Valorization of Hom Thong Banana Peel (Musa sp., AAA Group) as an Anti-Melanogenic Agent Through Inhibition of Pigmentary Genes and Molecular Docking Study
Abstract
1. Introduction
2. Results
2.1. Extraction Yields and Phenolic Composition
2.2. Effects of Banana Peel Extracts on Mushroom Tyrosinase Activity
2.3. Interaction of Bioactive Compounds from Banana Peel Extracts with Mushroom Tyrosinase
2.4. Banana Peel Extracts Inhibit Melanogenesis in Melanoma Cells
2.4.1. Inhibitory Effects of Banana Peel Extracts on Intracellular Melanin Content and Tyrosinase Activity
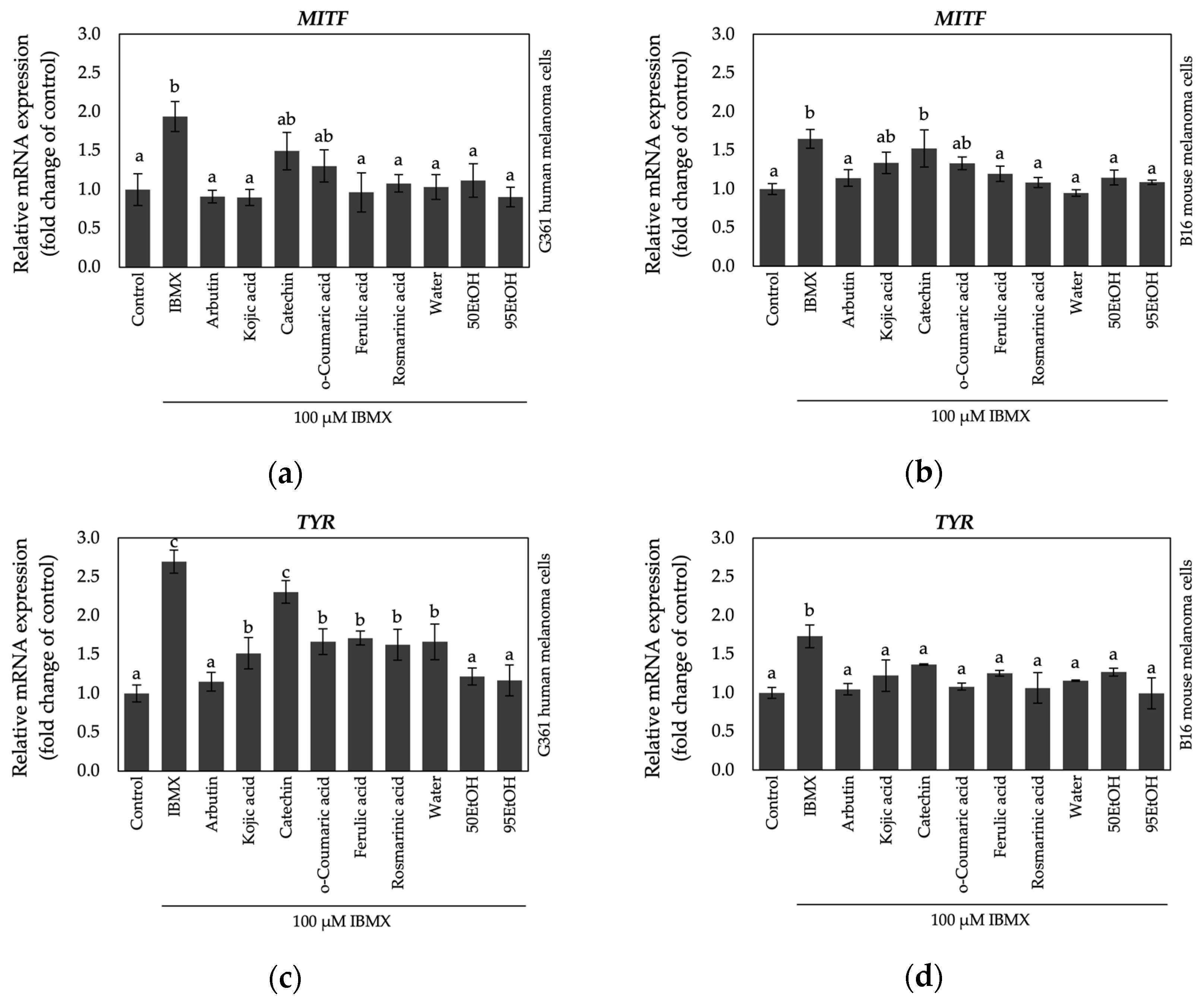
2.4.2. Inhibitory Effects of Banana Peel Extracts on the Expression of Transcription Factor MITF and Pigmentary Genes
3. Discussion
4. Materials and Methods
4.1. Plant Materials and Extracts Preparation
4.2. Determination of Phenolic Profiles Using Liquid Chromatography Coupled with Electrospray Ion Quadrupole Mass Spectrometry (LC-ESI/MS)
4.3. Mushroom Tyrosinase Activity Assay
4.4. Computational Study
4.4.1. Protein and Ligands Preparation
4.4.2. Molecular Docking Study for Mushroom Tyrosinase
4.5. Cell Culture and Cell Viability Assay
4.6. Determination of Intracellular Melanin Content
4.7. Determination of Intracellular Tyrosinase Activity
4.8. Determination of Pigmentary Genes Expression
4.9. Statistical Analysis
5. Conclusions
Supplementary Materials
Author Contributions
Funding
Institutional Review Board Statement
Informed Consent Statement
Data Availability Statement
Acknowledgments
Conflicts of Interest
References
- Chaiprasongsuk, A.; Panich, U. Role of phytochemicals in skin photoprotection via regulation of Nrf2. Front. Pharmacol. 2022, 13, 823881. [Google Scholar] [CrossRef] [PubMed]
- D’Mello, S.A.; Finlay, G.J.; Baguley, B.C.; Askarian-Amiri, M.E. Signaling pathways in melanogenesis. Int. J. Mol. Sci. 2016, 17, 1144. [Google Scholar] [CrossRef] [PubMed]
- Dabas, G.; Vinay, K.; Parsad, D.; Kumar, A.; Kumaran, M. Psychological disturbances in patients with pigmentary disorders: A cross-sectional study. J. Eur. Acad. Dermatol. Venereol. 2020, 34, 392–399. [Google Scholar] [CrossRef] [PubMed]
- Platsidaki, E.; Efstathiou, V.; Markantoni, V.; Kouris, A.; Kontochristopoulos, G.; Nikolaidou, E.; Rigopoulos, D.; Stratigos, A.; Gregoriou, S. Self-esteem, depression, anxiety and quality of life in patients with melasma living in a sunny Mediterranean area: Results from a prospective cross-sectional study. Dermatol. Ther. 2023, 13, 1127–1136. [Google Scholar] [CrossRef] [PubMed]
