Chemical Constituents and Anticancer Activities of the Extracts from Phlomis × commixta Rech. f. (P. cretica × P. lanata)
Abstract
1. Introduction
2. Results
2.1. Ιsolated Compounds
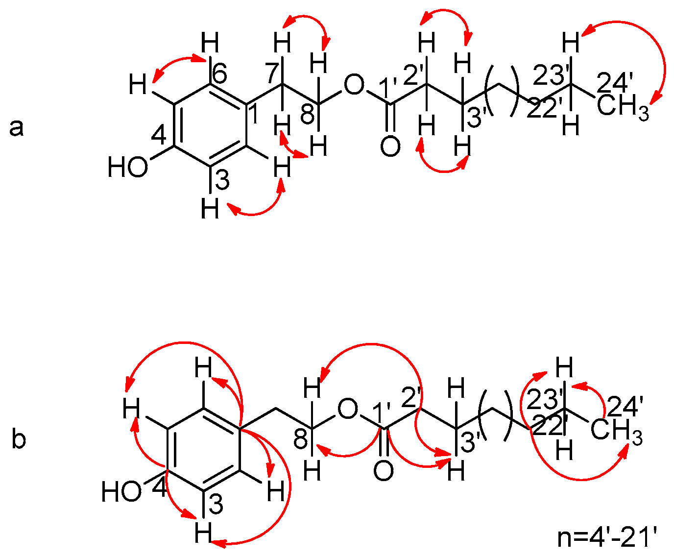
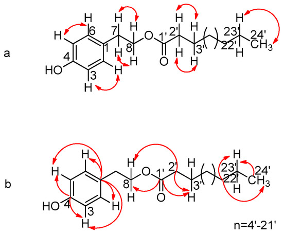
2.2. Elucidation of the Compounds
2.3. Cytotoxicity
3. Discussion
3.1. Chemotaxonomic Significance of the Secondary Metabolites
3.2. Anticancer Activity of the Extracts
4. Materials and Methods
4.1. Plant Material
4.2. Extraction and Isolation
4.2.1. Component Isolation from the Flowers
4.2.2. Component Isolation from the Leaves
4.2.3. Component Isolation from the Roots
4.3. Cytotoxic Activity of the Studied Extracts
5. Conclusions
Supplementary Materials
Author Contributions
Funding
Institutional Review Board Statement
Informed Consent Statement
Data Availability Statement
Conflicts of Interest
References
- Mathiensen, C.; Scheen, A.C.; Lindqvist, C. Phylogeny and biogeography of the lamioid genus Phlomis (Lamiaceae). Kew Bull. 2011, 66, 83–99. [Google Scholar] [CrossRef]
- Moench, C. Methodus Plantas Horti Botanici et Agri Marburgensis: A Staminum Situ Describendi; Officina Nova Libraria Academiae: Marburg, Germany, 1794; p. 619. [Google Scholar]
- Bariotakis, M. Thocus Issues in the Investigation of Hybridization Patterns. Ph.D. Thesis, University of Crete, Heraklion, Greece, 2016. Available online: https://elocus.lib.uoc.gr/dlib/2/0/5/metadata-dlib-1477377544-405386-26657.tkl (accessed on 3 November 2016).
- Basta, A.; Tzakou, O.; Couladis, M. The essential oil composition of Phlomis cretica C. Presl. Flavour Frag. J. 2006, 21, 795–797. [Google Scholar] [CrossRef]
- Georgescu, L.; Stefanakis, K.M.; Kokkini, S.; Katerinopoulos, E.H.; Pirintsos, A.S. Chemical and genetic characterization of Phlomis species and wild hybrids in Crete. Phytochemistry 2016, 122, 91–102. [Google Scholar] [CrossRef] [PubMed]
- Kyriakopoulou, I.; Magiatis, P.; Skaltsounis, A.L.; Aligiannis, N.; Harvala, C. Samioside, a new phenylethanoid glycoside with free-radical scavenging and antimicrobial activities from Phlomis samia. J. Nat. Prod. 2001, 64, 1095–1097. [Google Scholar] [CrossRef]
- Jabeen, B.; Riaz, N.; Saleem, M.; Naveed, M.; Ashraf, M.; Alam, U.; Rafiq, H.M.; Tareen, R.B.; Jabbar, A. Isolation of natural compounds from Phlomis stewartii showing α-glucosidase inhibitory activity. Phytochemistry 2013, 96, 443–448. [Google Scholar] [CrossRef] [PubMed]
- Hussain, J.; Ullah, R.; Khan, A.; Khan, F.U.; Muhammad, Z.; Shah, M.R. Phlomeoic acid: A new diterpene from Phlomis bracteosa. Nat. Prod. Commun. 2011, 6, 171–173. [Google Scholar] [CrossRef]
- Hussain, J.; Bukhari, N.; Hussain, H.; Haider, S.; Hassan, Z. Phlomisamide and Phlomisteriod: A New Ceramide and a New Stigmasterol Derivative from Phlomis cashmeriana. Helv. Chim. Acta 2010, 93, 1428–1431. [Google Scholar] [CrossRef]
- Sobeh, M.; Mamadalieva, N.Z.; Mohamed, T.; Krstin, S.; Youssef, F.S.; Ashour, M.L.; Azimova, S.S.; Wink, M. Chemical profiling of Phlomis thapsoides (Lamiaceae) and in vitro testing of its biological activities. Med. Chem. Res. 2016, 25, 2304–2315. [Google Scholar] [CrossRef]
- Olennikov, D.N.; Chirikova, N.K. Phlotuberosides I and II, new iridoid glycosides from Phlomoides tuberosa. Chem. Nat. Compd. 2017, 53, 269–272. [Google Scholar] [CrossRef]
- Sajjadi, S.E.; Delazari, Z.; Aghaei, M.; Ghannadian, M. Flavone constituents of Phlomis bruguieri Desf. with cytotoxic activity against MCF-7 breast cancer cells. Res. Pharm. Sci. 2018, 13, 422–429. [Google Scholar] [CrossRef]
- Caliş, I.; Bedir, E.; Kirmizibekmez, H.; Ersöz, T.; Dönmez, A.A.; Khan, I.A. Secondary metabolites from Phlomis oppositiflora. Nat. Prod. Res. 2005, 19, 493–501. [Google Scholar] [CrossRef] [PubMed]
- Kasai, R.; Katagiri, M.; Ohtani, K.; Yamasaki, K.; Chongren, Y.; Tanaka, O. Iridoid glycosides from Phlomis younghusbandii roots. Phytochemistry 1994, 36, 967–970. [Google Scholar] [CrossRef]
- Li, M.X.; Huang, J.; Zhang, C.; Jia, Z.; Fan, P.; Wei, L.; Zhang, Q.; Zhang, R. Iridoid glycosides and phenylethanoid glycosides from Phlomis younghusbandii roots. Chem. Nat. Compd. 2011, 47, 848–849. [Google Scholar] [CrossRef]
- Li, X.H.; Li, X.H.; Yao, Q.; Lu, L.H.; Li, Y.B.; Wu, D.S.; Fu, D.H.; Mei, S.X.; Cui, T.; Wang, J.K.; et al. Phlolosides A-F, iridoids from Phlomis likiangensis with a carbonate ester substituent. Tetrahedron Lett. 2017, 58, 3112–3118. [Google Scholar] [CrossRef]
- Le, D.; Nguyen, D.; Bingtian, Z.; Min, B.; Song, S.; Woo, M. Quantitation and radical scavenging activity evaluation of iridoids and phenylethanoids from the roots of Phlomis umbrosa (Turcz.) using DPPH free radical and DPPH-HPLC methods, and their cytotoxicity. Nat. Prod. Sci. 2019, 25, 122–129. [Google Scholar] [CrossRef]
