Next Article in Journal
Trehalose Attenuates In Vitro Neurotoxicity of 6-Hydroxydopamine by Reducing Oxidative Stress and Activation of MAPK/AMPK Signaling Pathways
Previous Article in Journal
Higher Steroid Production in the Right Adrenal Gland Compared to the Left One in db/db Mice, a Model of Type 2 Diabetic Obesity
Previous Article in Special Issue
Control of Dopamine Signal in High-Order Receptor Complex on Striatal Astrocytes
 
 
Font Type:
Arial Georgia Verdana
Font Size:
Aa Aa Aa
Line Spacing:
Column Width:
Background:
Review

Perry Disease: Current Outlook and Advances in Drug Discovery Approach to Symptomatic Treatment

Department of Technology and Biotechnology of Drugs, Faculty of Pharmacy, Jagiellonian University Medical College in Kraków, Medyczna 9, 30-688 Krakow, Poland
*
Author to whom correspondence should be addressed.
These authors contributed equally to this work.
Int. J. Mol. Sci. 2024, 25(19), 10652; https://doi.org/10.3390/ijms251910652
Submission received: 10 July 2024 / Revised: 27 August 2024 / Accepted: 31 August 2024 / Published: 3 October 2024

Abstract

Perry disease (PeD) is a rare, neurodegenerative, genetic disorder inherited in an autosomal dominant manner. The disease manifests as parkinsonism, with psychiatric symptoms on top, such as depression or sleep disorders, accompanied by unexpected weight loss, central hypoventilation, and aggregation of DNA-binding protein (TDP-43) in the brain. Due to the genetic cause, no causal treatment for PeD is currently available. The only way to improve the quality of life of patients is through symptomatic therapy. This work aims to review the latest data on potential PeD treatment, specifically from the medicinal chemistry and computer-aided drug design (CADD) points of view. We select proteins that might represent therapeutic targets for symptomatic treatment of the disease: monoamine oxidase B (MAO-B), serotonin transporter (SERT), dopamine D2 (D2R), and serotonin 5-HT1A (5-HT1AR) receptors. We report on compounds that may be potential hits to develop symptomatic therapies for PeD and related neurodegenerative diseases and relieve its symptoms. We use Phase pharmacophore modeling software (version 2023.08) implemented in Schrödinger Maestro as a ligand selection tool. For each of the chosen targets, based on the resolved protein–ligand structures deposited in the Protein Data Bank (PDB) database, pharmacophore models are proposed. We review novel, active compounds that might serve as either hits for further optimization or candidates for further phases of studies, leading to potential use in the treatment of PeD.

1. Introduction

1.1. Neurodegeneration and Inflammation

Neurodegenerative diseases (NDDs) constitute a diverse set of neurological disorders that impact millions of people globally, leading to the gradual deterioration of the nervous system. The vast spectrum of NDDs includes Alzheimer’s disease (AD), Parkinson’s disease (PD), primary tauopathies, frontotemporal dementia (FTD), amyotrophic lateral sclerosis (ALS), synucleinopathies (i.e., Lewy body dementia [LBD] and multisystem atrophy [MSA]), Huntington’s disease (HD) and related polyglutamine (polyQ) diseases (including spinocerebellar ataxias [SCA]), prion disease (PrD), traumatic brain injury (TBI), chronic traumatic encephalopathy (CTE), stroke, spinal cord injury (SCI), and multiple sclerosis (MS) [1].
Worldwide, NDDs impact millions of individuals. The two most prevalent NDDs are PD and AD. A 2024 report from the Alzheimer’s Disease Association estimated that as many as 6.9 million patients in the USA may suffer from AD [2]. On the other hand, the Parkinson’s Foundation estimates that approximately one million patients in the USA are diagnosed with PD [3].
NDDs share many fundamental processes associated with progressive neuronal dysfunction and death, including oxidative stress, programmed cell death, proteotoxic stress, and its attendant abnormalities in the ubiquitin–proteasomal and autophagosomal/lysosomal systems, and neuroinflammation [4]. These processes cause the deterioration of neural networks in either the central (CNS) or peripheral (PNS) nervous system, which ultimately results in impaired memory, cognition, behavior, sensory perception, and/or motor function [1]. Consequently, the clinical presentations of NDDs can be used to categorize them broadly, with the most common types being extrapyramidal and pyramidal movement disorders, as well as cognitive or behavioral disorders. Most patients have a combination of clinical features, with very few having pure syndromes. Hence, neuropathological evaluation during the autopsy constitutes the gold standard for diagnosis, as specific protein accumulations and anatomic vulnerability are typically used to define NDDs [4].
While several medications are currently approved to treat NDDs, most of them provide only symptomatic treatment. The blood–brain barrier’s (BBB’s) limiting properties, which prevent nearly 99% of all xenobiotics from entering the brain, are the main cause of the lack of pathogenesis-targeting treatments [5].

1.2. Rare Diseases

A rare or orphan disease is a medical condition that affects a small percentage of the population [6]. As of 2021, rare diseases affect more than 470 million people worldwide—approximately 1/16 of the global population [7]. Despite significant advances in research, which have enhanced our understanding of the molecular foundations of these diseases and the availability of regulatory and economic incentives to speed up the development of treatments, most rare diseases still lack approved therapies [8]. One of the primary challenges in treating these conditions is the lack of standardized terminology and definitions, which hampers accurate diagnosis, disease classification, and the development of targeted treatments. Regulatory agencies provide incentives for pharmaceutical companies to develop therapies for these conditions, known as orphan drugs [9]—e.g., the Food and Drug Administration (FDA) grants orphan drugs sponsors tax credits for qualified clinical trials, exemption from user fees, or a potential seven years of market exclusivity after approval [10,11]. Still, less than 10% of patients with rare diseases receive treatments specifically tailored to their conditions [7]. Developing orphan drugs involves various strategies, including protein replacement therapies, small-molecule therapies, gene and cell therapies, and drug repurposing. Each approach comes with its strengths and limitations, and the process is further complicated by challenges in clinical trials, such as difficulties in patient recruitment, incomplete understanding of disease mechanisms, increased genetic heterogeneity, lack of animal models, and ethical concerns, particularly in pediatric cases. Additionally, the legislative procedure does not differ significantly from registering medicines for more common diseases—it adds another level of complexity to developing treatment for rare diseases, but on the other hand, grants necessary safety to patients upon releasing the drug to the market. Overcoming these barriers requires a collaborative effort involving academic institutions, industry, patient advocacy groups, and regulatory bodies to ensure that advances in rare disease research can be effectively translated into viable treatments [8].

1.3. Perry Disease

Perry disease (PeD) is a rare, genetic NDD inherited in an autosomal dominant manner. The disease manifests as parkinsonism, with psychiatric symptoms on top, such as depression or sleep disorders, and is accompanied by unexpected weight loss, central hypoventilation, and aggregation of DNA-binding protein (TDP-43) in the brain [12,13].
The cause of PeD is a mutation in the dynactin I gene (DCTN1), which is responsible for encoding the p150 subunit. Dynactin is a motor protein associated with axonal transport, while the aforementioned subunit constitutes a microtubule-binding site, an important feature of dynactin action [12]. Up until the fall of 2023, over 30 families with PeD have been reported [14]. Other than the “classic” type of disease, distinct phenotypes are recognized and classified as PeD [12].

1.4. Perry Disease Treatment

Due to the genetic cause, no causal treatment for PeD is currently available. Therefore, for patients suffering from this condition, the only way to improve their quality of life is through symptomatic therapy [15].
In this context, lines of evidence indicate levodopa (L-DOPA) [16,17,18], monoamine oxidase B (MAO-B) inhibitors [17], dopamine agonists [19,20], L-DOPA decarboxylase inhibitors [21], anticholinergics [17] or, very generally, wide-ranging groups of antidepressants, e.g., selective serotonin reuptake inhibitors (SSRIs) and tricyclic antidepressants (TCAs) [17,18], as helpful for PeD patients. Yet, to the best of our knowledge, no specific treatment for PeD has been either proposed or approved by any of the relevant legislative bodies.

