Next Article in Journal
The Role of CD4/6 Inhibitors in Breast Cancer Treatment
Previous Article in Journal
Effects of Rumen-Protected L-Tryptophan Supplementation on Productivity, Physiological Indicators, Blood Profiles, and Heat Shock Protein Gene Expression in Lactating Holstein Cows under Heat Stress Conditions
 
 
Due to scheduled maintenance work on our servers, there may be short service disruptions on this website between 11:00 and 12:00 CEST on March 28th.
Font Type:
Arial Georgia Verdana
Font Size:
Aa Aa Aa
Line Spacing:
Column Width:
Background:
Article

Discovery of Novel Diphenyl Acrylonitrile Derivatives That Promote Adult Rats’ Hippocampal Neurogenesis

1
Key Laboratory of Medicinal Molecule Science and Pharmaceutical Engineering, School of Chemistry and Chemical Engineering, Beijing Institute of Technology, Beijing 102488, China
2
School of Life Science, Beijing Institute of Technology, Beijing 100081, China
*
Authors to whom correspondence should be addressed.
These authors contributed equally to this work.
Int. J. Mol. Sci. 2024, 25(2), 1241; https://doi.org/10.3390/ijms25021241
Submission received: 2 January 2024 / Accepted: 14 January 2024 / Published: 19 January 2024
(This article belongs to the Section Molecular Neurobiology)

Abstract

We previously discovered WS-6 as a new antidepressant in correlation to its function of stimulating neurogenesis. Herein, several different scaffolds (stilbene, 1,3-diphenyl 1-propene, 1,3-diphenyl 2-propene, 1,2-diphenyl acrylo-1-nitrile, 1,2-diphenyl acrylo-2-nitrile, 1,3-diphenyl trimethylamine), further varied through substitutions of twelve amide substituents plus the addition of a methylene unit and an inverted amide, were examined to elucidate the SARs for promoting adult rat neurogenesis. Most of the compounds could stimulate proliferation of progenitors, but just a few chemicals possessing a specific structural profile, exemplified by diphenyl acrylonitrile 29b, 32a, and 32b, showed better activity than the clinical drug NSI-189 in promoting newborn cells differentiation into mature neurons. The most potent diphenyl acrylonitrile 32b had an excellent brain AUC to plasma AUC ratio (B/P = 1.6), suggesting its potential for further development as a new lead.

1. Introduction

It has been established that hippocampal neurogenesis in rodents, non-human primates, and humans persists throughout the life span [1], but it drops sharply in aged adults and Alzheimer’s Disease patients [2,3]. A positive correlation exists between higher numbers of neuroblasts and an enhanced cognitive status [2]. Therefore, regulating adult mammalian hippocampal neurogenesis through small molecules is a potential strategy for the treatment of neurodegenerative disorders [4]. Many synthetic potential scaffolds have been identified, such as 4′-dimethylamino-7, 8-dihydroxyflavone [5], N-acetyl bioisosteres of melatonin [6], ISX-9 [7], 2-phenylamino-quinazoline [8], pyrrolidinones [9], melatonin–pinoline hybrids [10], isoquinoline-1,4(6H)-dione [11], neurodazine (Nz), and neurodazole (Nzl) [12], which were documented in our recent review [4]. However, small molecules that are efficient in vivo are still urgently needed to evaluate their potential in the treatment of neurodegenerative diseases.
Considering the presence of the blood–brain barrier (BBB) and the cell type complexity required for neurogenesis in the hippocampus, devising simple, predictive assays has proven difficult, and little consensus exists regarding which receptors or enzymes represent ideal targets [13]. For this reason, conducting in vivo phenotype screening is essential to examine their potential in promoting neurogenesis. As a result, P7C3 and NSI-189 (Figure 1) were demonstrated to be two of the most promising molecules. P7C3 showed a great potential in treating a variety of neurodegenerative diseases, while NSI-189 is in Phase II as a monotherapy in major depressive disorder [14,15,16,17,18,19]. It is noted that P7C3 and NSI-189 have different modes of action. P7C3 is a neuroprotective agent (by lowering the death rate of newborn cells), although the researchers initially intended to search for molecules with a capacity to stimulate proliferation [13,20]. In other words, a significant increase in newborn cells in the hippocampus exposed to NSI-189 was observed after a short time, while the significance when exposed to P7C3 was observed after a long time [15].
To produce new mature neurons in the hippocampal dentate gyrus (DG) region, both the proliferation of progenitors and differentiation into neurons are key steps for neurogenesis. Unfortunately, the structure–activity relationships (SARs) of the stimulators are less investigated at the stage of differentiation [4]. It is unclear which pharmacophore could determine the fate of the newborn progenitors in an adult mammalian brain. We previously discovered N-trans-3′,4′-methylenedioxystilben-4-yl acetamide (coded WS-6, Figure 1) based on natural pterostilbene [21]. WS-6 showed an excellent capacity in promoting the proliferation of progenitors and differentiation into neurons in rodents’ hippocampi, which possessed the same mode of action as that of NSI-189 [21]. Later, WS-6 proved to be a new antidepressant in correlation to its function of stimulating neurogenesis [22].
We herein report SARs of stilbene analogs both at the proliferation stage and the differentiation stage. Thus, we noted that only a few of the chemicals with the specific structural profile have a further capacity to promote newborn cell differentiation into mature neurons.

2. Results and Discussion

2.1. Exploration of SARs Based on WS-6

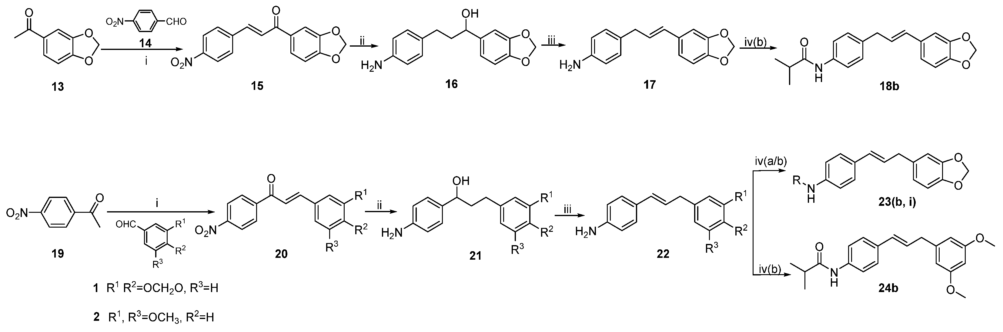
WS-6 [21] was used as the lead compound for further structural modification and optimization. We initially examined the impact of substituents such as various amides, a fluorine atom, a methylenedioxy group, and a 3,5-dimethoxy group on the activity (Scheme 1). To evaluate the influence of linker length on the activity of the scaffold, we designed two diphenyl propene skeletons (Scheme 2). We incorporated a cyano group or a tertiary nitrogen linker (Scheme 3 and Scheme 4) to adjust the lipid–water partition coefficient, which was a crucial factor in determining the ability of small molecules to penetrate the blood–brain barrier. To further develop new substituents, we designed twelve different amides or sulfonamides (illustrated in Figure 2). Finally, we introduced an inverted amide to the stilbene and inserted an additional methylene unit between the amide and the stilbene (Scheme 5).

2.2. Chemistry

The procedures to synthesize the stilbene 8, 9, and 12 are outlined in Scheme 1. Commercially available 3,4-methylenedioxybenzaldehyde (1) or 3,5-dimethoxybenzaldehyde (2) was used to produce the corresponding styrene (3 or 4) by using a Wittig reaction. The Heck reaction of 3 or 4 with 1-iodo-4-nitrobenzene (5) or 2-fluoro-4-iodoaniline (10) led to the stilbene 6 or 11. A reduction of 6 in the presence of SnCl2 was performed to yield 7. The key intermediates 7 and 11 reacted with acylated reagents such as carboxylic acids, anhydrides, and acyl chlorides to give the target compounds 8 (8c–8e, 8g–8h, 8j–8l), 9b, and 12f.
The procedures to synthesize the diphenyl propene 18, 23, and 24 are outlined in Scheme 2. The preparation of chalcone (15) began with the aldol condensation reaction of commercially available phenyl ethanone (13) with benzaldehyde (14), followed by reduction with NaBH4 and then dehydration to obtain diphenyl propylene (17). Regional isomerization of olefin (22) can be performed in a similar way using benzaldehyde (1 or 2) and phenylethyl ketone (19). The diphenyl propene 18b, 23b, 23i, and 24b were prepared through the acylation reaction of 17 or 22 with methanesulfonyl chloride or isobutyric anhydride.
The procedures to synthesize the diphenyl acrylonitrile 29 and 32 are outlined in Scheme 3. A condensation reaction of commercially available benzaldehyde (1) and phenylacetonitrile (25) followed by the reduction of nitro to amino groups yielded 28. Similarly, 31 was achieved from 14 and 26. The diphenyl acrylonitrile 29a–29b and 32a–32b were obtained through acylation.
The procedure to synthesize the diphenyl trimethylamine 36 is outlined in Scheme 4. Condensation and reduction of commercially available N-(4-formylphenyl)acetamide (33) and 3,4-methylenedioxymethanamine (34) yielded the intermediate 35. Compound 36a was obtained through methylation on the nitrogen atom.
The procedures to synthesize the target compounds 39b and 42b are outlined in Scheme 5. The Heck reaction of 3 with commercially available 37 led to the acid 38, and acylation of 38 with an amine produced the inverted amide 39b. The amide installed onto the additional methylene group 42b was obtained through a Heck reaction of 40 followed by acylation of 41.

2.3. Structure–Activity Relationships

Previous in vitro or in vivo studies mainly focused on stimulating the proliferation effect of the small molecules [21]. In this study, a two-step protocol was employed. First, the stimulating function of the compounds on progenitor cells in the rodents’ hippocampi was examined with using bromodeoxyuridine (BrdU) labeling. Next, the potent compounds were further screened to ascertain their ability to promote the differentiation of neural progenitor cells, as confirmed by dual labeling of BrdU and NeuN (neuronal nuclear antigen).