- Bader, A.; Tuccinardi, T.; Granchi, C.; Martinelli, A.; Macchia, M.; Minutolo, F.; De Tommasi, N.; Braca, A. Phenylpropanoids and flavonoids from Phlomis kurdica as inhibitors of human lactate dehydrogenase. Phytochemistry 2015, 116, 262–268. [Google Scholar] [CrossRef] [PubMed]
- Kirmizibekmez, H.; Piacente, S.; Pizza, C.; Dönmez, A.A.; Çaliş, I. Iridoid and phenylethanoid glycosides from Phlomis nissolii and P. capitata. Z. Naturforsch. B J. Chem. Sci. 2004, 59, 609–613. [Google Scholar] [CrossRef]
- Ersöz, T.; Saracoğlu, I.; Taşdemir, D.; Kirmizibekmez, H.; Dönmez, A.; Ireland, C.M.; Çalış, I. Neolignan glucosides from Phlomis chimerae Boiss. Z. Naturforsch. C J. Biosci. 2002, 57, 221–225. [Google Scholar] [CrossRef][Green Version]
- Saracoğlu, I.; Varel, M.; Çaliş, I.; Dönmez, A.A. Neolignan, flavonoid, phenylethanoid and iridoid glycosides from Phlomis integrifolia. Turk. J. Chem. 2003, 27, 739–747. [Google Scholar]
- Khitri, W.; Smati, D.; Mitaine-Offer, A.C.; Paululat, T.; Lacaille-Dubois, M.A. Chemical constituents from Phlomis bovei Noë and their chemotaxonomic significance. Biochem. Syst. Ecol. 2020, 91, 104054. [Google Scholar] [CrossRef]
- Katagiri, M.; Ohtani, K.; Kasai, R.; Yamasaki, K.; Yang, C.R.; Tanaka, O. Diterpenoid glycosyl esters from Phlomis younghusbandii and P. medicinalis roots. Phytochemistry 1994, 35, 439–442. [Google Scholar] [CrossRef] [PubMed]
- Yalçin, F.N.; Ersöz, T.; Bedir, E.; Dönmez Ali, A.; Stavri, M.; Zloh, M.; Gibbons, S.; Çaliş, I. Amanicadol, a pimarane-type diterpene from Phlomis amanica Vierch. Z. Naturforsch. B 2006, 61, 1433–1436. [Google Scholar] [CrossRef]
- Amor, I.L.B.; Boubaker, J.; Sgaier, M.B.; Skandrani, I.; Bhouri, W.; Neffati, A.; Kilani, S.; Bouhlel, I.; Ghedira, K.; Chekir-Ghedira, L. Phytochemistry and biological activities of Phlomis species. J. Ethnopharmacol. 2009, 125, 183–202. [Google Scholar] [CrossRef] [PubMed]
- Li, M.X.; Shang, X.F.; Jia, Z.P.; Zhang, R.X. Phytochemical and biological studies of plants from the genus Phlomis. Chem. Biodivers. 2010, 7, 283–301. [Google Scholar] [CrossRef] [PubMed]
- Hajarolasvadi, N.; Zamani, M.J.; Sarkhail, P.; Khorasani, R.; Mohajer, M.; Amin, G.; Shafiee, A.; Sharifzadeh, M.; Abdollahi, M. Comparison of antinociceptive effects of total, water, ethyl acetate, ether and n-butanol extracts of Phlomis anisodonta Boiss. and indomethacin in Mice. Intl. J. Pharmacol. 2006, 2, 209–212. [Google Scholar] [CrossRef]
- Wang, Q.S.; Yang, L.; Cui, W.Y.; Chen, L.; Jiang, Y.H. Anti-inflammatory and anti-nociceptive activities of methanol extract from aerial part of Phlomis younghusbandii Mukerjee. PLoS ONE 2014, 9, e89149. [Google Scholar] [CrossRef] [PubMed]
- Shang, X.; Wang, J.; Li, M.; Miao, X.; Pan, H.; Yang, Y.; Wang, Y. Antinociceptive and anti-inflammatory activities of Phlomis umbrosa Turcz extract. Fitoterapia 2011, 82, 716–721. [Google Scholar] [CrossRef]
- Lopez, V.; Jager, A.; Akerreta, S.; Cavero, R.; Calvo, M. Antioxidant activity and phenylpropanoids of Phlomis lychnitis L.: A traditional herbal tea. Plant Foods Hum. Nutr. 2010, 65, 179–185. [Google Scholar] [CrossRef]
- Keser, S.; Turkoglu, S.; Celik, S.; Turkoglu, I. Determination of antioxidant capacities of Phlomis pungens Wild. var. hispida Hub.-Mor. Asian J. Chem. 2012, 24, 2780–2784. [Google Scholar]
- Li, X.; Xie, Y.; Li, K.; Wu, A.; Xie, H.; Guo, Q.; Xue, P.; Maleshibek, Y.; Zhao, W.; Guo, J.; et al. Antioxidation and cytoprotection of acteoside and its derivatives: Comparison and mechanistic chemistry. Molecules 2018, 23, 498. [Google Scholar] [CrossRef]
- Eruygur, N.; Kirci, D.; Ayaz, F.; Doğu, S.; Bağci, Y. Biological activities of three Phlomis species. J. Res. Pharm. 2022, 26, 255–262. [Google Scholar] [CrossRef]
- Derafa, I.; Amira, S.; Benchikh, F.; Mamache, W.; Kaoudoune, C. Phenolic content and antioxidant activity of hydromethanolic and aqueous extracts of aerial parts of Phlomis crinita. Turk. JAF Sci. Tech. 2022, 10, 2061–2066. [Google Scholar] [CrossRef]
- Amor, I.L.B.; Neffati, A.; Sgaier, M.B.; Bhouri, W.; Boubaker, J.; Skandrani, I.; Bouhlel, I.; Kilani, S.; Ben Ammar, R.; Chraief, I.; et al. Antimicrobial activity of essential oils isolated from Phlomis crinita Cav. ssp. mauritanica Munby. J. Am. Oil Chem. Soc. 2008, 85, 845–849. [Google Scholar] [CrossRef]
- Alpay, M.; Dulger, G.; Sahin, I.E.; Dulger, B. Evaluating antimicrobial and antioxidant capacity of endemic Phlomis russeliana from Turkey and its antiproliferative effect on Human Caco-2 Cell Lines. An. Acad. Bras. Cienc. 2019, 91, e20180404. [Google Scholar] [CrossRef] [PubMed]
