Changes in the Dentate Gyrus Gene Expression Profile Induced by Levetiracetam Treatment in Rats with Mesial Temporal Lobe Epilepsy
Abstract
1. Introduction
2. Results
2.1. Effect of LEV on the SRS Number in Rats
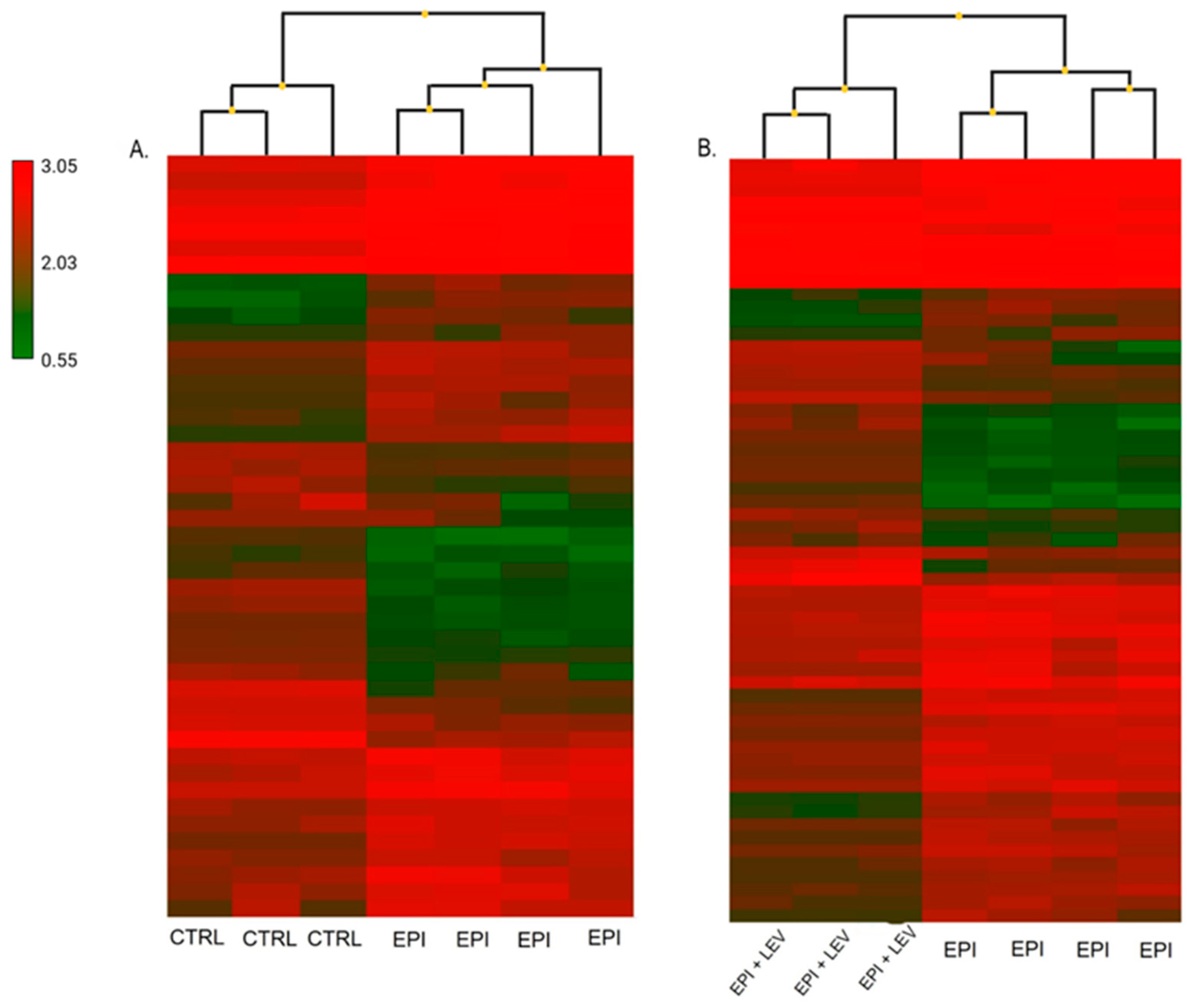
2.2. Gene Expression Profile in the Dentate Gyrus (General Features)
2.3. Gene Ontology (GO) Analysis of the Epileptic Rats
2.4. Gene Ontology (GO) Analysis of Epileptic Rats Treated with LEV
2.5. Analysis of Genes Whose Expression Was Altered by Epilepsy and Modified by LEV Treatment
3. Discussion
4. Materials and Methods
4.1. Animals
4.2. Induction of Status Epilepticus
4.3. Behavioral Monitoring of Spontaneous Recurrent Seizures
4.4. Levetiracetam Treatment
4.5. Tissue Sample Collection and RNA Isolation
4.6. Microarray Processing and Data Analysis
4.7. Real-Time Quantitative PCR Analysis
4.8. Statistical Analysis
Supplementary Materials
Author Contributions
Funding
Institutional Review Board Statement
Informed Consent Statement
Data Availability Statement
Acknowledgments
Conflicts of Interest
Abbreviations
References
- Mehndiratta, M.M.; Wadhai, S.A. International Epilepsy Day—A Day Notified for Global Public Education & Awareness. Indian J. Med. Res. 2015, 141, 143–144. [Google Scholar] [CrossRef]
- Nayak, C.S.; Bandyopadhyay, S. Mesial Temporal Lobe Epilepsy; StatPearls: Treasure Island, FL, USA, 2022. [Google Scholar]
- Lee, C.Y.; Chen, C.C.; Liou, H.H. Levetiracetam Inhibits Glutamate Transmission through Presynaptic P/Q-Type Calcium Channels on the Granule Cells of the Dentate Gyrus. Br. J. Pharmacol. 2009, 158, 1753–1762. [Google Scholar] [CrossRef]
- Nadler, J.V. The Recurrent Mossy Fiber Pathway of the Epileptic Brain. Neurochem. Res. 2003, 28, 1649–1658. [Google Scholar] [CrossRef] [PubMed]
- Scharfman, H.E. The Neurobiology of Epilepsy. Curr. Neurol. Neurosci. Rep. 2007, 7, 348–354. [Google Scholar] [CrossRef] [PubMed]
- Staley, K. Molecular Mechanisms of Epilepsy. Nat. Neurosci. 2015, 18, 367–372. [Google Scholar] [CrossRef]
- Friedman, L.K.; Mancuso, J.; Patel, A.; Kudur, V.; Leheste, J.R.; Iacobas, S.; Botta, J.; Iacobas, D.A.; Spray, D.C. Transcriptome Profiling of Hippocampal CA1 after Early-Life Seizure-Induced Preconditioning May Elucidate New Genetic Therapies for Epilepsy. Eur. J. Neurosci. 2013, 38, 2139–2152. [Google Scholar] [CrossRef]
- Gorter, J.A.; Van Vliet, E.A.; Aronica, E.; Breit, T.; Rauwerda, H.; Lopes Da Silva, F.H.; Wadman, W.J. Potential New Antiepileptogenic Targets Indicated by Microarray Analysis in a Rat Model for Temporal Lobe Epilepsy. J. Neurosci. 2006, 26, 11083–11110. [Google Scholar] [CrossRef]
- Henkel, N.D.; Smail, M.A.; Wu, X.; Enright, H.A.; Fischer, N.O.; Eby, H.M.; McCullumsmith, R.E.; Shukla, R. Cellular, Molecular, and Therapeutic Characterization of Pilocarpine-Induced Temporal Lobe Epilepsy. Sci. Rep. 2021, 11, 19102. [Google Scholar] [CrossRef]
- Glien, M.; Brandt, C.; Potschka, H.; Löscher, W. Effects of the Novel Antiepileptic Drug Levetiracetam on Spontaneous Recurrent Seizures in the Rat Pilocarpine Model of Temporal Lobe Epilepsy. Epilepsia 2002, 43, 350–357. [Google Scholar] [CrossRef]
- Surges, R.; Volynski, K.E.; Walker, M.C. Review: Is Levetiracetam Different from Other Antiepileptic Drugs? Levetiracetam and Its Cellular Mechanism of Action in Epilepsy Revisited. Ther. Adv. Neurol. Disord. 2008, 1, 13–24. [Google Scholar] [CrossRef] [PubMed]
- Lyseng-Williamson, K.A. Levetiracetam: A Review of Its Use in Epilepsy. Drugs 2011, 71, 489–514. [Google Scholar] [CrossRef]
- Hakami, T. Neuropharmacology of Antiseizure Drugs. Neuropsychopharmacol. Rep. 2021, 41, 336. [Google Scholar] [CrossRef] [PubMed]
- U.S. Food and Drug Administration (FDA). FDA-Approved Drugs. Available online: https://www.accessdata.fda.gov/scripts/cder/daf/index.cfm?event=overview.process&ApplNo=021872 (accessed on 5 January 2024).
