Abstract
Miscarriages affect 50–70% of all conceptions and 15–20% of clinically recognized pregnancies. Recurrent pregnancy loss (RPL, ≥2 miscarriages) affects 1–5% of recognized pregnancies. Nevertheless, our knowledge about the etiologies and pathophysiology of RPL is incomplete, and thus, reliable diagnostic/preventive tools are not yet available. Here, we aimed to define the diagnostic value of three placental proteins for RPL: human chorionic gonadotropin free beta-subunit (free-β-hCG), pregnancy-associated plasma protein-A (PAPP-A), and placental growth factor (PlGF). Blood samples were collected from women with RPL (n = 14) and controls undergoing elective termination of pregnancy (n = 30) at the time of surgery. Maternal serum protein concentrations were measured by BRAHMS KRYPTOR Analyzer. Daily multiple of median (dMoM) values were calculated for gestational age-specific normalization. To obtain classifiers, logistic regression analysis was performed, and ROC curves were calculated. There were differences in changes of maternal serum protein concentrations with advancing healthy gestation. Between 6 and 13 weeks, women with RPL had lower concentrations and dMoMs of free β-hCG, PAPP-A, and PlGF than controls. PAPP-A dMoM had the best discriminative properties (AUC = 0.880). Between 9 and 13 weeks, discriminative properties of all protein dMoMs were excellent (free β-hCG: AUC = 0.975; PAPP-A: AUC = 0.998; PlGF: AUC = 0.924). In conclusion, free-β-hCG and PAPP-A are valuable biomarkers for RPL, especially between 9 and 13 weeks. Their decreased concentrations indicate the deterioration of placental functions, while lower PlGF levels indicate problems with placental angiogenesis after 9 weeks.
1. Introduction
Miscarriage is defined as the loss of pregnancy before the 20th week of gestation [1,2], affecting 50–70% of all gestations and 15–20% of clinically recognized pregnancies [3,4,5,6,7,8,9,10,11,12,13,14,15]. Moreover, the risk of miscarriage is directly related to the number of previous miscarriages [14,15,16]. As a consequence, recurrent pregnancy loss (RPL), which is defined by the WHO as the loss of three or more consecutive pregnancies before 20th weeks of gestation [6,10,17,18,19], affects 1–5% of pregnancies [6,10,19,20,21]. As the risk of miscarriage in a subsequent pregnancy is 30% after two pregnancy losses and 33% after three losses [21], the American Society for Reproductive Medicine redefined RPL as two or more failed clinical pregnancies [19,22]. Altogether, RPL has critical importance and enormous demographical, social, psychological, and economic impact [23,24], especially in most developed countries, where a continuous decline in reproductive rates has been observed since the 1960s.
Additional risk factors of RPL include maternal age [10]; genetic- [6,17,25,26,27,28,29,30], endocrine- [6,17,31,32,33,34,35], anatomic- [6,28,36,37,38], immunologic- [6,39,40,41,42,43,44,45], and hemostatic disorders [6,46,47,48,49]; as well as antiphospholipid syndrome [6,17,50,51,52]. However, about half of the cases of RPL have no evident causes and molecular background [6,13,19,22,53]. In light of the syndromic nature of RPL, along with the lack of comprehensive molecular pathophysiology, early and reliable prediction and prevention of RPL are still some of the largest challenges in reproductive medicine.
Currently, the detection of early pregnancy failures includes an ultrasound scan and the determination of maternal blood concentrations of different biomarkers measured either alone or in combinations. However, there is still no unified protocol or agreement on the prediction of RPL. The diagnostic or predictive value of biomarkers related to the underlying primary clinical disease leading to RPL, like immunological, thrombophilia, or endocrine markers [4,53], are limited, and they are not specific to RPL. Protein biomarker studies for RPL have been performed either on non-pregnant women for risk assessment [34,54,55,56,57,58,59,60] or on pregnant women to predict the outcome of the current pregnancy [43,61,62,63,64,65,66,67,68,69,70,71,72,73,74]. However, the results of these studies are conflicting and most often not comparable, mainly because of heterogeneous or inadequate definitions and patient groups, as well as differences in methodologies [75,76].
Altogether, a reliable method to predict RPL with high confidence in the early stage of pregnancy to enable preventive therapies remains elusive. Therefore, investigations on known as well as new and more effective biomarkers are warranted in well-designed studies that apply strict clinical definitions, homogeneous patient groups, and good-quality samples. Standardized sample collection and sample treatment, as well as data evaluation, are also very important to identify better biomarker candidates and to define the exact classifier and predictive values of biomarker proteins. Since placental functions are severely disturbed in miscarriages [77,78,79,80,81,82,83], here, our aim was to determine the changes in concentrations of three known placental biomarker proteins: the free beta-subunit of human chorionic gonadotropin (free β-hCG), pregnancy-associated plasma protein-A (PAPP-A), and placental growth factor (PlGF), and their combinations in women with RPL. Our study utilized samples collected under strict biobanking protocols from homogenous patient groups; immunoassays were performed according to international clinical standards, data were normalized to large population standards, and reliable analytical and bioinformatics methods were used.
2. Results
2.1. The Expression Patterns of hCG, PlGF, and PAPPA Proteins
The genes encoding the hCG, PAPP-A, and PlGF proteins are predominantly expressed in the placenta, based on mRNA expression data for 84 tissue types in the GeneAtlas U133A data set [84,85,86] (Figure 1 and Supplementary Figure S1). The mRNA expression levels of the CGB3, PGF, and PAPPA in placental tissue are 252×, 47×, and 1746× fold larger than the medians of their expression in 83 other tissue types, respectively. The Pearson correlation coefficients between the tissue-wise expression levels of the three genes in all combinations are >0.9.
Figure 1.
(A) The three-dimensional structures of β-hCG (PDB: 1hcn), PAPP-A (PDB: 7ufg), and PlGF (PDB: 1fzv) from the Protein Data Bank. (B) Comparison of the mRNA expression levels of β-HCG (CGB3 gene), PAPP-A (PAPPA gene), and PlGF (PGF gene) in the placenta vs. 83 non-placental tissues from the GeneAtlas U133A data set. The error bars represent the 95% confidence interval of the mean. Human chorionic gonadotropin free beta-subunit, free β-hCG; placental growth factor, PlGF; pregnancy-associated plasma protein A, PAPP-A; placental tissue, P; mean of 83 non-placental tissue, NP.
2.2. Demographic and Clinical Data
Demographic and clinical characteristics of the study groups are displayed in Table 1. Maternal age and gravidity were higher in RPL than in controls. Women had from one to three previous pregnancy losses in the RPL group.
Table 1.
Demographic and clinical data of the study groups.
2.3. Gestational Age-Specific Distribution of Data
Samples were collected between 42 and 91 gestational days in the RPL group and between 35 and 83 gestational days in the control group. Inside of the specified ranges, the distribution of data points is depicted in Figure 2. The daily median reference values of free β-hCG and PAPP-A were available for 49–97 gestational days based on 222,475 patients, and of PlGF, for 56–98 days based on 38,002 patients [87,88]. These daily medians were applied as reference values during gestational age-specific normalization when calculating dMoM values.
Figure 2.
Maternal serum concentrations of free β-hCG, PAPP-A, and PlGF proteins compared to daily median curves. Maternal serum concentrations of free β-hCG (A), PAPP-A (B), and PlGF (C) proteins in the RPL group (n = 14) and the control group (n = 30) were plotted against consensus gestational days. Daily median reference concentrations (green), used for gestational age-specific normalization, were calculated based on Wright et al. [87] for free β-hCG and PAPP-A (n = 222,475), and based on Tsiakkas et al. [88] for PlGF (n = 38,002). The reference values were obtained from Thermo Fisher Scientific. Human chorionic gonadotropin free beta-subunit, free β-hCG; placental growth factor, PlGF; pregnancy-associated plasma protein A, PAPP-A; recurrent pregnancy loss, RPL.
Gestational age-specific normalization was performed because the concentration of each protein varies with gestational age [89]. Daily medians for PAPP-A and PlGF concentrations monotonically increased in the gestational age range for which daily median data were available, while the concentration of free β-hCG first increased and then decreased in the investigated gestational age range, having a maximum value at the 61st day of gestation. The previously published equations [87,88] describing the log10 daily median values for PAPP-A, free β-hCG, and PlGF concentrations as a function of gestational age are:
and
Reference values (daily median curves) are shown as green lines in Figure 2 and are listed in Supplementary Table S1, respectively.
2.4. Maternal Serum Concentrations of Free β-hCG, PAPP-A, and PlGF in RPL and controls
The mean maternal serum concentration of all proteins was lower in RPL compared to controls (free β-hCG RPL: 10.96 IU/L, control: 56.91 IU/L, p = 2.91 × 10−4; PAPP-A RPL: 0.12 IU/L, control: 0.74 IU/L, p = 5.27 × 10−3; PlGF RPL: 16.07 pg/mL, control: 24.32 pg/mL, p = 0.0106). After gestational age-specific normalization, PAPP-A and PlGF but not free β-hCG dMoMs had more significant differences between the groups than concentrations (free β-hCG RPL: 0.18, control: 1.13, p = 4.61 × 10−4, Figure 3A; PAPP-A RPL: 0.39, control: 1.66, p = 9.13 × 10−5, Figure 3D; PlGF RPL: 1.01, control: 1.52, p = 5.27 × 10−3, Figure 3G).
Figure 3.
Box plots for free β-hCG, PAPP-A, and PlGF dMoMs in the study groups. Box plots represent dMoM values of free β-hCG protein in the RPL (n = 13) and control (n = 25) groups in the whole gestational range (A), between 6 and 9 weeks of gestation (RPL: n = 8, control: n = 13) (B), and between 9 and 13 weeks of gestation (RPL: n = 5, control: n = 12) (C), PAPP-A protein in the RPL (n = 13) and control (n = 25) groups in the whole gestational range (D), between 6 and 9 weeks of gestation (RPL: n = 8, control: n = 13) (E), and between 9 and 13 weeks of gestation (RPL: n = 5, control: n = 12) (F), PlGF protein in the RPL (n = 12) and control (n = 20) groups in the whole gestational range (G), between 6 and 9 weeks of gestation (RPL: n = 7, control: n = 8) (H), and between 9 and 13 weeks of gestation (RPL: n = 5, control: n = 12) (I). Significance levels denoted as follows: ns: p > 0.05, *: p < 0.05, **: p < 0.01, ***: p < 0.001. Daily multiple of median, dMoM; human chorionic gonadotropin free beta-subunit, free β-hCG; placental growth factor, PlGF; pregnancy-associated plasma protein A, PAPP-A; recurrent pregnancy loss, RPL.
Since the concentrations of these proteins change during normal pregnancy, we hypothesized that these gestational age-dependent changes also occur in RPL. Therefore, we analyzed the data in two gestational age ranges, between 6 and 9 and between 9 and 13 weeks.
Between 6 and 9 weeks, the mean maternal serum concentration of free β-hCG (RPL: 15.70 IU/L, control: 52.75 IU/L, p = 0.0380) and dMoM (RPL: 0.32, control: 0.91, p = 0.0186, Figure 3B) were lower in RPL compared to controls. The mean maternal serum concentration of PAPP-A (RPL: 0.08 IU/L, control: 0.17 IU/L, p = 0.0646) was not different, while PAPP-A dMoM (RPL: 0.41, control: 1.77, p = 5.45 × 10−3, Figure 3E) was lower in RPL compared to controls. The mean maternal serum concentration of PlGF (RPL: 16.42 pg/mL, control: 22.12 pg/mL, p = 0.244) and dMoM (RPL: 1.41, control: 1.85, p = 0.0584, Figure 3H) were not different in RPL compared to controls.
Between 9 and 13 weeks, the mean maternal serum concentration of all proteins was lower in RPL compared to controls (free β-hCG RPL: 2.17 IU/L, control: 79.04 IU/L, p = 9.37 × 10−4; PAPP-A RPL: 0.63 IU/L, control: 1.81 IU/L, p = 3.60 × 10−3; PlGF RPL: 12.20 pg/mL, control: 27.61 pg/mL, p = 6.59 × 10−3). Also, dMoM values of all proteins were lower in RPL compared to controls (free β-hCG RPL: 0.05, control: 1.2, p = 9.37 × 10−4, Figure 3C; PAPP-A RPL: 0.26, control: 1.39, p = 9.37 × 10−4, Figure 3F; PlGF RPL: 0.6, control: 1.28, p = 2.61 × 10−3, Figure 3I).