- Feller, L.; Khammissa, R.; Kramer, B.; Altini, M.; Lemmer, J. Basal cell carcinoma, squamous cell carcinoma and melanoma of the head and face. Head Face Med. 2016, 12, 11. [Google Scholar] [CrossRef]
- Vyas, R.; Selph, J.; Gerstenblith, M.R. Cutaneous manifestations associated with melanoma. Semin. Oncol. 2016, 43, 384–389. [Google Scholar] [CrossRef]
- Weijn, A.; Bastiaan-Net, S.; Wichers, H.; Mes, J. Melanin biosynthesis pathway in Agaricus bisporus mushrooms. Fungal Genet. Biol. 2013, 55, 42–53. [Google Scholar] [CrossRef]
- Ismaya, W.T.; Rozeboom, H.J.; Weijn, A.; Mes, J.J.; Fusetti, F.; Wichers, H.J.; Dijkstra, B.W. Crystal structure of Agaricus bisporus mushroom tyrosinase: Identity of the tetramer subunits and interaction with tropolone. Biochemistry 2011, 50, 5477–5486. [Google Scholar] [CrossRef]
- Martins, L.S.; Lameira, J.; Kruger, H.G.; Alves, C.N.; Silva, J.R.A. Evaluating the performance of a non-bonded Cu2+ model including Jahn−Teller effect into the binding of tyrosinase inhibitors. Int. J. Mol. Sci. 2020, 21, 4783. [Google Scholar] [CrossRef]
- Pillaiyar, T.; Namasivayam, V.; Manickam, M.; Jung, S.-H. Inhibitors of melanogenesis: An updated review. J. Med. Chem. 2018, 61, 7395–7418. [Google Scholar] [CrossRef]
- Plensdorf, S.; Livieratos, M.; Dada, N. Pigmentation disorders: Diagnosis and management. Am. Fam. Physician 2017, 96, 797–804. [Google Scholar] [PubMed]
- Maddaleno, A.S.; Camargo, J.; Mitjans, M.; Vinardell, M.P. Melanogenesis and melasma treatment. Cosmetics 2021, 8, 82. [Google Scholar] [CrossRef]
- Lajis, A.F.B.; Ariff, A.B. Discovery of new depigmenting compounds and their efficacy to treat hyperpigmentation: Evidence from in vitro study. J. Cosmet. Dermatol. 2019, 18, 703–727. [Google Scholar] [CrossRef] [PubMed]
- Searle, T.; Al-Niaimi, F.; Ali, F.R. The top 10 cosmeceuticals for facial hyperpigmentation. Dermatologic Ther. 2020, 33, e14095. [Google Scholar] [CrossRef] [PubMed]
- Feng, D.; Fang, Z.; Zhang, P. The melanin inhibitory effect of plants and phytochemicals: A systematic review. Phytomedicine 2022, 107, 154449. [Google Scholar] [CrossRef]
- Ruksiriwanich, W.; Linsaenkart, P.; Khantham, C.; Muangsanguan, A.; Sringarm, K.; Jantrawut, P.; Prom-U-Thai, C.; Jamjod, S.; Yamuangmorn, S.; Arjin, C. Regulatory effects of thai rice by-product extracts from Oryza sativa L. cv. Bue Bang 3 CMU and Bue Bang 4 CMU on melanin production, nitric oxide secretion, and steroid 5α-reductase inhibition. Plants 2023, 12, 653. [Google Scholar] [CrossRef]