- European Medicines Agency (EMA). Keppra. Available online: https://www.ema.europa.eu/en/medicines/human/EPAR/keppra (accessed on 5 January 2024).
- Lynch, B.A.; Lambeng, N.; Nocka, K.; Kensel-Hammes, P.; Bajjalieh, S.M.; Matagne, A.; Fuks, B. The Synaptic Vesicle Is the Protein SV2A Is the Binding Site for the Antiepileptic Drug Levetiracetam. Proc. Natl. Acad. Sci. USA 2004, 101, 9861–9866. [Google Scholar] [CrossRef]
- Janz, R.; Goda, Y.; Geppert, M.; Missler, M.; Südhof, T.C. SV2A and SV2B Function as Redundant Ca2+ Regulators in Neurotransmitter Release. Neuron 1999, 24, 1003–1016. [Google Scholar] [CrossRef] [PubMed]
- Schivell, A.E.; Mochida, S.; Kensel-Hammes, P.; Custer, K.L.; Bajjalieh, S.M. SV2A and SV2C Contain a Unique Synaptotagmin-Binding Site. Mol. Cell. Neurosci. 2005, 29, 56–64. [Google Scholar] [CrossRef]
- Yao, J.; Nowack, A.; Kensel-Hammes, P.; Gardner, R.G.; Bajjalieh, S.M. Cotrafficking of SV2 and Synaptotagmin at the Synapse. J. Neurosci. 2010, 30, 5569–5578. [Google Scholar] [CrossRef] [PubMed]
- Contreras-García, I.J.; Cárdenas-Rodríguez, N.; Romo-Mancillas, A.; Bandala, C.; Zamudio, S.R.; Gómez-Manzo, S.; Hernández-Ochoa, B.; Mendoza-Torreblanca, J.G.; Pichardo-Macías, L.A. Levetiracetam Mechanisms of Action: From Molecules to Systems. Pharmaceuticals 2022, 15, 475. [Google Scholar] [CrossRef]
- Löscher, W.; Gillard, M.; Sands, Z.A.; Kaminski, R.M.; Klitgaard, H. Synaptic Vesicle Glycoprotein 2A Ligands in the Treatment of Epilepsy and Beyond. CNS Drugs 2016, 30, 1055–1077. [Google Scholar] [CrossRef]
- Daniels, V.; Wood, M.; Leclercq, K.; Kaminski, R.M.; Gillard, M. Modulation of the Conformational State of the SV2A Protein by an Allosteric Mechanism as Evidenced by Ligand Binding Assays. Br. J. Pharmacol. 2013, 169, 1091–1101. [Google Scholar] [CrossRef]
- Stout, K.A.; Dunn, A.R.; Hoffman, C.; Miller, G.W. The Synaptic Vesicle Glycoprotein 2: Structure, Function, and Disease Relevance. ACS Chem. Neurosci. 2019, 10, 3927–3938. [Google Scholar] [CrossRef]
- Ciruelas, K.; Marcotulli, D.; Bajjalieh, S.M. Synaptic Vesicle Protein 2: A Multi-Faceted Regulator of Secretion. Semin. Cell Dev. Biol. 2019, 95, 130–141. [Google Scholar] [CrossRef]
- Nowack, A.; Malarkey, E.B.; Yao, J.; Bleckert, A.; Hill, J.; Bajjalieh, S.M. Levetiracetam Reverses Synaptic Deficits Produced by Overexpression of SV2A. PLoS ONE 2011, 6, e29560. [Google Scholar] [CrossRef] [PubMed]
- Niespodziany, I.; Klitgaard, H.; Margineanu, D.G. Levetiracetam Inhibits the High-Voltage-Activated Ca2+ Current in Pyramidal Neurones of Rat Hippocampal Slices. Neurosci. Lett. 2001, 306, 5–8. [Google Scholar] [CrossRef] [PubMed]
- Pisani, A.; Bonsi, P.; Martella, G.; De Persis, C.; Costa, C.; Pisani, F.; Bernardi, G.; Calabresi, P. Intracellular Calcium Increase in Epileptiform Activity: Modulation by Levetiracetam and Lamotrigine. Epilepsia 2004, 45, 719–728. [Google Scholar] [CrossRef] [PubMed]
- Lukyanetz, E.A.; Shkryl, V.M.; Kostyuk, P.G. Selective Blockade of N-Type Calcium Channels by Levetiracetam. Epilepsia 2002, 43, 9–18. [Google Scholar] [CrossRef] [PubMed]
- Yan, H.-D.; Ishihara, K.; Seki, T.; Hanaya, R.; Kurisu, K.; Arita, K.; Serikawa, T.; Sasa, M. Inhibitory Effects of Levetiracetam on the High-Voltage-Activated L-Type Ca2+ Channels in Hippocampal CA3 Neurons of Spontaneously Epileptic Rat (SER). Brain Res. Bull. 2013, 90, 142–148. [Google Scholar] [CrossRef] [PubMed]
- Madeja, M.; Georg Margineanu, D.; Gorji, A.; Siep, E.; Boerrigter, P.; Klitgaard, H.; Speckmann, E.-J. Reduction of Voltage-Operated Potassium Currents by Levetiracetam: A Novel Antiepileptic Mechanism of Action? Neuropharmacology 2003, 45, 661–671. [Google Scholar] [CrossRef] [PubMed]
- Nagarkatti, N.; Deshpande, L.S.; DeLorenzo, R.J. Levetiracetam Inhibits Both Ryanodine and IP3 Receptor Activated Calcium Induced Calcium Release in Hippocampal Neurons in Culture. Neurosci. Lett. 2008, 436, 289–293. [Google Scholar] [CrossRef] [PubMed]
- Löscher, W.; Hönack, D.; Bloms-Funke, P. The Novel Antiepileptic Drug Levetiracetam (Ucb L059) Induces Alterations in GABA Metabolism and Turnover in Discrete Areas of Rat Brain and Reduces Neuronal Activity in Substantia Nigra Pars Reticulata. Brain Res. 1996, 735, 208–216. [Google Scholar] [CrossRef]
- Wakita, M.; Kotani, N.; Kogure, K.; Akaike, N. Inhibition of Excitatory Synaptic Transmission in Hippocampal Neurons by Levetiracetam Involves Zn 2+ -Dependent GABA Type A Receptor–Mediated Presynaptic Modulation. J. Pharmacol. Exp. Ther. 2014, 348, 246–259. [Google Scholar] [CrossRef]
- Poulain, P.; Margineanu, D.G. Levetiracetam Opposes the Action of GABAA Antagonists in Hypothalamic Neurones. Neuropharmacology 2002, 42, 346–352. [Google Scholar] [CrossRef]