2. Aim of Work

This work aims to review the latest data on potential PeD treatment, specifically from the medicinal chemistry and computer-aided drug design (CADD) points of view. Based on the medication therapies described so far and our knowledge, we have selected proteins that might represent therapeutic targets for the symptomatic treatment of the disease. The targets of focus in this work break down as follows: enzymes—MAO-B, sodium-dependent serotonin transporter (SERT); receptors—dopamine D2 (D2R) and serotonin 5-HT1A (5-HT1AR). We will report on compounds that may be potential hits for developing symptomatic therapies for PeD and related NDDs, for relieving symptoms.
Since the selected proteins have been widely explored as potential therapeutic targets and, consequently, the vast chemical space of the ligands has been proposed for them, in the present work, we have mostly focused on the structures published since 2020, which, in preliminary biological studies, display expected activity toward the objectives of the review.
To narrow down the search area, we use the pharmacophore modeling software Phase implemented in Schrödinger Maestro [22,23]. For each of the chosen targets, based on the resolved protein–ligand structures deposited in the Protein Data Bank (PDB) database (Table 1) [24], pharmacophore models are proposed using the default settings, except for SERT and 5-HT1AR, for which the following features have been manually added: positive ionic, aromatic ring, and hydrophobic or another aromatic ring (respectively). In the next step, the appropriately filtered (parameters given at the beginning of each section) ligand databases downloaded from ChEMBL [25,26] are screened using the proposed model. Up to the 10 most favorable results, in our opinion, are then tabulated (ranked by the Phase Screen Score value) and shortly described. The majority of the compounds from the screening results exhibit all the pharmacophore model features (for their respective target), except the D2R ligands, which mostly lack one of the aromatic features (the raw screening results are available as Supplementary Data).

3. Results

3.1. Enzymes

3.1.1. Monoamine Oxidase B

Monoamine oxidase (MAO) is a mitochondrial enzyme that catalyzes the oxidative deamination of various monoamines. It plays a significant role in the metabolism of released neurotransmitters and the detoxification of a wide variety of endo- and exogenous amines. Two isoforms of this enzyme that are approximately 70% identical to each other are known—monoamine oxidase A (MAO-A) and MAO-B. MAO-A is the predominant form in the gastrointestinal tract, placenta, and heart, while MAO-B is prevalent in brain glial cells and platelets. Regardless of the isoform or occurrence, both are covalently bound to flavin adenine dinucleotide (FAD) [31,32].
Many studies suggest that MAO-B participates in the pathomechanism of NDDs associated with aging. Unlike most enzymes, its activity does not decrease but increases linearly beyond 60 years of age. The enzyme is also considered to be involved in the formation of free radicals. Due to its function, MAO-B is also the main enzyme involved in dopamine metabolism, therefore playing a key role in the pathophysiology of PD. Hence, MAO-B inhibitors in combination with levodopa have found use in PD treatment [33].
MAO-B inhibitors have excellent efficacy and are safe for use both in the initial stages of PD and (as adjunctive therapy) in its advanced form. Longer exposure to MAO-B inhibitors results in a lower demand for levodopa and slower disease progression. Drugs currently approved for therapy include irreversible MAO-B inhibitors selegiline and rasagiline and the reversible inhibitor safinamide (Table 2) [34].
Out of the structure of MAO-B complexed with safinamide (inhibitor; PDB ID: 2V5Z), a pharmacophore model was proposed (Figure 1 and Figure 2, Table 3).

3.1.2. 2V5Z (Monoamine Oxidase B) Pharmacophore Screening

In the ChEMBL database, we queried for molecules exhibiting a half maximal inhibitory concentration (IC50) ≤ 100 nM in human MAO-B inhibition in assays published in 2020 and later, then conducted pharmacophore-based ligand screening using the model proposed by the Phase module (Table 4).
Seven out of ten compounds screened were published within the same work [38] focusing on fragment-based drug design (FBDD) for the discovery of selective MAO-B inhibitors. In this study, a steric clash-induced binding allosteric (SCIBA) strategy was used, in which the fragment entering the collision with the non-biological target protein—in this case, MAO-A—was the pharmacophore element. This arrangement provided greater selectivity to the correct target, MAO-B. Based on the structure of safinamide, the researchers found the fragment that was most sterically unfavorable for MAO-A (1-fluoro-3-phenoxymethylbenzene) and looked for combinations with fragments that could match the MAO-B active site, e.g., safinamide forms hydrophobic interactions with Phe103, Leu164, Leu167, Leu171, Ile199 and Tyr398, and it forms a hydrogen bond with Gln206. In the case of MAO-A, the binding site is curved so that safinamide collides sterically with Phe208. This results in an unfavorable conformational change of safinamide and a lack of hydrogen bonding with Gln215, which significantly worsens the affinity for this enzyme [38]. Based on these observations, a set of (S)-2-(benzylamino)-propanamide derivatives were designed, synthesized, and biologically evaluated. Two series of compounds were obtained. The first series included compounds M4, M7, and M9—and it was devoid of heterocyclic moieties (except for CHEMBL4759613 containing morpholine, not listed herein). The second series containing azacyclic amides included M1, M2, M3, and M5. Modifications of safinamide involving the addition of fluoride or a methyl group into central benzyl position 2 achieved strong inhibitory activity against MAO-B. The best activity among those reported was achieved by the M4 containing chloride substituent in position 2 of the central benzene ring, which ranked fifth in our screening [38].
Studies of a series of azacyclic amides also showed that the presence of a chiral group is beneficial for MAO-B inhibition, i.e., the MAO-B inhibitory activity of S-enantiomer M3 (IC50 = 21 nM) was superior when compared to its racemate M2 (IC50 = 46 nM) and similar to that of safinamide. M1 and M5 with electron-acceptor substituents (-F or -Cl) also showed strong inhibitory activity (IC50 = 26 nM and 35 nM, respectively) [38]. The strongest activity of all seven compounds was shown by M3, which was ranked third in our screening. M1, with slightly less MAO-B inhibitory activity, was identified as the best fit by our model [38].
M6 and M8 were obtained using the FBDD method, based on a previously described series of (S)-2-(benzylamino)propanamide derivatives, which led them to conclude that the chiral amide group located at position 2 of the azetidine ring was important for MAO-B inhibition [39]. The modifications involved the introduction of chiral fluorinated pyrrolidine derivatives into a new series of compounds. M8 appeared to be the most active, having a chiral fluorine atom in position 4 of the pyrrolidine ring. M6, obtained by introducing a fluorine atom into position 2 of the benzene ring, also showed good MAO-B inhibitory activity. Both compounds also showed remarkably high selectivity for MAO-B over MAO-A (M6, MAO-A IC50 = 29360.0 nM, M8, IC50 = 46365.0 nM) [39].
Last in order, according to our screening, M10 was derived from the study, which was a continuation of the search for MAO-B inhibitors using FBDD methods [40]. Previously, the researchers combined rasagiline with a hydrophobic molecule, resulting in selective compounds with promising activities against MAO-B, and in the study described here, the linkers and hydrophobic groups were modified to yield compounds with a 1-(prop-2-yn-1-ylamino)-2,3-dihydro-1H-inden-4-thiol scaffold [40].
M10 with a 3-(trifluoromethyl)benzyl substituent had very high activity (IC50 = 4.7 nM) and was highly selective for MAO-B over MAO-A (Selectivity Index [SI] = MAO-A IC50/MAO-B IC50 = 1641.3). These were better results than those achieved by rasagiline and safinamide in the same study. The only compound with even higher activity against MAO-B and selectivity, as obtained in this study, had a 1-methyl-3-propylbenzene fragment instead of a 1-ethyl-3-(trifluoromethyl)benzene fragment (IC50 = 0.35 nM, SI = 14162.9) [40].
In light of this review, it can be deduced that compounds containing, from the left, a 1-fluoro-3-((p-tolyloxy)methyl)benzene fragment linked to an amine or azacyclic ring and an amide group (located on the right side of the compound) with halogen substituents or a methyl group at position 2 of the central aromatic ring have the potential to be potent MAO-B inhibitors. Further, the chirality of the halogen group on the azacyclic ring is of relevance to SAR for the series of described compounds. Last but not least, the (2,3-dihydro-1H-inden-4-yl)(3-(trifluoromethyl)benzyl)sulfane fragment linked to the amine-alkyne fragment is a promising framework for study and further modification.