- Choudhury, N.; Nickhil, C.; Deka, S.C. Comprehensive review on the nutritional and therapeutic value of banana by-products and their applications in food and non-food sectors. Food Biosci. 2023, 103416. [Google Scholar] [CrossRef]
- Panyayong, C.; Srikaeo, K. Foods from banana inflorescences and their antioxidant properties: An exploratory case in Thailand. Int. J. Gastron. Food Sci. 2022, 28, 100436. [Google Scholar] [CrossRef]
- Putra, N.R.; Aziz, A.H.A.; Faizal, A.N.M.; Che Yunus, M.A. Methods and potential in valorization of banana peels waste by various extraction processes: In review. Sustainability 2022, 14, 10571. [Google Scholar] [CrossRef]
- Hikal, W.M.; Said-Al Ahl, H.A.; Bratovcic, A.; Tkachenko, K.G.; Sharifi-Rad, J.; Kačániová, M.; Elhourri, M.; Atanassova, M. Banana peels: A waste treasure for human being. Evid. Based Complement. Alternat. Med. 2022, 2022, 7616452. [Google Scholar] [CrossRef]
- Bilhman, S.; Ramanathan, S.; Dumjun, K.; Wunnoo, S.; Lethongkam, S.; Waen-ngoen, T.; Kaewnopparat, N.; Paosen, S.; Voravuthikunchai, S.P. Value-added from microwave-assisted extraction of Musa sapientum waste as an alternative safe and effective agent for the treatment of hyperpigmentation. Waste Biomass Valorization 2023, 14, 1477–1488. [Google Scholar] [CrossRef]
- Phacharapiyangkul, N.; Thirapanmethee, K.; Sa-Ngiamsuntorn, K.; Panich, U.; Lee, C.-H.; Chomnawang, M.T. The ethanol extract of Musa sapientum Linn. Peel inhibits melanogenesis through AKT signaling pathway. Cosmetics 2021, 8, 70. [Google Scholar] [CrossRef]
- Phacharapiyangkul, N.; Thirapanmethee, K.; Sa-Ngiamsuntorn, K.; Panich, U.; Lee, C.-H.; Chomnawang, M.T. Effect of sucrier banana peel extracts on inhibition of melanogenesis through the ERK signaling pathway. Int. J. Med. Sci. 2019, 16, 602. [Google Scholar] [CrossRef] [PubMed]
- Khantham, C.; Yooin, W.; Sringarm, K.; Sommano, S.R.; Jiranusornkul, S.; Carmona, F.D.; Nimlamool, W.; Jantrawut, P.; Rachtanapun, P.; Ruksiriwanich, W. Effects on steroid 5-alpha reductase gene expression of Thai rice bran extracts and molecular dynamics study on SRD5A2. Biology 2021, 10, 319. [Google Scholar] [CrossRef] [PubMed]
- Kawakami, A.; Fisher, D.E. The master role of microphthalmia-associated transcription factor in melanocyte and melanoma biology. Lab. Investig. 2017, 97, 649–656. [Google Scholar] [CrossRef]