- Sarkhail, P.; Rahmanipour, S.; Fadyevatan, S.; Mohammadirad, A.; Dehghan, G.; Amin, G.; Shafiee, A.; Abdollahi, M. Antidiabetic effect of Phlomis anisodonta: Effects on hepatic cells lipid peroxidation and antioxidant enzymes in experimental diabetes. Pharmacol. Res. 2007, 56, 261–266. [Google Scholar] [CrossRef] [PubMed]
- Rasheed, M.U.; Naqvi, S.A.R.; Rasool, N.; Shah, S.A.A.; Zakaria, Z.A. Anti-Diabetic and Cytotoxic Evaluation of Phlomis stewartii Plant Phytochemicals on Cigarette Smoke Inhalation and Alloxan-Induced Diabetes in Wistar Rats. Metabolites 2022, 12, 1133. [Google Scholar] [CrossRef]
- Dönmez, C.; Koca Çalışkan, U. Ethnopharmacological survey on Phlomis grandiflora: In vivo antihemorrhoidal model. Curr. Pers. MAPs 2019, 2, 40–46. [Google Scholar] [CrossRef]
- Kirmizibekmez, H.; Çalis, I.; Perozzo, R.; Dönmez, A.A.; Linden, A.; Rüedi, P.; Tasdemir, D. Inhibiting activities of the secondary metabolites of Phlomis brunneogaleata against parasitic protozoa and plasmodial enoyl-ACP reductase, a crucial enzyme in fatty acid biosynthesis. Planta Med. 2004, 70, 711–717. [Google Scholar] [CrossRef]
- Kunter, I.; Kosar, M. Composition Analysis and Anti-Cancer Properties of Two Endemic Phlomis Species (Phlomis cypria Post and Phlomis brevibracteata Turrill) from Cyprus. Proceedings 2019, 40, 29. [Google Scholar] [CrossRef]
- Torky, Z.A.; Moussa, A.Y.; Abdelghffar, E.A.; Abdel-Hameed, U.K.; Eldahshan, O.A. Chemical profiling, antiviral and antiproliferative activities of the essential oil of: Phlomis aurea Decne grown in Egypt. Food Funct. 2021, 12, 4630–4643. [Google Scholar] [CrossRef]
- Kunter, I.; Tarabishi, M.T.; Zabib, N.; Erçetin, T.; İlktaç, M.; Göger, F.; Koşar, M. New Data for Endemic Phlomis cypria Post from North Cyprus: Biological Activities and LC MS/MS Analysis. Ind. J. Pharm. Educ. Res. 2023, 57, 511–518. [Google Scholar] [CrossRef]
- Sun, Y.; Lin, Y.; Cao, X.; Xiang, L.; Qi, J. Sterols from Mytilidae Show Anti-Aging and Neuroprotective Effects via Anti-Oxidative Activity. Int. J. Mol. Sci. 2014, 15, 21660–21673. [Google Scholar] [CrossRef] [PubMed]
- Lee, J.W.; Lee, D.Y.; Cho, J.G.; Baek, N.I.; Lee, Y.H. Isolation and identification of sterol compounds from the red kohlrabi sprouts (Brassica oleracea var. gongylodes). J. Appl. Biol. Chem. 2010, 53, 207–211. [Google Scholar] [CrossRef]
- Yahya, M.A.A.; Yaacob, W.A.; Nazlina, I. Isolation of chemical constituents from rhizomes of Etlingera sphaerocephala var. grandiflora. Malaysian J. Anal. Sci. 2011, 15, 22–26. [Google Scholar]
- Khatun, M.; Billah, M.; Quader, M.A. Sterols andsterol glucoside from Phyllanthus species. Dhaka Univ. J. Sci. 2012, 60, 5–10. [Google Scholar] [CrossRef]
- Venditti, A.; Bianco, A.; Nicoletti, M.; Quassinti, L.; Bramucci, M.; Lupidi, G.; Vitali, L.A.; Papa, F.; Vittori, S.; Petrelli, D.; et al. Characterization of secondary metabolites, biological activity and glandular trichomes of Stachys tymphaea Hausskn. from the Monti Sibillini National Park (Central Apennines, Italy). Chem. Biodivers. 2014, 11, 245–261. [Google Scholar] [CrossRef] [PubMed]
- Saracoğlu, I.; Harput, Ü.Ş.; Çaliş, I.; Ogihara, Y. Phenolic constituents from Phlomis lycia. Turk. J. Chem. 2002, 26, 133–142. [Google Scholar]
- Kirmizibekmez, H.; Montoro, P.; Piacente, S.; Dönmez, A.; Çaliş, I. Identification by HPLC-PAD-MS and quantification by HPLC-PAD of phenylethanoid glycosides of five Phlomis species. Phytochem. Anal. 2005, 16, 1–6. [Google Scholar] [CrossRef]
- Porter, E.A.; Kite, G.C.; Veitch, N.C.; Geoghegan, I.A.; Larsson, S.; Simmonds, M.S.J. Phenylethanoid glycosides in tepals of Magnolia salicifolia and their occurrence in flowers of Magnoliaceae. Phytochemistry 2015, 117, 185–193. [Google Scholar] [CrossRef]
- Ralph, J.; Hatfield, R.D.; Quideau, S.; Helm, R.F.; Grabber, J.H.; Jung, H.J.G. Pathway of p-coumaric acid incorporation into maize lignin as revealed by NMR. J. Am. Chem. Soc. 1994, 116, 9448–9456. [Google Scholar] [CrossRef]
- Frezza, C.; Venditti, A.; Rossi, G.; Serafini, I.; Pitorri, M.; Ciccóla, A.; Foddai, S.; Bianco, A.; Serafini, M. Phytochemical study on the leaves of Wollemia nobilis. Biochem. Syst. Ecol. 2017, 74, 63–66. [Google Scholar] [CrossRef]
- Suárez-Quiroz, M.L.; Alonso Campos, A.; Valerio Alfaro, G.; González-Ríos, O.; Villeneuve, P.; Figueroa-Espinoza, M.C. Isolation of green coffee chlorogenic acids using activated carbon. J. Food Comp. Anal. 2014, 33, 55–58. [Google Scholar] [CrossRef]
- Tsiftsoglou, O.S.; Lagogiannis, G.; Psaroudaki, A.; Vantsioti, A.; Mitić, M.N.; Mrmošanin, J.M.; Lazari, D. Phytochemical Analysis of the Aerial Parts of Campanula pelviformis Lam. (Campanulaceae): Documenting the Dietary Value of a Local Endemic Plant of Crete (Greece) Traditionally Used as Wild Edible Green. Sustainability 2023, 15, 7404. [Google Scholar] [CrossRef]
