04 | 0.55 ± 0.02 | 0.52 ± 0.03 | 0.56 ± 0.04 | |
| glucose [ng/µL] | 15.71 ± 2.2 | 12.13 ± 2.4 | 11.89 ± 2.0 | 13.99 ± 1.9 | 12.69 ± 1.6 | 12.52 ± 2.3 | |
| glycogen [µg/mL] | 7.62 ± 1.36 | 4.80 ± 0.70 | 6.51 ± 0.78 | 6.43 ± 1.36 | 8.68 ± 1.40 | 11.31 ± 1.82 | |
| lactate [mmol/L] | 0.69 ± 0.04 | 0.85 ± 0.19 | 0.64 ± 0.04 | 0.73 ± 0.05 | 0.86 ± 0.15 | 0.89 ± 0.09 | |
| malondialdehyde [nm/mL] | 32.72 ± 5.2 | 17.97 ± 2.3 * | 20.76 ± 2.9 | 18.42 ± 3.5 | 21.52 ± 3.7 | 20.83 ± 4.1 | |
| liver | |||||||
| NEFAS [mmol/L] | 6.97 ± 0.33 | 6.46 ± 0.42 | 7.14 ± 0.54 | 7.26 ± 0.28 | 7.48 ± 0.24 | 6.85 ± 0.75 | |
| cholesterol/HDL-cholesterol ratio | 7.73 ± 0.36 | 8.05 ± 0.37 | 8.50 ± 0.38 | 7.33 ± 0.31 | 8.18 ± 0.52 | 7.50 ± 0.58 | |
| lactate [mmol/L] | 0.44 ± 0.03 | 0.47 ± 0.03 | 0.65 ± 0.04 * | 0.82 ± 0.05 | 0.81 ± 0.04 | 0.77 ± 0.05 | |
| pyruvate [mmol/L] | 0.41 ± 0.03 | 0.48 ± 0.04 | 0.57 ± 0.05 * | 0.52 ± 0.09 | 0.56 ± 0.06 | 0.48 ± 0.05 | |
| serum | |||||||
| NEFAS [mmol/L] | 0.61 ± 0.05 | 0.69 ± 0.05 | 0.64 ± 0.06 | 0.70 ± 0.08 | 0.69 ± 0.09 | 0.63 ± 0.04 | |
| cholesterol/HDL-cholesterol ratio | 3.39 ± 0.07 | 3.27 ± 0.07 | 3.86 ± 0.13 * | 3.18 ± 0.08 | 3.07 ± 0.09 | 3.45 ± 1.0 | |
| LDL-cholesterol/HDL ratio-cholesterol | 1.81 ± 0.06 | 1.73 ± 0.11 | 2.28 ± 0.11 * | 1.90 ± 0.09 | 1.77 ± 0.10 | 2.16 ± 0.10 | |
| fasting glucose [ng/µL] | 47.5 ± 5.44 | 64.1 ± 4.58 | 57.2 ± 3.81 | 34.4 ± 1.59 | 40.3 ± 5.45 | 45.4 ± 2.99 ** | |
| lactate [mmol/L] | 2.34 ± 0.22 | 2.48 ± 0.16 | 2.01 ± 0.13 | 2.92 ± 0.16 | 2.81 ± 0.14 | 2.96 ± 0.17 | |
| estrogen [pg/mL] | 132.6 ± 5.0 | 140.1 ± 16.8 | 130.8 ± 7.8 | ||||
Disclaimer/Publisher’s Note: The statements, opinions and data contained in all publications are solely those of the individual author(s) and contributor(s) and not of MDPI and/or the editor(s). MDPI and/or the editor(s) disclaim responsibility for any injury to people or property resulting from any ideas, methods, instructions or products referred to in the content. |
© 2024 by the authors. Licensee MDPI, Basel, Switzerland. This article is an open access article distributed under the terms and conditions of the Creative Commons Attribution (CC BY) license (https://creativecommons.org/licenses/by/4.0/).
Share and Cite
Fehsel, K.; Bouvier, M.-L. Sex-Specific Effects of Long-Term Antipsychotic Drug Treatment on Adipocyte Tissue and the Crosstalk to Liver and Brain in Rats. Int. J. Mol. Sci. 2024, 25, 2188. https://doi.org/10.3390/ijms25042188
Fehsel K, Bouvier M-L. Sex-Specific Effects of Long-Term Antipsychotic Drug Treatment on Adipocyte Tissue and the Crosstalk to Liver and Brain in Rats. International Journal of Molecular Sciences. 2024; 25(4):2188. https://doi.org/10.3390/ijms25042188
Chicago/Turabian StyleFehsel, Karin, and Marie-Luise Bouvier. 2024. "Sex-Specific Effects of Long-Term Antipsychotic Drug Treatment on Adipocyte Tissue and the Crosstalk to Liver and Brain in Rats" International Journal of Molecular Sciences 25, no. 4: 2188. https://doi.org/10.3390/ijms25042188
APA StyleFehsel, K., & Bouvier, M.-L. (2024). Sex-Specific Effects of Long-Term Antipsychotic Drug Treatment on Adipocyte Tissue and the Crosstalk to Liver and Brain in Rats. International Journal of Molecular Sciences, 25(4), 2188. https://doi.org/10.3390/ijms25042188