- Carunchio, I.; Pieri, M.; Ciotti, M.T.; Albo, F.; Zona, C. Modulation of AMPA Receptors in Cultured Cortical Neurons Induced by the Antiepileptic Drug Levetiracetam. Epilepsia 2007, 48, 654–662. [Google Scholar] [CrossRef]
- Micov, A.; Tomić, M.; Popović, B.; Stepanović-Petrović, R. The Antihyperalgesic Effect of Levetiracetam in an Inflammatory Model of Pain in Rats: Mechanism of Action. Br. J. Pharmacol. 2010, 161, 384–392. [Google Scholar] [CrossRef]
- Stepanović-Petrović, R.M.; Micov, A.M.; Tomić, M.A.; Ugrešić, N.D. The Local Peripheral Antihyperalgesic Effect of Levetiracetam and Its Mechanism of Action in an Inflammatory Pain Model. Anesth. Analg. 2012, 115, 1457–1466. [Google Scholar] [CrossRef]
- Yi, Z.M.; Wen, C.; Cai, T.; Xu, L.; Zhong, X.L.; Zhan, S.Y.; Zhai, S. Di Levetiracetam for Epilepsy: An Evidence Map of Efficacy, Safety and Economic Profiles. Neuropsychiatr. Dis. Treat. 2019, 15, 1. [Google Scholar] [CrossRef]
- Christensen, K.V.; Leffers, H.; Watson, W.P.; Sánchez, C.; Kallunki, P.; Egebjerg, J. Levetiracetam Attenuates Hippocampal Expression of Synaptic Plasticity-Related Immediate Early and Late Response Genes in Amygdala-Kindled Rats. BMC Neurosci. 2010, 11, 9. [Google Scholar] [CrossRef]
- Gu, J.; Lynch, B.A.; Anderson, D.; Klitgaard, H.; Lu, S.; Elashoff, M.; Ebert, U.; Potschka, H.; Löscher, W. The Antiepileptic Drug Levetiracetam Selectively Modifies Kindling-Induced Alterations in Gene Expression in the Temporal Lobe of Rats. Eur. J. Neurosci. 2004, 19, 334–345. [Google Scholar] [CrossRef]
- Husum, H.; Bolwig, T.G.; Sánchez, C.; Mathé, A.A.; Hansen, S.L. Levetiracetam Prevents Changes in Levels of Brain-Derived Neurotrophic Factor and Neuropeptide Y MRNA and of Y1- and Y5-like Receptors in the Hippocampus of Rats Undergoing Amygdala Kindling: Implications for Antiepileptogenic and Mood-Stabilizing Properties. Epilepsy Behav. 2004, 5, 204–215. [Google Scholar] [CrossRef] [PubMed]
- Scorza, F.A.; Arida, R.M.; Naffah-Mazzacoratti MD, G.; Scerni, D.A.; Calderazzo, L.; Cavalheiro, E.A. The Pilocarpine Model of Epilepsy: What Have We Learned? An. Acad. Bras. Ciênc. 2009, 81, 345–365. [Google Scholar] [CrossRef] [PubMed]
- Laurén, H.B.; Lopez-Picon, F.R.; Brandt, A.M.; Rios-Rojas, C.J.; Holopainen, I.E. Transcriptome Analysis of the Hippocampal CA1 Pyramidal Cell Region after Kainic Acid-Induced Status Epilepticus in Juvenile Rats. PLoS ONE 2010, 5, e10733. [Google Scholar] [CrossRef] [PubMed]
- Wang, Z.; Zhou, L.; An, D.; Xu, W.; Wu, C.; Sha, S.; Li, Y.; Zhu, Y.; Chen, A.; Du, Y.; et al. TRPV4-Induced Inflammatory Response Is Involved in Neuronal Death in Pilocarpine Model of Temporal Lobe Epilepsy in Mice. Cell Death Dis. 2019, 10, 386. [Google Scholar] [CrossRef]
- Fan, Y.; Wang, W.; Li, W.; Li, X. MiR-15a Inhibits Cell Apoptosis and Inflammation in a Temporal Lobe Epilepsy Model by Downregulating GFAP. Mol. Med. Rep. 2020, 22, 3504–3512. [Google Scholar] [CrossRef]
- He, C.; Su, C.; Zhang, W.; Zhou, Q.; Shen, X.; Yang, J.; Shi, N. Modulatory Potential of LncRNA Zfas1 for Inflammation and Neuronal Apoptosis in Temporal Lobe Epilepsy. Yonsei Med. J. 2021, 62, 215. [Google Scholar] [CrossRef]
- Jung, K.; Chu, K.; Lee, S.; Kim, J.; Kang, K.; Song, E.; Kim, S.; Park, H.; Kim, M.; Lee, S.K.; et al. Region-specific Plasticity in the Epileptic Rat Brain: A Hippocampal and Extrahippocampal Analysis. Epilepsia 2009, 50, 537–549. [Google Scholar] [CrossRef]
- Okamoto, O.K.; Janjoppi, L.; Bonone, F.M.; Pansani, A.P.; da Silva, A.V.; Scorza, F.A.; Cavalheiro, E.A. Whole Transcriptome Analysis of the Hippocampus: Toward a Molecular Portrait of Epileptogenesis. BMC Genom. 2010, 11, 230. [Google Scholar] [CrossRef]
- Xu, J.-H.; Tang, F.-R. Voltage-Dependent Calcium Channels, Calcium Binding Proteins, and Their Interaction in the Pathological Process of Epilepsy. Int. J. Mol. Sci. 2018, 19, 2735. [Google Scholar] [CrossRef] [PubMed]
- Kikuyama, H.; Hanaoka, T.; Kanazawa, T.; Yoshida, Y.; Mizuno, T.; Toyoda, H.; Yoneda, H. The Mechanism of Anti-Epileptogenesis by Levetiracetam Treatment Is Similar to the Spontaneous Recovery of Idiopathic Generalized Epilepsy during Adolescence. Psychiatry Investig. 2017, 14, 844. [Google Scholar] [CrossRef] [PubMed]
- Santana, M.T.C.G.; Jackowski, A.P.; da Silva, H.H.; Caboclo, L.O.S.F.; Centeno, R.S.; Bressan, R.A.; Carrete, H.; Yacubian, E.M.T. Auras and Clinical Features in Temporal Lobe Epilepsy: A New Approach on the Basis of Voxel-Based Morphometry. Epilepsy Res. 2010, 89, 327–338. [Google Scholar] [CrossRef] [PubMed]
- Sarnat, H.B.; Flores-Sarnat, L. Might the Olfactory Bulb Be an Origin of Olfactory Auras in Focal Epilepsy? Epileptic Disord. 2016, 18, 344–355. [Google Scholar] [CrossRef] [PubMed]
- Guelfi, S.; Botia, J.A.; Thom, M.; Ramasamy, A.; Perona, M.; Stanyer, L.; Martinian, L.; Trabzuni, D.; Smith, C.; Walker, R.; et al. Transcriptomic and Genetic Analyses Reveal Potential Causal Drivers for Intractable Partial Epilepsy. Brain 2019, 142, 1616–1630. [Google Scholar] [CrossRef]