- Spencer, G.F. A Convenient Synthesis of 5,7-Dihydroxychromone. Org. Prep. Proc. Int. 1991, 23, 390–392. [Google Scholar] [CrossRef]
- Tsiftsoglou, O.S.; Lazari, D.M.; Stefanakis, M.K.; Kokkalou, E.L. Flavonoids and phenolic acids from the aerial parts of Alyssum alyssoides L. (Brassicaceae). Biochem. Syst. Ecol. 2019, 83, 51–53. [Google Scholar] [CrossRef]
- Kamatham, S.; Kumar, N.; Gudipalli, P. Isolation and characterization of gallic acid and methyl gallate from the seed coats of Givotia rottleriformis Griff. and their anti-proliferative effect on human epidermoid carcinoma A431 cells. Toxicol. Rep. 2015, 3, 520–529. [Google Scholar] [CrossRef] [PubMed]
- Kontogiorgis, C.; Ntella, M.; Mpompou, L.; Karallaki, F.; Papadopoulos, A.; Hadjipavlou-Litina, D.; Lazari, D. Study of the antioxidant activity of Thymus sibthorpii Bentham (Lamiaceae). J. Enzyme Inhib. Med. Chem. 2016, 31, 154–159. [Google Scholar] [CrossRef]
- Huang, Y.H.; Zeng, W.M.; Li, G.Y.; Liu, G.Q.; Zhao, D.D.; Wang, J.; Zhang, Y.L. Characterization of a new sesquiterpene and antifungal activities of chemical constituents from Dryopteris fragrans (L.) Schott. Molecules 2014, 19, 507–513. [Google Scholar] [CrossRef]
- Maltese, F.; Erkelens, C.; Kooy, F.V.D.; Choi, Y.H.; Verpoorte, R. Identification of natural epimeric flavanone glycosides by NMR spectroscopy. Food Chem. 2009, 116, 575–579. [Google Scholar] [CrossRef]
- Lee, N.K.; Choi, S.H.; Park, S.H.; Park, E.K.; Kim, D.H. Antiallergic activity of hesperidin is activated by intestinal microflora. Pharmacology 2004, 71, 174–180. [Google Scholar] [CrossRef]
- Vieira, M.N.; Winterhalter, P.; Jerz, G. Flavonoids from the flowers of Impatiens glandulifera Royle isolated by high performance countercurrent chromatography. Phytochem. Anal. 2016, 27, 116–125. [Google Scholar] [CrossRef] [PubMed]
- Güvenalp, Z.; Demirezer, Ö.L. Flavonol Glycosides from Asperula arvensis L. Turk. J. Chem. 2005, 29, 163–169. [Google Scholar]
- Patora, J.; Klimek, B. Flavonoids from lemon balm (Melissa officinalis L., Lamiaceae). Acta Pol. Pharm. 2002, 59, 139–143. [Google Scholar] [PubMed]
- Tsiftsoglou, O.S.; Krigas, N.; Gounaris, C.; Papitsa, C.; Nanouli, M.; Vartholomatos, E.; Markopoulos, G.S.; Isyhou, R.; Alexiou, G.; Lazari, D. Isolation of Secondary Metabolites from Achillea grandifolia Friv. (Asteraceae) and Main Compounds’ Effects on a Glioblastoma Cellular Model. Pharmaceutics 2023, 15, 1383. [Google Scholar] [CrossRef] [PubMed]
- Zhang, J.; Yang, J.; Duan, J.; Liang, Z.; Zhang, L.; Huo, Y.; Zhang, Y. Quantitative and qualitative analysis of flavonoids in leaves of Adinandra nitida by high performance liquid chromatography with UV and electrospray ionization tandem mass spectrometry detection. Anal. Chim. Acta 2005, 532, 97–104. [Google Scholar] [CrossRef]
- Da Silva, L.A.L.; Faqueti, L.G.; Reginatto, F.H.; Conceicão dos Santos, A.D.; Barison, A.; Biavatti, M.W. Phytochemical analysis of Vernonanthura tweedieana and a validated UPLC-PDA method for the quantification of eriodictyol. Rev. Bras. Farmacogn. 2015, 25, 375–381. [Google Scholar] [CrossRef]
- Ersöz, T.; Harput, Ü.Ş.; Saracoğlu, I.; Çalis, I. Phenolic compounds from Scutellaria pontica. Turk. J. Chem. 2002, 26, 581–588. [Google Scholar]
- Kim, Y.C.; Higuchi, R.; Kitamura, Y.; Komori, T. Thermal degradation of glycosides, IV. Degradation of flavonoid glycosides. Liebigs Ann. Chem. 1991, 12, 1285–1289. [Google Scholar] [CrossRef]
- Ihenetu, G.U.; Igwe, O.U.; Nnaji, J.C.; Ejezie, M.U. Isolation of 1-Eicosene from the leaves of Baphia nitida. J. Chem. Soc. Nigeria. 2020, 45, 434–440. [Google Scholar]
- Zou, J.; Zhu, Y.D.; Zhao, W.M. Two new alkyl glycosides from Clerodendranthus spicatus. J. Asian Nat. Prod. Res. 2008, 10, 602–606. [Google Scholar] [CrossRef]
- Yang, H.; Sang, H.S.; Young, C.K. Two new hepatoprotective stilbene glycosides from Acer mono leaves. J. Nat. Prod. 2005, 68, 101–103. [Google Scholar] [CrossRef] [PubMed]
- Ho, C.W.; Lin, R.D.; Lee, T.H.; Lin, C.H.; Wen, C.L.; Tseng, Y.T.; Lee, M.H. Chemical and pharmacological investigation of micropropagated Hygrophila pogonocalyx produced from leaf explants. Botan. Stud. 2013, 54, 51. [Google Scholar] [CrossRef]
- Aissa, I.; Sghair, R.; Bouaziz, M.; Laouini, D.; Sayadi, S.; Gargouri, Y. Synthesis of lipophilic tyrosyl esters derivatives and assessment of their antimicrobial and antileishmania activities. Lipids Health Dis. 2012, 11, 13. [Google Scholar] [CrossRef] [PubMed]
- Acevedo, L.; Martınez, E.; Castaneda, P.; Franzblau, S.; Timmermann, B.N.; Linares, E.; Bye, R.; Mata, R. New phenylethanoids from Buddleja cordata subsp. cordata. Plant Med. 2000, 66, 257–261. [Google Scholar] [CrossRef]