2.5. Discriminative Properties of Biomarker Proteins
Table 2, Table 3, Table 4 and Table 5 contain area under the curve (AUC), as well as sensitivities (true-positive rates), at 5% and 10% false-positive rate (FPR) values averaged over 50 runs of five-fold cross-validation, characterizing the discriminative value of proteins or their combinations. AUC, as well as sensitivities at 5% and 10% FPR values, were calculated both for serum concentrations and dMoM values.
Table 2.
Discriminative values of placental biomarker proteins.
Table 3.
Discriminative values of placental biomarker proteins in the gestational age range of 6–9 weeks.
Table 4.
Discriminative values of placental biomarker proteins in the gestational age range of 9–13 weeks.
Table 5.
Discriminative values of placental biomarker protein combinations for the 6–13 gestational week period.
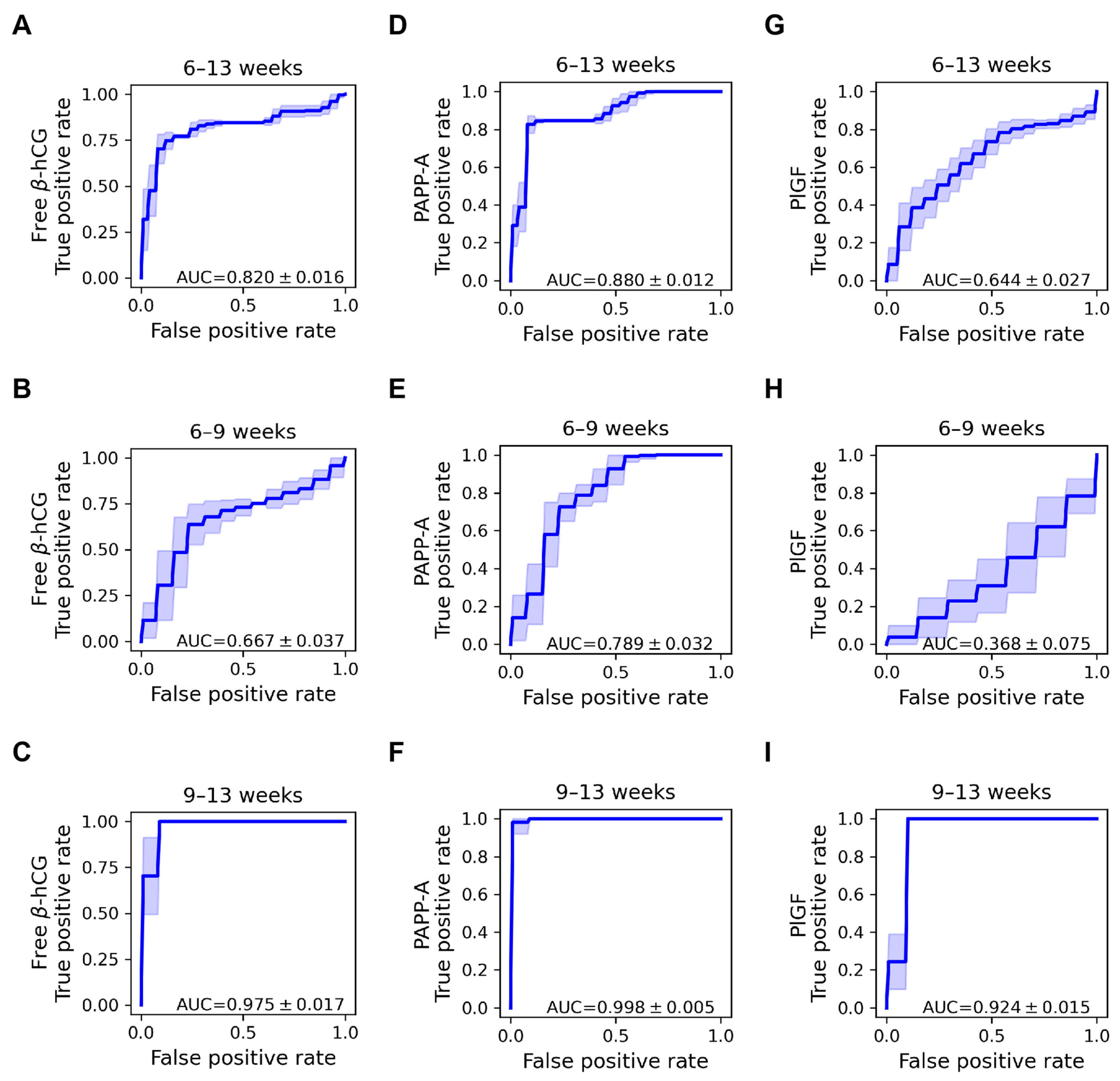
When looking at the whole gestational age range at the single protein level (Table 2), the discriminative value of PAPP-A dMoM (AUC = 0.880, Figure 4D) was the highest, and the value of free β-hCG dMoM was relatively high as well (AUC = 0.820, Figure 4A). At the protein combination level, the discriminative values of PAPP-A dMoMs (AUC = 0.865, 0.867, 0.846, Figure 5, Table 5) were the highest. Overall, the classifier property of PAPP-A dMoM as a single protein was better than any of its combinations. In this regard, PlGF dMoM as a single protein was much less valuable (AUC = 0.644, Figure 4G), and PlGF reduced the overall discriminative value in all combinations of dMoMs (Table 5).
Figure 4.
Receiver operating characteristic curves of free β-hCG, PAPP-A, and PlGF proteins in the classification of recurrent pregnancy loss. ROC curves were calculated using logistic regression analysis for log2 dMoM values of free β-hCG (A–C), PAPP-A (D–F), and PlGF (G–I) across the entire gestational age range (A,D,G), between 6 and 9 gestational weeks (B,E,H), and between 9 and 13 gestational weeks (C,F,I). The average ROC curves were obtained by averaging sensitivities at different false-positive rate values. Areas between the average TPR ± 1 standard deviation are also shown. Area under the curve, AUC; base two logarithm of daily multiple of medians, log2 dMoM; human chorionic gonadotropin free beta-subunit, free β-hCG; Placental growth factor, PlGF; pregnancy-associated plasma protein A, PAPP-A; receiver operating characteristic curve, ROC; true-positive rate, TPR.
Figure 5.
Receiver operating characteristic curves of protein combinations in the classification of recurrent pregnancy loss. ROC curves were calculated using logistic regression analysis for log2 dMoM values of different biomarker protein combinations in the whole gestational age range: free β-hCG and PAPP-A (A), free β-hCG and PlGF (B), PAPP-A and PlGF (C), as well as free β-hCG, PAPP-A, and PlGF (D). The average ROC curves were obtained by averaging sensitivities at different false-positive rate values. Areas between the average TPR ± 1 standard deviation are also shown. Area under the curve, AUC; base two logarithm of daily multiple of medians, log2 dMoM; human chorionic gonadotropin free beta-subunit, free β-hCG; placental growth factor, PlGF; pregnancy-associated plasma protein A, PAPP-A; receiver operating characteristic curve, ROC; true-positive rate, TPR.
Between 6 and 9 weeks, the classifier properties of all proteins were poorer than for the whole gestational age range (Table 3). Briefly, PAPP-A dMoM was also the best (AUC = 0.789, Figure 4E), free β-hCG had modest discriminative values (AUC = 0.667, Figure 4B), while PlGF was a poor classifier (AUC = 0.368, Figure 4H).
Between 9 and 13 weeks, the classifier properties (Table 4) of all dMoMs were excellent (free β-hCG: AUC = 0.975, Figure 4C; PAPP-A: AUC = 0.998, Figure 4F; PlGF: AUC = 0.924, Figure 4I). In accordance, we also found that the likelihood ratios were diagnostically relevant in this interval, especially in the case of dMoMs at 10% FPR (positive likelihood ratio: 10.0, negative likelihood ratio: 0.00, respectively).
Table 6 shows all models trained on intensities or dMoM values of proteins and their various combinations.
Table 6.
Discriminative models are built using different proteins and protein combinations.
3. Discussion
3.1. Principal Findings of the Study
(1) We corroborated earlier findings that serum concentration of free β-hCG declines after an initial increase, while the concentration of PAPP-A and PlGF monotonically increases with gestational age in the first trimester. (2) Maternal serum concentrations and gestational age-specific dMoMs of all three proteins were lower in RPL compared to controls. (3) The highest discriminative value was found for PAPP-A dMoM, both as a single analyte and in combination with other proteins within the entire gestational age range. (4) Serum concentrations and dMoMs of free β-hCG, PAPP-A, and PlGF had a larger difference between cases and controls between 9 and 13 weeks of gestation. (5) Within this period, all three proteins had excellent classifier properties for RPL.
3.2. Placenta-Specific Proteins
The placenta has a key role in maintaining pregnancy and supporting the developing fetus in many ways, for example, by providing nutrition, gas, and waste exchange, as well as hormonal and immunological regulation [90,91,92,93]. The failure of placental functions has a central role in the pathogenesis of many pregnancy complications such as preeclampsia [77,86,94,95,96,97,98,99,100], miscarriage [77,78,79,80,81,82,83], and RPL [83,101,102,103]. Therefore, the non-invasive monitoring of placental functions is of major importance in the early detection and prediction of these diseases. Since the early attempts of pioneers in this field in the 1960s and 1970s [104], placental functions have been evaluated by measuring placental proteins in maternal circulation. By the meticulous work of Dr. Hans Bohn and his peers, several dozens of high-abundance proteins were purified from the placenta, and antisera were raised against them, which enabled the construction of immunoassays for their measurement in circulation [104]. Of importance, due to recent technological developments, proteomics technologies have enabled the parallel investigation of thousands of proteins in the placenta and their entering into maternal blood. Indeed, the Human Protein Atlas shows that 64% (n = 13,003) of all human proteins (n = 20,162) are expressed in the placenta [105], and a lot of them are secreted into the maternal circulation as hormones, growth factors, and immune and other proteins that play a major role in the resetting of the maternal metabolic and immune homeostasis [104,106,107,108,109,110,111,112].
Many of these proteins are specific for the placenta, and thus, they are of paramount importance for the specific monitoring of placental functions in the maternal blood, similar to liquid biopsy of tumors [113,114,115,116]. A set of placenta-specific proteins was recently defined as proteins encoded by predominantly placenta-expressed genes by Than et al. [86] and Szilagyi et al. [85]. Our previous results confirmed that the impairment of placental functions is usually associated with the altered expression of placenta-specific proteins [104,117,118,119,120,121,122,123,124,125]. Therefore, assaying maternal blood for these placenta-specific proteins may provide information about the actual condition of the placenta in pregnancy complications (Figure 6). Of these 164 placenta-specific proteins, here, we examined free β-hCG, PAPP-A, and PlGF since these have already been used in clinical practice for the screening of preeclampsia and fetal trisomies [126,127,128,129,130,131,132,133,134,135,136,137,138].
Figure 6.
In certain placental diseases, such as recurrent pregnancy loss, there are decreased amounts of some placental proteins (e.g., β-hCG, PAPP-A, PlGF) in the maternal circulation, offering liquid-biopsy-based diagnostic potential for disease development. Human chorionic gonadotropin free beta-subunit, free β-hCG; placental growth factor, PlGF; pregnancy-associated plasma protein A, PAPP-A.
3.3. Biomarker Proteins in Miscarriage and RPL
HCG is composed of two subunits (α and β) from which β-hCG is placenta-specific. HCG has a central role in the establishment and maintenance of pregnancy by many means, including the stimulation of progesterone production by the corpus luteum [139]. This is the earliest detectable marker of pregnancy [140], and the most often studied protein in the context of the prediction of miscarriage according to the systematic review and meta-analysis by Pillai et al. [141]. However, Pillai et al. also showed that β-hCG has poor sensitivity but high specificity for miscarriage [141]. Of interest, maternal serum concentrations of hCG or β-hCG were found to be reduced in RPL [61,62,63,64,65,67,68].