2.3.1. Structure–Activity Relationships for Stimulating Proliferation

Adult rats were administered intraperitoneally with the prepared compounds at a dose of 4.0 mg/kg/day for a period of 28 days, followed by a BrdU pulse. After 24 h, the rats were sacrificed, and their brain tissues were isolated and cryosectioned. Immunohistochemical staining was performed and eight brain tissue slices were randomly selected for statistical analyzing [21].
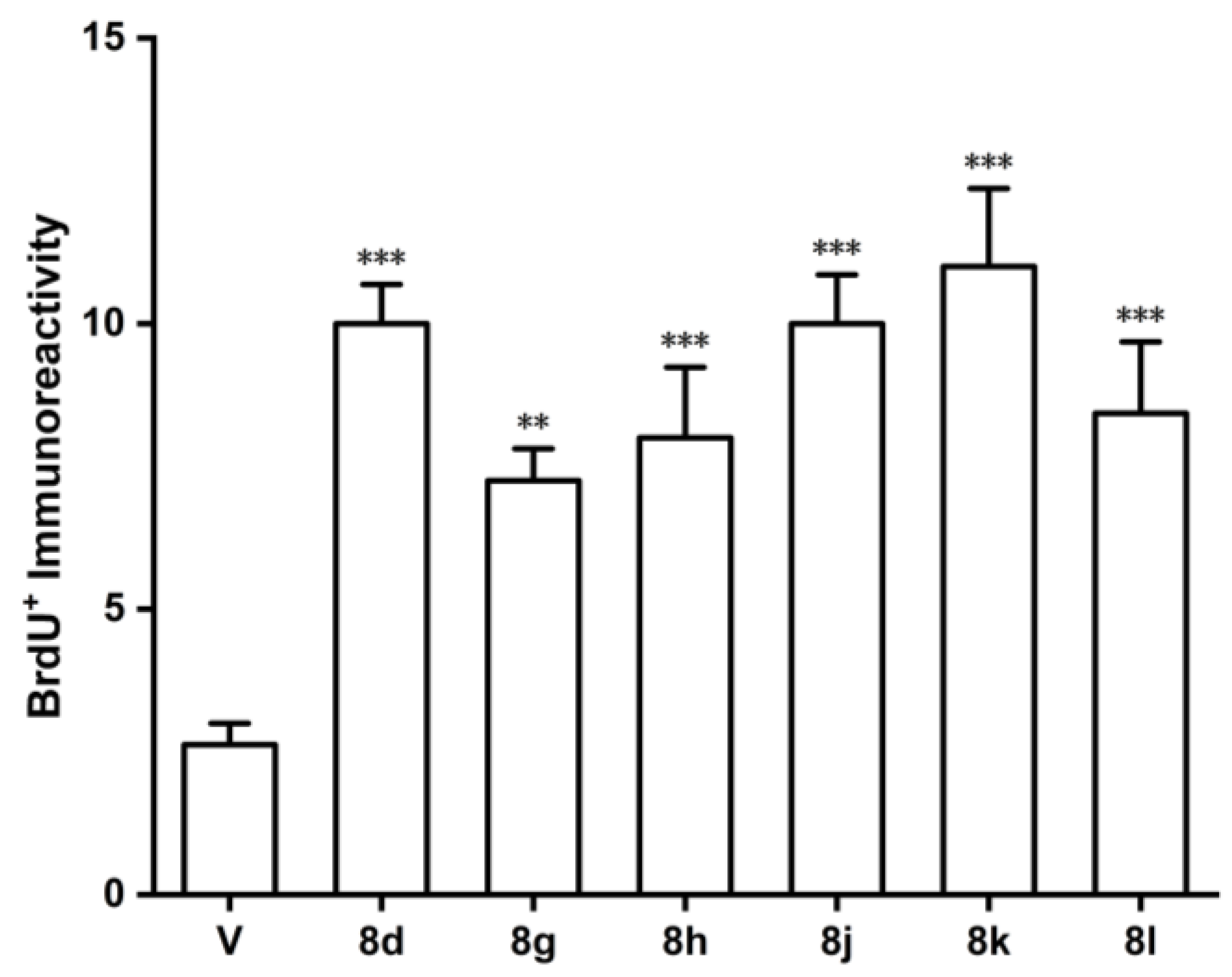
To investigate the impact of amide pharmacophores on proliferative activity, a series of stilbenes, namely, 8c (N,N-dimethylaminoformamide), 8d (cyclobutylformamide), 8g (benzylformamide), 8h (pyridi-2-ylformamide), 8j (N,N-dimethylsulfonamide), 8k (cyclopropylsulfonamide), 8l (benzenesulfonamide), 9b (isobutyramide), and 12f (benzamide) were designed. The data in Figure 3 and Figure 4 shows that both sulfonamides and amides can enhance the proliferation of brain progenitor cells. However, irrespective of an amide or a sulfonamide, the introduction of (hetero) aryl substituents (8g, 8h, 8l, Figure 3; 12f, Figure 4) adversely affected the proliferative activity. Conversely, cyclic alkyl groups and aza-alkyl groups (8d, 8j, 8k, Figure 3) demonstrated a greater propensity for enhancing activity.
In contrast to stilbenes, diphenylpropene 18b and 23b maintained the same proliferative activity as 9b (Figure 4). To gain a deep understanding of the impact of diphenyl propene on proliferative activity, we substituted 3,4-methylenedioxy with 3,5-dimethoxy (23b vs. 24b) or replaced amide with sulfonamide (23b vs. 23i). The activity of 24b remained the same, while the activity of methanesulfonamide 23i decreased, which underscored the different structure–activity relationships in the diphenyl propene and the stilbene frameworks (Figure 5).
An attempt to bridge two phenyl rings using a trimethylamine linker (36a) instead of alkene linkers abolished the activity (Figure 5). The diphenyl acrylonitrile 29b exhibited satisfactory activity. However, compound 8e with a cyano group shifted from the linker to the amide substituent did not display significant activity. These findings corroborated that stilbene was the preferred scaffold with proliferative activity and was amenable to certain structural modifications.
The amide inversion (39b) displayed activity comparable to that found in amides 8c, 8d, and 29b (Figure 6) [21]. Unfortunately, the introduction of an additional methylene group between the amide and the stilbene led to a loss of activity (42b). These experimental findings emphasized the diverse SARs exhibited by amide substituents.

2.3.2. Structure–Activity Relationships for Promoting Differentiation

In an effort to investigate the effects of various compounds on the differentiation fate of neural progenitor cells following proliferation, we selected a set of nine active compounds (8c, 8d, 8j, 8k, 18b, 23b, 24b, 29b, and 39b) and an inactive compound, 42b. The study employed a rat model, wherein nine-week-old rats were administered intraperitoneally with the compound at a dose of 4.0 mg/kg/day for 28 days and then treated with a pulse of BrdU. Instead of sacrificing the rats 24 h after the BrdU injections, the rats were sacrificed after another 28 days. The brains were then isolated and cryosectioned. Eight randomly selected slices were subjected to immunohistochemical staining. This staining enabled the co-localization of the BrdU-incorporated cells with the NeuN marker, enabling the definition of the compounds that could promote the differentiation of newborn neural progenitor cells into mature functional neurons.
However, after a 28 day waiting period, only five compounds (8c, 8d, 8k, 29b and 39b) could promote the proliferation of progenitors (Figure 7A). Compounds 18b, 23b, and 24b, featuring a diphenyl propylene scaffold, did not exhibit significant proliferative activity over the longer 28 day period. Regarding the amide and sulfonamide substructures, cycloalkyl substituents were more favorable than the aza-alkyl groups to enhance the proliferative activity (8k vs. 8j, 8d vs. 8c). Compound 39b, characterized by amide inversion, exhibiting proliferative activity within both the short and long durations, whereas compound 42b, with the insertion of a methylene group between the amide and the benzene ring, remained devoid of proliferative activity. Unexpectedly, the analysis of BrdU and NeuN double staining revealed that only compound 29b significantly increased the number of newborn neurons. Compound 39b ranked second in terms of activity, without statistical significance (Figure 7B).

2.3.3. Structure–Activity Relationships of 29b Analogs

Inspired by the success of 29b, we synthesized 29a, an acetamide analog of compound 29b. The corresponding isomers of 29a and 29b, 32a and 32b, varying the position of the cyano group, were also prepared. Because NSI-189 was a stimulator for neurogenesis [17], we utilized NSI-189 as a control. The results depicted in Figure 8 showed that both 29a and NSI-189 were inactive at a low dose of 4 mg/kg, while the other three compounds, 29b, 32a, and 32b, exhibited proliferative activity after a day.
Next, we further examined the effects of 29a, 29b, 32a, 32b, and NSI-189 on the differentiation fate of newborn progenitors (Figure 9). The trend in the differentiation stage was observed to be consistent with that in the proliferation stage. Among the compounds, isobutyramide was more favorable than acetamide in enhancing activity (29b vs. 29a, 32b vs. 32a). The position of the cyano group played a crucial role in defining activity, because 32a and 32b, with a cyano substitution distal to the amide-substituted phenyl ring, are more active than 29a and 29b, with a cyano substitution adjacent to the amide-substituted phenyl ring. Compound 32b showed the highest activity, while 29a and NSI-189 had no significant neurogenesis-promoting activity at the dose of 4.0 mg/kg.
Finally, we performed cytotoxicity tests on compounds 29b, 32a, and 32b. Among them, the IC50 values of compounds 29b and 32b were greater than 200 μM, and only compound 32a had a weak inhibitory effect (IC50 = 109.29 ± 12.91 μM) on hCMEC/D3 cell lines (Figure S1).

2.4. Pharmacokinetic Studies

We conducted pharmacokinetic experiments (n = 3 rats per group) on the most promising compound, 32b, to examine its pharmacokinetic parameters and distribution (Table 1). The maximum drug concentrations observed in the plasma and brain tissue of rats were 132 ng/mL and 168 ng/g, respectively. The exposure of the drug in brain tissue in terms of AUC (area under the curve) (i.e. the brain to plasma ratio, B/P) was 1.59 times higher than that in plasma (383 h*ng/mL in plasma and 608 h*ng/g in brain tissue). The half-life of the drug in brain tissue was found to be better than in plasma. Taken together, compound 32b could effectively traverse the BBB and exhibited great overall uptake in the brain.
Calculating the logP (lipid–water partition coefficients) indicated 3.82 for acetamide WS-6 and 4.66 for an isobutyramide analog of WS-6. However, ClogP of the isobutyamides 29b and 32b was comparable to WS-6 (Clog P: 3.28 for 29b and 32b; 2.44 for acetamide 29a and 32a). Thus, the introduction of the cyano group played a role in regulating the lipid–water partition coefficient, which may account for the improved ability of 32b to penetrate the BBB.

