New-Generation Antibacterial Agent—Cellulose-Binding Thermostable TP84_Endolysin
Abstract
1. Introduction
- (i)
- Glycosidases, cleaving the bonds between N-acetylglucosamine and N-acetylmuramic acid, including two subgroups: N-acetylmuramidases and N-acetylglucosaminidases.
- (ii)
- Transglucosylases, cleaving bonds between N-acetylmuramic acid and N-acetylglucosamine (like N-acetylmuramidases), but in a different mechanism; they do not require water and thus are not considered hydrolases.
- (iii)
- Amidases, cleaving the amide bond between N-acetylmuramic acid and L-alanine, the first amino acid in the cross-linking peptide.
- (iv)
2. Results
2.1. Cloning, Overproduction, and Purification of CBD_TP84_28_His
2.2. Properties of CBD_TP84_28_His
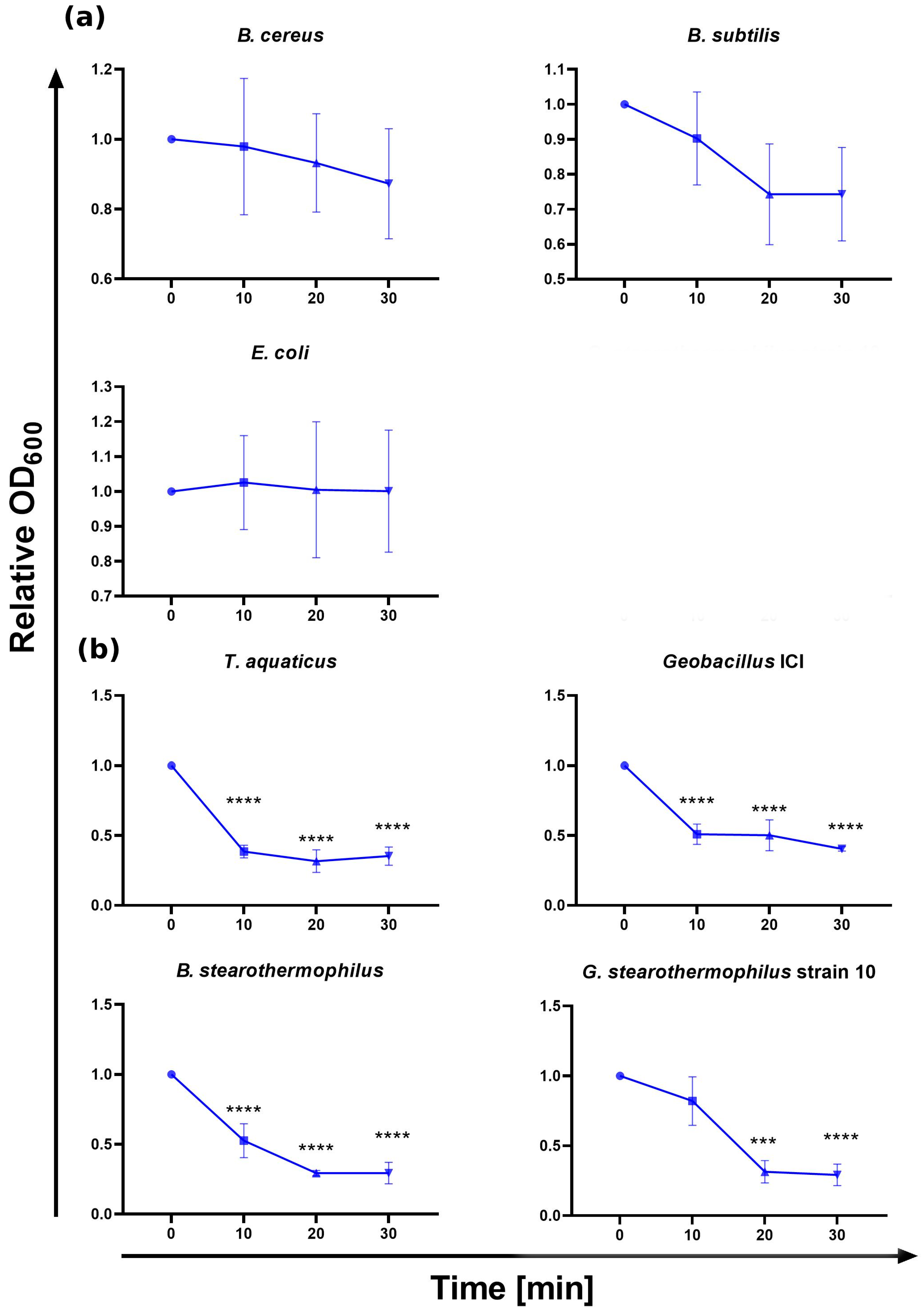
2.2.1. Lytic Activity of the Recombinant Fusion Endolysin CBD_TP84_28_His Against Test Bacteria
2.2.2. Comparison of the Activity of the CBD_TP84_28_His with the Recombinant Endolysin TP84_28_His
2.2.3. Lytic Activity of the CBD_TP84_28_His Against Biofilm
- The Inhibition of biofilm formation by G. stearothermophilus strain 10
- The Inhibition of biofilm formation by mesophilic pathogenic-related bacteria
2.2.4. Thermostability of the CBD_TP84_28_His
2.2.5. Cellulose-Binding Properties of CBD_TP84_28
- Interaction with microcellulose (µC) assay
- Cellulose paper-based immunoblotting
3. Discussion
- (i)
- The specificity of CBD_TP84_28_His appears to depend both on the thermophilicity and phylogenetic relatedness of the bacteria.
- (ii)
- The structure of peptidoglycan varies substantially across Bacillus bacterial species.
- (iii)
- The structure of peptidoglycan of the tested thermophiles has common features, sensitive to CBD_TP84_28_His.
- (iv)
- Differences in external polysaccharide envelopes may play an important role, preventing the enzyme’s access to the cell wall.
4. Materials and Methods
4.1. Bacterial Strains, Media, Reagents, DNA, Software and Devices
4.2. Construction, Expression and Purification of Fusion Endolysin—CBD_TP84_28_His
4.2.1. Cloning tp84_28 Gene into pET28_delSapI_CBD_His Vector