- Wakamatsu, K.; Zippin, J.H.; Ito, S. Chemical and biochemical control of skin pigmentation with special emphasis on mixed melanogenesis. Pigment Cell Melanoma Res. 2021, 34, 730–747. [Google Scholar] [CrossRef]
- Lai, X.; Wichers, H.J.; Soler-Lopez, M.; Dijkstra, B.W. Structure and function of human tyrosinase and tyrosinase-related proteins. Chem. Eur. J. 2018, 24, 47–55. [Google Scholar] [CrossRef]
- Lai, X.; Wichers, H.J.; Soler-Lopez, M.; Dijkstra, B.W. Structure of human tyrosinase related protein 1 reveals a binuclear zinc active site important for melanogenesis. Angew. Chem. Int. Ed. 2017, 56, 9812–9815. [Google Scholar] [CrossRef]
- Dolinska, M.B.; Woods, T.; Osuna, I.; Sergeev, Y.V. Protein biochemistry and molecular modeling of the intra-melanosomal domain of human recombinant Tyrp2 protein and OCA8-related mutant variants. Int. J. Mol. Sci. 2022, 23, 1305. [Google Scholar] [CrossRef]
- Kausar, R.; Zahoor, A.F.; Tabassum, H.; Kamal, S.; Ahmad Bhat, M. Synergistic biomedical potential and molecular docking analyses of coumarin–triazole hybrids as tyrosinase inhibitors: Design, synthesis, in vitro profiling, and in silico studies. Pharmaceuticals 2024, 17, 532. [Google Scholar] [CrossRef]
- Chen, W.-C.; Wang, S.-W.; Li, C.-W.; Lin, H.-R.; Yang, C.-S.; Chu, Y.-C.; Lee, T.-H.; Chen, J.-J. Comparison of various solvent extracts and major bioactive components from Portulaca oleracea for antioxidant, anti-tyrosinase, and anti-α-glucosidase activities. Antioxidants 2022, 11, 398. [Google Scholar] [CrossRef] [PubMed]
- Zuo, A.-R.; Dong, H.-H.; Yu, Y.-Y.; Shu, Q.-L.; Zheng, L.-X.; Yu, X.-Y.; Cao, S.-W. The antityrosinase and antioxidant activities of flavonoids dominated by the number and location of phenolic hydroxyl groups. Chin. Med. 2018, 13, 51. [Google Scholar] [CrossRef] [PubMed]
- Huang, L.; Chen, J.; Quan, J.; Xiang, D. Rosmarinic acid inhibits proliferation and migration, promotes apoptosis and enhances cisplatin sensitivity of melanoma cells through inhibiting ADAM17/EGFR/AKT/GSK3β axis. Bioengineered 2021, 12, 3065–3076. [Google Scholar] [CrossRef] [PubMed]
- Parisi, O.I.; Malivindi, R.; Amone, F.; Ruffo, M.; Malanchin, R.; Carlomagno, F.; Piangiolino, C.; Nobile, V.; Pezzi, V.; Scrivano, L. Safety and efficacy of dextran-rosmarinic acid conjugates as innovative polymeric antioxidants in skin whitening: What is the evidence? Cosmetics 2017, 4, 28. [Google Scholar] [CrossRef]