3. Materials and Methods

3.1. Chemistry

All reagents and solvents were purchased from commercial sources (J&K Scientific) and used without further purification unless otherwise noted. All non-aqueous reactions were carried out under argon using dry solvents, unless otherwise noted. Reactions were monitored through thin-layer chromatography, and 254 nm UV light was used for visualization. Column chromatography was performed on silica gel (100–200 or 200–300 mesh) purchased from Qingdao Haiyang. 1H and 13C nuclear magnetic resonance (NMR) spectra were recorded on Bruker ARX 400/500 MHz with tetramethylsilane (TMS) as an internal standard. High resolution mass spectra (HRMS) were obtained with Agilent 6210 LC-MS TOF or Agilent Q-TOF 6520 LC-MS (Table S1 and Supplementary Materials).
General procedure 1: synthesis of compounds 3–4. A mixture of methyltriphenylphosphonium bromide (2.79 g, 7.8 mmol) and sodium amide (0.30 g, 7.8 mmol) in anhydrous ether (20 mL) was stirred at 25 °C under argon protection for 1 h. The mixture was cooled to −10 °C, and 1 (0.59 g, 3.9 mmol) was added. The mixture continued to be stirred at 25 °C for another 10 min. The resulting precipitate was filtered off, washed with ethyl acetate, and concentrated in vacuo. The residue was purified through column chromatography on silica gel (petroleum ether/ethyl acetate = 10:3) to afford 3 (0.19 g, 32.9%). Compound 4 (0.21 g, 32.9%) was prepared according to the same procedure as 2 (0.65 g, 3.9 mmol).
General procedure 2: synthesis of compounds 6 and 11. To a solution of substituted styrene (1.3 mmol, 1.2 eq), tetrabutylammonium bromide (0.58 g, 1.8 mmol), potassium acetate (0.19 g, 1.9 mmol), and palladium acetate (0.02 g, 0.1 mmol) in DMF (25 mL) was added, along with substituted iodobenzene (1.1 mmol, 1 eq). The mixture was stirred at 80 °C for 5 h under argon. The reaction solution was extracted using ethyl acetate. The organic layer was combined, washed with saturated NaCl solution, and concentrated in vacuo to afford 6 (or 11).
Substituted (E)-1-nitro-4-styrylbenzene (6). Compound 6 was prepared according to general procedure 2 from 5 (0.28 g, 1.1 mmol) and 3 (0.19 g, 1.3 mmol).
General procedure 3: synthesis of compounds 7 and 28. A well stirred mixture of compounds with a nitro group (10 mmol, 1 eq) and stannous chloride (40.0 mmol, 4 eq) in EtOH (40 mL) was heated to reflux for 2 h. After the reaction was completed, the solvent was removed, and the residue was stirred with NaOH (50 mL, 1 M) for another 0.5 h. The aqueous solution was extracted with ethyl acetate. The organic layer was combined, washed with saturated NaCl solution and then concentrated in vacuo. Purification through column chromatography on silica gel (dichloromethane = 100%) afforded products with an amino group.
Substituted (E)-4-styrylaniline (7). Compound 7 was prepared according to general procedure 3 from 6 (2.69 g, 10.0 mmol).
General procedure 4: synthesis of compounds 8, 9, 12, 18, 23, 24, 29, 32, 39, and 42.
General procedure 4(a): Acyl chloride (3.6 mmol, 3 eq) and pyridine (0.28 mL, 3.6 mmol) were added dropwise to a solution of compounds with an amino (1.2 mmol, 1 eq) and DMAP (0.02 g, 0.1 mmol) in CH2Cl2 (20 mL). The mixture was stirred at 25 °C from 1 h to 14 d. The mixture was poured into saturated NaHCO3 solution, the organic layer was separated, and the solvent was removed in vacuo. The residue was purified through column chromatography on silica gel to afford pure products.
General procedure 4(b): Pyridine (0.19 mL, 2.4 mmol) and anhydride (2.3 mmol, 3 eq) were added dropwise to a solution of compounds with an amino (0.8 mmol, 1 eq) and DMAP (0.02 g, 0.1 mmol) in CH2Cl2 (20 mL) below 0 °C. The mixture was stirred at 0 °C from 0.5 h to 1.5 h. The reaction solution was poured into saturated NaHCO3 solution, the organic layer was separated, and the solvent was removed in vacuo. The residue was purified through column chromatography on silica gel to afford pure target products.
General procedure 4(c): Pyridine (0.34 mL, 4.2 mmol) was added dropwise to a solution of compounds with an amino (1.0 mmol, 1 eq), DMAP (0.32 g, 2.6 mmol), DCC (0.54 g, 2.6 mmol), and carboxylic acid (2.6 mmol, 2.6 eq) in CH2Cl2 (20 mL) below 0 °C. The mixture was stirred at 0 °C for 1 h, then at 25 °C for 3 h. The reaction was filtered, then the filtrate was concentrated in vacuo to obtain compounds which were then purified through column chromatography.
(E)-3-(4-(2-(benzo[d][1,3]dioxol-5-yl)vinyl)phenyl)-1,1-dimethylurea (8c). Compound 8c was prepared according to general procedure 4(a) from N, N-dimethylcarbamoyl chloride (0.32 mL, 3.6 mmol) and 7 (R1 R2 = OCH2O, R3 = H) (0.28 g, 1.2 mmol) for 1 h. Purification through column chromatography (dichloromethane/methanol = 10:0.1) on silica gel afforded pure 8c (0.26 g, 68.9%) as a product. HRMS (ESI) (M+H)+ m/z 311.1397, calcd for C18H19N2O3 311.1390. 1H NMR (Acetone-d6, 500 MHz) δ: 7.73 (s, 1H), 7.56–7.54 (m, 2H), 7.43–7.41 (m, 2H), 7.15 (d, J = 2.0 Hz, 1H), 7.03–6.98 (m, 3H), 6.82 (d, J = 8.5 Hz, 1H), 6.00 (s, 2H), 3.00 (s, 6H). 13C NMR (Acetone-d6, 125 MHz) δ: 156.4, 149.2, 148.0, 141.3, 133.4, 132.2, 127.7, 127.3, 127.0, 122.0, 120.3, 120.2, 109.1, 106.0, 102.1, 36.6.
(E)-N-(4-(2-(benzo[d][1,3]dioxol-5-yl)vinyl)phenyl)cyclobutanecarboxamide (8d). Compound 8d was prepared according to general procedure 4(c) from cyclobutanecarboxylic acid (0.83 g, 8.3 mmol) and 7 (R1 R2 = OCH2O, R3 = H) (0.76 g, 3.2 mmol) for 3 h. Purification through column chromatography (dichloromethane = 100%, petroleum ether/ethyl acetate = 10:3) on silica gel afforded pure 8d (0.22 g, 21.2%) as a product. HRMS (ESI) (M+H)+ m/z 322.1445, calcd for C20H20NO3 322.1438. 1H NMR (Acetone-d6, 500 MHz) δ: 8.91 (s, 1H), 7.67 (d, J = 8.5 Hz, 2H), 7.49–7.47 (m, 2H), 7.16 (d, J = 1.5 Hz, 1H), 7.06–7.00 (m, 3H), 6.83 (d, J = 8.0 Hz, 1H), 6.00 (s, 2H), 3.28–3.25 (m, 1H), 2.94–2.32 (m, 2H), 2.16–2.14 (m, 2H), 2.09–2.04 (m, 1H), 1.98–1.96 (m, 1H). 13C NMR (Acetone-d6, 125 MHz) δ: 173.6, 149.2, 148.2, 139.9, 133.5, 133.3, 127.8, 127.5, 127.4, 122.2, 120.2, 120.1, 109.1, 106.1, 102.1, 41.4, 25.7, 18.7.
(E)-N-(4-(2-(benzo[d][1,3]dioxol-5-yl)vinyl)phenyl)-1-cyanocyclopropane-1-carboxamide (8e). Compound 8e was prepared according to general procedure 4(c) from 1-cyanocyclopropylformic acid (0.29 g, 2.6 mmol) and 7 (R1 R2 = OCH2O, R3 = H) (0.24 g, 1.0 mmol) for 3 h. Purification through column chromatography (dichloromethane = 100%) on silica gel afforded pure 8e (0.25 g, 73.5%) as a product. HRMS (ESI) (M+H)+ m/z 333.1235, calcd for C20H17N2O3 333.1234. 1H NMR (DMSO-d6, 400 MHz) δ: 10.06 (s, 1H), 7.64 (d, J = 1.5 Hz, 2H), 7.50 (d, J = 8.5 Hz, 2H), 7.23 (s, 1H), 7.09 (d, J = 16.5 Hz, 1H), 7.04 (d, J = 16.5 Hz, 1H), 6.99 (d, J = 8.0 Hz, 1H), 6.87 (dd, J = 8.0 Hz, 2.5 Hz, 1H), 6.02 (s, 2H), 1.64–1.71 (m, 4H). 13C NMR (DMSO-d6, 100 MHz) δ: 163.7, 147.8, 146.9, 137.3, 133.3, 131.7, 127.4, 126.4, 126.1, 121.4, 121.1, 120.0, 108.3, 105.3, 101.1, 17.0, 14.8.
(E)-N-(4-(2-(benzo[d][1,3]dioxol-5-yl)vinyl)phenyl)-2-phenylacetamide (8g). Compound 8g was prepared according to general procedure 4(a) from phenylacetyl chloride (0.46 mL, 3.5 mmol) and 7 (R1 R2 = OCH2O, R3 = H) (0.28 g, 1.2 mmol) for 1 h. Purification through column chromatography (dichloromethane/methanol = 10:0.1) on silica gel afforded pure 8g (0.28 g, 66.6%) as a product. HRMS (ESI) (M+H)+ m/z 358.1445, calcd for C23H20NO3 358.1438. 1H NMR (Acetone-d6, 500 MHz) δ: 9.29 (s, 1H), 7.64–7.66 (m, 2H), 7.47–7.49 (m, 2H), 7.38–7.39 (m, 2H), 7.30–7.33 (m, 2H), 7.23–7.26 (m, 1H), 7.16 (d, J =1.5 Hz, 1H), 7.08 (d, J = 16.5 Hz, 1H), 7.04 (d, J = 16.5 Hz, 1H), 7.00 (dd, J = 8.0 Hz, 1.5 Hz, 1H), 6.82 (d, J = 8.0 Hz, 1H), 6.00 (s, 2H), 3.70 (s, 2H). 13C NMR (Acetone-d6, 125 MHz) δ: 169.7, 149.2, 148.2, 139.7, 136.9, 133.2, 130.1, 129.2, 128.0, 127.6, 127.5, 127.4, 122.2, 120.2, 120.2, 109.1, 106.1, 102.1, 44.8.
(E)-N-(4-(2-(benzo[d][1,3]dioxol-5-yl)vinyl)phenyl)picolinamide (8h). Compound 8h was prepared according to general procedure 4(c) from 2-picolinic acid (0.32 g, 2.6 mmol) and 7 (R1 R2 = OCH2O, R3 = H) (0.24 g, 1.0 mmol) for 1 h. Purification through column chromatography (dichloromethane = 100%, petroleum ether/ethyl acetate = 10:3) on silica gel afforded pure 8h (0.16 g, 45.7%) as a product. HRMS (ESI) (M+H)+ m/z 345.1240, calcd for C21H17N2O3 345.1234. 1H NMR (DMSO-d6, 500 MHz) δ: 10.55 (s, 1H), 8.64 (d, J = 1.5 Hz, 1H), 8.06 (d, J = 7.5 Hz, 1H), 7.96–7.99 (m, 1H), 7.82 (d, J = 8.5 Hz, 2H), 7.57–7.59 (m, 1H), 7.45 (d, J = 8.5 Hz, 2H), 7.15 (s, 1H), 7.03 (d, J = 16.0 Hz, 1H), 6.98 (d, J = 17.0 Hz, 1H), 6.91 (dd, J = 8.0 Hz, 1.0 Hz, 1H), 6.81 (d, J = 7.5 Hz, 1H), 5.93 (s, 2H). 13C NMR (DMSO-d6, 125 MHz) δ: 162.3, 149.8, 148.4, 147.8, 146.8, 138.1, 137.5, 133.0, 131.8, 127.2, 126.9, 126.6, 126.2, 122.3, 121.4, 120.3, 108.4, 105.2, 101.0.
(E)-1-(4-(2-(benzo[d][1,3]dioxol-5-yl)vinyl)phenyl)-N,N-dimethylmethanesulfonamide (8j). Compound 8j was prepared according to general procedure 4(a) from dimethylsulfamoyl chloride (0.27 mL, 2.5 mmol) and 7 (R1 R2 = OCH2O, R3 = H) (0.20 g, 0.8 mmol) for 14 d. Purification through column chromatography (dichloromethane/methanol = 10:0.1) on silica gel afforded pure 8j (0.02 g, 6.9%) as a product. HRMS (ESI) (M+H)+ m/z 347.1055, calcd for C17H19N2O4S 347.1060. 1H NMR (Acetone-d6, 500 MHz) δ: 8.77 (s, 1H), 7.51–7.54 (m, 2H), 7.33–7.35 (m, 2H), 7.18 (d, J = 1.5 Hz, 1H), 7.11 (d, J = 16.5 Hz, 1H), 7.06 (d, J = 16.5 Hz, 1H), 7.01 (dd, J = 8.0 Hz, 2.0 Hz, 1H), 6.84 (d, J = 8.0 Hz, 1H), 6.01 (s, 2H), 2.79 (s, 6H). 13C NMR (Acetone-d6, 125 MHz) δ: 149.2, 148.2, 138.9, 134.2, 133.1, 128.3, 127.9, 127.1, 122.3, 120.9, 109.1, 106.1, 102.1, 38.4.
(E)-N-(4-(2-(benzo[d][1,3]dioxol-5-yl)vinyl)phenyl)cyclopropanesulfonamide (8k). Compound 8k was prepared according to general procedure 4(a) from cyclopropylsulfonyl chloride (0.25 mL, 2.5 mmol) and 7 (R1 R2 = OCH2O, R3 = H) (0.20 g, 0.8 mmol) for 6 d. Purification through column chromatography (dichloromethane = 100%) on silica gel afforded pure 8k (0.24 g, 84.9%) as a product. HRMS (ESI) (M+H)+ m/z 344.0959, calcd for C18H18NO4S 344.0951. 1H NMR (DMSO-d6, 500 MHz) δ: 9.74 (s, 1H), 7.50 (d, J = 8.5 Hz, 2H), 7.24 (dd, J = 8.0 Hz, 1.5 Hz, 1H), 7.23 (d, J = 8.5 Hz, 2H), 7.08 (d, J = 16.5 Hz, 1H), 7.05 (d, J = 16.5 Hz, 1H), 7.00 (dd, J = 8.0 Hz, 1.5 Hz, 1H), 6.89 (d, J = 8.0 Hz, 1H), 6.02 (s, 2H), 2.60–2.64 (m, 1H), 0.92–0.94 (m, 4H). 13C NMR (DMSO-d6, 125 MHz) δ: 147.8, 146.8, 137.4, 133.0, 131.7, 127.3, 127.0, 126.0, 121.4, 120.4, 108.3, 105.2, 101.0, 29.6, 4.9.
(E)-N-(4-(2-(benzo[d][1,3]dioxol-5-yl)vinyl)phenyl)benzenesulfonamide (8l). Compound 8l was prepared according to general procedure 4(a) from benzenesulfonyl chloride (0.46 mL, 3.6 mmol) and 7 (R1 R2 = OCH2O, R3 = H) (0.29 g, 1.2 mmol) for 1 h. Purification through column chromatography (dichloromethane = 100%) on silica gel afforded pure 8l (0.20 g, 43.3%) as a product. HRMS (ESI) (M+H)+ m/z 380.0950, calcd for C21H18NO4S 380.0951. 1H NMR (DMSO-d6, 500 MHz) δ: 10.30 (s, 1H), 7.77 (d, J = 7.0 Hz, 2H), 7.52–7.76 (m, 3H), 7.40 (d, J = 8.5 Hz, 2H), 7.20 (s, 1H), 7.08 (d, J = 8.5 Hz, 2H), 7.02 (d, J = 16.0 Hz, 1H), 6.97 (d, J = 16.0 Hz, 1H), 6.96 (d, J = 8.0 Hz, 1H), 6.88 (d, J = 8.0 Hz, 1H), 6.01 (s, 2H). 13C NMR (Acetone-d6, 125 MHz) δ: 149.2, 148.2, 140.9, 137.7, 135.1, 133.6, 132.9, 129.9, 128.7, 127.9, 126.8, 122.3, 122.0, 109.1, 106.1, 102.1.
(E)-N-(4-(3,5-dimethoxystyryl)phenyl)isobutyramide (9b). Compound 9b was prepared according to general procedure 4(b) from isobutyric anhydride (0.38 mL, 2.3 mmol) and 7 (R1, R3 = OCH3, R2 =H) (0.20 g, 0.8 mmol) for 1.5 h. Purification through column chromatography (dichloromethane/methanol = 10:0.1) on silica gel afforded pure 9b (0.10 g, 41.4%) as a product. HRMS (ESI) (M+H)+ m/z 326.1746, calcd for C20H24NO3 326.1751. 1H NMR (DMSO-d6, 500 MHz) δ: 9.90 (s, 1H), 7.65 (d, J = 8.5 Hz, 2H), 7.52 (d, J = 8.5 Hz, 2H), 7.21 (d, J = 16.5 Hz, 1H), 7.07 (d, J = 16.5 Hz, 1H), 6.76 (d, J = 2.0 Hz, 2H), 6.41 (t, J = 2.0 Hz, 1H), 3.78 (s, 6H), 2.58–2.64 (m, 1H), 1.12 (s, 3H), 1.11 (s, 3H). 13C NMR (DMSO-d6, 125 MHz) δ: 175.2, 160.6, 139.3, 139.0, 131.6, 128.6, 126.9, 126.9, 119.2, 104.2, 99.6, 55.1, 35.0, 19.5.
(E)-4-(3,5-dimethoxystyryl)-2-fluoroaniline (11). Compound 11 (1.89 g, 49.2%) was prepared according to general procedure 2 from 4 (1.60 g, 9.7 mmol) and 10 (2.00 g, 8.4 mmol).
(E)-N-(4-(3,5-dimethoxystyryl)-2-fluorophenyl)benzamide (12f). Compound 12f was prepared according to general procedure 4(b) from benzoic anhydride (0.68 g, 3.0 mmol) and 11 (0.28 g, 1.0 mmol) for 1 h. Purification through column chromatography (dichloromethane = 100%) on silica gel afforded pure 12f (0.15 g, 40.4%) as a product. HRMS (ESI) (M+H)+ m/z 378.1503, calcd for C23H21FNO3 378.1500. 1H NMR (DMSO-d6, 500 MHz) δ: 10.17 (s, 1H), 8.03 (d, J = 7.5 Hz, 2H), 7.69 (t, J = 8.0 Hz, 1H), 7.53–7.63 (m, 4H), 7.48 (dd, J = 8.0 Hz, 1.5 Hz, 1H), 7.31 (d, J = 16.5 Hz, 1H), 7.26 (d, J = 16.5 Hz, 1H), 6.82 (d, J = 2.0 Hz, 2H), 6.47 (t, J = 2.0 Hz, 1H), 3.80 (s, 6H). 13C NMR (DMSO-d6, 125 MHz) δ: 165.4, 160.7, 156.7, 154.8, 138.8, 136.1, 134.0, 131.8, 129.4, 128.4, 127.8, 127.4, 126.8, 125.1, 122.6,113.1, 104.6, 100.1, 55.2.
General procedure 5: synthesis of compounds 15 and 20. To a solution of LiOH•H2O (12.08 g, 288.0 mmol, 16 eq) in MeOH (15 mL) was added substituted acetophenone (18.0 mmol, 1 eq). The mixture was stirred at 25 °C for 1 h, then substituted benzaldehyde (18.0 mmol, 1 eq) was added. The mixture was stirred for another 3 h and then concentrated under reduced pressure. To the residue was added distilled water (30 mL), and the aqueous solution was acidified with hydrochloric acid (10%) to pH 3–4. The resulting precipitate was collected through filtration and washed with cold MeOH to afford pure products.
(E)-1-(benzo[d][1,3]dioxol-5-yl)-3-(4-nitrophenyl)prop-2-en-1-one (15). Compound 15 (5.25 g, 97.9%) was prepared according to general procedure 5 from 13 (2.95 g, 18.0 mmol) and 14 (2.72 g, 18.0 mmol).
General procedure 6: synthesis of compounds 16 and 21. To a solution of anhydrous nickel chloride (2.63 g, 20.0 mmol) and chalcone (10.0 mmol) in EtOH (75 mL) was added NaBH4 (2.3 g, 60.0 mmol). The mixture was stirred at 25 °C for 5 min under argon. When the reaction was completed, the mixture was filtered, poured into distilled water (20 mL), then extracted with CH2Cl2. The organic layer was washed with saturated NaCl solution and concentrated in vacuo to afford the products.