4.2.2. Gene Expression and Overproduction of CBD_TP84_28_His
4.2.3. Recombinant Fusion Endolysin CBD_TP84_28_His Purification
4.3. Characterization of CBD_TP84_28_His
4.3.1. Evaluation of the Lytic Activity of CBD_TP84_28_His
- Spot assay (diffusion test)
- Turbidity reduction assay (spectrophotometer variant)
- Turbidity reduction assay (Tecan microplate reader variant)
- Inhibition of biofilm formation by CBD_TP84_28_His
4.3.2. Evaluation of the Thermostability of the CBD_TP84_28_His
4.3.3. Cellulose-Binding Properties of CBD_TP84_28_His
- Interaction with µC assay
- Cellulose paper-based immunoblotting assay
4.4. Statistical Analysis
5. Conclusions
- (a)
- Enhanced thermostability: CBD_TP84_28_His exhibits significant thermostability, providing a marked advantage over the T4 lysozyme and other mesophilic endolysins. This makes it ideal for applications involving high heat exposure where mesophilic enzymes are ineffective.
- (b)
- Targeted antimicrobial activity: CBD_TP84_28_His exhibits high lytic activity against thermophilic Gram-positive bacteria such as Geobacillus ICI, B. stearothermophilus and T. aquaticus and limited activity against mesophilic Gram-positive Bacillus species.
- (c)
- The inhibition of biofilm formation: CBD_TP84_28_His effectively suppresses biofilm formation by pathogens such as S. aureus and P. aeruginosa, which pose a significant challenge in clinical settings. This underscores the potential of CBD_TP84_28_His in combating multi-drug-resistant infections.
- (d)
- Compatibility with cellulose-based materials: Its fusion with CBD allows CBD_TP84_28_His to anchor onto cellulose-based surfaces, providing long-lasting, localized antimicrobial activity. This property makes it particularly suitable for use in wound dressings, food packaging, and cellulose-based medical devices (patent application WIPO ST 10/C PL446913; WIPO ST 10/C PL449273) (Figure 7 and Figure 8).
- (e)
- Potential for broad applications: beyond healthcare, CBD_TP84_28_His shows promise in the food industry, offering a safer alternative to conventional preservatives (patent application WIPO ST 10/C PL449273).