- Linsaenkart, P.; Ruksiriwanich, W.; Sringarm, K.; Arjin, C.; Rachtanapun, P.; Chittasupho, C.; Castagnini, J.M.; Chutoprapat, R.; Mueller, A.; Boonpisuttinant, K. Anti-melanogenic potential of Malabar spinach (Basella alba) in human melanoma cells with oxidative stress suppression and anti-inflammatory activities. Foods 2024, 13, 2943. [Google Scholar] [CrossRef]
- Leerach, N.; Yakaew, S.; Phimnuan, P.; Soimee, W.; Nakyai, W.; Luangbudnark, W.; Viyoch, J. Effect of Thai banana (Musa AA group) in reducing accumulation of oxidation end products in UVB-irradiated mouse skin. J. Photochem. Photobiol. B 2017, 168, 50–58. [Google Scholar] [CrossRef]
- Ruksiriwanich, W.; Khantham, C.; Linsaenkart, P.; Chaitep, T.; Rachtanapun, P.; Jantanasakulwong, K.; Phimolsiripol, Y.; Režek Jambrak, A.; Nazir, Y.; Yooin, W. Anti-inflammation of bioactive compounds from ethanolic extracts of edible bamboo mushroom (Dictyophora indusiata) as functional health promoting food ingredients. Int. J. Food Sci. Tech. 2022, 57, 110–122. [Google Scholar] [CrossRef]
- Linsaenkart, P.; Ruksiriwanich, W.; Jantrawut, P.; Chittasupho, C.; Rachtanapun, P.; Jantanasakulwong, K.; Sommano, S.R.; Prom-U-Thai, C.; Jamjod, S.; Arjin, C. Natural melanogenesis inhibitor, antioxidant, and collagen biosynthesis stimulator of phytochemicals in rice bran and husk extracts from purple glutinous rice (Oryza sativa L. cv. Pieisu 1 CMU) for cosmetic application. Plants 2023, 12, 970. [Google Scholar] [CrossRef]
- Frisch, M.J.; Trucks, G.W.; Schlegel, H.B.; Scuseria, G.E.; Robb, M.A.; Cheeseman, J.R.; Scalmani, G.; Barone, V.; Petersson, G.A.; Nakatsuji, H.; et al. Gaussian 16 Rev. C.01; Gaussian: Wallingford, CT, USA, 2016. [Google Scholar]
- Morris, G.M.; Goodsell, D.S.; Halliday, R.S.; Huey, R.; Hart, W.E.; Belew, R.K.; Olson, A.J. Automated docking using a Lamarckian genetic algorithm and an empirical binding free energy function. J. Comput. Chem. 1998, 19, 1639–1662. [Google Scholar] [CrossRef]
- Buitrago, E.; Faure, C.; Carotti, M.; Bergantino, E.; Hardré, R.; Maresca, M.; Philouze, C.; Vanthuyne, N.; Boumendjel, A.; Bubacco, L. Exploiting HOPNO-dicopper center interaction to development of inhibitors for human tyrosinase. Eur. J. Med. Chem. 2023, 248, 115090. [Google Scholar] [CrossRef]
- Faure, C.; Min Ng, Y.; Belle, C.; Soler-Lopez, M.; Khettabi, L.; Saïdi, M.; Berthet, N.; Maresca, M.; Philouze, C.; Rachidi, W. Interactions of phenylalanine derivatives with human tyrosinase: Lessons from experimental and theoretical tudies. Chembiochem 2024, e202400235. [Google Scholar] [CrossRef] [PubMed]
- The PyMOL Molecular Graphics System, version 3.0; Schrödinger LLC: New York, NY, USA, 2020.