3-(4-aminophenyl)-1-(benzo[d][1,3]dioxol-5-yl)propan-1-ol (16). Compound 16 was prepared according to general procedure 6 from 15 (2.97 g, 10.0 mmol).
General procedure 7: synthesis of compounds 17 and 22. A well-stirred mixture of p-toluenesulfonic acid (0.35 g) and 16 or 21 in toluene (50 mL) was heated to reflux for 3 h, then cooled to 25 °C. The mixture was poured into a saturated NaHCO3 solution to stir for 0.5 h and then concentrated in vacuo. The residue was purified through column chromatography on silica gel to afford 17 or 22.
(E)-4-(3-(benzo[d][1,3]dioxol-5-yl)allyl)aniline (17). Compound 17 was prepared according to general procedure 7 from 16. Purification through column chromatography (dichloromethane = 100%) on silica gel afforded pure 17 (0.26 g, 14.3%) as a product.
(E)-N-(4-(3-(benzo[d][1,3]dioxol-5-yl)allyl)phenyl)isobutyramide (18b). Compound 18b was prepared according to general procedure 4(b) from isobutyric anhydride (0.33 mL, 2.0 mmol) and 17 (0.17 g, 0.7 mmol). Purification through column chromatography (dichloromethane/methanol = 10:0.1) on silica gel afforded pure 18b (0.12 g, 57.8%) as a product. HRMS (ESI) (M+H)+ m/z 324.1586, calcd for C20H22NO3 324.1594. 1H NMR (DMSO-d6, 500 MHz) δ: 9.75 (s, 1H), 7.54 (d, J = 8.5 Hz, 2H), 7.14 (d, J = 8.5 Hz, 2H), 7.06 (s, 1H), 6.80–6.84 (m, 2H), 6.35 (d, J = 16.0 Hz, 1H), 6.26 (dt, J = 16.0 Hz, 7.0 Hz, 1H), 5.98 (s, 2H), 3.41 (d, J = 7.0 Hz, 2H), 2.54–2.60 (m, 1H), 1.10 (s, 3H), 1.08 (s, 3H). 13C NMR (DMSO-d6, 125 MHz) δ: 175.0, 147.7, 146.4, 137.5, 134.6, 131.6, 130.0, 128.5, 127.7, 120.5, 119.3, 108.2, 105.2, 100.8, 37.9, 34.8, 19.5.
Substituted (E)-1-(4-nitrophenyl)-3-phenylprop-2-en-1-one (20). Compound 20 (99.2%) was prepared according to general procedure 5 from 19 (3.00 g, 18.0 mmol) and 1 (2.70 g, 18.0 mmol) or 2 (2.99 g, 18.0 mmol).
Substituted 1-(4-aminophenyl)-3-phenylpropan-1-ol (21). Compound 21 was prepared according to general procedure 6 from 20.
Substituted (E)-4-(3-phenylprop-1-en-1-yl)aniline (22). Compound 22 was prepared according to general procedure 7 from 21. Purification through column chromatography (dichloromethane = 100%) on silica gel afforded pure 22 as a product.
(E)-N-(4-(3-(benzo[d][1,3]dioxol-5-yl)prop-1-en-1-yl)phenyl)isobutyramide (23b). Compound 23b was prepared according to general procedure 4(b) from isobutyric anhydride (0.33 mL, 2.0 mmol) and 22 (R1 R2 = OCH2O, R3 = H) (0.17 g, 0.7 mmol) for 0.5 h. Purification through column chromatography (dichloromethane = 100%) on silica gel afforded pure 23b (0.10 g, 47.5%) as a product. HRMS (ESI) (M+H)+ m/z 324.1586, calcd for C20H22NO3 324.1594. 1H NMR (DMSO-d6, 500 MHz) δ: 9.81 (s, 1H), 7.56 (d, J = 8.0 Hz, 2H), 7.31 (d, J = 8.0 Hz, 2H), 6.80–6.83 (m, 2H), 6.69 (d, J = 8.0 Hz, 1H), 6.37 (d, J = 15.5 Hz, 1H), 6.27 (dt, J = 15.5 Hz, 6.5 Hz, 1H), 5.96 (s, 2H), 3.40 (d, J = 6.5 Hz, 2H), 2.55–2.60 (m, 1H), 1.10 (s, 3H), 1.08 (s, 3H). 13C NMR (DMSO-d6, 125 MHz) δ: 175.0, 147.3, 145.4, 138.4, 134.0, 131.8, 129.8, 128.0, 126.2, 121.2, 119.1, 108.9, 108.1, 100.6, 38.2, 34.9, 19.5.
(E)-N-(4-(3-(benzo[d][1,3]dioxol-5-yl)prop-1-en-1-yl)phenyl)methanesulfonamide (23i). Compound 23i was prepared according to general procedure 4(a) from methanesulfonyl chloride (0.23 mL, 2.9 mmol) and 22 (R1 R2 = OCH2O, R3 = H) (0.25 g, 1.0 mmol) for 0.5 h. Purification through column chromatography (dichloromethane/methanol = 10:0.1) on silica gel afforded pure 23i (0.11 g, 32.7%) as a product. HRMS (ESI) (M+NH4)+ m/z 349.1210, calcd for C17H21N2O4S 349.1217. 1H NMR (DMSO-d6, 500 MHz) δ: 9.72 (s, 1H), 7.37 (d, J = 8.5 Hz, 2H), 7.15 (d, J = 8.5 Hz, 2H), 6.81–6.84 (m, 2H), 6.71 (dd, J = 7.5 Hz, 0.5 Hz, 1H), 6.40 (d, J = 16.0 Hz, 1H), 6.31 (dt, J = 16.0 Hz, 7.0 Hz, 1H), 5.97 (s, 2H), 3.42 (d, J = 7.0 Hz, 2H), 2.96 (s, 3H). 13C NMR (DMSO-d6, 125 MHz) δ: 147.3, 145.5, 137.2, 133.9, 132.9, 129.6, 128.8, 126.9, 121.2, 119.9, 108.9, 108.2, 100.7, 39.1, 38.2.
(E)-N-(4-(3-(3,5-dimethoxyphenyl)prop-1-en-1-yl)phenyl)isobutyramide (24b). Compound 24b was prepared according to general procedure 4(b) from isobutyric anhydride (0.76 mL, 4.7 mmol) and 22 (R1, R3 = OCH3, R2 = H) (0.42 g, 1.6 mmol) for 1.5 h. Purification through column chromatography (dichloromethane = 100%) on silica gel afforded pure 24b (0.29 g, 54.8%) as a product. HRMS (ESI) (M+H)+ m/z 340.1926, calcd for C21H26NO3 340.1907. 1H NMR (DMSO-d6, 500 MHz) δ: 9.83 (s, 1H), 7.59 (d, J = 8.5 Hz, 2H), 7.33 (d, J = 8.5 Hz, 2H), 6.42 (d, J = 2.0 Hz, 2H), 6.38 (s, 1H), 6.35 (t, J = 2.0 Hz, 1H), 6.30 (dt, J = 16.0 Hz, 6.5 Hz, 1H), 3.72 (s, 6H), 3.41–3.44 (m, 2H), 2.56–2.64 (m, 1H), 1.11 (s, 3H), 1.10 (s, 3H). 13C NMR (DMSO-d6, 125 MHz) δ: 175.2, 160.6, 142.6, 138.5, 131.9, 130.2, 127.5, 126.3, 119.2, 106.5, 97.9, 55.0, 38.9, 35.0, 19.5.
General procedure 8: synthesis of compounds 27 and 30. To a mixture of substituted phenylacetonitrile (5.5 mmol, 1.1 eq) and 1 (0.75 g, 5.0 mmol) or 14 (0.76 g, 5.0 mmol) in anhydrous methanol (23 mL), sodium methoxide (4 mL, 5 mmol/L) was added dropwise. Under argon protection, the mixture was stirred at reflux temperature for 3 h and then cooled to 25 °C. The mixture was poured into cold distilled water. The resulting precipitate was collected through filtration and washed with cold distilled methanol to afford 27 or 30.
(Z)-3-(benzo[d][1,3]dioxol-5-yl)-2-(4-nitrophenyl)acrylonitrile (27). Compound 27 (0.40 g, 27.2%) was prepared according to general procedure 8 from 1 (0.75 g, 5.0 mmol) and 25 (0.89 g, 5.5 mmol).
(Z)-2-(4-aminophenyl)-3-(benzo[d][1,3]dioxol-5-yl)acrylonitrile (28). Compound 28 (0.13 g, 37.6%) was prepared according to general procedure 3 from 27 (0.40 g, 1.35 mmol).
(Z)-N-(4-(2-(benzo[d][1,3]dioxol-5-yl)-1-cyanovinyl)phenyl)acetamide (29a). Compound 29a was prepared according to general procedure 4(b) from acetic anhydride (0.54 mL, 5.7 mmol) and 28 (0.50 g, 1.9 mmol) for 1.5 h. Purification through column chromatography (dichloromethane/methanol = 10:0.1) on silica gel afforded pure 29a (0.36 g, 61.9%) as a product. HRMS (ESI) (M+H)+ m/z 307.1070, calcd for C18H15N2O3 307.1077. 1H NMR (DMSO-d6, 400 MHz) δ: 10.15 (s, 1H), 7.83 (s, 1H), 7.73–7.67 (m, 2H), 7.67–7.62 (m, 2H), 7.57 (d, J = 1.8 Hz, 1H), 7.43 (dd, J = 1.8, 8.5 Hz, 1H), 7.09 (d, J = 8.2 Hz, 1H), 6.14 (s, 2H), 2.07 (s, 3H). 13C NMR (DMSO-d6, 101 MHz) δ: 169.02, 149.63, 148.25, 141.23, 140.47, 128.87, 128.50, 126.52, 126.01, 119.64, 118.76, 109.26, 107.97, 107.84, 102.34, 24.54.
(Z)-N-(4-(2-(benzo[d][1,3]dioxol-5-yl)-1-cyanovinyl)phenyl)isobutyramide (29b). Compound 29b was prepared according to general procedure 4(b) from isobutyric anhydride (0.64 mL, 3.9 mmol) and 28 (0.34 g, 1.3 mmol) for 1 h. Purification through column chromatography (dichloromethane = 100%) on silica gel afforded pure 29b (0.12 g, 28.8%) as a product. HRMS (ESI) (M+H)+ m/z 335.1397, calcd for C20H19N2O3 335.1390. 1H NMR (DMSO-d6, 500 MHz) δ: 10.02 (s, 1H), 7.82 (s, 1H), 7.73 (d, J = 8.5 Hz, 2H), 7.64 (d, J = 8.5 Hz, 2H), 7.56 (s, 1H), 7.42 (d, J = 8.0 Hz, 1H), 7.06 (d, J = 8.0 Hz, 1H), 6.12 (s, 2H), 2.58–2.64 (m, 1H), 1.12 (s, 3H), 1.10 (s, 3H). 13C NMR (DMSO-d6, 125 MHz) δ: 175.5, 149.1, 147.8, 140.6, 140.1, 128.3, 128.0, 125.9, 125.5, 119.3, 118.3, 108.7, 107.4, 107.3, 101.8, 35.0, 19.4.
(Z)-2-(benzo[d][1,3]dioxol-5-yl)-3-(4-nitrophenyl)acrylonitrile (30). Compound 30 (0.52 g, 17.8%) was prepared according to general procedure 8 from 14 (1.662 g, 11 mmol) and 26 (1.612 g, 10 mmol).
(Z)-3-(4-aminophenyl)-2-(benzo[d][1,3]dioxol-5-yl)acrylonitrile (31). To a suspension of iron powder (0.40 g, 7.1 mmol) and ammonium chloride (0.24 g, 4.4 mmol) in water (20 mL), 30 in methanol (20 mL) was added dropwise. The mixture was stirred at 80 °C for 2 h. After the reaction was completed, the mixture was extracted with ethyl acetate (50 mL) and alkalified with NaOH (2M) to adjust the pH to 9–10. The organic layer was washed sequentially with saturated NH4Cl, saturated NaHCO3, water, and saturated NaCl solution. Recrystallization from ethyl acetate and petroleum ether afforded compound 31 (0.39 g, 82.2%).
(Z)-N-(4-(2-(benzo[d][1,3]dioxol-5-yl)-2-cyanovinyl)phenyl)acetamide (32a). Compound 32a was prepared according to general procedure 4(b) from acetic anhydride (0.30 mL, 3.1 mmol) and 31 (0.28 g, 1.0 mmol) for 1.5 h. Recrystallization from dichloromethane and petroleum ether afforded pure 32a (0.10 g, 31.7%) as a product. HRMS (ESI) (M+H)+ m/z 307.1079, calcd for C18H15N2O3 307.1077. 1H NMR (DMSO-d6, 400 MHz) δ: 10.23 (s, 1H), 7.86 (d, J = 8.6 Hz, 2H), 7.83 (s, 1H), 7.72 (d, J = 8.5 Hz, 2H), 7.39 (d, J = 2.0 Hz, 1H), 7.19 (dd, J = 2.0, 8.1 Hz, 1H), 7.03 (d, J = 8.2 Hz, 1H), 6.11 (s, 2H), 2.09 (s, 3H). 13C NMR (DMSO-d6, 101 MHz) δ: 169.22, 148.77, 148.51, 141.66, 141.22, 130.42, 128.82, 128.77, 120.78, 119.24, 118.80, 109.07, 108.07, 105.71, 102.19, 24.60.
(Z)-N-(4-(2-(benzo[d][1,3]dioxol-5-yl)-2-cyanovinyl)phenyl)isobutyramide (32b). Compound 32b was prepared according to general procedure 4(b) from isobutyric anhydride (1.74 mL, 10.7 mmol) and 31 (0.95 g, 3.6 mmol) for 1 h. Purification through column chromatography (dichloromethane = 100%) on silica gel afforded pure 32b (0.325 g, 27.2%) as a product. HRMS (ESI) (M+H)+ m/z 335.1390, calcd for C20H19N2O3 335.1390. 1H NMR (DMSO-d6, 400 MHz) δ: 10.14 (s, 1H), 7.99–7.81 (m, 3H), 7.76 (d, J = 8.8 Hz, 2H), 7.39 (d, J = 2.0 Hz, 1H), 7.19 (dd, J = 2.0, 8.2 Hz, 1H), 7.03 (d, J = 8.2 Hz, 1H), 6.11 (s, 2H), 2.70–2.56 (m, 1H), 1.12 (d, J = 6.8 Hz, 6H). 13C NMR (DMSO-d6, 101 MHz) δ: 176.12, 148.76, 148.50, 141.82, 141.24, 130.38, 128.78, 120.77, 119.39, 118.81, 109.07, 108.05, 105.70, 102.19, 35.51, 19.90.
N-(4-(((benzo[d][1,3]dioxol-5-ylmethyl)amino)methyl)phenyl)acetamide (35). A mixture of 33 (0.20 g, 1.2 mmol), 34 (0.18 mL, 1.4 mmol), NaBH4 (0.06 g, 1.6 mmol), and molecular sieve 4A (5.00 g) in anhydrous CHCl3 (20 mL) was stirred at 25 °C for 10 h. The mixture was quenched with distilled water (20 mL), then extracted with ethyl acetate. The organic layer was washed with saturated NaCl solution, then concentrated in vacuo. The residue was purified through column chromatography on silica gel (dichloromethane/methanol/ammonia = 10:0.3:0.03) to afford 35 (0.21 g, 58.7%) as a product.
N-(4-(((benzo[d][1,3]dioxol-5-ylmethyl)(methyl)amino)methyl)phenyl)acetamide (36a). Aqueous formaldehyde solution (0.14 mL, 37%) and formic acid (0.13 mL, 98%) were added dropwise to a solution of 35 (0.21 g, 0.7 mmol) in anhydrous CHCl3 (30 mL). The mixture was stirred at reflux temperature for 3 h. The mixture was quenched by distilled water (20 mL), acidified through the addition of HCl (30%) to pH 5, then extracted with CHCl3 (20 mL). The organic layer was alkalified with NaOH solution to adjust the pH to 9, then concentrated in vacuo. The residue was purified through column chromatography on silica gel (dichloromethane/methanol/ammonia = 10:0.5:0.03) to afford 36a (0.17 g, 44.3%) as a product. HRMS (ESI) (M+H)+ m/z 313.1542, calcd for C18H21N2O3 313.1547. 1H NMR (CDCl3, 500 MHz) δ: 8.35 (s, 1H), 7.47 (d, J = 8.0 Hz, 2H), 7.24 (d, J = 8.0 Hz, 2H), 6.86 (d, J = 1.0 Hz, 1H), 6.71–6.75 (m, 2H), 5.89 (s, 2H), 3.42 (s, 2H), 3.38 (s, 2H), 2.11 (s, 6H). 13C NMR (CDCl3, 125 MHz) δ: 168.9, 147.4, 146.3, 136.8, 134.9, 133.0, 129.2, 121.7, 119.9, 109.1, 107.6, 100.6, 61.2, 60.9, 41.8, 24.1.
General procedure 9: synthesis of compounds 38 and 41. To a solution of 3 (0.74 g, 5.0 mmol), P(o-MePh)3 (0.61 g, 2.0 mmol), triethylamine (0.21 mL, 1.5 mmol), and palladium acetate (0.22 g, 1.0 mmol) in CH3CN (20 mL) was added the derivative of the aromatic halogen (1 eq). Under argon protection, the mixture was stirred at 60 °C for 1 h, then warmed to 90 °C for 24 h. After the reaction was completed, the mixture was extracted with CH2Cl2 (50 mL), then washed with water and saturated NaCl solution. The organic layer was concentrated in vacuo. Recrystallization from ethyl acetate and petroleum ether afforded 38 or 41.
(E)-4-(2-(benzo[d][1,3]dioxol-5-yl)vinyl)benzoic acid (38). 37 (1.24 g, 5 mmol) was used to yield the compound 38 (1.15 g, 86.0%) according to the general procedure 9.
(E)-4-(2-(benzo[d][1,3]dioxol-5-yl)vinyl)-N-isopropylbenzamide (39b). To a solution of compound 38 in CH2Cl2 (40 mL), triethylamine (1.10 mL, 8.0 mmol) and pivaloyl chloride (0.98 mL, 8.0 mmol) were added dropwise. The mixture was stirred at 0 °C for 0.5 h, and isopropylamine (2.00 mL, 24 mmol) and DMAP (0.98 g, 8 mmol) were added. After the reaction was completed, the mixture was washed with saturated NH4Cl, saturated NaHCO3, distilled water, and saturated NaCl solution, then concentrated in vacuo. Recrystallization from ethyl acetate provided the compound 39b (1.46 g, 59.1%). HRMS (ESI) (M+H)+ m/z 310.1442, calcd for C19H20NO3 310.1438. 1H NMR (DMSO-d6, 500 MHz) δ: 8.19 (d, J = 7.8 Hz, 1H), 7.98–7.78 (m, 2H), 7.62 (d, J = 8.4 Hz, 2H), 7.38–7.23 (m, 2H), 7.16 (d, J = 16.3 Hz, 1H), 7.07 (dd, J = 1.7, 8.1 Hz, 1H), 6.94 (d, J = 8.0 Hz, 1H), 6.05 (s, 2H), 4.16–4.06 (m, 1H), 1.18 (d, J = 6.6 Hz, 6H). 13C NMR (DMSO-d6, 126 MHz) δ: 165.39, 148.39, 147.74, 140.29, 133.68, 131.82, 130.29, 128.14, 126.30, 126.27, 122.55, 108.92, 105.88, 101.64, 41.41, 22.84.
(E)-(4-(2-(benzo[d][1,3]dioxol-5-yl)vinyl)phenyl)methanamine (41). Compound 40 (0.93 g, 5.0 mmol) was used to obtain 41 (0.99 g, 78.1%) according to general procedure 9.
(E)-N-(4-(2-(benzo[d][1,3]dioxol-5-yl)vinyl)benzyl)isobutyramide (42b). Compound 42 was prepared according to general procedure 4(b) from isobutyric anhydride (0.24 mL, 1.5 mmol) and 41 (0.13 g, 0.5 mmol). Recrystallization from dichloromethane and petroleum ether afforded 42b (0.14 g, 86.6%). HRMS (ESI) (M+H)+ m/z 324.1609, calcd for C20H22NO3 324.1594. 1H NMR (DMSO-d6, 400 MHz) δ: 8.28 (t, J = 6.0 Hz, 1H), 7.51 (d, J = 7.8 Hz, 2H), 7.32–7.21 (m, 3H), 7.12 (d, J = 9.5 Hz, 2H), 7.03 (dd, J = 1.7, 8.1 Hz, 1H), 6.90 (dd, J = 1.3, 8.0 Hz, 1H), 6.04 (s, 2H), 4.28 (d, J = 6.0 Hz, 2H), 2.48–2.40 (m, 1H), 1.07 (d, J = 6.9 Hz, 6H). 13C NMR (DMSO-d6, 101 MHz) δ: 176.60, 148.36, 147.40, 139.45, 136.25, 132.11, 128.26, 127.89, 126.86, 126.64, 122.04, 108.84, 105.76, 101.55, 42.16, 34.54, 20.07.