6. Patents
Supplementary Materials
Author Contributions
Funding
Institutional Review Board Statement
Informed Consent Statement
Data Availability Statement
Acknowledgments
Conflicts of Interest
References
- Centers for Disease Control and Prevention, National Center for Emerging and Zoonotic Infectious Diseases, Division of Healthcare Quality Promotion. About Antimicrobial Resistance. Available online: https://www.cdc.gov/drugresistance/about.html (accessed on 24 January 2023).
- Pires, D.P.; Melo, L.; Vilas Boas, D.; Sillankorva, S.; Azeredo, J. Phage therapy as an alternative or complementary strategy to prevent and control biofilm-related infections. Curr. Opin. Microbiol. 2017, 39, 48–56. [Google Scholar] [CrossRef] [PubMed]
- Bondy-Denomy, J.; Pawluk, A.; Maxwell, K.; Davidson, A.R. Bacteriophage genes that inactivate the CRISPR/Cas bacterial immune system. Nature 2013, 493, 429–432. [Google Scholar] [CrossRef] [PubMed]
- Doub, J.B.; Ng, V.Y.; Johnson, A.J.; Slomka, M.; Fackler, J.; Horne, B.; Brownstein, M.J.; Henry, M.; Malagon, F.; Biswas, B. Salvage Bacteriophage Therapy for a Chronic MRSA Prosthetic Joint Infection. Antibiotics 2020, 9, 241. [Google Scholar] [CrossRef]
- Dedrick, R.M.; Smith, B.E.; Cristinziano, M.; Freeman, K.G.; Jacobs-Sera, D.; Belessis, Y.; Whitney Brown, A.; Cohen, K.A.; Davidson, R.M.; van Duin, D.; et al. Phage Therapy of Mycobacterium Infections: Compassionate Use of Phages in 20 Patients with Drug-Resistant Mycobacterial Disease. Clin. Infect. Dis. 2023, 76, 103–112. [Google Scholar] [CrossRef]
- Onallah, H.; Hazan, R.; Nir-Paz, R. Israeli Phage Therapy Center (IPTC) Study Team Compassionate Use of Bacteriophages for Failed Persistent Infections During the First 5 Years of the Israeli Phage Therapy Center. Open Forum Infect. Dis. 2023, 10, ofad221. [Google Scholar] [CrossRef] [PubMed]
- Young, M.J.; Hall, L.M.L.; Merabishvilli, M.; Pirnay, J.P.; Clark, J.R.; Jones, J.D. Phage Therapy for Diabetic Foot Infection: A Case Series. Clin. Ther. 2023, 45, 797–801. [Google Scholar] [CrossRef]
- Sawa, T.; Moriyama, K.; Kinoshita, M. Current Status of Bacteriophage Therapy for Severe Bacterial Infections. J. Intensive Care 2024, 12, 44. [Google Scholar] [CrossRef]
- Yang, Q.; Le, S.; Zhu, T.; Wu, N. Regulations of Phage Therapy Across the World. Front. Microbiol. 2023, 14, 1250848. [Google Scholar] [CrossRef]
- Liu, H.; Hu, Z.; Li, M.; Yang, Y.; Lu, S.; Rao, X. Therapeutic potential of bacteriophage endolysins for infections caused by Gram-positive bacteria. J. Biomed. Sci. 2023, 30, 29. [Google Scholar] [CrossRef]
- Gladskin, E.U. Microbiome-Balancing Skincare Endolysin Science Gladskin. Available online: https://gladskin.com/products/gladskin-eczema-cream-with-micreobalance (accessed on 3 December 2024).