PAPP-A is also a placenta-specific protein, which has metalloproteinase activity and cleaves insulin-like growth factor-binding protein (IGFBP-4 and IGFBP-5), resulting in the release of bound IGF [142,143,144,145,146]. Pillai et al. reported that PAPP-A has high specificity but poor sensitivity for the prediction of miscarriage [141]. Interestingly, PAPP-A mRNA and protein expression are reduced in decidual cells in RPL [147]. However, contradicting results have been published for maternal blood, as slightly increased maternal serum PAPP-A levels were measured with ELISA in the first trimester in RPL [67], while the proteomic discovery study of maternal serum did not find PAPP-A among differentially expressed proteins in RPL [61].
PlGF is a member of the vascular endothelial growth factor family (VEGF), and by stimulating cell proliferation and migration, it plays an important role in angiogenesis as well as endothelial and tumor cell growth [142,148]. PlGF is also a predominantly placenta-expressed protein, but it is also expressed in the thyroid gland, uterine cervix, uterine, fallopian tube, and other tissues [105,149,150]. At the maternal–fetal interface, PlGF regulates decidual vascularization and angiogenesis in early human pregnancy [151], a process that is altered in different types of miscarriages [152]. However, Plaisier et al. found no significant differences in PlGF expression in the decidua in miscarriage [153]. Of note, maternal serum PlGF concentration was decreased in miscarriages or threatened abortions [154,155,156,157]; however, in the proteomic discovery study of Cui et al., PlGF was not among the differentially expressed proteins in RPL [61]. This is consistent with conflicting results of vascular endothelial growth factor expression in recurrent miscarriage [158].
3.4. Concentration Changes of Biomarker Proteins in RPL
Due to the failing function of the placenta in miscarriages, we expected to detect a decrease in placental protein concentrations in RPL. It was thus not surprising that we found decreased serum concentrations of free β-hCG, PAPP-A, and PlGF when assessing the 6–13 gestational week range. It is known that the concentration of individual placental proteins changes with gestational age in the maternal circulation; therefore, their serum concentration values should be compared to gestational age-matched normal values [159,160,161,162,163,164]. To achieve more accurate comparisons, here, we also performed the normalization of concentration values to population-based standard medians obtained from large patient populations. After the normalization and generation of dMoM values, we observed more significant differences between the groups for PAPP-A and PlGF dMoMs than for their concentrations. In the case of free β-hCG, the effect of normalization made the differences less, but still significant, between the groups. This is certainly due to the wide variation of individual hCG levels in the maternal serum and therefore difficulties in normalization. For example, total hCG values vary by 704-fold in the 5th week of gestation (from 1.86 to 1308 ng/mL) and by 11-fold between the 11th and 13th week of gestation (from 1440 to 15,318 ng/mL [165]. In addition, there are also large differences in hCG levels according to glycosylation status and various isoforms where low hyperglycosylated hCG concentrations are associated with pregnancy failure [166,167].
Since there is a rapid placental development in the first trimester which can be divided into different stages based on various parameters, including placental vascularization [168], trophoblast invasion [169], and others, we took this into account in our further analyses to achieve more accurate gestational age-specific assessments. Importantly, the establishment of placental circulation is limited by the end of the second month to protect the developing embryo and placenta from excessive oxygen exposure during organogenesis, and then placental circulation develops starting from the third month, coinciding with the establishment of the arterial inflow into the intervillous space, typically occurring between 8 and 10 weeks [168,170].
Since these changes must significantly affect the production and transport of these three placental proteins into the maternal circulation, we assessed these proteins in two gestational age sub-ranges, between 6 and 9 weeks and between 9 and 13 weeks. We found that differences in the first range were smaller, while in the second range, they were larger for all biomarker proteins. This is in accord with the lower production and transport of these proteins into the maternal circulation even in normal healthy pregnancies at 6–9 weeks of gestation when placental circulation is not yet established, which leads to smaller differences between cases and controls in this gestational age range.
Nevertheless, it is striking that dMoMs of free β-hCG and PAPP-A were lower already in early RPL cases, while the difference in PlGF dMoM was found only in late first trimester RPL cases. Therefore, the decreased levels of free β-hCG and PAPP-A in early RPL cases may indicate the deterioration of their fundamental placental functions in early RPL, while decreased PlGF level in late RPL cases may indicate that PlGF functions, including angiogenesis, are affected only in pregnancies failing after the second month when placental angiogenesis starts [168]. This phenomenon was also seen in cases of fetal death and stillbirth [171,172], possibly associated with placental bed disorders [173,174,175]. Our data suggest that the pathologic pathways in RPL include the failure of placental functions already in early RPL and the failure of angiogenesis in late RPL.
The biomarker classifier properties of these three proteins, characterized by their AUC and sensitivity (TPR) values, were closely associated with the extent of changes in their serum concentrations and dMoMs in RPL. For the entire gestational age period, the discriminative power of free β-hCG and PAPP-A, alone or in combination, was found to be much better than that of PlGF. Of interest, the best discriminatory values were found for PAPP-A, which was a novel result compared to data in the literature [61,67]. For the 6–9-week range, the classifier properties of PAPP-A were good and modest of free β-hCG, while for the 9–13-week range, all proteins had excellent biomarker properties. The clinical relevance of these investigated proteins between 9 and 13 weeks of gestation is also underscored by their positive and negative likelihood ratios, which exceeded 10 for positive test results and were below 0.2 for negative results, respectively.
3.5. Strengths and Limitations of the Study
The strengths of the study are: (1) strict clinical definitions and homogenous patient groups; (2) standardized sample collection protocol based on international criteria; (3) sample storage in a biobank that meets industrial standards; (4) sensitive, reliable, and robust immunoassay analysis using adjusted ELISA methodology; (5) data normalized to large population standards; and (6) reliable analytical methods.
The limitations of the study are: (1) the relatively modest number of cases in the RPL group; (2) the use of international standards for gestational age-specific mean placental protein concentrations due to the current non-availability of similar standards in Hungary, and (3) the collection of blood samples at the time of surgery when pregnancies already failed.
Since all proteins had lower serum concentrations in RPL than in controls while blood samples were collected after the embryos died in utero, the question may arise that there is a bias due to embryonic death, which may lead to lower concentrations of these analytes. However, several lines of evidence have previously shown that: (1) placentas are still viable, and placental parenchyma is unperturbed shortly after miscarriage or fetal demise due to persistent maternal perfusion [176]; (2) the placenta and trophoblasts can even persist without a fetus in molar pregnancies or choriocarcinoma, for which elevated hCG level is a good biomarker [177,178]; (3) the placental proteome contains two-times more upregulated than downregulated proteins in RPL [101]; and (4) pregnancies ending in miscarriage have smaller trophoblast volumes and reduced trophoblast growth than normal pregnancies [179].
Therefore, our results may rather point to the failed trophoblastic and placental development and functions in RPL than the effect of embryonic death, suggesting that similar changes may be seen in the levels of these biomarkers before embryonic death occurs. In this regard, it would be essential to evaluate the predictive properties of these biomarkers on blood samples collected before pregnancies failed; however, this was not possible in our current study. Therefore, future, prospective studies of RPL patients would need to investigate whether placental biomarkers also have predictive power for RPL before pregnancies fail.
3.6. Implications and Future Directions
There are several research and clinical implications of our study, which stem from its strengths and limitations. Clinical implications: While β -hCG has long been recognized as a marker for miscarriage [180], our findings suggest that PAPP-A may be better biomarker for recurrent pregnancy loss. Moreover, our study highlights that the combination of biomarkers may enhance the sensitivity and specificity of diagnostic methods over the utilization of individual biomarkers. As a broader clinical implication, our study underscores the significance of assessing placenta-specific proteins as potential diagnostic markers for RPL.
Research implications: Here, we investigated—in a targeted fashion—already known placental biomarker proteins which did not allow the exploration of potentially even better biomarkers or their combinations. Therefore, the incorporation of non-targeted, high-dimensional proteomics methods is encouraged for the analysis of molecular pathways of recurrent pregnancy loss and their potentially novel biomarkers. Indeed, there has been an increasing amount of data showing the involvement of immune pathways in the etiology of RPL [181,182]. In addition, larger case-control and cohort studies are needed to: (1) validate these biomarkers as diagnostic or predictive tools in recurrent pregnancy loss; (2) explore their value in different stages of pregnancy (i.e., between 6 and 9 weeks or between 9 and 13 weeks); (3) investigate the generalizability of these findings in different patient populations that various ethnic backgrounds.
4. Materials and Methods
4.1. Study Groups, Clinical Definitions, and Sample Collection
Blood samples were collected from subjects enrolled in two study groups: (1) women who had recurrent pregnancy loss (RPL, n = 14), and (2) as a control group, women who underwent elective termination of pregnancy at their request for non-medical reasons (n = 30). Samples were collected at the Maternity Private Clinic of Obstetrics and Gynecology (Budapest, Hungary) at the time of surgery.
Gestational age was determined by ultrasound scans and samples were collected within the 6–13 weeks gestational age range. Exclusion criteria for both groups included twin pregnancies or pregnancies with congenital or chromosomal abnormalities. All women in our cohort were included in the RPL group (n = 14) if they had two or more failed clinical pregnancies according to the definition of the American Society for Reproductive Medicine [22]. RPL cases were recruited from patients with a nonviable intrauterine pregnancy detected by ultrasound (gestational sac containing an embryo or fetus without fetal heart activity within the first 12 6/7 weeks of gestation according to the American College of Obstetricians and Gynecologists Practice Bulletin [183]). Previously failed first trimester pregnancies were complete/incomplete spontaneous or missed abortions. At least two controls were matched to each case (n = 30) within one week of gestation for comparability. Table 1 contains clinical and demographic information for the study groups.
Blood samples were immediately processed after sample collection. Serum was collected following blood centrifugation for 10 min at 4 °C, aliquoted, and stored at −80 °C.
4.2. Immunoassays
Free β-hCG, PAPP-A, and PlGF concentrations in the maternal serum were measured using a BRAHMS plus KRYPTOR Analyzer (Thermo Fisher Scientific, Waltham, MA, USA). The measurement principle was based on the TRACE™ (Time-Resolved Amplified Cryptate Emission) technology, which uses the transfer of non-radioactive energy from a donor (cage structure with a europium ion in the center (cryptate)) to an acceptor which is part of a chemically modified photo-receptive algal protein (XL665). Both cryptate and XL665 were conjugated to monoclonal antibodies targeted to different epitopes on the analytes to be measured. The proximity of the donor and acceptor, when they are part of an immunocomplex, and the spectral overlap between donor emission and acceptor absorption spectra intensify the fluorescent signal of the donor and extend the life span of the acceptor signal, permitting the measurement of temporally delayed fluorescence.
The sensitivity of the assays for free β-hCG, PAPP-A, and PlGF was 0.16 IU/L, 0.004 IU/L, and 3.6 pg/mL, respectively. The intra (inter)-assay relative standard deviation for free β-hCG, PAPP-A, and PlGF was ≤4% (≤5%), ≤2% (≤4%), and ≤5% (≤7%), respectively.
4.3. Data Analysis
The daily multiple of median (dMoM) values of free β-hCG, PAPP-A, and PlGF were calculated. Gestational age-specific data normalization was carried out using the daily median curves generated from data kindly provided by Thermo Fisher Scientific, which were obtained using their KRYPTOR system from 222,475 patients for free β-hCG and PAPP-A, and 38,002 patients for PlGF. According to Thermo Fisher Scientific data, our daily free β-hCG and PAPP-A dMoM values were calculated for the gestational age range of 49–97 days (7–14 weeks) [87], while daily PlGF dMoM values were calculated for the gestational age range of 56–98 days (8–14 weeks) [88]. Only data within these ranges were used for the statistical calculations (free β-hCG and PAPP-A, nRPL = 13, nControl = 25; PlGF, nRPL = 12, nControl = 20). Since we did not have data for maternal weights, 69 kg was used in the equations as a general maternal weight [88].