3.2. Animal Experiments

Eight-week-old (or 10-week-old) SD male rats purchased from Peking University Health Science Center were acclimatized for one week at the Beijing Institute of Technology. All experimental protocols strictly adhered to the regulations governing the management of experimental animals and the animal ethics policy of the Beijing Institute of Technology.
The compounds were dissolved in reagent-grade soybean oil containing 10% ethanol to reach a drug concentration of 2.8 mg/mL. The rats in the experimental group received intraperitoneal injections of the compounds at a dose of 4.0 mg/kg/d for 28 consecutive days. As a control, the vehicle group was administered injections of reagent-grade soybean oil containing 10% ethanol. BrdU (Sigma-Aldrich, St. louis, MA, USA) solution, prepared in physiological saline at a concentration of 10 mg/mL, was administered to all rats on day 29. Each rat received two injections of BrdU at a dosage of 50 mg/kg, with a 2 h interval between injections. The rats were euthanized 24 h (or 28 days) after the final BrdU injection.
Two or four rats per group were anesthetized using pentobarbital sodium (70 mg/kg) and subsequently perfused with physiological saline. The brain tissue was carefully dissected and fixed in 4% paraformaldehyde at 4 °C for one week. Next, the brain tissue underwent dehydration using a phosphate-buffered saline (PBS) solution containing 20% to 30% sucrose. Finally, the brain tissue was cryosectioned into slices with a thickness of 30 μm, and eight slices were randomly selected for further analysis.
The assessment of new cell proliferation was conducted using BrdU staining. To eliminate endogenous peroxides, sections were exposed to 1% H2O2 for 30 min at RT. Cellular denaturation was achieved by treating the sections with 2 M HCl at 37 °C for 1 h, followed by rinsing in 0.1 M borate buffer (pH 8.5). Tissue sections were subjected to blocking in a solution consisting of 5% goat serum and 0.5% Triton X-100 in PBS at RT for 1–2 h. The specimens were then incubated overnight at 4 °C with a mouse primary antibody specific to BrdU (diluted at 1:500; Millipore, Billerica, MA, USA). Subsequently, the DAB kit was employed for 2 h of incubation at RT.
The differentiation process of NPCs was visualized through the utilization of the NeuN/BrdU double staining technique. Tissue sections were subjected to an incubation period in a blocking buffer at RT for 1 to 2 h. The specimens were exposed to a rabbit anti-NeuN antibody (diluted at 1:500, Abcam, Cambridge, MA, UK) and a primary antibody, BrdU (diluted at 1:500), overnight at 4 °C. Afterwards, the sections were treated with anti-mouse 488 and anti-rabbit TRITC secondary antibodies for 2 h at RT.
The data were presented as mean ± SEM (standard error of the mean) and visualized using GRAPHPAD PRISM 6 (Graphpad Software, La Jolla, CA, USA). Statistical analysis was conducted utilizing one-way analysis of variance (ANOVA) followed by a post hoc test. Subsequent to the statistical treatment, the observed discrepancies were determined to be statistically significant (p < 0.05).