- Marin, P.D.; Veitch, N.C.; Grayer, R.J.; Kite, G.C.; Soković, M.; Janaćković, P. Flavonoids from Phlomis fruticosa (Lamiaceae) growing in Montenegro. Biochem. Syst. Ecol. 2007, 35, 462–466. [Google Scholar] [CrossRef]
- Ullah, R.; Khader, J.A.; AbdEIslam, N.M.; Arabia, S. Chemical Constituents from Phlomis bracteosa. Life Sci. J. 2013, 10, 969–970. [Google Scholar]
- Aghakhani, F.; Kharazian, N.; Lori Gooini, Z. Flavonoid Constituents of Phlomis (Lamiaceae) species using liquid chromatography nass Sspectrometry. Phytochem. Anal. 2018, 29, 180–195. [Google Scholar] [CrossRef] [PubMed]
- Zhang, Y.; Wang, Z.Z. Phenolic composition and antioxidant activities of two Phlomis species: A correlation study. Comptes Rendus Biol. 2009, 332, 816–826. [Google Scholar] [CrossRef]
- Sarikurkcu, C.; Uren, M.C.; Tepe, B.; Cengiz, M.; Kocak, M.S. Phlomis armeniaca: Phenolic compounds, enzyme inhibitory and antioxidant activities. Ind Crops Prod. 2015, 78, 95–101. [Google Scholar] [CrossRef]
- Delnavazi, M.R.; Mohammadifar, F.; Rustaie, A.; Aghaahmadi, M.; Yassa, N. Phytochemical constituents, antioxidant activity and toxicity potential of Phlomis olivieri Benth. Res. J. Pharmacogn. 2016, 3, 9–15. [Google Scholar]
- Harput, U.S.; Çaliş, I.; Saracoğlu, I.; Dönmez, A.A.; Nagatsu, A. Secondary Metabolites from Phlomis syriaca and their Antioxidant Activities. Turk. J. Chem. 2006, 30, 383–390. [Google Scholar]
- Ullah, R.; Ullah, Z.; Hussain, I.; Ahmad, S. Phlomiside: A new steroid from Phlomis bracteosa. Arab. J. Chem. 2017, 10, S1303–S1305. [Google Scholar] [CrossRef]
- Deng, R.X.; Xu, Y.F.; Liu, P. Study on nortriterpenes from roots of Phlomis umbrosa var. latibracteata. Chin. Tradit. Herb. Drugs 2021, 2, 1555–1561. [Google Scholar] [CrossRef]
- Xie, W.L.; Zhu, J.; Zhao, Y.W.; Li, L. Antitumor or effect of phlomiol in vivo and in vitro. Chin. J. Chin. Mater. Med. 2010, 35, 1189–1192. [Google Scholar]
- Tang, C.; Zhao, C.C.; Yi, H.; Geng, Z.J.; Wu, X.Y.; Zhang, Y.; Liu, Y.; Fan, G. Traditional Tibetan Medicine in Cancer Therapy by Targeting Apoptosis Pathways. Front. Pharmacol. 2020, 11, 976. [Google Scholar] [CrossRef] [PubMed]
- Liu, P.; Deng, R.X.; Duan, H.Q.; Yin, W.P.; Zhao, T.Z. Phenylethanoid glycosides from the roots of Phlomis umbrosa. J. Asian Nat. Prod. Res. 2009, 11, 69–74. [Google Scholar] [CrossRef]
- Yu, Z.X.; Wang, G.L.; Bianba, C.; Lin, R.C. Studies on chemical constituents in root of Phlomis medicinalis I. Zhongguo Zhong Yao Za Zhi 2006, 31, 656–658. (In Chinese) [Google Scholar]
- Sarkhail, P.; Sahranavard, S.; Nikan, M.; Gafari, S.; Eslami-Tehrani, B. Evaluation of the cytotoxic activity of extracts from six species of Phlomis genus. J. Appl. Pharm. Sci. 2017, 7, 180–184. [Google Scholar] [CrossRef]
- Soltani-Nasab, F.; Asgarpanah, J.; Majdzadeh, M.; Ostad, S.N. Investigating the effect of Phlomis lanceolata Boiss and Hohen on cancer cell lines. Acta Med. Iran. 2014, 52, 333–336. [Google Scholar]
- Abu-Dahab, R.; Afifi, F. Antiproliferative activity of selected medicinal plants of Jordan against a breast adenocarcinoma cell line (MCF7). Sci. Pharm. 2007, 75, 121–146. [Google Scholar] [CrossRef]
- Thoppil, R.J.; Harlev, E.; Mandal, A.; Nevo, E.; Bishayee, A. Antitumor activities of extracts from selected desert plants against HepG2 human hepatocellular carcinoma cells. Pharm. Biol. 2013, 51, 668–674. [Google Scholar] [CrossRef]
- Aydin, B.; Gönder, L.Y.; Çerçi, N.A.; Ateş, Y.C.; Yalçınkaya, İ.S.; Canbolat, N.; Açık, L.; Karacan, N.; Akyüz Turumtay, E.; Turumtay, H. Biological activities and DNA interactions of aqueous extract of Phlomis linearis (Boiss. & Bal.). Int. J. Plant Bas. Pharm. 2023, 3, 73–85. [Google Scholar] [CrossRef]
- Göger, G.; Türkyolu, Ü.; Gürşen, E.N.; Yur, S.; Karaduman, A.B.; Göger, F.; Tekin, M.; Özek, G. Phytochemical characterisation of Phlomis linearis Boiss. & Bal and screening for anticholinesterase, antiamylase, antimicrobial, and cytotoxic properties. Turk. J. Chem. 2021, 45, 387–399. [Google Scholar] [CrossRef] [PubMed]
- Abdelhady, N.M.; Badr, K.A. Comparative study of phenolic content, antioxidant potentials and cytotoxic activity of the crude and green synthesized silver nanoparticles’extracts of two Phlomis species growing in Egypt. J. Pharmacogn. Phytochem. 2016, 5, 377–383. [Google Scholar]
- Hegazy, M.F.; Abdelfatah, S.; Hamed, A.R.; Mohamed, T.A.; Elshamy, A.A.; Saleh, I.A.; Reda, E.H.; Abdel-Azim, N.S.; Shams, K.A.; Sakr, M.; et al. Cytotoxicity of 40 Egyptian plant extracts targeting mechanisms of drug-resistant cancer cells. Phytomedicine 2019, 59, 152771. [Google Scholar] [CrossRef]