3.1.3. Sodium-Dependent Serotonin Transporter

SERT is a protein located in presynaptic neurons. The raphe nuclei’s presynaptic neurons release serotonin, which activates the limbic system. Then, serotonin attaches itself to postsynaptic serotonin receptors, which are mostly found in limbic regions like the nucleus accumbens, dorsal striatum, hippocampal regions, and cortex. One of the processes for taking the neurotransmitter out of the synaptic cleft is serotonin reuptake, which is facilitated by SERT (Figure 3) [41].
Serotonin is related to the regulation of social behavior and emotional responses. Disturbances in serotonin transmission are related to depressive symptoms such as feelings of profound sadness, worthlessness, low self-esteem, suicidal thoughts, and lowered cognitive abilities [41]. Multiple medications achieve an increase in the serotonin concentration in the synaptic cleft by stabilizing the inactive state of SERT, thereby having an antidepressant effect [43]. While serotonin does not play much of a role in PD motor symptoms, serotonergic dysfunction is relevant to PD nonmotor symptoms, like depression, fatigue, weight changes, and visual hallucinations. While the first two are related to inhibition, the latter, on the contrary, is related to an increase in serotonergic transmission [44]. Antidepressants can alleviate them all, but the data on reducing psychotic symptoms are of poor quality [45]. Numerous antidepressants possess SERT activity as well (Table 5) [46].
Out of the structure of SERT complexed with sertraline (inhibitor; PDB ID: 6AWO), a pharmacophore model was proposed (Figure 4 and Figure 5, Table 6).

3.1.4. 6AWO (Sodium-Dependent Serotonin Transporter) Pharmacophore Screening

In the ChEMBL database, we queried for molecules exhibiting an IC50 ≤ 100 nM in human SERT inhibition in assays published in 2020 and later, then conducted pharmacophore-based ligand screening using the model proposed by the Phase module (Table 7).
Except for established, well-known medicines, the screening output described herein contained compounds from three separate studies.
As a novel compound with the highest PhaseScreenScore, there appeared S1 [49], developed in a study exploring a novel dual receptor for advanced glycation end products (RAGE)/SERT inhibitors for potential application in treating co-morbid AD and depression. Combining such dual inhibition could be beneficial in both conditions, since RAGE facilitates β-amyloid neuronal damage, and its blockade can notably prevent β-amyloid-induced neurotoxicity. The authors based their novel molecules on fusing vilazodone and azeliragon structures: SERT and RAGE inhibitors, respectively (Table 8). Analysis of the potential binding modes of azeliragon to RAGE and vilazodone to SERT showed that, between the aminoalkyl azeliragon moiety and benzofuran vilazodone moiety and their targets, there exists an adjacent pocket. Additionally, the imidazole azeliragon moiety and benzofuran vilazodone moiety (both aromatic heterocycles) could form bonds and interactions with their respective targets, which signifies that central aromatic heterocycles are common, crucial pharmacophoric features in these compounds. Based on these findings, the key pharmacophore structures of both compounds were fused [49].
Firstly, the synthesized chimeric S10 exhibited some inhibitory potential on both RAGE and SERT, without inheriting vilazodone’s partial agonism toward 5-HT1AR. Sadly, it exhibited serious cytotoxicity (which was the reason azeliragon was withdrawn from phase III clinical trials). Because of that, structural modifications were proposed to improve its bioactivity and safety.
Out of pyrazole, phenylimidazole, and thiazole, the only central heterocyclic moiety that preserved the RAGE and SERT activities was the thiazole; therefore, S10 and S11 were subjected to further modifications. It is worth noting that the thiazole derivatives preserved dual inhibition better than the pyrazole or benzimidazole derivatives, and the imidazole derivatives displayed stronger SERT inhibition than the thiazole derivatives.
Exploring different substituents on the thiazole core structure showed that, out of the alkyl substituents on thiazole, n-butyl was superior to methyl, ethyl, propyl, and isopropyl for RAGE inhibition, and out of the n-alkyl linkers between piperidine and indole, n = 4 was superior for dual inhibition.
Exploring different substituents on the imidazole core structure showed that, of the alkyl substituents on imidazole, ethyl, propyl, n-butyl, and cyclobutyl were superior to n-pentyl, isopropyl, cyclopropyl, cyclopentyl, cyclohexyl for RAGE inhibition, and out of the n-alkyl linkers between piperidine and indole, n = 1 and n = 4 were superior to n = 2 and n = 3 for dual inhibition.
Out of the n-substituents on indole, H or methyl was most suitable, as increasing the size of the substituent decreased the dual inhibition.
Molecular-docking simulations to RAGE and SERT showed that S12’s calculated pose was almost consistent with the calculated poses of the reference compounds (azeliragon and vilazodone) in their respective targets, with somewhat retained interactions, thus endorsing its biological activity. Furthermore, it had a better neuroprotective effect against β-amyloid25–35 than azeliragon and substantially lowered the immobility time in the tail suspension test, which indicates a potential antidepressant effect, yet was less potent than vilazodone. Although S12 is the most promising molecule highlighted by the authors, it has not been returned by 6AWO-based pharmacophore screening.
In summary, S12, which is a first-generation dual RAGE/SERT inhibitor, has demonstrated the viability of the pharmacophore fusion strategy and offered a useful prototype for the possible treatment of AD with comorbid depression [49].
The next four novel compounds with the highest PhaseScreenScore, which emerged from the 6AWO-based pharmacophore screening, were S2S5, along with dextromethorphan, which was the baseline structure of the novel compounds (Table 9) [48].
Dextromethorphan is a commonly used medicine, mainly as a cough suppressant, co-administrated with quinidine for the treatment of pseudobulbar affect and recently co-administered with bupropion for the treatment of major depressive disorder [53].
Dextromethorphan, like other aryl-methyl ethers, is subjected to in vivo O-dealkylation, yielding dextrorphan, which through N-methyl-d-aspartic acid receptor (NMDAR) inhibition may cause dissociative hallucinations when consumed in an excessive amount. As it facilitates dextromethorphan recreational use, efforts have been made to formulate a dextromethorphan analogue that is unusable for recreational use while still retaining the desirable pharmacological action [48]. Since dextromethorphan (co-administrated with bupropion) is indicated in the treatment of major depressive disorder and was also found (co-administrated with quinidine) to benefit levodopa-induced dyskinesia in PD, thus exhibiting valuable performance in treating other neurological and psychiatric diseases, it might be beneficial to explore its analogues [54,55]. This is further supported by the fact that AVP-786, its deuterated analogue, was studied in clinical trials (co-administrated with quinidine) for CNS disorders as well.
Common strategies to prevent O-dealkylation include fluorination and deuteration. Dextromethorphan may be fluorinated by replacing the aryl methyl ether with various fluoroalkyl ethers or fluoroalkyls. Overall, fluorinated dextromethorphan analogues sustained dextromethorphan’s pharmacological profile, while having slightly weaker affinity to the sigma1 receptor (σ1R), sustaining affinity to the sigma22R) receptor and ceasing affinity to NMDAR. Surprisingly, S3 gained an affinity for sodium-dependent noradrenaline transporter (NET) (IC50 = 944 nM). Additionally, S2S5 also gained an affinity for SERT. Fluorinated analogues also maintained similar pharmacochemical properties compared to dextromethorphan, namely high aqueous solubility, while simultaneously improving the in vivo pharmacokinetics [48]. In comparison, deuteration did not show an influence on the pharmacokinetics and other drug-like properties compared to dextromethorphan. The selectivity and affinity to receptors exhibiting neuropsychiatric effects seem to also be unchanged, aside from blocking metabolism to dextrorphan, which blocks the ability to antagonize NMDAR [56]. Overall, fluoroalkylated and deuterated dextromethorphan analogues seem to be promising future therapeutic options for the treatment of CNS disorders, especially Parkinson-like disorders [48,57].
The last four compounds in the screening results were described in the 2022 patent for ibogaine and its analogues as therapeutics for neurological and psychiatric disorders, and the compositions and methods for treating psychiatric disorders or their symptoms were considered (Table 10) [51].
Ibogaine is an indole alkaloid, naturally occurring in Tabernanthe iboga, a shrub native to Central–West Africa. It is an unusual psychedelic substance that can cause vivid memory recall and replay as well as oneirogenic effects, which are states akin to waking dreams. While high doses of ibogaine are used for their hallucinogenic effects during religious rituals and initiation rites, low doses are used as stimulants to prevent fatigue on hunting excursions and to dull hunger and thirst. Ibogaine is effective in interrupting drug dependence by providing quick and long-lasting relief from cravings and withdrawal symptoms in anecdotal reports and open-label case studies involving individuals addicted to heroin and cocaine. First-pass metabolism quickly demethylates ibogaine into the long-acting metabolite noribogaine [51,58]. Ibogaine and noribogaine bind with modest affinity to a variety of targets, including transporters, SERT, NET, sodium-dependent dopamine transporter (DAT), and receptors, opioid, acetylcholine (Ach), σ and NMDA [59]. Based on the ibogaine analogues, which were the results of the screening, switching methoxy slightly increases the inhibition of vesicular monoamine transporter 2 (VMAT2), and greatly SERT. Phenyl analogues exhibit greater inhibition of VMAT2 and SERT. N-methylation of pyrrole also potentiates the inhibition of both VMAT2 and SERT.
Summarizing the above-mentioned studies, it can be concluded that compounds containing a 3-(4-(4-(1-(4-(4-chlorophenoxy)phenyl)-1H-imidazol-4-yl)piperidin-1-yl)butyl)-1H-indole-5-carbonitrile backbone or one in which the imidazole site is occupied by a thiazole showed good SERT inhibitory activity (and some RAGE inhibitory activity on top). For SERT inhibition, the presence of an alkyl-substituted imidazole is most favorable (in particular, the ethyl and cyclobutyl substituents). Dextromethorphan derivatives with alkyl or alloxyfluoro substituents have also achieved good activities against SERT. The noribogaine backbone gains SERT inhibitory activity upon N-methylation of the pyrrole and the conversion of the -OH group to a cyanide substituent.