- Pfisterer, U.; Petukhov, V.; Demharter, S.; Meichsner, J.; Thompson, J.J.; Batiuk, M.Y.; Martinez, A.A.; Vasistha, N.A.; Thakur, A.; Mikkelsen, J.; et al. Identification of Epilepsy-Associated Neuronal Subtypes and Gene Expression Underlying Epileptogenesis. Nat. Commun. 2020, 11, 5038. [Google Scholar] [CrossRef]
- Dingledine, R.; Coulter, D.A.; Fritsch, B.; Gorter, J.A.; Lelutiu, N.; McNamara, J.; Nadler, J.V.; Pitkänen, A.; Rogawski, M.A.; Skene, P.; et al. Transcriptional Profile of Hippocampal Dentate Granule Cells in Four Rat Epilepsy Models. Sci. Data 2017, 4, 170061. [Google Scholar] [CrossRef]
- Dibbens, L.M.; Feng, H.-J.; Richards, M.C.; Harkin, L.A.; Hodgson, B.L.; Scott, D.; Jenkins, M.; Petrou, S.; Sutherland, G.R.; Scheffer, I.E. GABRD Encoding a Protein for Extra- or Peri-Synaptic GABAA Receptors Is a Susceptibility Locus for Generalized Epilepsies. Hum. Mol. Genet. 2004, 13, 1315–1319. [Google Scholar] [CrossRef] [PubMed]
- Lenzen, K.P.; Heils, A.; Lorenz, S.; Hempelmann, A.; Sander, T. Association Analysis of the Arg220His Variation of the Human Gene Encoding the GABA δ Subunit with Idiopathic Generalized Epilepsy. Epilepsy Res. 2005, 65, 53–57. [Google Scholar] [CrossRef] [PubMed]
- Luz Adriana, P.M.; Blanca Alcira, R.M.; Itzel Jatziri, C.G.; Sergio Roberto, Z.H.; Juan Luis, C.P.; Karla Berenice, S.H.; Julieta Griselda, M.T. Effect of Levetiracetam on Extracellular Amino Acid Levels in the Dorsal Hippocampus of Rats with Temporal Lobe Epilepsy. Epilepsy Res. 2018, 140, 111–119. [Google Scholar] [CrossRef] [PubMed]
- Cifelli, P.; Palma, E.; Roseti, C.; Verlengia, G.; Simonato, M. Changes in the Sensitivity of GABAA Current Rundown to Drug Treatments in a Model of Temporal Lobe Epilepsy. Front. Cell Neurosci. 2013, 7, 108. [Google Scholar] [CrossRef] [PubMed]
- Palma, E.; Ragozzino, D.; Angelantonio, S.D.; Mascia, A.; Maiolino, F.; Manfredi, M.; Cantore, G.; Esposito, V.; Di Gennaro, G.; Quarato, P.; et al. The Antiepileptic Drug Levetiracetam Stabilizes the Human Epileptic GABA A Receptors upon Repetitive Activation. Epilepsia 2007, 48, 1842–1849. [Google Scholar] [CrossRef] [PubMed]
- Lorigados Pedre, L.; Morales Chacón, L.M.; Orozco Suárez, S.; Pavón Fuentes, N.; Estupiñán Díaz, B.; Serrano Sánchez, T.; García Maeso, I.; Rocha Arrieta, L. Inflammatory Mediators in Epilepsy. Curr. Pharm. Des. 2013, 19, 6766–6772. [Google Scholar] [CrossRef] [PubMed]
- Aronica, E.; Boer, K.; van Vliet, E.A.; Redeker, S.; Baayen, J.C.; Spliet, W.G.M.; van Rijen, P.C.; Troost, D.; Lopes da Silva, F.H.; Wadman, W.J.; et al. Complement Activation in Experimental and Human Temporal Lobe Epilepsy. Neurobiol. Dis. 2007, 26, 497–511. [Google Scholar] [CrossRef] [PubMed]
- Kopczynska, M.; Zelek, W.M.; Vespa, S.; Touchard, S.; Wardle, M.; Loveless, S.; Thomas, R.H.; Hamandi, K.; Morgan, B.P. Complement System Biomarkers in Epilepsy. Seizure 2018, 60, 1–7. [Google Scholar] [CrossRef]
- Klitgaard, H.; Matagne, A.; Grimee, R.; Vanneste-Goemaere, J.; Margineanu, D.-G. Electrophysiological, Neurochemical and Regional Effects of Levetiracetam in the Rat Pilocarpine Model of Temporal Lobe Epilepsy. Seizure 2003, 12, 92–100. [Google Scholar] [CrossRef]
- Margineanu, D.-G.; Matagne, A.; Kaminski, R.M.; Klitgaard, H. Effects of Chronic Treatment with Levetiracetam on Hippocampal Field Responses after Pilocarpine-Induced Status Epilepticus in Rats. Brain Res. Bull. 2008, 77, 282–285. [Google Scholar] [CrossRef]
- Arion, D.; Sabatini, M.; Unger, T.; Pastor, J.; Alonso-Nanclares, L.; Ballesteros-Yáñez, I.; García Sola, R.; Muñoz, A.; Mirnics, K.; DeFelipe, J. Correlation of Transcriptome Profile with Electrical Activity in Temporal Lobe Epilepsy. Neurobiol. Dis. 2006, 22, 374–387. [Google Scholar] [CrossRef]
- Rakhade, S.N.; Shah, A.K.; Agarwal, R.; Yao, B.; Asano, E.; Loeb, J.A. Activity-dependent Gene Expression Correlates with Interictal Spiking in Human Neocortical Epilepsy. Epilepsia 2007, 48, 86–95. [Google Scholar] [CrossRef]
- Kim, J.-E.; Choi, H.-C.; Song, H.-K.; Jo, S.-M.; Kim, D.-S.; Choi, S.-Y.; Kim, Y.-I.; Kang, T.-C. Levetiracetam Inhibits Interleukin-1β Inflammatory Responses in the Hippocampus and Piriform Cortex of Epileptic Rats. Neurosci. Lett. 2010, 471, 94–99. [Google Scholar] [CrossRef] [PubMed]
- Itoh, K.; Taniguchi, R.; Matsuo, T.; Oguro, A.; Vogel, C.F.A.; Yamazaki, T.; Ishihara, Y. Suppressive Effects of Levetiracetam on Neuroinflammation and Phagocytic Microglia: A Comparative Study of Levetiracetam, Valproate and Carbamazepine. Neurosci. Lett. 2019, 708, 134363. [Google Scholar] [CrossRef] [PubMed]
- Hansson, E.; Björklund, U.; Skiöldebrand, E.; Rönnbäck, L. Anti-Inflammatory Effects Induced by Pharmaceutical Substances on Inflammatory Active Brain Astrocytes—Promising Treatment of Neuroinflammation. J. Neuroinflamm. 2018, 15, 321. [Google Scholar] [CrossRef] [PubMed]