To obtain classifiers based on free β-hCG, PAPP-A, and PlGF dMoM values, logistic regression models were trained using log2-transformed dMoM data, and the discriminative values of particular proteins and their combinations were investigated. Log2-transformed dMoM values were normalized for zero mean and unit standard deviation. A series of five-fold cross-validation procedures was performed with 50 random five-fold splits.
We also split samples into two subgroups, those with gestational age <9 and ≥9 weeks, respectively, resulting in the following per-protein sample sizes: for free β-hCG and PAPP-A, nRPL = 8 (5), nControl = 13 (12) for gestational ages <9 (≥9) weeks; for PlGF, nRPL = 7 (5), nControl = 8 (12) for gestational ages <9 (≥9) weeks, respectively. The same evaluation procedure was performed on the classifier trained on the whole data set and on two separate classifiers trained on the two subgroups (gestational age <9 and ≥9 weeks).
ROC curves were calculated for each protein separately as well as for all types of their combinations. The average ROC curve and the AUC values were determined from the 50 runs of cross-validation. Following clinical standards, we calculated the sensitivities (true-positive rates, TPRs), positive likelihood ratios, and negative likelihood ratios at 5% and 10% false-positive rates (FPRs) [184].
5. Conclusions
Our results show that free β-hCG and PAPP-A are good biomarkers for early RPL cases, and their discriminative power is even better for late RPL cases, while PlGF is a good marker for late RPL. The decreased maternal concentrations of these proteins indicate the deterioration of placental functions in RPL along with decreased placental angiogenesis in late RPL. In the future, larger prospective studies are needed for the investigation of whether these placental proteins also have predictive power for RPL before pregnancies fail.
Supplementary Materials
The supporting information can be downloaded at: https://www.mdpi.com/article/10.3390/ijms25031865/s1. Supplementary Figure S1: Tissue-specific mRNA expression levels for the CGB3, PGF, and PAPPA genes (probes 205387_s_at, 209652_s_at, and 201981_at, respectively) from the GeneAtlas U133A data set. The data were downloaded from the BioGPS portal (https://biogps.org, accessed 14 December 2023). Error bars represent 95% confidence intervals. Supplementary Table S1: Daily median values of PAPP-A, β-hCG, and PlGF.
Author Contributions
Conceptualization, N.G.T.; methodology, E.T., D.G., A.S., L.V., and N.G.T.; formal analysis, E.T., D.G., M.P., P.H., A.B., G.O., L.O., A.S., P.M., O.E., S.N., O.T., Z.P., and N.G.T.; investigation, P.H., G.S., G.O., L.O., P.M., O.E., S.N., O.T., and N.Á.; resources, P.H., Z.P., and N.G.T.; data curation, E.T., D.G., M.P., L.V., and N.G.T.; writing—original draft preparation, all authors; writing—review and editing, all authors; visualization, E.T., D.G., M.P., A.B., A.S., O.O., and N.G.T.; supervision, N.G.T.; project administration, N.G.T.; funding acquisition, E.T., A.B., A.S., and N.G.T. All authors have read and agreed to the published version of the manuscript.
Funding
The study and manuscript writing was supported by grants from the Hungarian Academy of Sciences (Momentum LP2014-7/2014, Premium_2019-436, Young Research Fellowship) and the Hungarian Research Network (HUN-REN SA-83/2021), and from the Ministry of Innovation and Technology of Hungary from the National Research, Development and Innovation Fund, financed under the FIEK-16-1-2016-0005, K124862, K128262, 2020-1.1.2-PIACI-KFI-2021-00273 and 2019-2.1.7-ERANET-2020-00014 funding schemes, the latter under the frame of European Union ERA PerMed (2020-346 grant).
Informed Consent Statement
Clinical samples and data collection were approved by the Health Science Board of Hungary (Ethics approval ID: ETT-TUKEB 4834-0/2011-1018EKU). Prior to sample collection, written informed consent was obtained from women; the experiments conformed to the principles set out in the World Medical Association Declaration of Helsinki. Specimens and data were stored anonymously.
Data Availability Statement
Data is available upon request.
Acknowledgments
Pascaline Caruhel, Kathrin Matischak, Elena Uliyanova, and Arnaud Vernier from Thermo Fisher Scientific (Hennigsdorf, Germany) for providing the daily medians of the related proteins.
Conflicts of Interest
The authors declare no conflicts of interest.
References
- Dugas, C.; Slane, V.H. Miscarriage. In StatPearls; StatPearls Publishing LLC.: Treasure Island, FL, USA, 2020. [Google Scholar]
- WHO. Recommended definitions, terminology and format for statistical tables related to the perinatal period and use of a new certificate for cause of perinatal deaths. Modifications recommended by FIGO as amended 14 October 1976. Acta Obstet. Gynecol. Scand. 1977, 56, 247–253. [Google Scholar]
- Ammon Avalos, L.; Galindo, C.; Li, D.K. A systematic review to calculate background miscarriage rates using life table analysis. Birth Defects Res. Part A Clin. Mol. Teratol. 2012, 94, 417–423. [Google Scholar] [CrossRef]
- Larsen, E.C.; Christiansen, O.B.; Kolte, A.M.; Macklon, N. New insights into mechanisms behind miscarriage. BMC Med. 2013, 11, 154. [Google Scholar] [CrossRef]
- Savitz, D.A.; Hertz-Picciotto, I.; Poole, C.; Olshan, A.F. Epidemiologic measures of the course and outcome of pregnancy. Epidemiol. Rev. 2002, 24, 91–101. [Google Scholar] [CrossRef]
- Ford, H.B.; Schust, D.J. Recurrent pregnancy loss: Etiology, diagnosis, and therapy. Rev. Obstet. Gynecol. 2009, 2, 76–83. [Google Scholar]
- Zinaman, M.J.; Clegg, E.D.; Brown, C.C.; O’Connor, J.; Selevan, S.G. Estimates of human fertility and pregnancy loss. Fertil. Steril. 1996, 65, 503–509. [Google Scholar] [CrossRef]
- Ellish, N.J.; Saboda, K.; O’Connor, J.; Nasca, P.C.; Stanek, E.J.; Boyle, C. A prospective study of early pregnancy loss. Hum. Reprod. 1996, 11, 406–412. [Google Scholar] [CrossRef]
- Wilcox, A.J.; Weinberg, C.R.; O’Connor, J.F.; Baird, D.D.; Schlatterer, J.P.; Canfield, R.E.; Armstrong, E.G.; Nisula, B.C. Incidence of Early Loss of Pregnancy. N. Engl. J. Med. 1988, 319, 189–194. [Google Scholar] [CrossRef] [PubMed]
- Rai, R.; Regan, L. Recurrent miscarriage. Lancet 2006, 368, 601–611. [Google Scholar] [CrossRef] [PubMed]
- Chard, T. 11 Frequency of implantation and early pregnancy loss in natural cycles. Baillière’s Clin. Obstet. Gynaecol. 1991, 5, 179–189. [Google Scholar] [CrossRef] [PubMed]
- Macklon, N.S.; Geraedts, J.P.; Fauser, B.C. Conception to ongoing pregnancy: The ‘black box’ of early pregnancy loss. Hum. Reprod. Update 2002, 8, 333–343. [Google Scholar] [CrossRef]
- Brezina, P.R.; Kutteh, W.H. Classic and cutting-edge strategies for the management of early pregnancy loss. Obstet. Gynecol. Clin. N. Am. 2014, 41, 1–18. [Google Scholar] [CrossRef]
- Regan, L.; Braude, P.R.; Trembath, P.L. Influence of past reproductive performance on risk of spontaneous abortion. Br. Med. J. 1989, 299, 541. [Google Scholar] [CrossRef]
- Knudsen, U.B.; Hansen, V.; Juul, S.; Secher, N.J. Prognosis of a new pregnancy following previous spontaneous abortions. Eur. J. Obstet. Gynecol. Reprod. Biol. 1991, 39, 31–36. [Google Scholar] [CrossRef] [PubMed]
- Risch, H.A.; Weiss, N.S.; Aileen, C.E.; Miller, A.B. Risk factors for spontaneous abortion and its recurrence. Am. J. Epidemiol. 1988, 128, 420–430. [Google Scholar] [CrossRef] [PubMed]
- Clifford, K.; Rai, R.; Watson, H.; Regan, L. An informative protocol for the investigation of recurrent miscarriage: Preliminary experience of 500 consecutive cases. Hum. Reprod. 1994, 9, 1328–1332. [Google Scholar] [CrossRef] [PubMed]
- Stirrat, G.M. Recurrent miscarriage. Lancet 1990, 336, 673–675. [Google Scholar] [CrossRef] [PubMed]
- Li, T.C.; Makris, M.; Tomsu, M.; Tuckerman, E.; Laird, S. Recurrent miscarriage: Aetiology, management and prognosis. Hum. Reprod. Update 2002, 8, 463–481. [Google Scholar] [CrossRef]
- Vaiman, D. Genetic regulation of recurrent spontaneous abortion in humans. Biomed. J. 2015, 38, 11–24. [Google Scholar] [CrossRef]
- ACOG. ACOG practice bulletin. Management of recurrent pregnancy loss. Number 24, February 2001. (Replaces Technical Bulletin Number 212, September 1995). American College of Obstetricians and Gynecologists. Int. J. Gynecol. Obstet. 2002, 78, 179–190. [Google Scholar] [CrossRef]
- American Society for Reproductive Medicine (ASRM). Evaluation and treatment of recurrent pregnancy loss: A committee opinion. Fertil. Steril. 2012, 98, 1103–1111. [Google Scholar] [CrossRef] [PubMed]
- Van den Akker, O.B. The psychological and social consequences of miscarriage. Expert Rev. Obstet. Gynecol. 2011, 6, 295–304. [Google Scholar] [CrossRef]
- Murphy, S.; Cacciatore, J. The psychological, social, and economic impact of stillbirth on families. Semin. Fetal Neonatal Med. 2017, 22, 129–134. [Google Scholar] [CrossRef] [PubMed]
- Giorlandino, C.; Calugi, G.; Iaconianni, L.; Santoro, M.L.; Lippa, A. Spermatozoa with chromosomal abnormalities may result in a higher rate of recurrent abortion. Fertil. Steril. 1998, 70, 576–577. [Google Scholar] [CrossRef] [PubMed]