3.2. Receptors

3.2.1. Dopamine Receptors

Dopamine is a catecholamine neurotransmitter that fulfills essential functions in both the CNS and PNS and is responsible for numerous effects: the inhibition of prolactin production, movement, behavior, motivation, the reward system, cognitive abilities including learning, attention, working memory, mood and even sleep. Dopamine acts via five dopamine receptors (D1, D2, D3, D4, and D5) belonging to the G-protein-coupled receptors (GPCRs). Among them, two subclasses can be identified: the dopamine D1-like family, which includes D1 and D5 receptors, and the D2-like family, with D2, D3, and D4 receptors. Types 2, 3, and 4 share only a similar chemical structure, while types 1 and 5 also have similar drug sensitivity. The D1-like group are mostly postsynaptic receptors, binding mainly to the stimulatory Gs protein, while the D2-like receptors are involved as both postsynaptic receptors and presynaptic autoreceptors that bind to the inhibitory Gi/o protein [60,61].
Dopamine D1-like Family Receptors
D1-like receptors are found primarily in the cerebral cortex, the striatum, and the limbic system of the brain. In addition, they are also present in the cardiovascular system, as well as taking part in the regulation of neuronal growth. D1-like receptors are the most widespread of all the dopamine receptors in the human nervous system. D1-like receptors also show an impact on behavior, with roles including impulse control and involuntary movements, sleep, effects on learning and working memory, the reward system, and even the growth regulation and renin control in the kidneys [60].
When dopamine binds to D1-like receptors, guanosine nucleoside-binding proteins are activated, adenylyl cyclase activity is stimulated and, as a result, a cyclic AMP (cAMP) molecule is generated, acting as a secondary messenger. Other signaling pathways affect phospholipase C and calcium ion release. In the kidney and striatum, D1-like receptors through the protein kinase A and C signaling pathways also affect adenosine 5′-triphosphatase (ATPase) inhibition [60].
Dopamine D2-like Family Receptors
D2-like receptors are expressed in high concentrations in the olfactory bulb, substantia nigra, ventral tegmental area (VTA), putamen, caudate and nucleus accumbens. In small concentrations, they can be also found in the circulatory system, kidneys, gastrointestinal tract, cerebral cortex, hypothalamus, sympathetic ganglia, septum, and adrenal glands. Unlike D1-like receptors, D2-like receptors inhibit the activity of adenylate cyclase and cause a decrease in the cAMP concentration [60].
Most dopamine receptor agonists approved for therapy are D2-like receptors agonists (Table 11) [62,63]. These can be divided into ergoline, bromocriptine, and pergolide (withdrawn from human use by the FDA [64], it has some affinity for D1R,), and non-ergoline derivatives: pramipexole, ropinirole, and rotigotine. Apomorphine is a less specific agonist and acts on all the dopamine receptors, although mainly on D2-like receptors [65].
Out of the structure of D2R complexed with rotigotine (agonist; PDB ID: 8IRS), a pharmacophore model was proposed (Figure 6 and Figure 7, Table 12).