- Itoh, K.; Ishihara, Y.; Komori, R.; Nochi, H.; Taniguchi, R.; Chiba, Y.; Ueno, M.; Takata-Tsuji, F.; Dohgu, S.; Kataoka, Y. Levetiracetam Treatment Influences Blood-Brain Barrier Failure Associated with Angiogenesis and Inflammatory Responses in the Acute Phase of Epileptogenesis in Post-Status Epilepticus Mice. Brain Res. 2016, 1652, 1–13. [Google Scholar] [CrossRef] [PubMed]
- Haghikia, A.; Ladage, K.; Hinkerohe, D.; Vollmar, P.; Heupel, K.; Dermietzel, R.; Faustmann, P.M. Implications of Antiinflammatory Properties of the Anticonvulsant Drug Levetiracetam in Astrocytes. J. Neurosci. Res. 2008, 86, 1781–1788. [Google Scholar] [CrossRef]
- Stienen, M.N.; Haghikia, A.; Dambach, H.; Thöne, J.; Wiemann, M.; Gold, R.; Chan, A.; Dermietzel, R.; Faustmann, P.M.; Hinkerohe, D.; et al. Anti-inflammatory Effects of the Anticonvulsant Drug Levetiracetam on Electrophysiological Properties of Astroglia Are Mediated via TGFβ1 Regulation. Br. J. Pharmacol. 2011, 162, 491–507. [Google Scholar] [CrossRef]
- Rigau, V.; Morin, M.; Rousset, M.-C.; de Bock, F.; Lebrun, A.; Coubes, P.; Picot, M.-C.; Baldy-Moulinier, M.; Bockaert, J.; Crespel, A.; et al. Angiogenesis Is Associated with Blood-Brain Barrier Permeability in Temporal Lobe Epilepsy. Brain 2007, 130, 1942–1956. [Google Scholar] [CrossRef]
- van Vliet, E.A.; da Costa Araujo, S.; Redeker, S.; van Schaik, R.; Aronica, E.; Gorter, J.A. Blood-Brain Barrier Leakage May Lead to Progression of Temporal Lobe Epilepsy. Brain 2007, 130, 521–534. [Google Scholar] [CrossRef]
- van Vliet, E.A.; Aronica, E.; Gorter, J.A. Role of Blood–Brain Barrier in Temporal Lobe Epilepsy and Pharmacoresistance. Neuroscience 2014, 277, 455–473. [Google Scholar] [CrossRef]
- Itoh, K.; Inamine, M.; Oshima, W.; Kotani, M.; Chiba, Y.; Ueno, M.; Ishihara, Y. Prevention of Status Epilepticus-Induced Brain Edema and Neuronal Cell Loss by Repeated Treatment with High-Dose Levetiracetam. Brain Res. 2015, 1608, 225–234. [Google Scholar] [CrossRef]
- Bartsch, J.W.; Schlomann, U. ADAM8/MS2/CD156a. In Handbook of Proteolytic Enzymes; Elsevier: Amsterdam, The Netherlands, 2013; pp. 1094–1101. [Google Scholar]
- Zeng, L.-H.; Rensing, N.R.; Wong, M. The Mammalian Target of Rapamycin Signaling Pathway Mediates Epileptogenesis in a Model of Temporal Lobe Epilepsy. J. Neurosci. 2009, 29, 6964–6972. [Google Scholar] [CrossRef]
- Cho, C.-H. Frontier of Epilepsy Research—MTOR Signaling Pathway. Exp. Mol. Med. 2011, 43, 231. [Google Scholar] [CrossRef]
- LaSarge, C.L.; Danzer, S.C. Mechanisms Regulating Neuronal Excitability and Seizure Development Following MTOR Pathway Hyperactivation. Front. Mol. Neurosci. 2014, 7, 18. [Google Scholar] [CrossRef]
- Moosavi, F.; Giovannetti, E.; Peters, G.J.; Firuzi, O. Combination of HGF/MET-Targeting Agents and Other Therapeutic Strategies in Cancer. Crit. Rev. Oncol. Hematol. 2021, 160, 103234. [Google Scholar] [CrossRef]
- Wang, H.; Hua, J.; Chen, S.; Chen, Y. SERPINB1 Overexpression Protects Myocardial Damage Induced by Acute Myocardial Infarction through AMPK/MTOR Pathway. BMC Cardiovasc. Disord. 2022, 22, 107. [Google Scholar] [CrossRef] [PubMed]
- Matsuo, M.; Sakurai, H.; Ueno, Y.; Ohtani, O.; Saiki, I. Activation of MEK/ERK and PI3K/Akt Pathways by Fibronectin Requires Integrin Alphav-Mediated ADAM Activity in Hepatocellular Carcinoma: A Novel Functional Target for Gefitinib. Cancer Sci. 2006, 97, 155–162. [Google Scholar] [CrossRef] [PubMed]
- Steinlein, O.K. Calcium Signaling and Epilepsy. Cell Tissue Res. 2014, 357, 385–393. [Google Scholar] [CrossRef] [PubMed]
- Torres, A.; Wang, F.; Xu, Q.; Fujita, T.; Dobrowolski, R.; Willecke, K.; Takano, T.; Nedergaard, M. Extracellular Ca2+ Acts as a Mediator of Communication from Neurons to Glia. Sci. Signal 2012, 5, ra8. [Google Scholar] [CrossRef] [PubMed]
- Ernst, W.L.; Zhang, Y.; Yoo, J.W.; Ernst, S.J.; Noebels, J.L. Genetic Enhancement of Thalamocortical Network Activity by Elevating A1G-Mediated Low-Voltage-Activated Calcium Current Induces Pure Absence Epilepsy. J. Neurosci. 2009, 29, 1615–1625. [Google Scholar] [CrossRef]
- Zhou, X.; Chen, Z.; Xiao, L.; Zhong, Y.; Liu, Y.; Wu, J.; Tao, H. Intracellular Calcium Homeostasis and Its Dysregulation Underlying Epileptic Seizures. Seizure 2022, 103, 126–136. [Google Scholar] [CrossRef]
- Kim, C.-H. Cav3.1 T-Type Calcium Channel Modulates the Epileptogenicity of Hippocampal Seizures in the Kainic Acid-Induced Temporal Lobe Epilepsy Model. Brain Res. 2015, 1622, 204–216. [Google Scholar] [CrossRef]
- Zona, C.; Niespodziany, I.; Marchetti, C.; Klitgaard, H.; Bernardi, G.; Margineanu, D.G. Levetiracetam Does Not Modulate Neuronal Voltage-Gated Na+ and T-Type Ca2+ currents. Seizure 2001, 10, 279–286. [Google Scholar] [CrossRef]