- Briers, Y.; Walmagh, M.; Grymonprez, B.; Biebl, M.; Pirnay, J.P.; Defraine, V.; Michiels, J.; Cenens, W.; Aertsen, A.; Miller, S.; et al. Art-175 is a highly efficient antibacterial against multidrug-resistant strains and persisters of Pseudomonas aeruginosa. Antimicrob. Agents Chemother. 2014, 58, 3774–3784. [Google Scholar] [CrossRef]
- Grishin, A.V.; Karyagina, A.S.; Vasina, D.V.; Vasina, I.V.; Gushchin, V.A.; Lunin, V.G. Resistance to peptidoglycan-degrading enzymes. Crit. Rev. Microbiol. 2020, 46, 703–726. [Google Scholar] [CrossRef] [PubMed]
- Rahman, M.U.; Wang, W.; Sun, Q.; Shah, J.A.; Li, C.; Sun, Y.; Li, Y.; Zhang, B.; Chen, W.; Wang, S. Endolysin, a promising solution against antimicrobial resistance. Antibiotics 2021, 10, 1277. [Google Scholar] [CrossRef] [PubMed]
- Walter, A.; Mayer, C. Peptidoglycan structure, biosynthesis, and dynamics during bacterial growth. In Extracellular Sugar-Based Biopolymers Matrices. Biologically-Inspired Systems; Cohen, E., Merzendorfer, H., Eds.; Springer: Cham, Switzerland, 2019; Volume 12, pp. 237–299. [Google Scholar] [CrossRef]
- Fenton, M.; Ross, P.; McAuliffe, O.; O’Mahony, J.; Coffey, A. Recombinant bacteriophage lysins as antibacterials. Bioeng. Bugs 2010, 1, 9–16. [Google Scholar] [CrossRef] [PubMed]
- Liu, B.; Guo, Q.; Li, Z.; Guo, X.; Liu, X. Bacteriophage endolysin: A powerful weapon to control bacterial biofilms. Protein J. 2023, 42, 463–476. [Google Scholar] [CrossRef] [PubMed]
- Lee, C.; Kim, H.; Ryu, S. Bacteriophage and endolysin engineering for biocontrol of food pathogens: Recent advances and future trends. Crit. Rev. Food Sci. Nutr. 2023, 63, 8919–8938. [Google Scholar] [CrossRef]
- Żebrowska, J.; Żołnierkiewicz, O.; Ponikowska, M.; Puchalski, M.; Krawczun, N.; Makowska, J.; Skowron, P.M. Cloning and characterization of a thermostable endolysin of bacteriophage TP-84 as a potential disinfectant and biofilm-removing biological agent. Int. J. Mol. Sci. 2022, 23, 7612. [Google Scholar] [CrossRef]
- Saunders, G.F.; Campbell, L.L. Characterization of a thermophilic bacteriophage for Bacillus stearothermophilus. J. Bacteriol. 1966, 91, 340–348. [Google Scholar] [CrossRef]
- Epstein, I.; Campbell, L.L. Production and purification of the thermophilic bacteriophage TP-84. Appl. Microbiol. 1975, 29, 219–223. [Google Scholar] [CrossRef]
- Łubkowska, B.; Jeżewska-Frąckowiak, J.; Sobolewski, I.; Skowron, P.M. Bacteriophages of thermophilic Bacillus group bacteria—A review. Microorganisms 2021, 9, 1522. [Google Scholar] [CrossRef]
- Żebrowska, J.; Witkowska, M.; Struck, A.; Laszuk, P.E.; Raczuk, E.; Ponikowska, M.; Skowron, P.M.; Zylicz-Stachula, A. Antimicrobial potential of the genera Geobacillus and Parageobacillus, as well as endolysins biosynthesized by their bacteriophages. Antibiotics 2022, 11, 242. [Google Scholar] [CrossRef]
- Skowron, P.M.; Kropinski, A.M.; Żebrowska, J.; Janus, L.; Szemiako, K.; Czajkowska, E.; Maciejewska, N.; Skowron, M.; Łoś, J.; Łoś, M.; et al. Sequence, genome organization, annotation and proteomics of the thermophilic, 47.7-kb Geobacillus stearothermophilus bacteriophage TP-84 and its classification in the new Tp84 virus genus. PLoS ONE 2018, 13, e0196798. [Google Scholar] [CrossRef]