3.2.2. 8IRS (Dopamine D2 Receptor) Pharmacophore Screening

In the ChEMBL database, we queried for molecules exhibiting a half maximal effective concentration (EC50) ≤ 100 nM of human D2-like receptor activation in assays published in 2020 and later, then conducted pharmacophore-based ligand screening using the model proposed by the Phase module (Table 13).
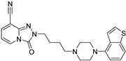
Three of the ten compounds resulting from our screening (P1, P4, and P7) appeared in a paper on bivalent dopamine agonists with cooperative binding and functional activity at D2R, with modulating effects on alpha-synuclein protein aggregation and toxicity. The structures studied were a hybrid of pramipexole and P1, linked by various linkers [69]. In preceding studies, an increase in potency was achieved with the optimal length of the methylene linker of 7–10 methylene units [72]. In this study, the linker was modified by inserting more rigid moieties and introducing functional groups on the aromatic moiety of the linker [69]. One of the phenyl moieties was replaced by a bioisosteric 2-aminothiazole moiety (P4) and affinity to both dopamine D2R and D3 receptor (D3R) was maintained (D2R IC50 = 13.4 nM, D3R IC50 = 13.3 nM). This compound appeared in seventh place in our screening, and in the described study [69], it turned out to be the most active structure. It was also one of the few compounds that aligned with all the pharmacophoric properties of the Phase pharmacophore model. The addition of hydroxyl groups at positions 1 and 4 to the aromatic linker ring in the presence of two isosteric 2-aminotiazole rings in the P7 slightly reduced the affinity for D2R yet was still higher than for the reference molecule P1 (IC50 = 34.37 nM vs. 41.0 nM). The hydroxyl groups themselves were well tolerated, while the presence of a thiazole-2-amino group in P4 and P7 had a moderate effect on the reduction of D2R potency. P1 and P7 met four out of five features of our pharmacophore model, both lacking one aromatic trait [69].
DPAT’s structure was also explored in another study [71], in which its 7-hydroxy derivative was modified by the addition of n-phenylpiperazine to the alkyl chain by a heterocyclic nitrogen atom, yielding P6, a potent D2R (EC50 = 9.98 nM) and D3R (EC50 = 2.91 nM) dual agonist. Further SAR studies discovered that the 2-(piperazin-1-yl)ethan-1-amine backbone is crucial for excellent dual activity. Bulky substituents (biphenyl or indole) at the piperazine N atom exhibit potent D3R activity, especially 2,3-dichlorophenyl. Propyl substitution at the alkyl amine increases the activity. 6-(5,6,7,8-tetrahydronaphthalen-1-ol)yl is more favorable for 6-(4,5,6,7-tetrahydrobenzo[d]thiazol-2-amine)yl, as well as an R to S configuration, for D3R binding. Overall, the most potent molecule (D2R EC50 = 0.87 nM, D3R EC50 = 0.23 nM) appeared to be (S)-6-((2-(4-(9H-carbazol-2-yl)piperazin-1-yl)ethyl)(propyl)amino)-5,6,7,8-tetrahydronaphthalen-1-ol, which is 2-(piperazin-1-yl)ethan-1-amine with 2-(9H-carbazol)yl substitution at the piperazine N atom and propyl and 6-(5,6,7,8-tetrahydronaphthalen-1-ol)yl substitution at the ethanamine atom [71].
One of the compounds (P2, propyl aminoindane), turned out to be a well-known compound that is an alkylated D2R agonist. It appeared in the study [70] as a molecule that, after appropriate modification (a biphenyl and an alline handle were attached to one of the N-propyl substituents of the aminoindane), served as a compound for the synthesis of two series of bidentate ligands selectively targeting D2R heterodimers.
P3 and P5 emerged from the study of the structure−functional−selectivity relationship of novel apomorphine analogues to develop selective D1R and D2R dual agonists, functionally biased toward activating the arrestin signaling pathway [66]. Overactivation of the G-protein pathway is associated with dyskinesias, while recruitment of β-arrestin 2 may not only desensitize the G-protein pathway but additionally activate the G-protein independent pathway, which can alleviate locomotor symptoms. Furthermore, both D1R and D2R activation are needed for a potent locomotor response. Compared to apomorphine, which is nonselective toward D1R (IC50 = 3.77 nM) and D2R (IC50 = 1.61 nM), propylnorapomorphine exhibits stronger affinity to D1R (IC50 = 1.1 nM) and D2R (IC50 = 0.04 nM), owing to elongation of the N-alkyl chain. O-acetylation of the catechol group of propylnorapomorphine yielded P5, which exhibits lesser affinity to D1R (IC50 = 31.7 nM) and maintains affinity to D2R (IC50 = 0.373 nM). Methylenedioxy protection of the catechol group of propylnorapomorphine yielded P3, which has an affinity to D1R (IC50 = 717.5 nM) and slightly lower to D2R (IC50 = 7.7 nM) compared to propylnorapomorphine. In the case of β-arrestin recruitment, apomorphine is biased toward recruitment for D2R (IC50 = 10.1 nM) rather than D1R (IC50 = 520.8 nM). In propylnorapomorphine, elongation of the N-alkyl chain further deepens this bias for D2R (IC50 = 1.18 nM) compared to D1R (IC50 = 1884 nM). O-acetylation of the catechol group in the case of P5 slightly diminished recruitment for D2R (IC50 = 6.34 nM), while greatly lowering for D1R (IC50 = 5496 nM). Lastly, methylenedioxy protection of the catechol group of P3 resulted in the inhibition of β-arrestin recruitment, both for D2R (IC50 = 520 nM) and for D1R (IC50 = 1949 nM) [66].
P8P10 [67] were described in a paper that investigated 2-phenylcyclopropylmethylamine (PCPMA) derivatives for partial agonism at the D2R. The P8 compound was formed by the propylation of the secondary amino group in the PCPMA part. This did not result in an improvement in its activity (EC50 = 53.5 nM). P10 with a chlorine atom on the phenyl ring in the para position relative to the methoxy substituent showed an increase in activity, had the best activity toward the D2R among all the new compounds in the entire study (EC50 = 2.63 nM), and, in our screening, had the highest activity [67].
Paying attention to the results, it seems that, for activity against D2R, the (S)-N6-(2,5-dimethyl-4-(2-(propylamino)ethyl)phenethyl)-N6-propyl-4,5,6,7-tetrahydrobenzo[d]thiazole-2,6-diamine backbone linked to a hydroxynaphthalene substituent via a second amine group might be a promising scaffold. Compounds that are modifications of propylapomorphine also showed good activity—beneficial here seems to be the O-acetylation of the catechol group, on the other hand. Moreover, 2-phenylcyclopropylmethylamine derivatives containing an (S)-N6-(2,5-dimethyl-4-(2-(propylamino)ethyl)phenethyl)-N6-propyl-4,5,6,7-tetrahydrobenzo[d]thiazole-2,6-diamine substituent also constitute a promising area for exploration. Here, the presence of a chlorine atom on the phenyl ring at the para position relative to the methoxy substituent proved most favorable for SAR. For dual D2R and D3R activity, structures based on an N-(2-(piperazin-1-yl)ethyl)propan-1-amine core, with bulky, hydrophobic substitutions at the heterocyclic N atom and 6-(5,6,7,8-tetrahydronaphthalen-1-ol)yl substitution at the alkyl N atom with R configuration, might find use as template structures.

3.2.3. Serotonin Receptors

Serotonin receptors are divided into seven receptor families: 5-HT1, 5-HT2, 5-HT3, 5-HT4, 5-HT5, 5-HT6, and 5-HT7. In total, at least 14 subtypes of these receptors have been discovered. All the families except 5-HT3Rs belong to the GPCRs. In turn, 5-HT3Rs are sodium–potassium ligand-gated ion channels [73].
The 5-HT1Rs and 5-HT5Rs are coupled to the Gi/G0 protein; their activation causes a decrease in the intracellular cAMP concentration. 5-HT2Rs are coupled to the Gq11 protein, and their activation causes an increase in the inositol trisphosphate (IP3) and diacylglycerol (DAG) concentrations. 5-HT4Rs, 5-HT6Rs, and 5-HT7Rs are coupled to the Gs protein; therefore, when activated, the cellular cAMP concentrations increase. All the receptor families are found in the CNS, where they are responsible for mood, learning, memory, sleep, locomotion, addiction, feelings of anxiety, or thermoregulation, among other things. Some are also found in the vascular system (5-HT1Rs, 5-HT2Rs, 5-HT7Rs) and gastrointestinal tract (5-HT2Rs, 5-HT3Rs, 5-HT4Rs), while 5-HT2Rs are also found in platelets and smooth muscle, and 5-HT3Rs are also found in the PNS [74].
5-HT1A Receptor
The 5-HT1AR is one of the best-studied serotonin receptors as the main serotonin inhibitory receptor in the brain. Two populations of this receptor can be distinguished—auto- and heteroreceptors. As an autoreceptor, it appears at presynaptic terminals in the sutural nuclei, where it controls the excitation of serotonergic neurons and the secretion of neurotransmitters. Heteroreceptors are expressed on non-serotonergic neurons, appearing mainly in the limbic system (body and dendrites of glutamatergic neurons, axons of γ-aminobutyric acid (GABA) neurons, or cholinergic neurons). Some receptors regulate the release of ACh (medial septum), glutamate (prefrontal cortex), or dopamine (midbrain cap) [73,75].
Because of its importance in the pathophysiology of neuropsychiatric disorders such as depression and anxiety [76], we chose it as a target for pharmacophore-based screening.
Out of the structure of 5-HT1AR complexed with serotonin (agonist; PDB ID: 7E2Y), a pharmacophore model was proposed (Figure 8 and Figure 9, Table 14).