- Rubio, C.; Simón, C.; Vidal, F.; Rodrigo, L.; Pehlivan, T.; Remohí, J.; Pellicer, A. Chromosomal abnormalities and embryo development in recurrent miscarriage couples. Hum. Reprod. 2003, 18, 182–188. [Google Scholar] [CrossRef] [PubMed]
- Stirrat, G.M. Recurrent miscarriage II: Clinical associations, causes, and management. Lancet 1990, 336, 728–733. [Google Scholar] [CrossRef] [PubMed]
- Tulppala, M.; Palosuo, T.; Ramsay, T.; Miettinen, A.; Salonen, R.; Ylikorkala, O. A prospective study of 63 couples with a history of recurrent spontaneous abortion: Contributing factors and outcome of subsequent pregnancies. Hum. Reprod. 1993, 8, 764–770. [Google Scholar] [CrossRef]
- Uehara, S.; Hashiyada, M.; Sato, K.; Sato, Y.; Fujimori, K.; Okamura, K. Preferential X-chromosome inactivation in women with idiopathic recurrent pregnancy loss. Fertil. Steril. 2001, 76, 908–914. [Google Scholar] [CrossRef]
- Aldrich, C.L.; Stephenson, M.D.; Karrison, T.; Odem, R.R.; Branch, D.W.; Scott, J.R.; Schreiber, J.R.; Ober, C. HLA-G genotypes and pregnancy outcome in couples with unexplained recurrent miscarriage. Mol. Hum. Reprod. 2001, 7, 1167–1172. [Google Scholar] [CrossRef][Green Version]
- Hirahara, F.; Andoh, N.; Sawai, K.; Hirabuki, T.; Uemura, T.; Minaguchi, H. Hyperprolactinemic recurrent miscarriage and results of randomized bromocriptine treatment trials. Fertil. Steril. 1998, 70, 246–252. [Google Scholar] [CrossRef]
- Garzia, E.; Borgato, S.; Cozzi, V.; Doi, P.; Bulfamante, G.; Persani, L.; Cetin, I. Lack of expression of endometrial prolactin in early implantation failure: A pilot study. Hum. Reprod. 2004, 19, 1911–1916. [Google Scholar] [CrossRef][Green Version]
- Craig, L.B.; Ke, R.W.; Kutteh, W.H. Increased prevalence of insulin resistance in women with a history of recurrent pregnancy loss. Fertil. Steril. 2002, 78, 487–490. [Google Scholar] [CrossRef] [PubMed]
- Li, T.C.; Spuijbroek, M.D.E.H.; Tuckerman, E.; Anstie, B.; Loxley, M.; Laird, S. Endocrinological and endometrial factors in recurrent miscarriage. Br. J. Obstet. Gynaecol. 2000, 107, 1471–1479. [Google Scholar] [CrossRef] [PubMed]
- Bussen, S.; Sütterlin, M.; Steck, T. Endocrine abnormalities during the follicular phase in women with recurrent spontaneous abortion. Hum. Reprod. 1999, 14, 18–20. [Google Scholar] [CrossRef]
- Grimbizis, G.F.; Camus, M.; Tarlatzis, B.C.; Bontis, J.N.; Devroey, P. Clinical implications of uterine malformations and hysteroscopic treatment results. Hum. Reprod. Update 2001, 7, 161–174. [Google Scholar] [CrossRef] [PubMed]
- Salim, R.; Regan, L.; Woelfer, B.; Backos, M.; Jurkovic, D. A comparative study of the morphology of congenital uterine anomalies in women with and without a history of recurrent first trimester miscarriage. Hum. Reprod. 2003, 18, 162–166. [Google Scholar] [CrossRef] [PubMed]
- Homer, H.A.; Li, T.-C.; Cooke, I.D. The septate uterus: A review of management and reproductive outcome. Fertil. Steril. 2000, 73, 1–14. [Google Scholar] [CrossRef] [PubMed]
- Clifford, K.; Flanagan, A.M.; Regan, L. Endometrial CD56+ natural killer cells in women with recurrent miscarriage: A histomorphometric study. Hum. Reprod. 1999, 14, 2727–2730. [Google Scholar] [CrossRef] [PubMed]
- Quenby, S.; Bates, M.; Doig, T.; Brewster, J.; Lewis-Jones, D.I.; Johnson, P.M.; Vince, G. Pre-implantation endometrial leukocytes in women with recurrent miscarriage. Hum. Reprod. 1999, 14, 2386–2391. [Google Scholar] [CrossRef]
- Lachapelle, M.H.; Miron, P.; Hemmings, R.; Roy, D.C. Endometrial T, B, and NK cells in patients with recurrent spontaneous abortion. Altered profile and pregnancy outcome. J. Immunol. 1996, 156, 4027. [Google Scholar] [CrossRef]
- Eblen, A.C.; Gercel-Taylor, C.; Shields, L.B.E.; Sanfilippo, J.S.; Nakajima, S.T.; Taylor, D.D. Alterations in humoral immune responses associated with recurrent pregnancy loss. Fertil. Steril. 2000, 73, 305–313. [Google Scholar] [CrossRef]
- Wilson, R.; Maclean, M.A.; Jenkins, C.; Kinnane, D.; Mooney, J.; Walker, J.J. Abnormal immunoglobulin subclass patterns in women with a history of recurrent miscarriage. Fertil. Steril. 2001, 76, 915–917. [Google Scholar] [CrossRef] [PubMed]
- Makhseed, M.; Raghupathy, R.; Azizieh, F.; Omu, A.; Al-Shamali, E.; Ashkanani, L. Th1 and Th2 cytokine profiles in recurrent aborters with successful pregnancy and with subsequent abortions. Hum. Reprod. 2001, 16, 2219–2226. [Google Scholar] [CrossRef] [PubMed]
- Quack, K.C.; Vassiliadou, N.; Pudney, J.; Anderson, D.J.; Hill, J.A. Leukocyte activation in the decidua of chromosomally normal and abnormal fetuses from women with recurrent abortion. Hum. Reprod. 2001, 16, 949–955. [Google Scholar] [CrossRef]
- Kovalevsky, G.; Gracia, C.R.; Berlin, J.A.; Sammel, M.D.; Barnhart, K.T. Evaluation of the Association Between Hereditary Thrombophilias and Recurrent Pregnancy Loss: A Meta-analysis. Arch. Intern. Med. 2004, 164, 558–563. [Google Scholar] [CrossRef] [PubMed]
- Rey, E.; Kahn, S.R.; David, M.; Shrier, I. Thrombophilic disorders and fetal loss: A meta-analysis. Lancet 2003, 361, 901–908. [Google Scholar] [CrossRef] [PubMed]
- Rai, R.; Backos, M.; Elgaddal, S.; Shlebak, A.; Regan, L. Factor V Leiden and recurrent miscarriage—Prospective outcome of untreated pregnancies. Hum. Reprod. 2002, 17, 442–445. [Google Scholar] [CrossRef] [PubMed][Green Version]
- Rai, R.; Shlebak, A.; Cohen, H.; Backos, M.; Holmes, Z.; Marriott, K.; Regan, L. Factor V Leiden and acquired activated protein C resistance among 1000 women with recurrent miscarriage. Hum. Reprod. 2001, 16, 961–965. [Google Scholar] [CrossRef]
- Rai, R.S.; Clifford, K.; Cohen, H.; Regan, L. High prospective fetal loss rate in untreated pregnancies of women with recurrent miscarriage and antiphospholipid antibodies. Hum. Reprod. 1995, 10, 3301–3304. [Google Scholar] [CrossRef]
- Rai, R.S.; Regan, L.; Clifford, K.; Pickering, W.; Dave, M.; Mackie, I.; McNally, T.; Cohen, H. Immunology: Antiphospholipid antibodies and β2-glycoprotein-I in 500 women with recurrent miscarriage: Results of a comprehensive screening approach. Hum. Reprod. 1995, 10, 2001–2005. [Google Scholar] [CrossRef]
- Greaves, M.; Cohen, H.; Machin, S.J.; Mackie, I. Guidelines on the Investigation and Management of the Antiphospholipid Syndrome. Br. J. Haematol. 2000, 109, 704–715. [Google Scholar] [CrossRef]
- Christiansen, O.B.; Steffensen, R.; Nielsen, H.S.; Varming, K. Multifactorial Etiology of Recurrent Miscarriage and Its Scientific and Clinical Implications. Gynecol. Obstet. Investig. 2008, 66, 257–267. [Google Scholar] [CrossRef]
- Trout, S.W.; Seifer, D.B. Do women with unexplained recurrent pregnancy loss have higher day 3 serum FSH and estradiol values? Fertil. Steril. 2000, 74, 335–337. [Google Scholar] [CrossRef]
- Gürbüz, B.; Yalti, S.; Ozden, S.; Ficicioglu, C. High basal estradiol level and FSH/LH ratio in unexplained recurrent pregnancy loss. Arch. Gynecol. Obstet. 2004, 270, 37–39. [Google Scholar] [CrossRef]
- Pils, S.; Promberger, R.; Springer, S.; Joura, E.; Ott, J. Decreased Ovarian Reserve Predicts Inexplicability of Recurrent Miscarriage? A Retrospective Analysis. PLoS ONE 2016, 11, e0161606. [Google Scholar] [CrossRef] [PubMed]
- Okon, M.A.; Laird, S.M.; Tuckerman, E.M.; Li, T.-C. Serum Androgen Levels in Women who Have Recurrent Miscarriages and their Correlation with Markers of Endometrial Function. Fertil. Steril. 1998, 69, 682–690. [Google Scholar] [CrossRef]
- Kim, M.-S.; Gu, B.-H.; Song, S.; Choi, B.-C.; Cha, D.-H.; Baek, K.-H. ITI-H4, as a biomarker in the serum of recurrent pregnancy loss (RPL) patients. Mol. BioSystems 2011, 7, 1430–1440. [Google Scholar] [CrossRef] [PubMed]
- Ogasawara, M.; Kajiura, S.; Katano, K.; Aoyama, T.; Aoki, K. Are serum progesterone levels predictive of recurrent miscarriage in future pregnancies? Fertil. Steril. 1997, 68, 806–809. [Google Scholar] [CrossRef] [PubMed]
- Wu, Y.; He, J.; Guo, C.; Zhang, Y.; Yang, W.; Xin, M.; Liang, X.; Yin, X.; Wang, J.; Liu, Y. Serum biomarker analysis in patients with recurrent spontaneous abortion. Mol. Med. Rep. 2017, 16, 2367–2378. [Google Scholar] [CrossRef] [PubMed]
- Cui, Y.; He, L.; Yang, C.-Y.; Ye, Q. iTRAQ and PRM-based quantitative proteomics in early recurrent spontaneous abortion: Biomarkers discovery. Clin. Proteom. 2019, 16, 36. [Google Scholar] [CrossRef] [PubMed]
- Al-Azemi, M.; Ledger, W.L.; Diejomaoh, M.; Mousa, M.; Makhseed, M.; Omu, A. Measurement of inhibin A and inhibin pro-alphaC in early human pregnancy and their role in the prediction of pregnancy outcome in patients with recurrent pregnancy loss. Fertil. Steril. 2003, 80, 1473–1479. [Google Scholar] [CrossRef]
- Liu, Y.; Liu, Y.; Li, X.; Jiao, X.; Zhang, R.; Zhang, J. Predictive value of serum β-hCG for early pregnancy outcomes among women with recurrent spontaneous abortion. Int. J. Gynecol. Obstet. 2016, 135, 16–21. [Google Scholar] [CrossRef]
- Muttukrishna, S.; Jauniaux, E.; Greenwold, N.; McGarrigle, H.; Jivraj, S.; Carter, S.; Elgaddal, S.; Groome, N.; Regan, L. Circulating levels of inhibin A, activin A and follistatin in missed and recurrent miscarriages. Hum. Reprod. 2002, 17, 3072–3078. [Google Scholar] [CrossRef]