- Skowron, P.M.; Łubkowska, B.; Sobolewski, I.; Zylicz-Stachula, A.; Šimoliūnienė, M.; Šimoliūnas, E. Bacteriophages of thermophilic ‘Bacillus Group’ bacteria: A systematic review, 2023 update. Int. J. Mol. Sci. 2024, 25, 3125. [Google Scholar] [CrossRef] [PubMed]
- Shoseyov, O.; Takagi, M.; Goldstein, M.A.; Doi, R.H. Primary sequence analysis of Clostridium cellulovorans cellulose binding protein A. Proc. Natl. Acad. Sci. USA 1992, 89, 3483–3487. [Google Scholar] [CrossRef] [PubMed]
- Abouhmad, A.; Mamo, G.; Dishisha, T.; Amin, M.A.; Hatti-Kaul, R. T4 lysozyme fused with cellulose-binding module for antimicrobial cellulosic wound dressing materials. J. Appl. Microbiol. 2016, 121, 115–125. [Google Scholar] [CrossRef]
- Murray, E.; Draper, L.A.; Ross, R.P.; Hill, C. The advantages and challenges of using endolysins in a clinical setting. Viruses 2021, 13, 680. [Google Scholar] [CrossRef]
- Gontijo, M.T.P.; Jorge, G.P.; Brocchi, M. Current status of endolysin-based treatments against Gram-negative bacteria. Antibiotics 2021, 10, 1143. [Google Scholar] [CrossRef]
- Wang, S.; Gu, J.; Lv, M.; Guo, Z.; Yan, G.; Yu, L.; Du, C.; Feng, X.; Han, W.; Sun, C.; et al. The antibacterial activity of E. coli bacteriophage lysin Lysep3 is enhanced by fusing the Bacillus amyloliquefaciens bacteriophage endolysin binding domain D8 to the C-terminal region. J. Microbiol. 2017, 55, 403–408. [Google Scholar] [CrossRef]
- Briers, Y.; Walmagh, M.; Van Puyenbroeck, V.; Cornelissen, A.; Cenens, W.; Aertsen, A.; Oliveira, H.; Azeredo, J.; Verween, G.; Pirnay, J.P.; et al. Engineered endolysin-based “Artilysins” to combat multidrug-resistant gram-negative pathogens. mBio 2014, 5, e01379-14. [Google Scholar] [CrossRef]
- Lysando. Lysando-Brochure-Digital. Available online: https://www.lysando.com/wp-content/uploads/2023/08/Lysando-Brochure-Digital.pdf (accessed on 29 March 2024).
- Zampara, A.; Sørensen, M.C.H.; Grimon, D.; Antenucci, F.; Vitt, A.R.; Bortolaia, V.; Briers, Y.; Brøndsted, L. Exploiting phage receptor binding proteins to enable endolysins to kill Gram-negative bacteria. Sci. Rep. 2020, 10, 12087. [Google Scholar] [CrossRef]
- Nguyen, H.T.T.; Nguyen, T.H.; Otto, M. The staphylococcal exopolysaccharide PIA—Biosynthesis and role in biofilm formation, colonization, and infection. Comput. Struct. Biotechnol. J. 2020, 18, 3324–3334. [Google Scholar] [CrossRef]
- Yakandawala, N.; Gawande, P.V.; LoVetri, K.; Cardona, S.T.; Romeo, T.; Nitz, M.; Madhyastha, S. Characterization of the Poly-β-1,6-N-acetylglucosamine Polysaccharide Component of Burkholderia Biofilms. Appl. Environ. Microbiol. 2011, 77, 8303–8309. [Google Scholar] [CrossRef] [PubMed]
- Rabin, N.; Zheng, Y.; Opoku-Temeng, C.; Du, Y.; Bonsu, E.; Sintim, H.O. Biofilm formation mechanisms and targets for developing antibiofilm agents. Future Med. Chem. 2015, 7, 493–512. [Google Scholar] [CrossRef] [PubMed]
- Siondalski, P.; Kołaczkowska, M.; Bieńkowski, M.; Pęksa, R.; Kowalik, M.M.; Dawidowska, K.; Vandendriessche, K.; Meuris, B. Bacterial cellulose as a promising material for pulmonary valve prostheses: In vivo study in a sheep model. J. Biomed. Mater. Res. Part B Appl. Biomater. 2024, 112, e35355. [Google Scholar] [CrossRef] [PubMed]
- Marangoz, B.; Kahraman, S.; Bostan, K. Bacillus spp. responsible for spoilage of dairy products. Int. J. Food Eng. 2018, 4, 43–46. [Google Scholar]