3.2.4. 7E2Y (Serotonin 5-HT1a Receptor) Pharmacophore Screening

From the ChEMBL database, we queried for molecules exhibiting an EC50 ≤ 100 nM of human 5-HT1AR activation in assays published in 2020 and later, then conducted pharmacophore-based ligand screening using the model proposed by the Phase module (Table 15).
The highest score value was calculated for H1, developed in the study exploring multitarget 5-HT1AR agonists and D2R, 5-HT2A receptor (5-HT2AR) antagonists as schizophrenia drug candidates by automated deep-learning workflow. Typical antipsychotics are mainly D2R antagonists and exhibit good control of positive schizophrenia symptoms but cause various side effects like Parkinson-like extrapyramidal symptoms or tardive dyskinesia. Atypical antipsychotics usually exhibit inhibition (low affinity) toward D2R and (high affinity) 5-HT2AR, which facilitates less risk of side effects, but exhibit unsatisfactory control of cognitive dysfunction and negative symptoms. 5-HT1AR agonism may improve control of cognitive dysfunction and negative symptoms and alleviate side effects. The currently used atypical antipsychotics have a low ratio of 5HT1AR/D2R affinity and the higher ratio may improve the aforenoted pharmacodynamics of antipsychotics. The goal was to find novel structures, exhibiting high activity and low similarity, using deep-learning model assembly. To do so, two deep neural networks were built and then trained on data from the GLASS, Reaxys, and SciFinder databases. Out of the identified molecules, H11 exhibited the strongest affinity toward 5-HT1AR. Its derivatization yielded H1, which exhibited the second-best 5-HT1AR affinity and emerged in pharmacophore screening (Table 16). It was noticed that similar compounds with a two-atom linker length had lower activities in relation to all three targets than compounds with a four-atom linker length. Fluorinated compounds displayed stronger agonism to 5-HT1AR [78].
Eight of the ten results of our screening (H2H9) were described in one study [79], in which a new class of antipsychotic drugs was synthesized with a triazolopyridinone system linked to substituted piperazine or piperidine. The compounds obtained showed activity against 5-HT1AR (agonism), as well as 5-HT2AR and D2R (antagonism). The SAR for both serotonin and dopamine receptors was related to the variation of substituents on the triazolopyridinone ring and piperidine groups. H3 with a triazolopyridinone scaffold showed good agonist activity on 5-HT1AR (EC50 = 1.7 nM) and high antagonistic activity against 5-HT2AR (IC50 = 34.2 nM) and against D2R (IC50 = 12.4 nM). To obtain further compounds, different substituents were introduced into the [1,2,4]triazolo [4,3-a]pyridin-3(2H)-one ring at positions 5–8. The introduction of halogen substituents into the ring at positions 6 and 8 resulted in a decrease in activity toward D2R and 5-HT2AR, while the activity toward the 5-HT1AR remained high, e.g., the H4 captured by our screening expressed activity toward the 5-HT1AR of EC50 = 12.1 nM. Cyano and methoxy substituents were successively added to the above-mentioned ring at different positions as well. H8 with the cyano substituent at position 5 was the least active against 5-HT1AR among the results of our screening (EC50 = 20.2 nM). On the other hand, H6 with the cyano substituent at position 7 performed better in the biological tests (EC50 = 5.9 nM). H5 with a 6-cyano substitution and H7 with an 8-cyano substitution of [1,2,4]triazolo [4,3-a]pyridin-3(2H)-one achieved very good D2R inhibitory activity (IC50 = 1.03 nM and 1.5 nM, respectively) while maintaining, especially H7, good agonist activity on 5-HT1AR (EC50 = 9.7 nM and 1.4 nM). These results suggest the influence of the substituent position for this group of compounds. In H9, the thiophene ring was exchanged for a thiazole ring, and in H2, a fluorine substituent additionally appeared at position 8 of the thiazolpyrrolidine. This led to a sharp decrease in activity against 5-HT2AR and D2R for H9 (IC50 = 117 nM and 2730 nM) while maintaining good activity against 5-HT1AR (EC50 = 2.8 nM). H2 showed better activity at all three receptors and fantastic activity against the 5-HT1AR (EC50 = 0.1 nM).
The last hit described herein—H10—came from research focused on [50] the search for chimeric vilazodone-donepezil derivatives targeting 5-HT1AR, SERT, and acetylcholinesterase (AChE) [50]. Such compounds were expected to be an ideal response to depression co-occurring with Alzheimer’s disease. H10 was the second most active against the 5-HT1AR (EC50 = 9.0 nM)—the introduction of vinyl instead of a methyl substituent at the 1-methylpiperidine moiety resulted in even higher potency (EC50 = 8.6 nM). Under the assumptions of the aforementioned work, compounds showing good activity on all three targets, including SERT and AChE, were found to be superior overall to H10, even though on the 5-HT1AR alone its activity was almost the best. Our model focused exclusively on 5-HT1AR, so it can be said that it did well in this screening by typing just this compound [50].
Summarizing the above studies, for activity toward the 5-HT1AR, as well as the dopamine D2R, compounds built on a 2-(4-(4-(4-(benzo[d]thiazol-4-yl)piperazin-1-yl)butyl)-[1,2,4]triazolo [4,3-a]pyridin-3(2H)-one backbone or one in which the thiazole is replaced by a thiophene ring are beneficial. The most favorable according to the local SAR analysis is the presence of a fluorine or cyano group at position 8 of the [1,2,4]triazolo [4,3-a]pyridin-3(2H)-one scaffold. The position of the substituent plays an important role in SAR in these compounds. Furthermore, a similar backbone to the above-described one, containing the stannous 2,2-dioxide 7-amino-1-methyl-3,4-dihydro-1H-benzo[c][1,2]thiazine instead of the 2-methyl-[1,2,4]triazolo [4,3-a]pyridin-3(2H) one, also shows good activity against 5-HT1AR and D2R. This dual-target interaction might also be deduced from the proposed pharmacophore models derived for both D2R and 5-HT1AR—in both cases, a positively ionizable feature, an aromatic feature as well as a hydrophobic or aromatic feature could be visible, and the ligands described herein align with these features (given the similar hydrophobic properties of aromatic rings and hydrophobic moieties). Moreover, it might also overlap with the SERT and MAO-B ones (Figure 10)—modifications of the compound H10 provided herein provided activity not only for 5-HT1AR but also targets such as SERT and AChE.

3.3. Pharmacophore Model Alignment

Based on the publications described earlier, the search for multi-target ligands became an everyday practice. Of the targets we selected and for the studies described above, such combinations succeeded for the 5-HT1AR and D2R, and 5-HT1AR and SERT, pairs—where the designed molecules showed good activity more than once.
We decided to overlay the generated proposed models using Phase’s Hypothesis Alignment function to assess whether it would be possible to find molecules with multi-target activity on all, or at least most, of our chosen targets (Figure 10). Analyzing the pharmacophores, it can be seen that all four proposed pharmacophore models present common features: each contains a positively ionizable feature and at least one aromatic feature, and three of them also have a hydrophobic feature. When the models are overlaid, the positively ionizable features are in a fairly similar position, and the groups of aromatic and hydrophobic features also mostly overlap.
The similarity of the pharmacophore models derived from different target complexes suggests that it is fairly possible to obtain a multi-target structure, which could exhibit the desired activity on MAO-B, SERT, 5-HT1AR, and D2R, devoid of possible side effects, and potentially alleviate symptoms such as depression and motor dysfunctions. Based on the constructed models and their averaging, such a chemical structure would meet the characteristics of a pharmacophore for a D2R-based model—having one positive ionic feature, two aromatic features, and one hydrophobic feature, with a possibility of variation between the presence of additional hydrophobic or aromatic feature—with the distances between all the features roughly maintained (Figure 11).

4. Materials and Methods

A database search was conducted using the ChEMBL database [25]. The protein structures were obtained from the PDB, then prepared using the Maestro Schrödinger suite [80], using the Protein Preparation Wizard (default settings) [81,82]. The compounds’ structures were prepared using LigPrep (default settings) [83]. The pharmacophore models were generated using Phase (default settings unless otherwise specified). The pharmacophore screening was conducted using Phase (default settings) [22,23,84].