- Asadi-Samani, M.; Rafieian-Kopaei, M.; Lorigooini, Z.; Shirzad, H. A screening of anti-breast cancer effects and antioxidant activity of twenty medicinal plants gathered from Chaharmahal va Bakhtyari province, Iran. J. Pharm. Pharmacogn. Res. 2019, 7, 213–222. [Google Scholar]
- Heydari, F.; Ghafarzadegan, R.; Mofasseri, M.; Ghasemi, S.V.; Kashefi, M.; Hajiaghaee, R.; Tavakoli, S. Phytochemical analysis and biological activities of essential oil and extract of Phlomis rigida Labill. J. Med. Plants 2021, 20, 13–22. [Google Scholar] [CrossRef]
- Badisa, R.B.; Tzakou, O.; Couladis, M.; Pilarinou, E. Cytotoxic activities of some Greek Labiatae herbs. Phytother. Res. 2003, 17, 472–476. [Google Scholar] [CrossRef]
- Ghaffari, K.; Ahmadi, R.; Saberi, B.; Moulavi, P. Anti-proliferative effects of Ziziphus spina-christi and Phlomis russeliana leaf extracts on HEK293 and MCF-7 Cell Lines and Evaluation of Bax and Bcl-2 Genes Expression Level in MCF-7 Cells. Asian Pac. J. Cancer Prev. 2021, 22, 81–87. [Google Scholar] [CrossRef]
- Sarkhail, P.; Salimi, M.; Sarkheil, P.; Heidarnezhad, F.; Saeidnia, S. Evaluation of anti-melanogenic and cytotoxic activities of Phlomis caucasica on human melanoma SKMEL-3 cells. Int. J. Cancer Manag. 2017, 10, e4633. [Google Scholar] [CrossRef]
- Salimi, M.; Sarkhail, P.; Tahmasvand, R.; Baeeri, M. Determination of anti-melanogenic activity of Phlomis kurdica in human melanoma SKMEL-3 cells. Iran. J. Pharm. Sci. 2016, 12, 1–10. [Google Scholar] [CrossRef]
- Sarkhail, P.; Salimi, M.; Saeidnia, S.; Nikan, M.; Kurpaz-Mahmoodabadi, M. Influence of Four Phlomis Species on melanogenesis in human malignant melanoma (SKMEL-3) cells. Res. J. Pharmacogn. 2019, 6, 19–24. [Google Scholar] [CrossRef]
- Stojković, D.; Gašić, U.; Drakulić, D.; Zengin, G.; Stevanović, M.; Rajčević, N.; Soković, M. Chemical profiling, antimicrobial, anti-enzymatic, and cytotoxic properties of Phlomis fruticosa L. J. Pharm. Biomed. Anal. 2021, 195, 113884. [Google Scholar] [CrossRef] [PubMed]
- Stojkovic, D.; Drakulic, D.; Dias, M.I.; Zengin, G.; Barros, L.; Ivanov, M.; Gašic, U.; Rajcevic, N.; Stevanovic, M.; Ferreira, I.C.F.R.; et al. Phlomis fruticosa L. exerts in vitro antineurodegenerative and antioxidant activities and induces prooxidant effect in glioblastoma cell line. EXCLI J. 2022, 21, 387–399. [Google Scholar] [CrossRef] [PubMed]
- Calderón-Montaño, J.M.; Martínez-Sánchez, S.M.; Burgos-Morón, E.; Guillén-Mancina, E.; Jiménez-Alonso, J.J.; García, F.; Aparicio, A.; López-Lázaro, M. Screening for Selective Anticancer Activity of Plants from Grazalema Natural Park, Spain. Nat. Prod. Res. 2019, 33, 3454–3458. [Google Scholar] [CrossRef]
- Ihoual, S.; Karaali, W.; Abidli, N. Antioxidant, anti-proliferative, and induction of apoptosis by Phlomis samia methanolic extract from Algeria. Der Pharma Chem. 2017, 9, 99–107. [Google Scholar]
- Yarmolinsky, L.; Budovsky, A.; Ben-Shabat, S.; Khalfin, B.; Gorelick, J.; Bishitz, Y.; Miloslavski, R.; Yarmolinsky, L. Recent Updates on the Phytochemistry and Pharmacological Properties of Phlomis viscosa Poiret. Rejuvenation Res. 2019, 22, 282–288. [Google Scholar] [CrossRef] [PubMed]
- Emami, S.A.; Kheshami, S.; Ramazani, E.; Akaberi, M.; Iranshahy, M.; Kazemi, S.M.; Tayarani-Najaran, Z. Cytotoxic activity of thirteen endemic and rare plants from Chaharmahal and Bakhtiari Province in Iran. Iran J. Pharm. Res. 2019, 18, 1912–1920. [Google Scholar] [CrossRef]
- Tarhan, L.; Urek, R.O.; Oner, A.; Nakiboglu, M. Evaluation of phenolic profiles, antioxidant activities, and cytotoxic and apoptotic potentials of Phlomis angustissima and Phlomis fruticosa, medicinal plants from Turkey. Eur. J. Integr. Med. 2022, 55, 102188. [Google Scholar] [CrossRef]
- Mamadalieva, N.Z.; Vinciguerra, V.; Sobeh, M.; Ovidi, E.; Ashour, M.L.; Wink, M.; Tiezzi, A. GLC-MS profiling of non-polar extracts from Phlomis bucharica and P. salicifolia and their cytotoxicity. Bol. Latinoam. Caribe Plant Med. Aromat. 2015, 14, 442–448. [Google Scholar]
- Radojković, M.; Zekovic, Z.; Maskovic, P.; Vidovic, S.; Mandić, A.; Mišan, A.; Ðurović, S. Biological activities and chemical composition of Morus leaves extracts obtained by maceration and supercritical fluid extraction. J. Supercrit. Fluids 2016, 117, 50–58. [Google Scholar] [CrossRef]
- Mosmann, T. Rapid colorimetric assay for cellular growth and survival: Application to proliferation and cytotoxicity assays. J. Immunol. Methods 1983, 65, 55–63. [Google Scholar] [CrossRef] [PubMed]
- Baviskara, B.A.; Khadabadia, S.S.; Deore, S.L.; Shiradkar, M.R. Synthesis of clubbed Triazolyl Indeno [1,2-C] Isoquinolines as a novel anticancer agent. Der Pharm. Sin. 2012, 3, 24–30. [Google Scholar]