3.3. Pharmacokinetic Study

The SD rats (approximately 200 g) were randomly assigned to eight groups, with each group comprising three rats. All experimental procedures were carried out in accordance with the ethical guidelines outlined by the Ethics Committee of the Beijing Institute of Technology. The administration medium consisted of a combination of 5% dimethyl sulfoxide (DMSO) and 95% soybean oil. The drug was administered intraperitoneally at a dose of 4 mg/kg. Prior to the experiment, the experimental animals were subjected to a 12 h fasting period with free access to water. Following drug administration, blood samples were collected from the rat’s orbital vein at predetermined time points. The collected blood was then placed in sodium heparin anticoagulation tubes. The rats were euthanized, and their brain tissues were carefully extracted and loaded into 5 mL EP tubes. The collection time points for plasma and brain tissue samples were as follows: 0 min, 15 min, 30 min, 1 h, 2 h, 4 h, 8 h, and 24 h. Within 2 h after collection, the blood samples were centrifuged at 6000 rpm for 10 min at a temperature of 4 °C. The resulting samples were then stored in a −20 °C refrigerator.
Tissue samples were first weighed and homogenized to ensure consistent testing conditions. The determination of original compound concentrations in plasma and tissue homogenates was performed using LC-MS/MS. Specifically, 50 μL of plasma or tissue samples were mixed with 50 μL of propranolol and 100 μL of acetonitrile for protein precipitation. The resulting mixture was then centrifuged at 12,000 rpm for 5 min, and the supernatant was diluted and analyzed through LC-MS/MS. The liquid chromatography was conducted on a Thermo Scientific Q Exactive HF-X instrument (Thermo Fisher Scientific, Waltham, MA, USA), employing an ACQUITY UPLC BEH C18 Column with dimensions of 130 Å, 1.7 µm, 2.1 mm × 100 mm. Additionally, a pre-column equipped with an ACQUITY UPLC BEH C18 VanGuard Pre-Column (130 Å, 1.7 µm, 2.1 mm × 5 mm) was utilized. The liquid phase method employed gradient elution with mobile phases consisting of acetonitrile and a 0.1% formic acid aqueous solution. Mass spectrometry was conducted in positive ion mode. The quantification of drug concentration in plasma samples was performed using the internal standard method, and the obtained pharmacokinetic parameters were calculated using Phoenix WinNonlin 7.0 software.

3.4. CCK-8 Assay for Cytotoxicity

hCMEC/D3 cells were obtained from the Cell Resource Center, Peking Union Medical College (PCRC). All cells were acquired in 2023 and were maintained in culture for no more than 10 continuous passages. The cells were cultured in DMEM (11995065, Gibco, Grand Island, NY, USA) supplemented with 10% FBS (164210-50, Procell, Austin, TX, USA), 100 units of penicillin, and 100 mg/mL of streptomycin (PB180120, Procell).
hCMEC/D3 cells (5 × 103) were seeded into 96-well plates in 90 μL of DMEM medium containing 10% fetal bovine serum per well. All test compounds were formulated as 10 mM stock solutions in DMSO (final concentration ≤ 0.5%). After overnight incubation, the test compound stock solution was diluted with DMEM medium containing 10% fetal bovine serum to every target concentration, and 10 μL of each was added to each well. Three parallel experiments were set up for each compound. After incubation for 48 h, 10 μL of CCK-8 reagent was added to each well in sequence according to the manufacturer’s instructions. After incubating in a 37 °C incubator for 1–2 h, the absorbance was measured at a wavelength of 450 nm, using a wavelength of 620 nm as a reference, and detected with a ThermoScientific Multiskan FC (Thermo Fisher Scientific). The graphs are representative results, and this experiment was independently repeated three times with similar results.

4. Conclusions

We developed a novel scaffold, diphenyl acrylonitrile, for promoting neurogenesis. Diphenyl acrylonitriles 29b, 32a, and 32b showed significant neurogenesis-promoting activity. However, 29a, the regioisomer of 32a, did not show activity. The SARs studied indicated that the position of the cyano group attached to the olefin and the substituents installed onto the phenyl ring have significant impacts on the potency of promoting proliferation and differentiation. Excitingly, 32b readily penetrated the BBB and exhibited better potency than NSI-189 in elevating the neurogenesis level in rats’ hippocampi. The exposure of 32b in brain tissue in terms of the AUC (i.e. the brain to plasma ratio, B/P) was 1.59 times higher than that in plasma (383 h*ng/mL in plasma and 608 h*ng/g in brain tissue). Additionally, the SARs also indicated that employing BrdU is considerably limited for predicting outcomes of neurogenesis, as many compounds that could promote proliferation in this work showed an inability to promote differentiation of newborn cells into mature neurons.
Although the molecular target of 32b is still unclear, this study showed which sections of the stilbene could tolerate structural modification, which is valuable for future designs for pulling down potential molecular targets.

Supplementary Materials

The following supporting information can be downloaded at: https://www.mdpi.com/article/10.3390/ijms25021241/s1.

Author Contributions

Conceptualization, S.-S.L., C.-X.M. and J.-H.L.; methodology, S.-S.L. and C.-X.M.; software, S.-S.L., C.-X.M.; validation, Z.-Y.Q.; formal analysis, Z.-Y.Q.; investigation, Z.-Y.Q.; resources, J.D.; data curation, Z.-Y.Q., L.Y., S.-M.L. and H.-A.Z.; writing—original draft preparation, S.-S.L., C.-X.M. and J.-H.L.; writing—review and editing, S.-S.L., C.-X.M. and J.-H.L.; visualization, S.-S.L.; supervision, H.Q. and J.-H.L.; project administration, H.Q. and J.-H.L.; funding acquisition, H.Q. and J.-H.L. All authors have read and agreed to the published version of the manuscript.

Funding

This work is financially supported by STI2030-Major Projects (2022ZD0211700), the National Natural Science Foundation of China (21878022), and the National Key Research and Development Program of China (2018YFA0901800). The authors also appreciate the spectral data supporting from the Analysis & Testing Center, Beijing Institute of Technology.

Institutional Review Board Statement

All experimental protocols strictly adhered to the regulations governing the management of experimental animals and the animal ethics policy of Beijing Institute of Technology (BIT-EC-SCXK(Jing)2019-0010-M-2021110).

Informed Consent Statement

Not applicable.

Data Availability Statement

Data is contained within the article and Supplementary Material.

Conflicts of Interest

The authors declare no conflict of interest.