- Muangsanguan, A.; Linsaenkart, P.; Chaitep, T.; Sangta, J.; Sommano, S.R.; Sringarm, K.; Arjin, C.; Rachtanapun, P.; Jantanasakulwong, K.; Phimolsiripol, Y. Hair growth promotion and anti-hair loss effects of by-products Arabica coffee pulp extracts using supercritical fluid extraction. Foods 2023, 12, 4116. [Google Scholar] [CrossRef] [PubMed]
- Linsaenkart, P.; Ruksiriwanich, W.; Muangsanguan, A.; Sommano, S.R.; Sringarm, K.; Arjin, C.; Rachtanapun, P.; Jantanasakulwong, K.; Castagnini, J.M.; Chutoprapat, R. Antioxidant, anti-inflammation, and melanogenesis inhibition of Sang 5 CMU rice (Oryza sativa) byproduct for cosmetic applications. Plants 2024, 13, 1795. [Google Scholar] [CrossRef] [PubMed]
- Muangsanguan, A.; Ruksiriwanich, W.; Linsaenkart, P.; Jantrawut, P.; Rachtanapun, P.; Jantanasakulwong, K.; Sommano, S.R.; Sringarm, K.; Arjin, C.; Sainakham, M. Synergistic phytochemical and pharmacological actions of Hair RiseTM microemulsion: A novel herbal formulation for androgenetic alopecia and hair growth stimulation. Plants 2024, 13, 2802. [Google Scholar] [CrossRef]
- Seo, G.-Y.; Ha, Y.; Park, A.-H.; Kwon, O.W.; Kim, Y.-J. Leathesia difformis extract inhibits α-MSH-induced melanogenesis in B16F10 cells via down-regulation of CREB signaling pathway. Int. J. Mol. Sci. 2019, 20, 536. [Google Scholar] [CrossRef]
- Zhao, P.; He, X.-B.; Chen, X.-Y.; Li, Z.-L.; Xing, W.-J.; Liu, W.; Ren, C.; Han, X.-D.; Guo, B. Celastrol inhibits mouse B16-F10 melanoma cell survival by regulating the PI3K/AKT/mTOR signaling pathway and repressing HIF-1α expression. Discov. Oncol. 2024, 15, 178. [Google Scholar] [CrossRef]









| Bioactive Components (mg/g Extract) | Water | 50EtOH | 95EtOH |
|---|---|---|---|
| Catechin | 1.89 ± 0.05 | ND | ND |
| o-Coumaric acid | 0.65 ± 0.01 | ND | ND |
| Ferulic acid | ND | 0.21 ± 0.00 | ND |
| Rosmarinic acid | 0.12 ± 0.00 a | 0.55 ± 0.02 b | 0.90 ± 0.00 c |
| Samples | IC50 Values (mg/mL) | |||||
|---|---|---|---|---|---|---|
| L-Tyrosine as the Substrate | L-DOPA as the Substrate | |||||
| Water | 5.56 | ± | 0.46 f | 17.35 | ± | 3.24 d |
| 50EtOH | 2.33 | ± | 0.23 c | 2.70 | ± | 0.07 ab |
| 95EtOH | 0.92 | ± | 0.15 a | 2.01 | ± | 0.17 a |
| Arbutin | 1.09 | ± | 0.03 ab | 3.44 | ± | 0.04 b |
| Kojic acid | 4.66 | ± | 0.05 e | 3.48 | ± | 0.18 b |
| Catechin | 4.97 | ± | 0.07 e | 6.42 | ± | 0.45 c |
| o-Coumaric acid | 1.39 | ± | 0.03 b | 4.19 | ± | 0.15 b |
| Ferulic acid | 3.54 | ± | 0.10 d | 3.93 | ± | 0.09 b |
| Rosmarinic acid | 3.32 | ± | 0.12 d | 3.62 | ± | 0.08 b |
| Ligands | PubChem CID | Binding Free Energy, ∆G (kcal/mol) |
|---|---|---|
| L-DOPA | 6047 | −5.37 |
| L-Tyrosine | 6057 | −5.18 |
| (+)-Catechin | 9064 | −5.07 |
| (R)-Rosmarinic acid | 5281792 | −5.05 |
| β-Arbutin | 440936 | −4.06 |
| Kojic acid | 3840 | −3.60 |
| trans-o-Coumaric acid | 637540 | −3.34 |
| trans-Ferulic acid | 445858 | −3.10 |
| Target | Species | Forward Primer (5′ to 3′) | Reverse Primer (5′ to 3′) | References |
|---|---|---|---|---|