- Mašković, P.Z.; Diamanto, L.D.; Vujic, J.M.; Cvetanović, A.D.; Radojković, M.M.; Gadžurić, S.B.; Zengin, G. Onosma aucheriana: A source of biologically active Molecules for novel food Ingredients and pharmaceuticals. J. Funct. Foods 2015, 19, 479–486. [Google Scholar] [CrossRef]





| # | 13C | HSQC | DEPT 135 | δ 1H | Multiplicity (J, Hz) |
|---|---|---|---|---|---|
| Allylic part | |||||
| 1 | 116.3 | H-1a | CH2 | 5.21 | ddd, J1 = 17.4, J2 = 1.7, J3 = 1.1 Hz, 1H |
| H-1b | 5.11 | ddd, J1 = 10.4, J2 = 1.7, J3 = 0.9 Hz, 1H | |||
| 2 | 140.9 | H-2 | CH | 5.86 | ddd, J1 = 17.4, J2 = 10.4, J3 = 7.1 Hz, 1H |
| 3 | 83.1 | H-3 | CH | 4.08 | dd, J1 = 13.1, J2 = 7.1 Hz, 1H |
| 4 | 35.8 | H-4a | CH2 | 1.51 | m, 1H |
| H-4b | 1.68 | dd, J1 = 10.2, J2 = 5.9 Hz, 1H | |||
| 5 | 25.7 | H-5a | CH2 | 1.39 | m, 1H |
| H-5b | 1.32 | m, 1H | |||
| 6 | 33.1 | H-6 | CH2 | 1.31 | m, 2H |
| 7 | 23.7 | H-7a H-7b | CH2 | 1.33 | m, 1H |
| 1.37 | m, 1H | ||||
| 8 | 14.4 | H-8 | CH3 | 0.90 | t, J = 7.0 Hz, 3H |
| β-D-Glucose | |||||
| 1′ | 103.3 | H-1′ | CH | 4.29 | d, J = 7.8 Hz, 1H |
| 2′ | 75.3 | H-2′ | CH | 3.17 | dd, J1 = 7.8, J2 = 4.2, 1H |
| 3′ | 76.8 | H-3′ | CH | 3.34 | m, 1H |
| 4′ | 71.7 | H-4′ | CH | 3.25 | dd, J1 = 8.7, J2 = 1.0 Hz, 1H |
| 5′ | 78.2 | H-5′ | CH | 3.33 | m, 1H |
| 6′ | 68.4 | H-6a′ | CH2 | 3.56 | dd, J1 = 11.2, J2 = 5.2 Hz, 1H |
| H-6b′ | 3.92 | dd, J1 = 11.2, J2 = 1.8 Hz, 1H | |||
| β-D-Apiose | |||||
| 1″ | 110.8 | H-1″ | CH | 4.99 | d, J = 2.5 Hz, 1H |
| 2″ | 78.0 | H-2″ | CH | 3.88 | d, J = 2.5 Hz, 1H |
| 3″ | 80.6 | H-3″ | C | - | - |
| 4″ | 75.0 | H-4a″ | CH2 | 3.95 | d, J = 9.6 Hz, 1H |
| H-4b″ | 3.75 | d, J = 9.6 Hz, 1H | |||
| 5″ | 65.7 | H-5″ | CH2 | 3.57 | br.s, 2H |
| # | 13C | HSQC | δ 1H | Multiplicity (J, Hz) | COSY | HMBC |
|---|---|---|---|---|---|---|
| 1 | 130.1 * | - | - | - | - | H-2/H-6, H-7, H-8 |
| 2/6 | 130.0 | H-2/H-6 | 7.08 | d, J = 8.6 Hz, 2H | H-3/H-5 | H-4, H-3/H-5 |
| 3/5 | 115.2 | H-3/H-5 | 6.76 | d, J = 8.6 Hz, 2H | H-2/H-6 | - |
| 4 | 154.2 * | - | - | - | - | H-2/H-6 |
| 7 | 34.3 | H-7 | 2.86 | t, J = 7.0 Hz, 2H | H-8 | H-8 |
| 8 | 64.9 | H-8 | 4.23 | t, J = 7.0 Hz, 2H | H-7 | H-7 |
| 9 | 50.9 | H-9 | 3.48 | s, 3H | - | - |
| 1′ | 173.9 | - | - | - | - | H-8, H-2′ |
| 2′ | 34.2 | H-2′ | 2.27 | t, J = 7.3 Hz, 2H | H-3′ | - |
| 3′ | 24.9 | H-3′ | 1.60–1.57 | m, 2H | H-2′ | H-2′ |
| 4′/13′ | 29.7 | H-4′/H-13′ | 1.25 | br.s, 20H | - | - |
| 14′ | 31.9 | H-14′ | 1.25 | br.s, 2H | - | H-16′ |
| 15′ | 22.6 | H-15′ | 1.29–1.25 | m, 2H | H-16′ | H-16′ |
| 16′ | 14.1 | H-16′ | 0.87 | t, J = 7.2 Hz, 3H | H-15′ | - |
| # | 13C | HSQC | DEPT 135 | δ 1H | Multiplicity (J, Hz) | COSY | HMBC |
|---|---|---|---|---|---|---|---|
| 1 | 129.9 | - | C | - | - | - | H-2/H-6 H-3/H-5 |
| 2/6 | 130.0 | H-2/H-6 | CH | 7.07 | d, J = 8.5 Hz, 2H | H-3/H-5 | H-3/H-5 H-7, H-8 |
| 3/5 | 115.2 | H-3/H-5 | CH | 6.76 | d, J = 8.5 Hz, 2H | H-2/H-6 | H-2/H-6 |
| 4 | 154.2 | - | C | - | - | H-2/H-6 H-3/H-5 | |
| 7 | 34.3 | H-7 | CH2 | 2.86 | t, J = 7.1 Hz, 2H | H-8 | H-2/H-6 |
| 8 | 64.9 | H-8 | CH2 | 4.23 | t, J = 7.1 Hz, 2H | H-7 | H-7 |
| 1′ | 173.9 | - | C | - | - | - | H-8, H-2′, H-3′ |
| 2′ | 34.2 | H-2′ | CH2 | 2.28 | t, J = 7.5 Hz, 2H | H-3′ | H-8, H-3′ |
| 3′ | 24.9 | H-3′ | CH2 | 1.59 | dt, J1 = 7.5, J2 = 7.0 Hz, 2H | H-2′ | H-2′ |
| 4′/21′ | 29.6 | H-4′/H-21′ | (CH2)18 | 1.25 | br.s, 36H | - | - |
| 22′ | 31.9 | H-22′ | CH2 | 1.25 | m, 2H | - | H-23′, H-24′ |
| 23′ | 22.6 | H-23′ | CH2 | 1.29 | brq, J = 7.2 Hz, 2H | H-24′ | H-24′ |
| 24′ | 14.1 | H-24′ | CH3 | 0.88 | t, J = 7.2 Hz, 3H | H-23′ | H-23′ |
| Extract | IC50 Values (μg/mL) | |||
|---|---|---|---|---|
| Solvent | Plant Parts | Hep2c Cells | RD Cells | L2OB Cells |
| Petroleum ether | roots | 19.61 ± 0.39 | 23.18 ± 0.43 | 30.84 ± 0.31 |
| Ethyl acetate | roots | 20.74 ± 0.39 | 27.59 ± 0.29 | 33.76 ± 0.48 |
| Butanol | roots | 25.89 ± 0.21 | 28.57 ± 0.39 | 43.65 ± 0.74 |
| Water | roots | 26.32 ± 0.41 | 29.77 ± 0.18 | 46.74 ± 0.98 |
| Petroleum ether | leaves | 74.39 ± 0.12 | 98.38 ± 0.22 | 111.56 ± 0.37 |
| Dichloromethane | leaves | 36.53 ± 0.61 | 38.73 ± 0.77 | 54.76 ± 0.39 |
| Methanol | leaves | 37.88 ± 0.91 | 48.29 ± 0.45 | 62.72 ± 0.91 |
| Petroleum ether (a L.L.E of b ML) | leaves | 52.92 ± 0.19 | 49.29 ± 0.33 | 85.38 ± 0.76 |
| Ethyl acetate (L.L.E of ML) | leaves | 52.78 ± 0.32 | 62.90 ± 0.28 | 88.75 ± 0.32 |
| Butanol (L.L.E of ML) | leaves | 79.61 ± 0.39 | 100.91 ± 0.48 | 121.42 ± 0.38 |
| Water (L.L.E of ML) | leaves | 91.44 ± 0.27 | 104.19 ± 0.64 | 129.39 ± 0.49 |
| Petroleum ether | flowers | 92.85 ± 0.24 | 108.29 ± 0.88 | 134.58 ± 0.29 |
| Dichloromethane | flowers | 29.47 ± 0.29 | 25.73 ± 0.93 | 32.46 ± 0.29 |
| Methanol | flowers | 38.52 ± 0.87 | 29.44 ± 0.31 | 35.30 ± 0.91 |