- Osada, S.; Nakashima, S.; Saji, S.; Nakamura, T.; Nozawa, Y. Hepatocyte Growth Factor (HGF) Mediates the Sustained Formation of 1,2-Diacylglycerol via Phosphatidylcholine-Phospholipase C in Cultured Rat Hepatocytes. FEBS Lett. 1992, 297, 271–274. [Google Scholar] [CrossRef]
- Tyndall, S.J.; Patel, S.J.; Walikonis, R.S. Hepatocyte Growth Factor-Induced Enhancement of Dendritic Branching Is Blocked by Inhibitors of N-Methyl-D-Aspartate Receptors and Calcium/Calmodulin-Dependent Kinases. J. Neurosci. Res. 2007, 85, 2343–2351. [Google Scholar] [CrossRef]
- Mizuno, K.; Shiba, K.; Okai, M.; Takahashi, Y.; Shitaka, Y.; Oiwa, K.; Tanokura, M.; Inaba, K. Calaxin Drives Sperm Chemotaxis by Ca2+-Mediated Direct Modulation of a Dynein Motor. Proc. Natl. Acad. Sci. USA 2012, 109, 20497–20502. [Google Scholar] [CrossRef]
- Sasaki, K.; Shiba, K.; Nakamura, A.; Kawano, N.; Satouh, Y.; Yamaguchi, H.; Morikawa, M.; Shibata, D.; Yanase, R.; Jokura, K.; et al. Calaxin Is Required for Cilia-Driven Determination of Vertebrate Laterality. Commun. Biol. 2019, 2, 226. [Google Scholar] [CrossRef]
- Wang, T.; Lu, M.; Du, Q.; Yao, X.; Zhang, P.; Chen, X.; Xie, W.; Li, Z.; Ma, Y.; Zhu, Y. An Integrated Anti-Arrhythmic Target Network of a Chinese Medicine Compound, Wenxin Keli, Revealed by Combined Machine Learning and Molecular Pathway Analysis. Mol. Biosyst. 2017, 13, 1018–1030. [Google Scholar] [CrossRef] [PubMed]
- Pizzagalli, M.D.; Bensimon, A.; Superti-Furga, G. A Guide to Plasma Membrane Solute Carrier Proteins. FEBS J. 2021, 288, 2784–2835. [Google Scholar] [CrossRef] [PubMed]
- Lin, L.; Yee, S.W.; Kim, R.B.; Giacomini, K.M. SLC Transporters as Therapeutic Targets: Emerging Opportunities. Nat. Rev. Drug Discov. 2015, 14, 543–560. [Google Scholar] [CrossRef] [PubMed]
- Kiedrowski, L.; Czyz, A.; Baranauskas, G.; Li, X.F.; Lytton, J. Differential Contribution of Plasmalemmal Na/Ca Exchange Isoforms to Sodium-Dependent Calcium Influx and NMDA Excitotoxicity in Depolarized Neurons. J. Neurochem. 2004, 90, 117–128. [Google Scholar] [CrossRef] [PubMed]
- Bhatt, R.; Bhatt, S.; Rameshwar, P.; Siegel, A. Amygdaloid Kindled Seizures Induce Weight Gain That Reflects Left Hemisphere Dominance in Rats. Physiol. Behav. 2004, 82, 581–587. [Google Scholar] [CrossRef] [PubMed]
- Hamed, S.A. Leptin and Insulin Homeostasis in Epilepsy: Relation to Weight Adverse Conditions. Epilepsy Res. 2007, 75, 1–9. [Google Scholar] [CrossRef] [PubMed]
- Han, Y.; Yang, J.; Zhong, R.; Guo, X.; Cai, M.; Lin, W. Side Effects of Long-Term Oral Anti-Seizure Drugs on Thyroid Hormones in Patients with Epilepsy: A Systematic Review and Network Meta-Analysis. Neurol. Sci. 2022, 43, 5217–5227. [Google Scholar] [CrossRef]
- Luo, X.; McGregor, G.; Irving, A.J.; Harvey, J. Leptin Induces a Novel Form of NMDA Receptor-Dependent LTP at Hippocampal Temporoammonic-CA1 Synapses. eNeuro 2015, 2, 1–17. [Google Scholar] [CrossRef]
- Kubek, M.J.; Domb, A.J.; Veronesi, M.C. Attenuation of Kindled Seizures by Intranasal Delivery of Neuropeptide-Loaded Nanoparticles. Neurotherapeutics 2009, 6, 359–371. [Google Scholar] [CrossRef]
- Zhang, H.; Xiao, Z.; Cilz, N.I.; Hu, B.; Dong, H.; Lei, S. Bombesin Facilitates GABAergic Transmission and Depresses Epileptiform Activity in the Entorhinal Cortex. Hippocampus 2014, 24, 21–31. [Google Scholar] [CrossRef]
- Espinosa-Jovel, C.; Toledano, R.; Jiménez-Huete, A.; Aledo-Serrano, Á.; García-Morales, I.; Campo, P.; Gil-Nagel, A. Olfactory Function in Focal Epilepsies: Understanding Mesial Temporal Lobe Epilepsy beyond the Hippocampus. Epilepsia Open 2019, 4, 487–492. [Google Scholar] [CrossRef] [PubMed]
- Gan, Y.; Wei, Z.; Liu, C.; Li, G.; Feng, Y.; Deng, Y. Solute Carrier Transporter Disease and Developmental and Epileptic Encephalopathy. Front. Neurol. 2022, 13, 1013903. [Google Scholar] [CrossRef] [PubMed]
- Jiang, G.-T.; Shao, L.; Kong, S.; Zeng, M.-L.; Cheng, J.-J.; Chen, T.-X.; Han, S.; Yin, J.; Liu, W.-H.; He, X.-H.; et al. Complement C3 Aggravates Post-Epileptic Neuronal Injury Via Activation of TRPV1. Neurosci. Bull. 2021, 37, 1427–1440. [Google Scholar] [CrossRef] [PubMed]
- Wang, X.F.; Ge, T.T.; Fan, J.; Yang, W.; Li, B.; Cui, R.J. The Role of Substance P in Epilepsy and Seizure Disorders. Oncotarget 2017, 8, 78225–78233. [Google Scholar] [CrossRef]
- Steinhoff, B.J.; Tumani, H.; Otto, M.; Mursch, K.; Wiltfang, J.; Herrendorf, G.; Bittermann, H.-J.; Felgenhauer, K.; Paulus, W.; Markakis, E. Cisternal S100 Protein and Neuron-Specific Enolase Are Elevated and Site-Specific Markers in Intractable Temporal Lobe Epilepsy. Epilepsy Res. 1999, 36, 75–82. [Google Scholar] [CrossRef]
- Galvez-Ruiz, A.; Galindo-Ferreiro, A.; Lehner, A. A New Gene Mutation in a Family with Idiopathic Infantile Nystagmus. Saudi J. Ophthalmol. 2021, 35, 61–65. [Google Scholar] [CrossRef]