5. Conclusions

PeD has an extraordinarily strong impact on the lives of patients, and to the best of our knowledge, there are no specific medications and recommendations focused on this disease. Due to the similarity of the symptoms, treatment consists of administering the same drugs that are used in PD and providing only symptomatic treatment. Therefore, we see a lot of room for further research here, both for symptomatic drugs, which we have considered in this review, and for biological drugs that could change the fate of patients.
Therefore, herein, we reviewed section by section novel, active compounds that might either serve as hits for further optimization or candidates for further phases of studies, leading to potential use in the treatment of PeD. Due to the complex nature of the symptoms, we focused on several major therapeutic targets—the MAO-B, and SERT enzymes, as well as the D2R and the 5-HT1AR. We were able to propose pharmacophore models for each of the targets, which helped us to select, in our opinion, the compounds best suited in terms of the chemical structure, whose backbones are the newest directions from which medicinal chemistry can be further explored.
We believe that further research focused on multi-target ligands would be the most comprehensive approach for further symptomatic PeD treatment. Based on the analysis performed within the described studies and our proposed pharmacophore models, including their alignment, it is apparent that this is possible and can yield promising results. Especially, molecules based on the averaged/D2R model, which could exhibit an effect on all the studied targets—MAO-B, SERT, D2R, and 5-HT1AR—easing parkinsonism and depressive symptoms alike. In this context, the results of our comprehensive computer-aided analysis can be beneficial in finding such molecules, which proved safe and effective in preclinical and clinical studies, which would mean fewer drugs that a patient with PeD has to take at the same time, thus increasing the quality of the patient’s life.
Designing compounds that are multi-targeted carries numerous potential risks. Such compounds may act not only on the desired biological targets but also on off-targets. Subtypes of the same receptor family, in most cases, share a high level of structural similarity; therefore, the pharmacophores of the molecules acting on them might also overlap. This might drastically affect the selectivity of the desired compound over the main target. For instance, two of the serotonin receptors, namely 5-HT2B and 5-HT2C, represent the best example of such. Due to the high dimensionality of the data, the complexity of the neurological pathways to tackle, numerous targets and off-targets to be considered, and similarities between pharmacophore models, the help of precise data analysis through artificial intelligence (AI) may prove useful in the further exploration of the increasingly expanding vast accessible chemical space [85,86].
While the significant challenges of finding drugs for rare diseases have already been described in Section 1.2, it is worth remembering that the search for any new drug to hit the market is a serious venture. Even if a substance will fit the proposed pharmacophore and would meet all of the hit/lead compound requirements, its journey from the laboratory bench to the patient’s bedside is exceptionally long. Once we have found (through in silico models) a molecule that should work on the screen, the path of such a potential drug might seem unending, starting from in vitro biological affinity and ADME-Tox studies, and extensive testing of the molecule’s physiochemical properties, with the next stop being in vivo models, primarily for toxicity. Only then, after being proven active and stable, do the three phases of clinical trials await, where the drug is evaluated for safety and efficacy first on healthy individuals, then on sick patients. At any stage of this long process, a drug candidate may not turn out to be good enough [87,88]. On top of this, clinical trials for rare genetic diseases face several additional challenges, such as difficulties in patient recruitment, gaps in basic research, ethical concerns, regulatory hurdles, or more down-to-earth matters such as economic profitability.
Thus arises the importance of translational research, especially in the search for orphan drugs. By assembling diverse multidisciplinary research teams, the process of translating basic research findings into novel therapies can be shortened. Additionally, bi-directional knowledge circulation between researchers, and clinical and social personnel has been suggested to speed up these breakthroughs [14].
Additionally, we can see that research on rare diseases and common diseases is interlocked more than was thought, in such a way that they can both fuel each other’s findings; e.g., research on better PD and depression medicines can improve PeD treatment and vice versa. Therefore, the search for the best possible therapy—in this case, for PeD—poses a particular challenge to complex research teams. In light of the use of increasingly sophisticated computational methods, a reality check, based on human knowledge, intuition, and communication, cannot be forgotten. Hence, the considerations described in our paper undoubtedly contribute to the development of these global and comprehensive efforts to improve PeD therapy.

Supplementary Materials

The following supporting information can be downloaded at https://www.mdpi.com/article/10.3390/ijms251910652/s1.

Author Contributions

Conceptualization, Z.G., M.H., J.H. and K.J.K.; methodology, Z.G., M.H. and K.J.K.; software, Z.G., M.H. and K.J.K.; validation, Z.G. and M.H.; formal analysis, Z.G. and M.H.; investigation, Z.G. and M.H.; resources, K.J.K.; data curation, Z.G. and M.H.; writing—original draft preparation, Z.G. and M.H.; writing—review and editing, Z.G., M.H., J.H. and K.J.K.; visualization, Z.G.; supervision, K.J.K.; project administration, J.H. and K.J.K.; funding acquisition, J.H. and K.J.K. All authors have read and agreed to the published version of the manuscript.

Funding

This research was partly funded by Jagiellonian University Projects no. N42/DBS/000331 and N42/DBS/000385.

Data Availability Statement

The original contributions presented in this study are included in the article and Supplementary Materials; further inquiries can be directed to the corresponding author.

Acknowledgments

We acknowledge the usage of Smart—Servier Medical Art (CC BY 4.0) in creating the figures (https://smart.servier.com/ (accessed on 10 July 2024)). The DeepL translator (https://www.deepl.com/en/translator (accessed on 10 July 2024)) and ChatGTP (https://openai.com/chatgpt/ (accessed on 10 July 2024)) services were used as text redaction tools.

Conflicts of Interest

The authors declare no conflicts of interest.