References

  1. Boldrini, M.; Fulmore, C.A.; Tartt, A.N.; Simeon, L.R.; Pavlova, I.; Poposka, V.; Rosoklija, G.B.; Stankov, A.; Arango, V.; Dwork, A.J.; et al. Human Hippocampal Neurogenesis Persists throughout Aging. Cell Stem Cell 2018, 22, 589–599. [Google Scholar] [CrossRef] [PubMed]
  2. Tobin, M.K.; Musaraca, K.; Disouky, A.; Shetti, A.; Bheri, A.; Honer, W.G.; Kim, N.; Dawe, R.J.; Bennett, D.A.; Arfanakis, K.; et al. Human Hippocampal Neurogenesis Persists in Aged Adults and Alzheimer’s Disease Patients. Cell Stem Cell 2019, 24, 974–982. [Google Scholar] [CrossRef] [PubMed]
  3. Moreno-Jimenez, E.P.; Flor-Garcia, M.; Terreros-Roncal, J.; Rabano, A.; Cafini, F.; Pallas-Bazarra, N.; Avila, J.; Llorens-Martin, M. Adult hippocampal neurogenesis is abundant in neurologically healthy subjects and drops sharply in patients with Alzheimer’s disease. Nat. Med. 2019, 25, 554–564. [Google Scholar] [CrossRef] [PubMed]
  4. Xie, W.S.; Shehzadi, K.; Ma, H.L.; Liang, J.H. A Potential Strategy for Treatment of Neurodegenerative Disorders by Regulation of Adult Hippocampal Neurogenesis in Human Brain. Curr. Med. Chem. 2022, 29, 5315–5347. [Google Scholar] [CrossRef] [PubMed]
  5. Liu, X.; Chan, C.-B.; Jang, S.-W.; Pradoldej, S.; Huang, J.; He, K.; Phun, L.H.; France, S.; Xiao, G.; Jia, Y.; et al. A Synthetic 7,8-Dihydroxyflavone Derivative Promotes Neurogenesis and Exhibits Potent Antidepressant Effect. J. Med. Chem. 2010, 53, 8274–8286. [Google Scholar] [CrossRef] [PubMed]
  6. Revenga, M.D.; Fernandez-Saez, N.; Herrera-Arozamena, C.; Morales-Garcia, J.A.; Alonso-Gil, S.; Perez-Castillo, A.; Caignard, D.H.; Rivara, S.; Rodriguez-Franco, M.I. Novel N-Acetyl Bioisosteres of Melatonin: Melatonergic Receptor Pharmacology, Physicochemical Studies, and Phenotypic Assessment of Their Neurogenic Potential. J. Med. Chem. 2015, 58, 4998–5014. [Google Scholar] [CrossRef] [PubMed]
  7. Bettio, L.E.B.; Patten, A.R.; Gil-Mohapel, J.; O’Rourke, N.F.; Hanley, R.P.; Kennedy, S.; Gopalakrishnan, K.; Rodrigues, A.L.S.; Wulff, J.; Christie, B.R. Isx-9 Can Potentiate Cell Proliferation and Neuronal Commitment in the Rat Dentate Gyrus. Neuroscience 2016, 332, 212–222. [Google Scholar] [CrossRef]
  8. Lu, H.; Cheng, G.; Hong, F.; Zhang, L.; Hu, Y.H.; Feng, L.Y. A Novel 2-Phenylamino-Quinazoline-Based Compound Expands the Neural Stem Cell Pool and Promotes the Hippocampal Neurogenesis and the Cognitive Ability of Adult Mice. Stem Cells 2018, 36, 1273–1285. [Google Scholar] [CrossRef]
  9. Rosse, G. Pyrrolidinones as Modulators of Neurogenesis. ACS Med. Chem. Lett. 2016, 7, 15–16. [Google Scholar] [CrossRef][Green Version]
  10. de la Fuente Revenga, M.; Perez, C.; Morales-Garcia, J.A.; Alonso-Gil, S.; Perez-Castillo, A.; Caignard, D.-H.; Yanez, M.; Gamo, A.M.; Isabel Rodriguez-Franco, M. Neurogenic Potential Assessment and Pharmacological Characterization of 6-Methoxy-1,2,3,4-tetrahydro-beta-carboline (Pinoline) and Melatonin-Pinoline Hybrids. ACS Chem. Neurosci. 2015, 6, 800–810. [Google Scholar] [CrossRef]
  11. Lin, H.; Fang, H.; Wang, J.; Meng, Q.; Dai, X.; Wu, S.; Luo, J.; Pu, D.; Chen, L.; Minick, D.; et al. Discovery of a novel 2,3,11,11a-tetrahydro-1H-pyrazino 1,2-b isoquinoline-1,4(6H)-dione series promoting neurogenesis of human neural progenitor cells. Bioorg. Med. Chem. Lett. 2015, 25, 3748–3753. [Google Scholar] [CrossRef] [PubMed]
  12. Kim, G.H.; Halder, D.; Park, J.; Namkung, W.; Shin, I. Imidazole-Based Small Molecules that Promote Neurogenesis in Pluripotent Cells. Angew. Chem. Int. Ed. 2014, 53, 9271–9274. [Google Scholar] [CrossRef] [PubMed]
  13. MacMillan, K.S.; Naidoo, J.; Liang, J.; Melito, L.; Williams, N.S.; Morlock, L.; Huntington, P.J.; Estill, S.J.; Longgood, J.; Becker, G.L.; et al. Development of Proneurogenic, Neuroprotective Small Molecules. J. Am. Chem. Soc. 2011, 133, 1428–1437. [Google Scholar] [CrossRef] [PubMed]
  14. Pieper, A.A.; McKnight, S.L.; Ready, J.M. P7C3 and an unbiased approach to drug discovery for neurodegenerative diseases. Chem. Soc. Rev. 2014, 43, 6716–6726. [Google Scholar] [CrossRef] [PubMed]
  15. Bauman, M.D.; Schumann, C.M.; Carlson, E.L.; Taylor, S.L.; Vazquez-Rosa, E.; Cintron-Perez, C.J.; Shin, M.K.; Williams, N.S.; Pieper, A.A. Neuroprotective efficacy of P7C3 compounds in primate hippocampus. Transl. Psychiatry 2018, 8, 202. [Google Scholar] [CrossRef] [PubMed]
  16. McIntyre, R.S.; Johe, K.; Rong, C.; Lee, Y. The neurogenic compound, NSI-189 phosphate: A novel multi-domain treatment capable of pro-cognitive and antidepressant effects. Expert Opin. Investig. Drugs 2017, 26, 767–770. [Google Scholar] [CrossRef] [PubMed]
  17. Papakostas, G.I.; Johe, K.; Hand, H.; Drouillard, A.; Russo, P.; Kay, G.; Kashambwa, R.; Hoeppner, B.; Flynn, M.; Yeung, A.; et al. A phase 2, double-blind, placebo-controlled study of NSI-189 phosphate, a neurogenic compound, among outpatients with major depressive disorder. Mol. Psychiatry 2020, 25, 1569–1579. [Google Scholar] [CrossRef] [PubMed]
  18. Faghih, Z.; Fereidoonnezhad, M.; Tabaei, S.M.H.; Rezaei, Z.; Zolghadr, A.R. The binding of small carbazole derivative (P7C3) to protofibrils of the Alzheimer’s disease and beta-secretase: Molecular dynamics simulation studies. Chem. Phys. 2015, 459, 31–39. [Google Scholar] [CrossRef]
  19. Walker, A.K.; Rivera, P.D.; Wang, Q.; Chuang, J.C.; Tran, S.; Osborne-Lawrence, S.; Estill, S.J.; Starwalt, R.; Huntington, P.; Morlock, L.; et al. The P7C3 class of neuroprotective compounds exerts antidepressant efficacy in mice by increasing hippocampal neurogenesis. Mol. Psychiatry 2015, 20, 500–508. [Google Scholar] [CrossRef]
  20. Pieper, A.A.; Xie, S.; Capota, E.; Estill, S.J.; Zhong, J.; Long, J.M.; Becker, G.L.; Huntington, P.; Goldman, S.E.; Shen, C.-H.; et al. Discovery of a Proneurogenic, Neuroprotective Chemical. Cell 2010, 142, 39–51. [Google Scholar] [CrossRef]
  21. Liang, J.H.; Yang, L.; Wu, S.; Liu, S.S.; Cushman, M.; Tian, J.; Li, N.M.; Yang, Q.H.; Zhang, H.A.; Qiu, Y.J.; et al. Discovery of efficient stimulators for adult hippocampal neurogenesis based on scaffolds in dragon’s blood. Eur. J. Med. Chem. 2017, 136, 382–392. [Google Scholar] [CrossRef]
  22. Zhang, H.; Xiang, L.; Yang, L.; Wu, S.; Liu, S.; Zhao, J.; Song, D.; Ma, C.; Ni, J.; Quan, Z.; et al. WS6 Induces Adult Hippocampal Neurogenesis in Correlation to its Antidepressant Effect on the Alleviation of Depressive-like Behaviors of Rats. Neuroscience 2021, 473, 119–129. [Google Scholar] [CrossRef]
Figure 1. The compounds promoting neurogenesis in vivo.
Figure 1. The compounds promoting neurogenesis in vivo.
Ijms 25 01241 g001
Figure 2. Different substituents (R groups) for the target compounds 8, 9, 12, 18, 23, 24, 29, 32, 36, 39, and 42.
Figure 2. Different substituents (R groups) for the target compounds 8, 9, 12, 18, 23, 24, 29, 32, 36, 39, and 42.
Ijms 25 01241 g002
Scheme 1. Reagents and conditions (R groups were listed in Figure 2): (i) CH3PPh3Br, NaNH2, Et2O, −10–25 °C, 1 h, 32.9%; (ii) KOAc, Pd(OAc)2, Bu4NBr, DMF, 80 °C, 5 h, 49.2%; (iii) SnCl2, EtOH, reflux, 2 h, 18.9–37.6%; (iv) (a) N,N-dimethylcarbamoyl chloride/phenylacetyl chloride/dimethylsulfamoyl chloride/cyclopropylsulfonyl chloride/benzenesulfonyl chloride, pyridine, DMAP, CH2Cl2, 0–25 °C, 40.4–41.4%; (b) Isobutyric anhydride/benzoic anhydride, pyridine, DMAP (4-dimethylaminopyridine), CH2Cl2, 0–25 °C, 6.9–84.9%; (c) Cyclobutanecarboxylic acid/1-cyanocyclopropylformic acid/2-picolinic acid, pyridine, DCC (N,N′-dicyclohexylcarbodiimide), DMAP, CH2Cl2, −15–25 °C, 21.2–73.5%.
Scheme 1. Reagents and conditions (R groups were listed in Figure 2): (i) CH3PPh3Br, NaNH2, Et2O, −10–25 °C, 1 h, 32.9%; (ii) KOAc, Pd(OAc)2, Bu4NBr, DMF, 80 °C, 5 h, 49.2%; (iii) SnCl2, EtOH, reflux, 2 h, 18.9–37.6%; (iv) (a) N,N-dimethylcarbamoyl chloride/phenylacetyl chloride/dimethylsulfamoyl chloride/cyclopropylsulfonyl chloride/benzenesulfonyl chloride, pyridine, DMAP, CH2Cl2, 0–25 °C, 40.4–41.4%; (b) Isobutyric anhydride/benzoic anhydride, pyridine, DMAP (4-dimethylaminopyridine), CH2Cl2, 0–25 °C, 6.9–84.9%; (c) Cyclobutanecarboxylic acid/1-cyanocyclopropylformic acid/2-picolinic acid, pyridine, DCC (N,N′-dicyclohexylcarbodiimide), DMAP, CH2Cl2, −15–25 °C, 21.2–73.5%.
Ijms 25 01241 sch001
Scheme 2. Reagents and conditions (R groups were listed in Figure 2): (i) LiOH•H2O, MeOH, 25 °C, 3 h, 97.9–99.2%; (ii) NiCl2, NaBH4, MeOH, 25 °C, 5 min; (iii) PTSA (p-toluenesulfonic acid), toluene, reflux, 3 h, 14.3%; (iv) (a) Methanesulfonyl chloride, pyridine, DMAP, CH2Cl2, 0–25 °C, 32.7%; (b) Isobutyric anhydride, pyridine, DMAP, CH2Cl2, 0–25 °C, 47.5–57.8%.
Scheme 2. Reagents and conditions (R groups were listed in Figure 2): (i) LiOH•H2O, MeOH, 25 °C, 3 h, 97.9–99.2%; (ii) NiCl2, NaBH4, MeOH, 25 °C, 5 min; (iii) PTSA (p-toluenesulfonic acid), toluene, reflux, 3 h, 14.3%; (iv) (a) Methanesulfonyl chloride, pyridine, DMAP, CH2Cl2, 0–25 °C, 32.7%; (b) Isobutyric anhydride, pyridine, DMAP, CH2Cl2, 0–25 °C, 47.5–57.8%.
Ijms 25 01241 sch002
Scheme 3. Reagents and conditions (R groups were listed in Figure 2): (i) CH3ONa, MeOH, reflux, 3 h, 17.8–27.2%; (ii) (a) SnCl2, EtOH, reflux, 2 h, 37.6%; (b) Fe, NH4Cl, MeOH, 80 °C, 2 h, 82.8%; (iii) Acetic anhydride/isobutyric anhydride, pyridine, DMAP, CH2Cl2, 0–25 °C, 27.2–61.9%.
Scheme 3. Reagents and conditions (R groups were listed in Figure 2): (i) CH3ONa, MeOH, reflux, 3 h, 17.8–27.2%; (ii) (a) SnCl2, EtOH, reflux, 2 h, 37.6%; (b) Fe, NH4Cl, MeOH, 80 °C, 2 h, 82.8%; (iii) Acetic anhydride/isobutyric anhydride, pyridine, DMAP, CH2Cl2, 0–25 °C, 27.2–61.9%.
Ijms 25 01241 sch003
Scheme 4. Reagents and conditions: (i) NaBH4, CHCl3, 25 °C, 10 h, 58.7%; (ii) HCHO, HCOOH, CHCl3, reflux, 3 h, 44.3%.
Scheme 4. Reagents and conditions: (i) NaBH4, CHCl3, 25 °C, 10 h, 58.7%; (ii) HCHO, HCOOH, CHCl3, reflux, 3 h, 44.3%.
Ijms 25 01241 sch004
Scheme 5. Reagents and conditions: (i) CH3PPh3Br, NaNH2, Et2O, −10–25 °C, 1 h, 32.9%; (ii) P(o-MePh)3, Pd(OAc)2, Et3N, CH3CN, 60 °C for 1 h; then 90 °C for 24 h, 78.1–86.0%; (iii) (a) Pivaloyl chloride, pyridine, DMAP, isopropylamine, CH2Cl2, 0–25 °C, 59.1%. (b) Isobutyric anhydride, pyridine, DMAP, CH2Cl2, 0–25 °C, 86.6%.
Scheme 5. Reagents and conditions: (i) CH3PPh3Br, NaNH2, Et2O, −10–25 °C, 1 h, 32.9%; (ii) P(o-MePh)3, Pd(OAc)2, Et3N, CH3CN, 60 °C for 1 h; then 90 °C for 24 h, 78.1–86.0%; (iii) (a) Pivaloyl chloride, pyridine, DMAP, isopropylamine, CH2Cl2, 0–25 °C, 59.1%. (b) Isobutyric anhydride, pyridine, DMAP, CH2Cl2, 0–25 °C, 86.6%.
Ijms 25 01241 sch005
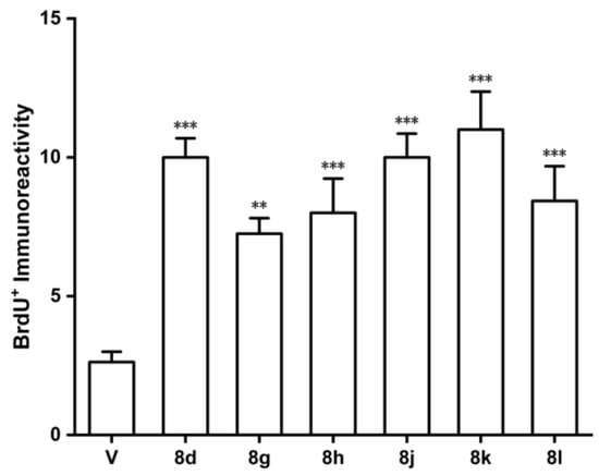
Figure 3. SARs of compounds 8d, 8g, 8h, 8j, 8k, and 8l in the proliferation stage of neurogenesis. All compounds showed significant proliferation-promoting activity. Eleven-week-old rats (n = 2) were administered intraperitoneally at a dose of 4.0 mg/kg/day for 28 days, followed by a BrdU pulse. The rats were sacrificed 24 h after the BrdU injections. BrdU+ immunoreactivity demonstrated the number of newborn cells in the vehicle group and the drug treatment groups. Data are expressed as mean ± SEM (n = 8 slices). (V: vehicle group; *** p < 0.001; ** p < 0.01).
Figure 3. SARs of compounds 8d, 8g, 8h, 8j, 8k, and 8l in the proliferation stage of neurogenesis. All compounds showed significant proliferation-promoting activity. Eleven-week-old rats (n = 2) were administered intraperitoneally at a dose of 4.0 mg/kg/day for 28 days, followed by a BrdU pulse. The rats were sacrificed 24 h after the BrdU injections. BrdU+ immunoreactivity demonstrated the number of newborn cells in the vehicle group and the drug treatment groups. Data are expressed as mean ± SEM (n = 8 slices). (V: vehicle group; *** p < 0.001; ** p < 0.01).
Ijms 25 01241 g003
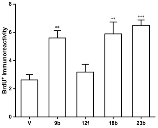
Figure 4. SARs of compounds 9b, 12f, 18b, and 23b in the proliferation stage of neurogenesis. Compounds 9b, 18b, and 23b (but not 12f) showed significant proliferation-promoting activity. Eleven-week-old rats (n = 2) were exposed to the compounds intraperitoneally at a dose of 4.0 mg/kg/day for 28 days, followed by a BrdU pulse. The rats were sacrificed 24 h after the BrdU injection. BrdU+ immunoreactivity demonstrated the number of newborn cells in the vehicle group and the drug treatment groups. Data are expressed as mean ± SEM (n = 8 slices). (V: vehicle group; *** p < 0.001; ** p < 0.01).
Figure 4. SARs of compounds 9b, 12f, 18b, and 23b in the proliferation stage of neurogenesis. Compounds 9b, 18b, and 23b (but not 12f) showed significant proliferation-promoting activity. Eleven-week-old rats (n = 2) were exposed to the compounds intraperitoneally at a dose of 4.0 mg/kg/day for 28 days, followed by a BrdU pulse. The rats were sacrificed 24 h after the BrdU injection. BrdU+ immunoreactivity demonstrated the number of newborn cells in the vehicle group and the drug treatment groups. Data are expressed as mean ± SEM (n = 8 slices). (V: vehicle group; *** p < 0.001; ** p < 0.01).
Ijms 25 01241 g004
Figure 5. SARs of compounds 8e, 23i, 24b, 29b, and 36a in the proliferation stage of neurogenesis. Compounds 24b and 29b showed significant proliferation-promoting activity. Eleven-week-old rats (n = 2) were administrated intraperitoneally at a dose of 4.0 mg/kg/day for 28 days, followed by a BrdU pulse. The rats were sacrificed 24 h after the BrdU injections. BrdU+ immunoreactivity demonstrated the number of newborn cells in the control group, the vehicle group, and the drug treatment groups. Data are expressed as mean ± SEM (n = 8 slices). (C: control group; V: vehicle group; ** p < 0.01; * p < 0.05).
Figure 5. SARs of compounds 8e, 23i, 24b, 29b, and 36a in the proliferation stage of neurogenesis. Compounds 24b and 29b showed significant proliferation-promoting activity. Eleven-week-old rats (n = 2) were administrated intraperitoneally at a dose of 4.0 mg/kg/day for 28 days, followed by a BrdU pulse. The rats were sacrificed 24 h after the BrdU injections. BrdU+ immunoreactivity demonstrated the number of newborn cells in the control group, the vehicle group, and the drug treatment groups. Data are expressed as mean ± SEM (n = 8 slices). (C: control group; V: vehicle group; ** p < 0.01; * p < 0.05).
Ijms 25 01241 g005
Figure 6. SARs of compounds 8c, 8d, 29b, 39b, and 42b in the proliferation stage of neurogenesis. Compounds 8c, 8d, 29b, and 39b (but not 42b) showed significant proliferation-promoting activity (The stilbene 8d and the diphenyl acrylonitrile 29b were repeated to check reproducibility). Eleven-week-old rats (n = 2) were administrated intraperitoneally at a dose of 4.0 mg/kg/day for 28 days, followed by a BrdU pulse. The rats were sacrificed 24 h after the BrdU injections. BrdU+ immunoreactivity demonstrated the number of newborn cells in the control group, the vehicle group, and the drug treatment groups. Data are expressed as mean ± SEM (n = 8 slices). (C: control group; V: vehicle group; *** p < 0.001; * p < 0.05).
Figure 6. SARs of compounds 8c, 8d, 29b, 39b, and 42b in the proliferation stage of neurogenesis. Compounds 8c, 8d, 29b, and 39b (but not 42b) showed significant proliferation-promoting activity (The stilbene 8d and the diphenyl acrylonitrile 29b were repeated to check reproducibility). Eleven-week-old rats (n = 2) were administrated intraperitoneally at a dose of 4.0 mg/kg/day for 28 days, followed by a BrdU pulse. The rats were sacrificed 24 h after the BrdU injections. BrdU+ immunoreactivity demonstrated the number of newborn cells in the control group, the vehicle group, and the drug treatment groups. Data are expressed as mean ± SEM (n = 8 slices). (C: control group; V: vehicle group; *** p < 0.001; * p < 0.05).
Ijms 25 01241 g006
Figure 7. SARs of compounds 8c, 8d, 8j, 8k, 18b, 23b, 24b, 29b, 39b, and 42b in the differentiation stage of neurogenesis. Compound 29b showed significant neurogenesis-promoting activity. Green fluorescent BrdU+ dots in the subgranular zone indicate newborn cells (white triangle), and yellow fluorescent BrdU+&NueN+ dots in the subgranular zone indicate newborn mature neurons (white triangle). Nine-week-old rats (n = 2) were administrated intraperitoneally at a dose of 4.0 mg/kg/day for 28 days, followed by a BrdU pulse. The rats were sacrificed 28 days instead of 24 h after the BrdU injections. (A) The number of BrdU+ cells; (B) the number of NeuN+ and BrdU+ cells. Data are expressed as mean ± SEM (n = 8 slices). (C: control group; V: vehicle group; *** p < 0.001; ** p < 0.01; * p < 0.05).
Figure 7. SARs of compounds 8c, 8d, 8j, 8k, 18b, 23b, 24b, 29b, 39b, and 42b in the differentiation stage of neurogenesis. Compound 29b showed significant neurogenesis-promoting activity. Green fluorescent BrdU+ dots in the subgranular zone indicate newborn cells (white triangle), and yellow fluorescent BrdU+&NueN+ dots in the subgranular zone indicate newborn mature neurons (white triangle). Nine-week-old rats (n = 2) were administrated intraperitoneally at a dose of 4.0 mg/kg/day for 28 days, followed by a BrdU pulse. The rats were sacrificed 28 days instead of 24 h after the BrdU injections. (A) The number of BrdU+ cells; (B) the number of NeuN+ and BrdU+ cells. Data are expressed as mean ± SEM (n = 8 slices). (C: control group; V: vehicle group; *** p < 0.001; ** p < 0.01; * p < 0.05).
Ijms 25 01241 g007
Figure 8. SARs of NSI-189, 29a, 29b, 32a, and 32b in the proliferation stage of neurogenesis. Compounds 29b, 32a, and 32b showed significant proliferation-promoting activity. Nine-week-old rats (n = 4) were administrated intraperitoneally at a dose of 4.0 mg/kg/day for 28 days, followed by a BrdU pulse. The rats were sacrificed 24 h after the BrdU injection. BrdU+ immunoreactivity demonstrated the number of positive cells in the control group, vehicle group, and NSI-189 and drug treatment groups. Data are expressed as mean ± SEM (n = 8 slices). (C: control group; V: vehicle group; ** p < 0.01; * p < 0.05).
Figure 8. SARs of NSI-189, 29a, 29b, 32a, and 32b in the proliferation stage of neurogenesis. Compounds 29b, 32a, and 32b showed significant proliferation-promoting activity. Nine-week-old rats (n = 4) were administrated intraperitoneally at a dose of 4.0 mg/kg/day for 28 days, followed by a BrdU pulse. The rats were sacrificed 24 h after the BrdU injection. BrdU+ immunoreactivity demonstrated the number of positive cells in the control group, vehicle group, and NSI-189 and drug treatment groups. Data are expressed as mean ± SEM (n = 8 slices). (C: control group; V: vehicle group; ** p < 0.01; * p < 0.05).
Ijms 25 01241 g008
Figure 9. SARs of compounds NSI-189, 29a, 29b, 32a, and 32b in the differentiation stage of neurogenesis. Compound 29b, 32a, and 32b showed significant neurogenesis-promoting activity. Green fluorescent BrdU+ dots in the subgranular zone indicate newborn cells (white triangle), and yellow fluorescent BrdU+&NeuN+ dots in the subgranular zone indicate newborn mature neurons (white triangle). Nine-week-old rats (n = 4) were administrated intraperitoneally at a dose of 4.0 mg/kg, and the rats were sacrificed 28 days instead of 24 h after the BrdU injections. (A) The number of BrdU+ cells; (B) the number of NeuN+ and BrdU+ cells. Data are expressed as mean ± SEM (n = 8 slices). (C: control group; V: vehicle group; ** p < 0.01).
Figure 9. SARs of compounds NSI-189, 29a, 29b, 32a, and 32b in the differentiation stage of neurogenesis. Compound 29b, 32a, and 32b showed significant neurogenesis-promoting activity. Green fluorescent BrdU+ dots in the subgranular zone indicate newborn cells (white triangle), and yellow fluorescent BrdU+&NeuN+ dots in the subgranular zone indicate newborn mature neurons (white triangle). Nine-week-old rats (n = 4) were administrated intraperitoneally at a dose of 4.0 mg/kg, and the rats were sacrificed 28 days instead of 24 h after the BrdU injections. (A) The number of BrdU+ cells; (B) the number of NeuN+ and BrdU+ cells. Data are expressed as mean ± SEM (n = 8 slices). (C: control group; V: vehicle group; ** p < 0.01).
Ijms 25 01241 g009
Table 1. Pharmacokinetic parameters of compound 32b.
Table 1. Pharmacokinetic parameters of compound 32b.
T1/2 (h)Tmax (h)Cmax
(ng/mL)/(ng/g)
AUC0–24h
(h*ng/mL)/(h*ng/g)
AUC0–inf
(h*ng/mL)/(h*ng/g)
Vz
(mL/kg)/(g/kg)
CL
(mL/h/kg)/(g/h/kg)
MRT (h)
32b-Blood2.231.5132 ± 9383 ± 84.4385 ± 82.332,829 ± 458110,770 ± 26162.46 ± 0.14
32b-Brain168 ± 47608 ± 220
Ratio□—1.28 a1.59 b
Doses for compound 32b: 4 mg/kg (i.p.); T1/2: half-life; Tmax: time at which Cmax is observed; Cmax: the highest drug concentration observed in plasma; AUC0–24h: total area under the curve; AUC0-inf: concentration time curve extrapolated to infinity; Vz: volume of distribution; CL: systemic plasma clearance; MRT: mean residence time. a. Ratio = Cmax of Brain/Cmax of Blood; b. Ratio= AUC0–24h of Brain/AUC0–24h of Blood.
Disclaimer/Publisher’s Note: The statements, opinions and data contained in all publications are solely those of the individual author(s) and contributor(s) and not of MDPI and/or the editor(s). MDPI and/or the editor(s) disclaim responsibility for any injury to people or property resulting from any ideas, methods, instructions or products referred to in the content.