- Rakitin, A.; Kõks, S.; Reimann, E.; Prans, E.; Haldre, S. Changes in the Peripheral Blood Gene Expression Profile Induced by 3 Months of Valproate Treatment in Patients with Newly Diagnosed Epilepsy. Front. Neurol. 2015, 6, 188. [Google Scholar] [CrossRef]
- Spoto, G.; Valentini, G.; Saia, M.C.; Butera, A.; Amore, G.; Salpietro, V.; Nicotera, A.G.; Di Rosa, G. Synaptopathies in Developmental and Epileptic Encephalopathies: A Focus on Pre-Synaptic Dysfunction. Front. Neurol. 2022, 13, 826211. [Google Scholar] [CrossRef]
- Hung, W.-L.; Hsieh, P.F.; Lee, Y.-C.; Chang, M.-H. Occipital Lobe Seizures Related to Marked Elevation of Hemoglobin A1C: Report of Two Cases. Seizure 2010, 19, 359–362. [Google Scholar] [CrossRef]
- Lukasiuk, K.; Pirttilä, T.J.; Pitkänen, A. Upregulation of Cystatin C Expression in the Rat Hippocampus During Epileptogenesis in the Amygdala Stimulation Model of Temporal Lobe Epilepsy. Epilepsia 2002, 43, 137–145. [Google Scholar] [CrossRef]
- Bae, M.H.; Bissonette, G.B.; Mars, W.M.; Michalopoulos, G.K.; Achim, C.L.; Depireux, D.A.; Powell, E.M. Hepatocyte Growth Factor (HGF) Modulates GABAergic Inhibition and Seizure Susceptibility. Exp. Neurol. 2010, 221, 129–135. [Google Scholar] [CrossRef] [PubMed]
- Quan, P.L.; Sabaté-Brescó, M.; Guo, Y.; Martín, M.; Gastaminza, G. The Multifaceted Mas-Related G Protein-Coupled Receptor Member X2 in Allergic Diseases and Beyond. Int. J. Mol. Sci. 2021, 22, 4421. [Google Scholar] [CrossRef]
- Seaborn, T.; Ravni, A.; Au, R.; Chow, B.K.C.; Fournier, A.; Wurtz, O.; Vaudry, H.; Eiden, L.E.; Vaudry, D. Induction of Serpinb1a by PACAP or NGF Is Required for PC12 Cells Survival after Serum Withdrawal. J. Neurochem. 2014, 131, 21–32. [Google Scholar] [CrossRef]
- Bu, S.; Lv, Y.; Liu, Y.; Qiao, S.; Wang, H. Zinc Finger Proteins in Neuro-Related Diseases Progression. Front. Neurosci. 2021, 15, 15760567. [Google Scholar] [CrossRef] [PubMed]
- MacLean, J., II. The Role of Rhox Homeobox Factors in Tumorigenesis. Front. Biosci. 2013, 18, 474. [Google Scholar] [CrossRef] [PubMed]
- Khomiak, D.; Kaczmarek, L. Matrix Metalloproteinase 9 and Epileptogenesis—The Crucial Role of the Enzyme and Strategies to Prevent the Disease Development. Postepy Biochem. 2018, 64, 222–230. [Google Scholar] [CrossRef]
- Redler, S.; Strom, T.M.; Wieland, T.; Cremer, K.; Engels, H.; Distelmaier, F.; Schaper, J.; Küchler, A.; Lemke, J.R.; Jeschke, S.; et al. Variants in CPLX1 in Two Families with Autosomal-Recessive Severe Infantile Myoclonic Epilepsy and ID. Eur. J. Hum. Genet. 2017, 25, 889–893. [Google Scholar] [CrossRef]
- Allswede, D.M.; Zheutlin, A.B.; Chung, Y.; Anderson, K.; Hultman, C.M.; Ingvar, M.; Cannon, T.D. Complement Gene Expression Correlates with Superior Frontal Cortical Thickness in Humans. Neuropsychopharmacology 2018, 43, 525–533. [Google Scholar] [CrossRef]
- Glien, M.; Brandt, C.; Potschka, H.; Voigt, H.; Ebert, U.; Löscher, W. Repeated Low-Dose Treatment of Rats with Pilocarpine: Low Mortality but High Proportion of Rats Developing Epilepsy. Epilepsy Res. 2001, 46, 111–119. [Google Scholar] [CrossRef]
- Lévesque, M.; Biagini, G.; de Curtis, M.; Gnatkovsky, V.; Pitsch, J.; Wang, S.; Avoli, M. The Pilocarpine Model of Mesial Temporal Lobe Epilepsy: Over One Decade Later, with More Rodent Species and New Investigative Approaches. Neurosci. Biobehav. Rev. 2021, 130, 274–291. [Google Scholar] [CrossRef]
- Contreras-García, I.J.; Pichardo-Macías, L.A.; Santana-Gómez, C.E.; Sánchez-Huerta, K.; Ramírez-Hernández, R.; Gómez-González, B.; Rocha, L.; Mendoza Torreblanca, J.G. Differential Expression of Synaptic Vesicle Protein 2A after Status Epilepticus and during Epilepsy in a Lithium-Pilocarpine Model. Epilepsy Behav. 2018, 88, 283–294. [Google Scholar] [CrossRef]
- Racine, R.J. Modification of Seizure Activity by Electrical Stimulation: II. Motor Seizure. Electroencephalogr. Clin. Neurophysiol. 1972, 32, 281–294. [Google Scholar] [CrossRef] [PubMed]
- Contreras-García, I.J.; Gómez-Lira, G.; Phillips-Farfán, B.V.; Pichardo-Macías, L.A.; García-Cruz, M.E.; Chávez-Pacheco, J.L.; Mendoza-Torreblanca, J.G. Synaptic Vesicle Protein 2a Expression in Glutamatergic Terminals Is Associated with the Response to Levetiracetam Treatment. Brain Sci. 2021, 11, 531. [Google Scholar] [CrossRef] [PubMed]
- Sultan, F.A. Dissection of Different Areas from Mouse Hippocampus. Bio Protoc. 2013, 3, 1–13. [Google Scholar] [CrossRef] [PubMed]
- Ye, J.; Coulouris, G.; Zaretskaya, I.; Cutcutache, I.; Rozen, S.; Madden, T.L. Primer-BLAST: A Tool to Design Target-Specific Primers for Polymerase Chain Reaction. BMC Bioinform. 2012, 13, 134. [Google Scholar] [CrossRef]
- Livak, K.J.; Schmittgen, T.D. Analysis of Relative Gene Expression Data Using Real-Time Quantitative PCR and the 2 C T Method. Methods 2001, 25, 402–408. [Google Scholar] [CrossRef]












| SRS per Week | ||
|---|---|---|