| Butanol | flowers | 21.84 ± 0.78 | 30.74 ± 0.28 | 45.21 ± 0.37 |
| Water | flowers | 38.63 ± 0.59 | 31.53 ± 0.98 | 48.93 ± 0.27 |
| cis-DDP | 0.94 ± 0.55 | 1.4 ± 0.97 | 0.72 ± 0.64 | |
| American National Cancer Institute (NCI) < 30 μg/mL | ||||
| Phlomis Species | Plant Parts | Cell Line | Bibliography |
|---|---|---|---|
| P. olivieri, P. caucasica, P. anisodontea, P. bruguieri, P. kurdica, P. persica | MCF-7, HepG2, HT29, A549 and MDBK | [90] | |
| P. lanceolata | Total methanolic extract and partition fractions of flowering aerial parts | HT29, Caco2, T47D and NIH3T3 | [91] |
| P. syriaca | Ethanolic extract from the flowers | MCF-7 | [92] |
| P. cypria Post | 70% aqueous methanol extract of herbal parts | SK-HEP-1 cancer cell line | [43] |
| P. platystegia Post | Aqueous extracts of aerial parts | HepG2 | [93] |
| P. linearis Boiss. & Bal. | Aqueous extract | Mouse fibroblast L929 cell line, human H1299 cell line and human Caco-2 cell lines | [94] |
| Hexane, diethyl ether, ethyl acetate and methanol extracts of the aerial parts | A549 and HT-29 | [95] | |
| P. aurea Decne and P. floccosa D | HEP-G2, HCT-116 and MCV-7 | [96] | |
| P. aurea Decne | Aerial parts extracts methylene chloride: methanol (1:1) and methanol: H2O (7:3) | CCRF–CEM leukemia cells | [97] |
| P. persica Boiss. | The aerial part of the plants macerated in ethanol (70%) | MCF-7 and MDA-MB231 | [98] |
| P. rigida Labill. | Methanol extract from leaves and flowers | MCF-7, MDBK, HT-29 and A-549 | [99] |
| P. pungens Willd. | Methanol extract of aerial parts powder | Caco-2, HepG2 and MCF-7 cell lines | [100] |
| P. russeliana | Ethanolic extract of aerial part | Caco-2 cell lines | [36] |
| Leaf extract | HEK293 and MCF-7 | [101] | |
| P. caucasica | Aerial parts, 80% methanol extract | Human melanoma SKMEL-3 cells | [102] |
| P. kurdica | [103] | ||
| P. persica, P. brugieri, P. olivieri, P. anisodontea | [104] | ||
| P. fruticosa L. | Aerial parts, methanol extract | HGF-1, MCF-7, SiHa and HepG2 | [105] |
| A172 glioblastoma cell line | [106] | ||
| P. sterwartii Hf. | Leaves, flowers and whole plant | HepG2 cell lines | [38] |
| P. × composita Pau | Aerial parts | A549 | [107] |
| P. purpurea L. | Flowering aerial parts | ||
| P. samia | Aerial parts, methanol extract | HepG2 and MDA | [108] |
| P. viscosa Poiret | Crude ethanolic extracts from leaves | U-87 and MCF7 | [109] |
| P. thapsoides | Aerial parts | Caco-2 and HepG2 | [10] |
| P. aucheri | Aerial parts, methanol extract | PC-3, MCF-7, HepG2, CHO and B16-F10 | [110] |
| P. angustissima and P. fruticosa | Methanol/water, ethyl acetate and water extracts of leaves and flowers | HeLa, MCF-7, ACC-201, OE-33 and HepG2 | [111] |
| P. bucharica and P. salicifolia | Water, methanol, chloroform and hexane extracts from the whole plant | HeLa and HL-60 cell lines | [112] |
Disclaimer/Publisher’s Note: The statements, opinions and data contained in all publications are solely those of the individual author(s) and contributor(s) and not of MDPI and/or the editor(s). MDPI and/or the editor(s) disclaim responsibility for any injury to people or property resulting from any ideas, methods, instructions or products referred to in the content. |
© 2024 by the authors. Licensee MDPI, Basel, Switzerland. This article is an open access article distributed under the terms and conditions of the Creative Commons Attribution (CC BY) license (https://creativecommons.org/licenses/by/4.0/).
Share and Cite
Stefanakis, M.K.; Tsiftsoglou, O.S.; Mašković, P.Z.; Lazari, D.; Katerinopoulos, H.E. Chemical Constituents and Anticancer Activities of the Extracts from Phlomis × commixta Rech. f. (P. cretica × P. lanata). Int. J. Mol. Sci. 2024, 25, 816. https://doi.org/10.3390/ijms25020816
Stefanakis MK, Tsiftsoglou OS, Mašković PZ, Lazari D, Katerinopoulos HE. Chemical Constituents and Anticancer Activities of the Extracts from Phlomis × commixta Rech. f. (P. cretica × P. lanata). International Journal of Molecular Sciences. 2024; 25(2):816. https://doi.org/10.3390/ijms25020816
Chicago/Turabian StyleStefanakis, Michalis K., Olga St. Tsiftsoglou, Pavle Z. Mašković, Diamanto Lazari, and Haralambos E. Katerinopoulos. 2024. "Chemical Constituents and Anticancer Activities of the Extracts from Phlomis × commixta Rech. f. (P. cretica × P. lanata)" International Journal of Molecular Sciences 25, no. 2: 816. https://doi.org/10.3390/ijms25020816
APA StyleStefanakis, M. K., Tsiftsoglou, O. S., Mašković, P. Z., Lazari, D., & Katerinopoulos, H. E. (2024). Chemical Constituents and Anticancer Activities of the Extracts from Phlomis × commixta Rech. f. (P. cretica × P. lanata). International Journal of Molecular Sciences, 25(2), 816. https://doi.org/10.3390/ijms25020816