Share and Cite

MDPI and ACS Style

Liu, S.-S.; Ma, C.-X.; Quan, Z.-Y.; Ding, J.; Yang, L.; Liu, S.-M.; Zhang, H.-A.; Qing, H.; Liang, J.-H. Discovery of Novel Diphenyl Acrylonitrile Derivatives That Promote Adult Rats’ Hippocampal Neurogenesis. Int. J. Mol. Sci. 2024, 25, 1241. https://doi.org/10.3390/ijms25021241

AMA Style

Liu S-S, Ma C-X, Quan Z-Y, Ding J, Yang L, Liu S-M, Zhang H-A, Qing H, Liang J-H. Discovery of Novel Diphenyl Acrylonitrile Derivatives That Promote Adult Rats’ Hippocampal Neurogenesis. International Journal of Molecular Sciences. 2024; 25(2):1241. https://doi.org/10.3390/ijms25021241

Chicago/Turabian Style

Liu, Si-Si, Cong-Xuan Ma, Zheng-Yang Quan, Jing Ding, Liang Yang, Si-Meng Liu, He-Ao Zhang, Hong Qing, and Jian-Hua Liang. 2024. "Discovery of Novel Diphenyl Acrylonitrile Derivatives That Promote Adult Rats’ Hippocampal Neurogenesis" International Journal of Molecular Sciences 25, no. 2: 1241. https://doi.org/10.3390/ijms25021241

APA Style

Liu, S.-S., Ma, C.-X., Quan, Z.-Y., Ding, J., Yang, L., Liu, S.-M., Zhang, H.-A., Qing, H., & Liang, J.-H. (2024). Discovery of Novel Diphenyl Acrylonitrile Derivatives That Promote Adult Rats’ Hippocampal Neurogenesis. International Journal of Molecular Sciences, 25(2), 1241. https://doi.org/10.3390/ijms25021241

Note that from the first issue of 2016, this journal uses article numbers instead of page numbers. See further details here.

Article Metrics

Back to TopTop