- Rull, K.; Laan, M. Expression of β-subunit of HCG genes during normal and failed pregnancy. Hum. Reprod. 2005, 20, 3360–3368. [Google Scholar] [CrossRef] [PubMed]
- Darwish, A.; Ghorab, N.; El-Ashmawy, M.H.; Kamal, M.M.; Soliman, M.S.A. Biochemical Markers for Prediction of Pregnancy Outcome in Cases of Recurrent Pregnancy Loss; Middle East Fertility Society: Beirut, Lebanon, 2005. [Google Scholar]
- Heinig, J.; Steinhard, J.; Schmitz, R.; Nofer, J.R.; Kiesel, L.; Klockenbusch, W. Maternal serum free ß-hCG and PAPP-A in patients with habitual abortion-influence on first-trimester screening for chromosomal abnormalities. Prenat. Diagn. 2007, 27, 814–816. [Google Scholar] [CrossRef] [PubMed]
- Kato, K.; Mostafa, M.H.; Mann, K.; Schindler, A.E.; Hoermann, R. Human chorionic gonadotropin exhibits normal biological activity in patients with recurrent pregnancy loss. Gynecol. Endocrinol. 2002, 16, 179–186. [Google Scholar] [CrossRef] [PubMed]
- Prakash, A.; Laird, S.; Tuckerman, E.; Li, T.C.; Ledger, W.L. Inhibin A and activin A may be used to predict pregnancy outcome in women with recurrent miscarriage. Fertil. Steril. 2005, 83, 1758–1763. [Google Scholar] [CrossRef] [PubMed]
- Bao, S.H.; Shuai, W.; Tong, J.; Wang, L.; Chen, P.; Duan, T. Increased Dickkopf-1 expression in patients with unexplained recurrent spontaneous miscarriage. Clin. Exp. Immunol. 2013, 172, 437–443. [Google Scholar] [CrossRef] [PubMed]
- Rull, K.; Tomberg, K.; Kõks, S.; Männik, J.; Möls, M.; Sirotkina, M.; Värv, S.; Laan, M. Increased placental expression and maternal serum levels of apoptosis-inducing TRAIL in recurrent miscarriage. Placenta 2013, 34, 141–148. [Google Scholar] [CrossRef] [PubMed]
- Pang, L.; Wei, Z.; Li, O.; Huang, R.; Qin, J.; Chen, H.; Fan, X.; Chen, Z.J. An increase in vascular endothelial growth factor (VEGF) and VEGF soluble receptor-1 (sFlt-1) are associated with early recurrent spontaneous abortion. PLoS ONE 2013, 8, e75759. [Google Scholar] [CrossRef]
- Laird, S.M.; Quinton, N.D.; Anstie, B.; Li, T.C.; Blakemore, A.I.F. Leptin and leptin-binding activity in women with recurrent miscarriage: Correlation with pregnancy outcome. Hum. Reprod. 2001, 16, 2008–2013. [Google Scholar] [CrossRef] [PubMed]
- Hassan, M.F. Soluble fms-like tyrosine kinase-1 and vascular endothelial growth factor: Novel markers for unexplained early recurrent pregnancy loss. Asian Pac. J. Reprod. 2014, 3, 30–34. [Google Scholar] [CrossRef]
- Christiansen, O.B.; Nybo Andersen, A.M.; Bosch, E.; Daya, S.; Delves, P.J.; Hviid, T.V.; Kutteh, W.H.; Laird, S.M.; Li, T.C.; van der Ven, K. Evidence-based investigations and treatments of recurrent pregnancy loss. Fertil. Steril. 2005, 83, 821–839. [Google Scholar] [CrossRef] [PubMed]
- Christiansen, O.B. Evidence-based investigations and treatments of recurrent pregnancy loss. Curr. Opin. Obstet. Gynecol. 2006, 18, 304–312. [Google Scholar] [CrossRef] [PubMed]
- Burton, G.J.; Jauniaux, E. Placental Oxidative Stress: From Miscarriage to Preeclampsia. J. Soc. Gynecol. Investig. 2004, 11, 342–352. [Google Scholar] [CrossRef]
- Lyu, S.W.; Song, H.; Yoon, J.A.; Chin, M.-U.; Sung, S.R.; Kim, Y.S.; Lee, W.S.; Yoon, T.K.; Cha, D.H.; Shim, S.H. Transcriptional profiling with a pathway-oriented analysis in the placental villi of unexplained miscarriage. Placenta 2013, 34, 133–140. [Google Scholar] [CrossRef]
- Liu, A.X.; Jin, F.; Zhang, W.W.; Zhou, T.H.; Zhou, C.Y.; Yao, W.M.; Qian, Y.L.; Huang, H.F. Proteomic analysis on the alteration of protein expression in the placental villous tissue of early pregnancy loss. Biol. Reprod. 2006, 75, 414–420. [Google Scholar] [CrossRef]
- Ni, X.; Li, X.; Guo, Y.; Zhou, T.; Guo, X.; Zhao, C.; Lin, M.; Zhou, Z.; Shen, R.; Guo, X.; et al. Quantitative proteomics analysis of altered protein expression in the placental villous tissue of early pregnancy loss using isobaric tandem mass tags. BioMed Res. Int. 2014, 2014, 647143. [Google Scholar] [CrossRef]
- Jauniaux, E.; Burton, G.J. Pathophysiology of histological changes in early pregnancy loss. Placenta 2005, 26, 114–123. [Google Scholar] [CrossRef]
- Jeschke, U.; Toth, B.; Scholz, C.; Friese, K.; Makrigiannakis, A. Glycoprotein and carbohydrate binding protein expression in the placenta in early pregnancy loss. J. Reprod. Immunol. 2010, 85, 99–105. [Google Scholar] [CrossRef]
- Gupta, S.; Agarwal, A.; Banerjee, J.; Alvarez, J.G. The Role of Oxidative Stress in Spontaneous Abortion and Recurrent Pregnancy Loss: A Systematic Review. Obstet. Gynecol. Surv. 2007, 62, 335–347. [Google Scholar] [CrossRef] [PubMed]
- Su, A.I.; Wiltshire, T.; Batalov, S.; Lapp, H.; Ching, K.A.; Block, D.; Zhang, J.; Soden, R.; Hayakawa, M.; Kreiman, G.; et al. A gene atlas of the mouse and human protein-encoding transcriptomes. Proc. Natl. Acad. Sci. USA 2004, 101, 6062–6067. [Google Scholar] [CrossRef] [PubMed]
- Szilagyi, A.; Gelencser, Z.; Romero, R.; Xu, Y.; Kiraly, P.; Demeter, A.; Palhalmi, J.; Gyorffy, B.A.; Juhasz, K.; Hupuczi, P.; et al. Placenta-Specific Genes, Their Regulation During Villous Trophoblast Differentiation and Dysregulation in Preterm Preeclampsia. Int. J. Mol. Sci. 2020, 21, 628. [Google Scholar] [CrossRef]
- Than, N.G.; Romero, R.; Tarca, A.L.; Kekesi, K.A.; Xu, Y.; Xu, Z.; Juhasz, K.; Bhatti, G.; Leavitt, R.J.; Gelencser, Z.; et al. Integrated Systems Biology Approach Identifies Novel Maternal and Placental Pathways of Preeclampsia. Front. Immunol. 2018, 9, 1661. [Google Scholar] [CrossRef] [PubMed]
- Wright, D.; Spencer, K.; Kagan, K.K.; Torring, N.; Petersen, O.B.; Christou, A.; Kallikas, J.; Nicolaides, K.H. First-trimester combined screening for trisomy 21 at 7-14 weeks’ gestation. Ultrasound Obstet. Gynecol. 2010, 36, 404–411. [Google Scholar] [CrossRef] [PubMed]
- Tsiakkas, A.; Duvdevani, N.; Wright, A.; Wright, D.; Nicolaides, K.H. Serum placental growth factor in the three trimesters of pregnancy: Effects of maternal characteristics and medical history. Ultrasound Obstet. Gynecol. 2015, 45, 591–598. [Google Scholar] [CrossRef] [PubMed]
- Romero, R.; Erez, O.; Maymon, E.; Chaemsaithong, P.; Xu, Z.; Pacora, P.; Chaiworapongsa, T.; Done, B.; Hassan, S.S.; Tarca, A.L. The maternal plasma proteome changes as a function of gestational age in normal pregnancy: A longitudinal study. Am. J. Obstet. Gynecol. 2017, 217, 67.e1–67.e21. [Google Scholar] [CrossRef] [PubMed]
- Burton, G.J.; Jauniaux, E. What is the placenta? Am. J. Obstet. Gynecol. 2015, 213, S6.E1–S6.E4. [Google Scholar] [CrossRef]
- Fulop, V.; Lakatos, K.; Demeter, J.; Vegh, G.; Pallinger, E. Clinical aspects of decidualization. Orvosi Hetil. 2022, 163, 1823–1833. [Google Scholar] [CrossRef]
- Lakatos, K.; Elias, K.M.; Berkowitz, R.S.; Hasselblatt, K.; Vegh, G.; Fulop, V. The role of natural killer cells in the immune homeostasis of the maternal fetal interface. Orvosi Hetil. 2022, 163, 734–742. [Google Scholar] [CrossRef]
- Nagy, B.; Sulyok, E.; Varnagy, A.; Barabas, A.; Kovacs, K.; Bodis, J. The role of platelets in reproduction. Orvosi Hetil. 2022, 163, 1254–1260. [Google Scholar] [CrossRef]
- Huppertz, B. Placental Origins of Preeclampsia. Hypertension 2008, 51, 970–975. [Google Scholar] [CrossRef] [PubMed]
- Myatt, L. Role of placenta in preeclampsia. Endocrine 2002, 19, 103–111. [Google Scholar] [CrossRef]
- Roberts, J.M.; Escudero, C. The placenta in preeclampsia. Pregnancy Hypertens. 2012, 2, 72–83. [Google Scholar] [CrossRef]
- Redman, C.W.; Sargent, I.L. Latest Advances in Understanding Preeclampsia. Science 2005, 308, 1592. [Google Scholar] [CrossRef] [PubMed]
- Sitras, V.; Paulssen, R.H.; Grønaas, H.; Leirvik, J.; Hanssen, T.A.; Vårtun, Å.; Acharya, G. Differential Placental Gene Expression in Severe Preeclampsia. Placenta 2009, 30, 424–433. [Google Scholar] [CrossRef]
- Hromadnikova, I. Extracellular nucleic acids in maternal circulation as potential biomarkers for placental insufficiency. DNA Cell Biol. 2012, 31, 1221–1232. [Google Scholar] [CrossRef]
- Ruano, C.S.M.; Miralles, F.; Mehats, C.; Vaiman, D. The Impact of Oxidative Stress of Environmental Origin on the Onset of Placental Diseases. Antioxidants 2022, 11, 106. [Google Scholar] [CrossRef] [PubMed]
- Pan, H.T.; Ding, H.G.; Fang, M.; Yu, B.; Cheng, Y.; Tan, Y.J.; Fu, Q.Q.; Lu, B.; Cai, H.G.; Jin, X.; et al. Proteomics and bioinformatics analysis of altered protein expression in the placental villous tissue from early recurrent miscarriage patients. Placenta 2018, 61, 1–10. [Google Scholar] [CrossRef]
- Redline, R.W. Placental Pathology: A Systematic Approach with Clinical Correlations. Placenta 2008, 29, 86–91. [Google Scholar] [CrossRef]
- Lob, S.; Ochmann, B.; Ma, Z.; Vilsmaier, T.; Kuhn, C.; Schmoeckel, E.; Herbert, S.L.; Kolben, T.; Wockel, A.; Mahner, S.; et al. The role of Interleukin-18 in recurrent early pregnancy loss. J. Reprod. Immunol. 2021, 148, 103432. [Google Scholar] [CrossRef] [PubMed]
- Than, G.N.; Bohn, H.; Szabo, D.G. Advances in Pregnancy-Related Protein Research; CRC Press: Boca Raton, FL, USA, 1993. [Google Scholar]
- Human Protein Atlas. Available online: http://www.proteinatlas.org (accessed on 24 January 2024).