| MITF | Human | ACCGTCTCTCACTGGATTGGT | ACCAATCCAGTGAGAGACGGT | [45] |
| Mouse | ATCCCATCCACCGGTCTCTG | CAGAGACCGGTGGATGGGAT | [47] | |
| TYR | Human | TTGGCATAGACTCTTCTTGTTGCGG | CCGCAACAAGAAGAGTCTATGCCAA | [45] |
| Mouse | AAGAATGCTGCCCACCATGG | CCATGGTGGGCAGCATTCTT | [47] | |
| TRP-1 | Human | TGGCAAAGCGCACAACTCACCC | GGGTGAGTTGTGCGCTTTGCCA | [45] |
| Mouse | CAGTGCAGCGTCTTCCTGAG | CTCAGGAAGACGCTGCACTG | [47] | |
| DCT | Human | TGTGGAGACTGCAAGTTTGGC | GCCAAACTTGCAGTCTCCACA | [45] |
| Mouse | GATGGCGTGCTGAACAAGGA | TCCTTGTTCAGCACGCCATC | [47] | |
| GAPDH | Human | GGAAGGTGAAGGTCGGAGTC | CTCAGCCTTGACGGTGCCATG | [45] |
| Mouse | CCTCGTCCCGTAGACAAAATG | CATTTTGTCTACGGGACGAGG | [48] |
Disclaimer/Publisher’s Note: The statements, opinions and data contained in all publications are solely those of the individual author(s) and contributor(s) and not of MDPI and/or the editor(s). MDPI and/or the editor(s) disclaim responsibility for any injury to people or property resulting from any ideas, methods, instructions or products referred to in the content. |
© 2024 by the authors. Licensee MDPI, Basel, Switzerland. This article is an open access article distributed under the terms and conditions of the Creative Commons Attribution (CC BY) license (https://creativecommons.org/licenses/by/4.0/).
Share and Cite
Linsaenkart, P.; Yooin, W.; Jiranusornkul, S.; Sringarm, K.; Arjin, C.; Rachtanapun, P.; Jantanasakulwong, K.; Castagnini, J.M.; Ruksiriwanich, W. Valorization of Hom Thong Banana Peel (Musa sp., AAA Group) as an Anti-Melanogenic Agent Through Inhibition of Pigmentary Genes and Molecular Docking Study. Int. J. Mol. Sci. 2024, 25, 13202. https://doi.org/10.3390/ijms252313202
Linsaenkart P, Yooin W, Jiranusornkul S, Sringarm K, Arjin C, Rachtanapun P, Jantanasakulwong K, Castagnini JM, Ruksiriwanich W. Valorization of Hom Thong Banana Peel (Musa sp., AAA Group) as an Anti-Melanogenic Agent Through Inhibition of Pigmentary Genes and Molecular Docking Study. International Journal of Molecular Sciences. 2024; 25(23):13202. https://doi.org/10.3390/ijms252313202
Chicago/Turabian StyleLinsaenkart, Pichchapa, Wipawadee Yooin, Supat Jiranusornkul, Korawan Sringarm, Chaiwat Arjin, Pornchai Rachtanapun, Kittisak Jantanasakulwong, Juan M. Castagnini, and Warintorn Ruksiriwanich. 2024. "Valorization of Hom Thong Banana Peel (Musa sp., AAA Group) as an Anti-Melanogenic Agent Through Inhibition of Pigmentary Genes and Molecular Docking Study" International Journal of Molecular Sciences 25, no. 23: 13202. https://doi.org/10.3390/ijms252313202
APA StyleLinsaenkart, P., Yooin, W., Jiranusornkul, S., Sringarm, K., Arjin, C., Rachtanapun, P., Jantanasakulwong, K., Castagnini, J. M., & Ruksiriwanich, W. (2024). Valorization of Hom Thong Banana Peel (Musa sp., AAA Group) as an Anti-Melanogenic Agent Through Inhibition of Pigmentary Genes and Molecular Docking Study. International Journal of Molecular Sciences, 25(23), 13202. https://doi.org/10.3390/ijms252313202