| Group | (Pretreatment week) | (Treatment week) |
| EPI | 1.0 (1.00–4.25) | 2.0 (1.00–3.00) |
| EPI + LEV | 2.0 (1.75–4.25) | 0.0 (0.00–0.00) *,† |
| GO Term | Gene | Gene Name | FC EPI | FC LEV | p-Value |
|---|---|---|---|---|---|
| Synapse | Cplx4 | complexin 4 | 4.15 | 5.29 | 0.0069 |
| Extracellular space; cytoplasm | Csta | cystatin A (stefin A) | −3.4 | 2.58 | 0.0000119 |
| Increased cell proliferation; angiogenesis; negative regulation of the apoptotic process; regulation of cell migration; chemoattractant activities | Hgf | hepatocyte growth factor | 2.54 | −2.2 | 0.0029 |
| Angiogenesis; oxidative stress; negative regulation of apoptotic process; regulation of cell migration | Mmp9 | matrix metallopeptidase 9 | 2.8 | 2.14 | 0.0005 |
| G protein-coupled receptor activity | Mrgprx2 | Mas-related GPR, member X2 | 2.15 | −2.02 | 0.0012 |
| Inflammatory response; extracellular space | Serpinb1a | serine (or cysteine) proteinase inhibitor, clade B, member 1a | 3.44 | −3.45 | 0.0002 |
| Inflammatory response; extracellular space | SERPING1 | serpin peptidase inhibitor, clade G (C1 inhibitor), member 1 | 2.67 | 2.16 | 0.0027 |
| Nucleus | Rhox9 | reproductive homeobox 9 | −2.04 | 2.09 | 0.0004 |
| Nucleus | Zfp53 | Zinc finger protein 53 | 2.77 | −2.99 | 0.009 |
| Integral component of plasma membrane; olfactory receptors; sensory perception of chemical stimulus; synapses | Olr24 | olfactory receptor 24 | −2.63 | 3.05 | 0.000178 |
| Olr260 | olfactory receptor 260 | 2.07 | −2.21 | 0.0141 | |
| Olr443 | olfactory receptor 443 | 2.42 | −2.84 | 0.0027 | |
| Olr576 | olfactory receptor 576 | −2.11 | 2.19 | 0.0022 | |
| Olr790 | olfactory receptor 790 | 2.96 | −2.46 | 0.0002 | |
| Olr1232 | olfactory receptor 1232 | 2.0 | −2.07 | 0.025 | |
| Olr1251 | olfactory receptor 1251 | −2.08 | 2.15 | 0.006 | |
| Olr1308 | olfactory receptor 1308 | 2.8 | −3.62 | 0.000178 | |
| Olr1456 | olfactory receptor 1456 | −2.54 | 2.25 | 0.0006 | |
| Olr1511 | olfactory receptor 1511 | 4.08 | −2.56 | 0.0002 | |
| Olr1532 | olfactory receptor 1532 | 2.8 | −2.06 | 0.01 | |
| Olr1686 | olfactory receptor 1686 | −2.33 | 2.17 | 0.0008 |
| Rat | Group | Microarray Analysis | qPCR Analysis |
|---|---|---|---|
| 1 | CTRL | X | X |
| 2 | CTRL | X | X |
| 3 | CTRL | X | X |
| 4 | CTRL | X | |
| 5 | CTRL | X | |
| 6 | EPI | X | X |
| 7 | EPI | X | X |
| 8 | EPI | X | |
| 9 | EPI | X | |
| 10 | EPI | X | |
| 11 | EPI | X | |
| 12 | EPI | X | |
| 13 | EPI + LEV | X | X |
| 14 | EPI + LEV | X | X |
| 15 | EPI + LEV | X | X |
| 16 | EPI + LEV | X | |
| 17 | EPI + LEV | X |
Disclaimer/Publisher’s Note: The statements, opinions and data contained in all publications are solely those of the individual author(s) and contributor(s) and not of MDPI and/or the editor(s). MDPI and/or the editor(s) disclaim responsibility for any injury to people or property resulting from any ideas, methods, instructions or products referred to in the content. |
© 2024 by the authors. Licensee MDPI, Basel, Switzerland. This article is an open access article distributed under the terms and conditions of the Creative Commons Attribution (CC BY) license (https://creativecommons.org/licenses/by/4.0/).
Share and Cite
Diaz-Villegas, V.; Pichardo-Macías, L.A.; Juárez-Méndez, S.; Ignacio-Mejía, I.; Cárdenas-Rodríguez, N.; Vargas-Hernández, M.A.; Mendoza-Torreblanca, J.G.; Zamudio, S.R. Changes in the Dentate Gyrus Gene Expression Profile Induced by Levetiracetam Treatment in Rats with Mesial Temporal Lobe Epilepsy. Int. J. Mol. Sci. 2024, 25, 1690. https://doi.org/10.3390/ijms25031690
Diaz-Villegas V, Pichardo-Macías LA, Juárez-Méndez S, Ignacio-Mejía I, Cárdenas-Rodríguez N, Vargas-Hernández MA, Mendoza-Torreblanca JG, Zamudio SR. Changes in the Dentate Gyrus Gene Expression Profile Induced by Levetiracetam Treatment in Rats with Mesial Temporal Lobe Epilepsy. International Journal of Molecular Sciences. 2024; 25(3):1690. https://doi.org/10.3390/ijms25031690
Chicago/Turabian StyleDiaz-Villegas, Veronica, Luz Adriana Pichardo-Macías, Sergio Juárez-Méndez, Iván Ignacio-Mejía, Noemí Cárdenas-Rodríguez, Marco Antonio Vargas-Hernández, Julieta Griselda Mendoza-Torreblanca, and Sergio R. Zamudio. 2024. "Changes in the Dentate Gyrus Gene Expression Profile Induced by Levetiracetam Treatment in Rats with Mesial Temporal Lobe Epilepsy" International Journal of Molecular Sciences 25, no. 3: 1690. https://doi.org/10.3390/ijms25031690
APA StyleDiaz-Villegas, V., Pichardo-Macías, L. A., Juárez-Méndez, S., Ignacio-Mejía, I., Cárdenas-Rodríguez, N., Vargas-Hernández, M. A., Mendoza-Torreblanca, J. G., & Zamudio, S. R. (2024). Changes in the Dentate Gyrus Gene Expression Profile Induced by Levetiracetam Treatment in Rats with Mesial Temporal Lobe Epilepsy. International Journal of Molecular Sciences, 25(3), 1690. https://doi.org/10.3390/ijms25031690