- André, S.; Vallaeys, T.; Planchon, S. Spore-forming bacteria responsible for food spoilage. Res. Microbiol. 2017, 168, 379–387. [Google Scholar] [CrossRef]
- Golosova, N.N.; Khlusevich, Y.A.; Morozova, V.V.; Matveev, A.L.; Kozlova, Y.N.; Tikunov, A.Y.; Panina, E.A.; Tikunova, N.V. Characterization of a Thermostable Endolysin of the Aeribacillus Phage AeriP45 as a Potential Staphylococcus Biofilm-Removing Agent. Viruses 2024, 16, 93. [Google Scholar] [CrossRef]
- Mohammadi, T.N.; Lin, Y.; Maung, A.T.; Shen, C.; Zhao, J.; El-Telbany, M.; Zayda, M.; Masuda, Y.; Honjoh, K.; Miyamoto, T. Characterization and Antibacterial Activity of Highly Thermo- and pH-Stable Endolysin LysCPQ7 and Its Application as a Biocontrol Agent Against Clostridium perfringens in Milk and Cheese. Food Control 2024, 156, 110157. [Google Scholar] [CrossRef]
- Żebrowska, J.; Mucha, P.; Prusinowski, M.; Krefft, D.; Żylicz-Stachula, A.; Deptuła, M.; Skoniecka, A.; Tymińska, A.; Zawrzykraj, M.; Zieliński, J.; et al. Development of hybrid biomicroparticles: Cellulose-exposing functionalized fusion proteins. Microb. Cell Fact. 2024, 23, 81. [Google Scholar] [CrossRef]
- Sun, X.; Yang, S.; Al-Dossary, A.A.; Broitman, S.; Ni, Y.; Guan, M.; Yang, M.; Li, J. Nanobody-functionalized cellulose for capturing SARS-CoV-2. Appl. Environ. Microbiol. 2022, 88, e0230321. [Google Scholar] [CrossRef]








| Bacteria | Control [OD600] | Treatment [OD600] | Reduction [%] | p-Value |
|---|---|---|---|---|
| E. coli (DSM 1103) | 5.5 ± 0.10 | 3.15 ± 0.15 | 39 | 0.0675 |
| S. aureus (ATCC 25923) | 1.3 ± 0.30 | 0.225 ± 0.075 | 81 * | 0.0143 |
| P. aeruginosa (ATCC 17503) | 12.45 ± 2.45 | 6.35 ± 2.25 | 42 *** | 0.0004 |
| S. enteritidis (ATCC 25928) | 0.135 ± 0.005 | 0.08 ± 0.01 | 34 ** | 0.0034 |
| B. cereus (DSM 31) | 9.05 ± 2.85 | 4.9 ± 3.10 | 33 ** | 0.0012 |
Disclaimer/Publisher’s Note: The statements, opinions and data contained in all publications are solely those of the individual author(s) and contributor(s) and not of MDPI and/or the editor(s). MDPI and/or the editor(s) disclaim responsibility for any injury to people or property resulting from any ideas, methods, instructions or products referred to in the content. |
© 2024 by the authors. Licensee MDPI, Basel, Switzerland. This article is an open access article distributed under the terms and conditions of the Creative Commons Attribution (CC BY) license (https://creativecommons.org/licenses/by/4.0/).
Share and Cite
Ponikowska, M.; Żebrowska, J.; Skowron, P.M. New-Generation Antibacterial Agent—Cellulose-Binding Thermostable TP84_Endolysin. Int. J. Mol. Sci. 2024, 25, 13111. https://doi.org/10.3390/ijms252313111
Ponikowska M, Żebrowska J, Skowron PM. New-Generation Antibacterial Agent—Cellulose-Binding Thermostable TP84_Endolysin. International Journal of Molecular Sciences. 2024; 25(23):13111. https://doi.org/10.3390/ijms252313111
Chicago/Turabian StylePonikowska, Małgorzata, Joanna Żebrowska, and Piotr M. Skowron. 2024. "New-Generation Antibacterial Agent—Cellulose-Binding Thermostable TP84_Endolysin" International Journal of Molecular Sciences 25, no. 23: 13111. https://doi.org/10.3390/ijms252313111
APA StylePonikowska, M., Żebrowska, J., & Skowron, P. M. (2024). New-Generation Antibacterial Agent—Cellulose-Binding Thermostable TP84_Endolysin. International Journal of Molecular Sciences, 25(23), 13111. https://doi.org/10.3390/ijms252313111