- Simpson, E.R.; MacDonald, P.C. Endocrine physiology of the placenta. Annu. Rev. Physiol. 1981, 43, 163–188. [Google Scholar] [CrossRef] [PubMed]
- Bohn, H.; Winckler, W. Isolation and characterization of membrane-associated placental proteins. Arch. Gynecol. Obstet. 1991, 248, 191–198. [Google Scholar] [CrossRef]
- Bohn, H.; Winckler, W.; Grundmann, U. Immunochemically detected placental proteins and their biological functions. Arch. Gynecol. Obstet. 1991, 249, 107–118. [Google Scholar] [CrossRef] [PubMed]
- Malek, A.; Bersinger, N.A.; Di Santo, S.; Mueller, M.D.; Sager, R.; Schneider, H.; Ghezzi, F.; Karousou, E.; Passi, A.; De Luca, G.; et al. C-Reactive Protein Production in Term Human Placental Tissue. Placenta 2006, 27, 619–625. [Google Scholar] [CrossRef] [PubMed]
- Chamley, L.W.; Allen, J.L.; Johnson, P.M. Synthesis of β2 glycoprotein 1 by the human placenta. Placenta 1997, 18, 403–410. [Google Scholar] [CrossRef]
- Ethier-Chiasson, M.; Duchesne, A.; Forest, J.C.; Giguère, Y.; Masse, A.; Mounier, C.; Lafond, J. Influence of maternal lipid profile on placental protein expression of LDLr and SR-BI. Biochem. Biophys. Res. Commun. 2007, 359, 8–14. [Google Scholar] [CrossRef]
- Jansson, T.; Wennergren, M.; Illsley, N.P. Glucose transporter protein expression in human placenta throughout gestation and in intrauterine growth retardation. J. Clin. Endocrinol. Metab. 1993, 77, 1554–1562. [Google Scholar] [CrossRef]
- Crowley, E.; Di Nicolantonio, F.; Loupakis, F.; Bardelli, A. Liquid biopsy: Monitoring cancer-genetics in the blood. Nat. Rev. Clin. Oncol. 2013, 10, 472–484. [Google Scholar] [CrossRef]
- Alix-Panabières, C.; Pantel, K. Circulating Tumor Cells: Liquid Biopsy of Cancer. Clin. Chem. 2013, 59, 110–118. [Google Scholar] [CrossRef]
- Heitzer, E.; Ulz, P.; Geigl, J.B. Circulating Tumor DNA as a Liquid Biopsy for Cancer. Clin. Chem. 2015, 61, 112–123. [Google Scholar] [CrossRef]
- Alix-Panabières, C.; Pantel, K. Clinical Applications of Circulating Tumor Cells and Circulating Tumor DNA as Liquid Biopsy. Cancer Discov. 2016, 6, 479. [Google Scholar] [CrossRef]
- Karaszi, K.; Szabo, S.; Juhasz, K.; Kiraly, P.; Kocsis-Deak, B.; Hargitai, B.; Krenacs, T.; Hupuczi, P.; Erez, O.; Papp, Z.; et al. Increased placental expression of Placental Protein 5 (PP5)/Tissue Factor Pathway Inhibitor-2 (TFPI-2) in women with preeclampsia and HELLP syndrome: Relevance to impaired trophoblast invasion? Placenta 2019, 76, 30–39. [Google Scholar] [CrossRef] [PubMed]
- Than, N.G.; Balogh, A.; Romero, R.; Kárpáti, É.; Erez, O.; Szilágyi, A.; Kovalszky, I.; Sammar, M.; Gizurarson, S.; Matkó, J.; et al. Placental Protein 13 (PP13)—A Placental Immunoregulatory Galectin Protecting Pregnancy. Front. Immunol. 2014, 5, 348. [Google Scholar] [CrossRef] [PubMed]
- Balogh, A.; Pozsgay, J.; Matkó, J.; Dong, Z.; Kim, C.J.; Várkonyi, T.; Sammar, M.; Rigó, J.; Meiri, H.; Romero, R.; et al. Placental protein 13 (PP13/galectin-13) undergoes lipid raft-associated subcellular redistribution in the syncytiotrophoblast in preterm preeclampsia and HELLP syndrome. Am. J. Obstet. Gynecol. 2011, 205, 156.e1–156.e14. [Google Scholar] [CrossRef]
- Than, N.G.; Abdul Rahman, O.; Magenheim, R.; Nagy, B.; Fule, T.; Hargitai, B.; Sammar, M.; Hupuczi, P.; Tarca, A.L.; Szabo, G.; et al. Placental protein 13 (galectin-13) has decreased placental expression but increased shedding and maternal serum concentrations in patients presenting with preterm pre-eclampsia and HELLP syndrome. Virchows Arch. 2008, 453, 387–400. [Google Scholar] [CrossRef]
- Than, N.G.; Romero, R.; Balogh, A.; Karpati, E.; Mastrolia, S.A.; Staretz-Chacham, O.; Hahn, S.; Erez, O.; Papp, Z.; Kim, C.J. Galectins: Double-edged Swords in the Cross-roads of Pregnancy Complications and Female Reproductive Tract Inflammation and Neoplasia. J. Pathol. Transl. Med. 2015, 49, 181–208. [Google Scholar] [CrossRef] [PubMed]
- Romero, R.; Kusanovic, J.P.; Than, N.G.; Erez, O.; Gotsch, F.; Espinoza, J.; Edwin, S.; Chefetz, I.; Gomez, R.; Nien, J.K.; et al. First-trimester maternal serum PP13 in the risk assessment for preeclampsia. Am. J. Obstet. Gynecol. 2008, 199, 122.e1–122.e11. [Google Scholar] [CrossRef]
- Than, N.G.; Romero, R.; Meiri, H.; Erez, O.; Xu, Y.; Tarquini, F.; Barna, L.; Szilagyi, A.; Ackerman, R.; Sammar, M.; et al. PP13, maternal ABO blood groups and the risk assessment of pregnancy complications. PLoS ONE 2011, 6, e21564. [Google Scholar] [CrossRef]
- Balogh, A.; Toth, E.; Romero, R.; Parej, K.; Csala, D.; Szenasi, N.L.; Hajdu, I.; Juhasz, K.; Kovacs, A.F.; Meiri, H.; et al. Placental Galectins Are Key Players in Regulating the Maternal Adaptive Immune Response. Front. Immunol. 2019, 10, 1240. [Google Scholar] [CrossRef]
- Vokalova, L.; Balogh, A.; Toth, E.; Van Breda, S.V.; Schäfer, G.; Hoesli, I.; Lapaire, O.; Hahn, S.; Than, N.G.; Rossi, S.W. Placental Protein 13 (Galectin-13) Polarizes Neutrophils Toward an Immune Regulatory Phenotype. Front. Immunol. 2020, 11, 145. [Google Scholar] [CrossRef] [PubMed]
- Spencer, K.; Cowans, N.J.; Nicolaides, K.H. Low levels of maternal serum PAPP-A in the first trimester and the risk of pre-eclampsia. Prenat. Diagn. 2008, 28, 7–10. [Google Scholar] [CrossRef] [PubMed]
- Goetzinger, K.R.; Singla, A.; Gerkowicz, S.; Dicke, J.M.; Gray, D.L.; Odibo, A.O. Predicting the risk of pre-eclampsia between 11 and 13 weeks’ gestation by combining maternal characteristics and serum analytes, PAPP-A and free β-hCG. Prenat. Diagn. 2010, 30, 1138–1142. [Google Scholar] [CrossRef] [PubMed]
- Mikat, B.; Zeller, A.; Scherag, A.; Drommelschmidt, K.; Kimmig, R.; Schmidt, M. βhCG and PAPP-A in First Trimester: Predictive Factors for Preeclampsia? Hypertens. Pregnancy 2012, 31, 261–267. [Google Scholar] [CrossRef] [PubMed]
- Spencer, K.; Yu, C.K.H.; Cowans, N.J.; Otigbah, C.; Nicolaides, K.H. Prediction of pregnancy complications by first-trimester maternal serum PAPP-A and free β-hCG and with second-trimester uterine artery Doppler. Prenat. Diagn. 2005, 25, 949–953. [Google Scholar] [CrossRef] [PubMed]
- Basirat, Z.; Barat, S.; Hajiahmadi, M. Serum beta human chorionic gonadotropin levels and preeclampsia. Saudi Med. J. 2006, 27, 1001–1004. [Google Scholar] [PubMed]
- Cicero, S.; Bindra, R.; Rembouskos, G.; Spencer, K.; Nicolaides, K.H. Integrated ultrasound and biochemical screening for trisomy 21 using fetal nuchal translucency, absent fetal nasal bone, free β-hCG and PAPP-A at 11 to 14 weeks. Prenat. Diagn. 2003, 23, 306–310. [Google Scholar] [CrossRef]
- Spencer, K.; Ong, C.; Skentou, H.; Liao, A.W.; Nicolaides, K.H. Screening for trisomy 13 by fetal nuchal translucency and maternal serum free β-hCG and PAPP-A at 10–14 weeks of gestation. Prenat. Diagn. 2000, 20, 411–416. [Google Scholar] [CrossRef]
- Tul, N.; Spencer, K.; Noble, P.; Chan, C.; Nicolaides, K. Screening for trisomy 18 by fetal nuchal translucency and maternal serum free β-hCG and PAPP-A at 10–14 weeks of gestation. Prenat. Diagn. 1999, 19, 1035–1042. [Google Scholar] [CrossRef]
- Spencer, K.; Nicolaides, K.H. A first trimester trisomy 13/trisomy 18 risk algorithm combining fetal nuchal translucency thickness, maternal serum free β-hCG and PAPP-A. Prenat. Diagn. 2002, 22, 877–879. [Google Scholar] [CrossRef]
- Brizot, M.L.; Snijders, R.J.; Bersinger, N.A.; Kuhn, P.; Nicolaides, K.H. Maternal serum pregnancy-associated plasma protein A and fetal nuchal translucency thickness for the prediction of fetal trisomies in early pregnancy. Obstet. Gynecol. 1994, 84, 918–922. [Google Scholar] [PubMed]
- Zeisler, H.; Llurba, E.; Chantraine, F.; Vatish, M.; Staff, A.C.; Sennström, M.; Olovsson, M.; Brennecke, S.P.; Stepan, H.; Allegranza, D.; et al. Predictive Value of the sFlt-1:PlGF Ratio in Women with Suspected Preeclampsia. N. Engl. J. Med. 2016, 374, 13–22. [Google Scholar] [CrossRef] [PubMed]
- Sunderji, S.; Gaziano, E.; Wothe, D.; Rogers, L.C.; Sibai, B.; Karumanchi, S.A.; Hodges-Savola, C. Automated assays for sVEGF R1 and PlGF as an aid in the diagnosis of preterm preeclampsia: A prospective clinical study. Am. J. Obstet. Gynecol. 2010, 202, 40.e1–40.e7. [Google Scholar] [CrossRef] [PubMed]
- Cowans, N.J.; Stamatopoulou, A.; Spencer, K. First trimester maternal serum placental growth factor in trisomy 21 pregnancies. Prenat. Diagn. 2010, 30, 449–453. [Google Scholar] [CrossRef] [PubMed]
- Stenman, U.H.; Tiitinen, A.; Alfthan, H.; Valmu, L. The classification, functions and clinical use of different isoforms of HCG. Hum. Reprod. Update 2006, 12, 769–784. [Google Scholar] [CrossRef] [PubMed]
- Carmona, F.; Balasch, J.; Creus, M.; Fábregues, F.; Casamitjana, R.; Cívico, S.; Vidal, E.; Calafell, J.M.; Moreno, V.; Vanrell, J.A. Early hormonal markers of pregnancy outcome after in vitro fertilization and embryo transfer. J. Assist. Reprod. Genet. 2003, 20, 521–526. [Google Scholar] [CrossRef] [PubMed]
- Pillai, R.N.; Konje, J.C.; Tincello, D.G.; Potdar, N. Role of serum biomarkers in the prediction of outcome in women with threatened miscarriage: A systematic review and diagnostic accuracy meta-analysis. Hum. Reprod. Update 2016, 22, 228–239. [Google Scholar] [CrossRef] [PubMed]
- The UniProt Consortium. UniProt: A worldwide hub of protein knowledge. Nucleic Acids Res. 2018, 47, D506–D515. [Google Scholar] [CrossRef]
- Lawrence, J.B.; Oxvig, C.; Overgaard, M.T.; Sottrup-Jensen, L.; Gleich, G.J.; Hays, L.G.; Yates, J.R., 3rd; Conover, C.A. The insulin-like growth factor (IGF)-dependent IGF binding protein-4 protease secreted by human fibroblasts is pregnancy-associated plasma protein-A. Proc. Natl. Acad. Sci. USA 1999, 96, 3149–3153. [Google Scholar] [CrossRef]
- Laursen, L.S.; Overgaard, M.T.; Soe, R.; Boldt, H.B.; Sottrup-Jensen, L.; Giudice, L.C.; Conover, C.A.; Oxvig, C. Pregnancy-associated plasma protein-A (PAPP-A) cleaves insulin-like growth factor binding protein (IGFBP)-5 independent of IGF: Implications for the mechanism of IGFBP-4 proteolysis by PAPP-A. FEBS Lett. 2001, 504, 36–40. [Google Scholar] [CrossRef]
- Conover, C.A.; Oxvig, C.; Overgaard, M.T.; Christiansen, M.; Giudice, L.C. Evidence that the insulin-like growth factor binding protein-4 protease in human ovarian follicular fluid is pregnancy associated plasma protein-A. J. Clin. Endocrinol. Metab. 1999, 84, 4742–4745. [Google Scholar] [CrossRef] [PubMed]
- Prasad, P.; Romero, R.; Chaiworapongsa, T.; Gomez-Lopez, N.; Lo, A.; Galaz, J.; Taran, A.B.; Jung, E.; Gotsch, F.; Than, N.G.; et al. Further Evidence that an Episode of Premature Labor Is a Pathologic State: Involvement of the Insulin-Like Growth Factor System. Fetal Diagn. Ther. 2023, 50, 236–247. [Google Scholar] [CrossRef] [PubMed]
- Zhang, Y.; Zhao, Q.; Xie, Y.; Su, K.; Yang, J.; Yang, L. A correlation analysis between the expression of pregnancy-associated plasma protein A in basal decidual cells and recurrent spontaneous abortion. Exp. Ther. Med. 2013, 6, 485–488. [Google Scholar] [CrossRef] [PubMed]
- Rolny, C.; Mazzone, M.; Tugues, S.; Laoui, D.; Johansson, I.; Coulon, C.; Squadrito, M.L.; Segura, I.; Li, X.; Knevels, E.; et al. HRG inhibits tumor growth and metastasis by inducing macrophage polarization and vessel normalization through downregulation of PlGF. Cancer Cell 2011, 19, 31–44. [Google Scholar] [CrossRef]
- Lizio, M.; Harshbarger, J.; Shimoji, H.; Severin, J.; Kasukawa, T.; Sahin, S.; Abugessaisa, I.; Fukuda, S.; Hori, F.; Ishikawa-Kato, S.; et al. Gateways to the FANTOM5 promoter level mammalian expression atlas. Genome Biol. 2015, 16, 22. [Google Scholar] [CrossRef] [PubMed]
- Genotype-Tissue Expression (GTEx) Project. Available online: https://www.gtexportal.org/home/ (accessed on 20 December 2023).
- Plaisier, M.; Rodrigues, S.; Willems, F.; Koolwijk, P.; van Hinsbergh, V.W.; Helmerhorst, F.M. Different degrees of vascularization and their relationship to the expression of vascular endothelial growth factor, placental growth factor, angiopoietins, and their receptors in first-trimester decidual tissues. Fertil. Steril. 2007, 88, 176–187. [Google Scholar] [CrossRef] [PubMed]
- Vailhe, B.; Dietl, J.; Kapp, M.; Toth, B.; Arck, P. Increased blood vessel density in decidua parietalis is associated with spontaneous human first trimester abortion. Hum. Reprod. 1999, 14, 1628–1634. [Google Scholar] [CrossRef]
- Plaisier, M.; Dennert, I.; Rost, E.; Koolwijk, P.; van Hinsbergh, V.W.; Helmerhorst, F.M. Decidual vascularization and the expression of angiogenic growth factors and proteases in first trimester spontaneous abortions. Hum. Reprod. 2009, 24, 185–197. [Google Scholar] [CrossRef]
- Dev, S.; Singh, A.; Banerjee, B.; Radhakrishnan, G.; Agarwal, R. Assessment of Maternal Serum Levels of Vascular Endothelial Growth Factor and Placental Growth Factor in Threatened Abortion: A Case Control Study. J. Clin. Diagn. Res. 2020, 14, 16–18. [Google Scholar] [CrossRef]
- Muttukrishna, S.; Swer, M.; Suri, S.; Jamil, A.; Calleja-Agius, J.; Gangooly, S.; Ludlow, H.; Jurkovic, D.; Jauniaux, E. Soluble Flt-1 and PlGF: New markers of early pregnancy loss? PLoS ONE 2011, 6, e18041. [Google Scholar] [CrossRef]
- Andersen, L.B.; Dechend, R.; Karumanchi, S.A.; Nielsen, J.; Joergensen, J.S.; Jensen, T.K.; Christesen, H.T. Early pregnancy angiogenic markers and spontaneous abortion: An Odense Child Cohort study. Am. J. Obstet. Gynecol. 2016, 215, 594.E1–594.E11. [Google Scholar] [CrossRef]
- Horne, A.W.; Shaw, J.L.; Murdoch, A.; McDonald, S.E.; Williams, A.R.; Jabbour, H.N.; Duncan, W.C.; Critchley, H.O. Placental growth factor: A promising diagnostic biomarker for tubal ectopic pregnancy. J. Clin. Endocrinol. Metab. 2011, 96, E104–E108. [Google Scholar] [CrossRef] [PubMed]
- Abu-Ghazaleh, N.; Brennecke, S.; Murthi, P.; Karanam, V. Association of Vascular Endothelial Growth Factors (VEGFs) with Recurrent Miscarriage: A Systematic Review of the Literature. Int. J. Mol. Sci. 2023, 24, 9449. [Google Scholar] [CrossRef]
- Vranken, G.; Reynolds, T.; Van Nueten, J. Medians for second-trimester maternal serum markers: Geographical differences and variation caused by median multiples-of-median equations. J. Clin. Pathol. 2006, 59, 639. [Google Scholar] [CrossRef]
- Levy, K.J. Pairwise Comparisons Associated with the K Independent Sample Median Test. Am. Stat. 1979, 33, 138–139. [Google Scholar] [CrossRef]
- Nemenyi, P. Distribution-Free Multiple Comparisons; Princeton University: Princeton, NJ, USA, 1963. [Google Scholar]
- Tukey, J.W. Comparing individual means in the analysis of variance. Biometrics 1949, 5, 99–114. [Google Scholar] [CrossRef]
- Kramer, C.Y. Extension of multiple range tests to group means with unequal numbers of replications. Biometrics 1956, 12, 309–310. [Google Scholar] [CrossRef]
- Richter, S.J.; McCann, M.H. Multiple Comparison of Medians Using Permutation Tests. J. Mod. Appl. Stat. Methods 2007, 6, 399–412. [Google Scholar] [CrossRef]
- Cole, L.A. Biological functions of hCG and hCG-related molecules. Reprod. Biol. Endocrinol. 2010, 8, 102. [Google Scholar] [CrossRef]
- Cole, L.A. hCG physiology. Placenta 2013, 34, 1257. [Google Scholar] [CrossRef]
- Cole, L.A. Hyperglycosylated hCG and pregnancy failures. J. Reprod. Immunol. 2012, 93, 119–122. [Google Scholar] [CrossRef] [PubMed]
- Burton, G.J.; Jauniaux, E. Development of the Human Placenta and Fetal Heart: Synergic or Independent? Front. Physiol. 2018, 9, 373. [Google Scholar] [CrossRef] [PubMed]
- Huppertz, B. Traditional and New Routes of Trophoblast Invasion and Their Implications for Pregnancy Diseases. Int. J. Mol. Sci. 2019, 21, 289. [Google Scholar] [CrossRef] [PubMed]
- Burton, G.J.; Jauniaux, E.; Watson, A.L. Maternal arterial connections to the placental intervillous space during the first trimester of human pregnancy: The Boyd collection revisited. Am. J. Obstet. Gynecol. 1999, 181, 718–724. [Google Scholar] [CrossRef] [PubMed]
- Chaiworapongsa, T.; Romero, R.; Korzeniewski, S.J.; Kusanovic, J.P.; Soto, E.; Lam, J.; Dong, Z.; Than, N.G.; Yeo, L.; Hernandez-Andrade, E.; et al. Maternal plasma concentrations of angiogenic/antiangiogenic factors in the third trimester of pregnancy to identify the patient at risk for stillbirth at or near term and severe late preeclampsia. Am. J. Obstet. Gynecol. 2013, 208, 287.E1–287.E15. [Google Scholar] [CrossRef]
- Chaiworapongsa, T.; Romero, R.; Erez, O.; Tarca, A.L.; Conde-Agudelo, A.; Chaemsaithong, P.; Kim, C.J.; Kim, Y.M.; Kim, J.S.; Yoon, B.H.; et al. The prediction of fetal death with a simple maternal blood test at 20–24 weeks: A role for angiogenic index-1 (PlGF/sVEGFR-1 ratio). Am. J. Obstet. Gynecol. 2017, 217, 682.E1–682.E13. [Google Scholar] [CrossRef]
- Whitten, A.E.; Romero, R.; Korzeniewski, S.J.; Tarca, A.L.; Schwartz, A.G.; Yeo, L.; Dong, Z.; Hassan, S.S.; Chaiworapongsa, T. Evidence of an imbalance of angiogenic/antiangiogenic factors in massive perivillous fibrin deposition (maternal floor infarction): A placental lesion associated with recurrent miscarriage and fetal death. Am. J. Obstet. Gynecol. 2013, 208, 310.E1–310.E11. [Google Scholar] [CrossRef]
- Romero, R.; Kusanovic, J.P.; Chaiworapongsa, T.; Hassan, S.S. Placental bed disorders in preterm labor, preterm PROM, spontaneous abortion and abruptio placentae. Best Pract. Res. Clin. Obstet. Gynaecol. 2011, 25, 313–327. [Google Scholar] [CrossRef]
- Brosens, I.; Pijnenborg, R.; Vercruysse, L.; Romero, R. The “Great Obstetrical Syndromes” are associated with disorders of deep placentation. Am. J. Obstet. Gynecol. 2011, 204, 193–201. [Google Scholar] [CrossRef]
- Boyd, T.K. The placenta in intrauterine demise. J. Pathol. Microbiol. Immunol. 2018, 126, 621–625. [Google Scholar] [CrossRef]
- King, J.R.; Wilson, M.L.; Hetey, S.; Kiraly, P.; Matsuo, K.; Castaneda, A.V.; Toth, E.; Krenacs, T.; Hupuczi, P.; Mhawech-Fauceglia, P.; et al. Dysregulation of Placental Functions and Immune Pathways in Complete Hydatidiform Moles. Int. J. Mol. Sci. 2019, 20, 4999. [Google Scholar] [CrossRef] [PubMed]
- Garcia-Sayre, J.; Castaneda, A.V.; Roman, L.D.; Matsuo, K. Diagnosis and Management of Gestational Trophoblastic Disease. In Handbook of Gynecology; Springer: New York, NY, USA, 2017; pp. 1–15. [Google Scholar]
- Reus, A.D.; El-Harbachi, H.; Rousian, M.; Willemsen, S.P.; Steegers-Theunissen, R.P.; Steegers, E.A.; Exalto, N. Early first-trimester trophoblast volume in pregnancies that result in live birth or miscarriage. Ultrasound Obstet. Gynecol. 2013, 42, 577–584. [Google Scholar] [CrossRef] [PubMed]
- ACOG. Practice Bulletin No. 200: Early Pregnancy Loss. Obstet. Gynecol. 2018, 132, e197–e207. [Google Scholar] [CrossRef] [PubMed]
- Vomstein, K.; Feil, K.; Strobel, L.; Aulitzky, A.; Hofer-Tollinger, S.; Kuon, R.J.; Toth, B. Immunological Risk Factors in Recurrent Pregnancy Loss: Guidelines Versus Current State of the Art. J. Clin. Med. 2021, 10, 869. [Google Scholar] [CrossRef]
- Tabacco, S.; Giannini, A.; Garufi, C.; Botta, A.; Salvi, S.; Del Sordo, G.; Benedetti Panici, P.; Lanzone, A.; De Carolis, S. Complementemia in pregnancies with antiphospholipid syndrome. Lupus 2019, 28, 1503–1509. [Google Scholar] [CrossRef]
- ACOG. The American College of Obstetricians and Gynecologists Practice Bulletin no. 150. Early pregnancy loss. Obstet. Gynecol. 2015, 125, 1258–1267. [Google Scholar] [CrossRef]
- Poon, L.C.; Shennan, A.; Hyett, J.A.; Kapur, A.; Hadar, E.; Divakar, H.; McAuliffe, F.; da Silva Costa, F.; von Dadelszen, P.; McIntyre, H.D.; et al. The International Federation of Gynecology and Obstetrics (FIGO) initiative on pre-eclampsia: A pragmatic guide for first-trimester screening and prevention. Int. J. Gynecol. Obstet. 2019, 145 (Suppl. 1), 1–33. [Google Scholar] [CrossRef]
Disclaimer/Publisher’s Note: The statements, opinions and data contained in all publications are solely those of the individual author(s) and contributor(s) and not of MDPI and/or the editor(s). MDPI and/or the editor(s) disclaim responsibility for any injury to people or property resulting from any ideas, methods, instructions or products referred to in the content. |
© 2024 by the authors. Licensee MDPI, Basel, Switzerland. This article is an open access article distributed under the terms and conditions of the Creative Commons Attribution (CC BY) license (https://creativecommons.org/licenses/by/4.0/).