References

  1. Wilson, D.M.; Cookson, M.R.; Van Den Bosch, L.; Zetterberg, H.; Holtzman, D.M.; Dewachter, I. Hallmarks of Neurodegenerative Diseases. Cell 2023, 186, 693–714. [Google Scholar] [CrossRef] [PubMed]
  2. 2024 Alzheimer’s Disease Facts and Figures. Alzheimer’s Dement. 2024, 20, 3708–3821. [CrossRef] [PubMed]
  3. Marras, C.; Beck, J.C.; Bower, J.H.; Roberts, E.; Ritz, B.; Ross, G.W.; Abbott, R.D.; Savica, R.; Van Den Eeden, S.K.; Willis, A.W.; et al. Prevalence of Parkinson’s Disease across North America. NPJ Park. Dis. 2018, 4, 21. [Google Scholar] [CrossRef] [PubMed]
  4. Dugger, B.N.; Dickson, D.W. Pathology of Neurodegenerative Diseases. Cold Spring Harb. Perspect. Biol. 2017, 9, a028035. [Google Scholar] [CrossRef]
  5. Lamptey, R.N.L.; Chaulagain, B.; Trivedi, R.; Gothwal, A.; Layek, B.; Singh, J. A Review of the Common Neurodegenerative Disorders: Current Therapeutic Approaches and the Potential Role of Nanotherapeutics. Int. J. Mol. Sci. 2022, 23, 1851. [Google Scholar] [CrossRef]
  6. Nguengang Wakap, S.; Lambert, D.M.; Olry, A.; Rodwell, C.; Gueydan, C.; Lanneau, V.; Murphy, D.; Le Cam, Y.; Rath, A. Estimating Cumulative Point Prevalence of Rare Diseases: Analysis of the Orphanet Database. Eur. J. Hum. Genet. 2020, 28, 165–173. [Google Scholar] [CrossRef]
  7. Gorini, F.; Coi, A.; Mezzasalma, L.; Baldacci, S.; Pierini, A.; Santoro, M. Survival of Patients with Rare Diseases: A Population-Based Study in Tuscany (Italy). Orphanet J. Rare Dis. 2021, 16, 275. [Google Scholar] [CrossRef]
  8. Yoo, H.W. Development of Orphan Drugs for Rare Diseases. Clin. Exp. Pediatr. 2024, 67, 315–327. [Google Scholar] [CrossRef]
  9. Abozaid, G.M.; Kerr, K.; McKnight, A.; Al-Omar, H.A. Criteria to Define Rare Diseases and Orphan Drugs: A Systematic Review Protocol. BMJ Open 2022, 12, e062126. [Google Scholar] [CrossRef]
  10. Waxman, H. H.R. 5238—97th Congress (1981–1982): Orphan Drug Act. 1983. Available online: https://www.congress.gov/bill/97th-congress/house-bill/5238/summary/00 (accessed on 21 August 2024).
  11. McNeilly, E.K. Designating an Orphan Product: Drug and Biological Products—Orphan Drug Regulations: Regulatory History. Available online: https://www.fda.gov/industry/medical-products-rare-diseases-and-conditions/designating-orphan-product-drugs-and-biological-products (accessed on 21 August 2024).
  12. Tsuboi, Y.; Mishima, T.; Fujioka, S. Perry Disease: Concept of a New Disease and Clinical Diagnostic Criteria. J. Mov. Disord. 2021, 14, 1–9. [Google Scholar] [CrossRef]
  13. Perry, T.L.; Bratty, P.J.A.; Hansen, S.; Kennedy, J.; Urquhart, N.; Dolman, C.L. Hereditary Mental Depression and Parkinsonism With Taurine Deficiency. Arch. Neurol. 1975, 32, 108–113. [Google Scholar] [CrossRef] [PubMed]
  14. Mishima, T.; Yuasa-Kawada, J.; Fujioka, S.; Tsuboi, Y. Perry Disease: Bench to Bedside Circulation and a Team Approach. Biomedicines 2024, 12, 113. [Google Scholar] [CrossRef] [PubMed]
  15. Dulski, J.; Cerquera-Cleves, C.; Milanowski, L.; Kidd, A.; Sitek, E.J.; Strongosky, A.; Vanegas Monroy, A.M.; Dickson, D.W.; Ross, O.A.; Pentela-Nowicka, J.; et al. Clinical, Pathological and Genetic Characteristics of Perry Disease—New Cases and Literature Review. Eur. J. Neurol. 2021, 28, 4010–4021. [Google Scholar] [CrossRef] [PubMed]
  16. Dulski, J.; Cerquera-Cleves, C.; Milanowski, L.; Kwiatek-Majkusiak, J.; Koziorowski, D.; Ross, O.A.; Pentela-Nowicka, J.; Sławek, J.; Wszolek, Z.K. L-Dopa Response, Choreic Dyskinesia, and Dystonia in Perry Syndrome. Park. Relat. Disord. 2022, 100, 19–23. [Google Scholar] [CrossRef]
  17. Wider, C.; Wszolek, Z.K. Rapidly Progressive Familial Parkinsonism with Central Hypoventilation, Depression and Weight Loss (Perry Syndrome)—A Literature Review. Park. Relat. Disord. 2008, 14, 1–7. [Google Scholar] [CrossRef]
  18. Milanowski, Ł.; Sitek, E.J.; Dulski, J.; Cerquera-Cleves, C.; Gomez, J.D.; Brockhuis, B.; Schinwelski, M.; Kluj-Kozłowska, K.; Ross, O.A.; Sławek, J.; et al. Cognitive and Behavioral Profile of Perry Syndrome in Two Families. Park. Relat. Disord. 2020, 77, 114–120. [Google Scholar] [CrossRef]
  19. Dulski, J.; Koga, S.; Liberski, P.P.; Sitek, E.J.; Butala, A.A.; Sławek, J.; Dickson, D.W.; Wszolek, Z.K. Perry Disease: Expanding the Genetic Basis. Mov. Disord. Clin. Pract. 2023, 10, 1136–1142. [Google Scholar] [CrossRef]
  20. Stoker, T.B.; Dostal, V.; Cochius, J.; Williams-Gray, C.H.; Scherzer, C.R.; Wang, J.; Liu, G.; Coyle-Gilchrist, I. DCTN1 Mutation Associated Parkinsonism: Case Series of Three New Families with Perry Syndrome. J. Neurol. 2022, 269, 6667–6672. [Google Scholar] [CrossRef]
  21. Silva, E.; Itzcovich, T.; Niikado, M.; Caride, A.; Fernández, E.; Vázquez, J.C.; Romorini, L.; Marazita, M.; Sevlever, G.; Martinetto, H.; et al. Perry Disease in an Argentine Family Due to the DCTN1 p.G67D Variant. Park. Relat. Disord. 2022, 97, 63–64. [Google Scholar] [CrossRef]
  22. Dixon, S.L.; Smondyrev, A.M.; Rao, S.N. PHASE: A Novel Approach to Pharmacophore Modeling and 3D Database Searching. Chem. Biol. Drug Des. 2006, 67, 370–372. [Google Scholar] [CrossRef]
  23. Dixon, S.L.; Smondyrev, A.M.; Knoll, E.H.; Rao, S.N.; Shaw, D.E.; Friesner, R.A. PHASE: A New Engine for Pharmacophore Perception, 3D QSAR Model Development, and 3D Database Screening: 1. Methodology and Preliminary Results. J. Comput. Aided Mol. Des. 2006, 20, 647–671. [Google Scholar] [CrossRef] [PubMed]
  24. Berman, H.M.; Westbrook, J.; Feng, Z.; Gilliland, G.; Bhat, T.N.; Weissig, H.; Shindyalov, I.N.; Bourne, P.E. The Protein Data Bank. Nucleic Acids Res. 2000, 28, 235–242. [Google Scholar] [CrossRef] [PubMed]
  25. Zdrazil, B.; Felix, E.; Hunter, F.; Manners, E.J.; Blackshaw, J.; Corbett, S.; de Veij, M.; Ioannidis, H.; Lopez, D.M.; Mosquera, J.F.; et al. The ChEMBL Database in 2023: A Drug Discovery Platform Spanning Multiple Bioactivity Data Types and Time Periods. Nucleic Acids Res. 2024, 52, D1180–D1192. [Google Scholar] [CrossRef] [PubMed]
  26. Mendez, D.; Gaulton, A.; Bento, A.P.; Chambers, J.; De Veij, M.; Félix, E.; Magariños, M.P.; Mosquera, J.F.; Mutowo, P.; Nowotka, M.; et al. ChEMBL: Towards Direct Deposition of Bioassay Data. Nucleic Acids Res. 2019, 47, D930–D940. [Google Scholar] [CrossRef]
  27. Binda, C.; Wang, J.; Pisani, L.; Caccia, C.; Carotti, A.; Salvati, P.; Edmondson, D.E.; Mattevi, A. Structures of Human Monoamine Oxidase B Complexes with Selective Noncovalent Inhibitors: Safinamide and Coumarin Analogs. J. Med. Chem. 2007, 50, 5848–5852. [Google Scholar] [CrossRef]
  28. Coleman, J.A.; Gouaux, E. Structural Basis for Recognition of Diverse Antidepressants by the Human Serotonin Transporter. Nat. Struct. Mol. Biol. 2018, 25, 170–175. [Google Scholar] [CrossRef]
  29. Xu, P.; Huang, S.; Krumm, B.E.; Zhuang, Y.; Mao, C.; Zhang, Y.; Wang, Y.; Huang, X.P.; Liu, Y.F.; He, X.; et al. Structural Genomics of the Human Dopamine Receptor System. Cell Res. 2023, 33, 604–616. [Google Scholar] [CrossRef]
  30. Xu, P.; Huang, S.; Zhang, H.; Mao, C.; Zhou, X.E.; Cheng, X.; Simon, I.A.; Shen, D.D.; Yen, H.Y.; Robinson, C.V.; et al. Structural Insights into the Lipid and Ligand Regulation of Serotonin Receptors. Nature 2021, 592, 469–473. [Google Scholar] [CrossRef]
  31. Finberg, J.P.M.; Rabey, J.M. Inhibitors of MAO-A and MAO-B in Psychiatry and Neurology. Front. Pharmacol. 2016, 7, 340. [Google Scholar] [CrossRef]
  32. Baweja, G.S.; Gupta, S.; Kumar, B.; Patel, P.; Asati, V. Recent Updates on Structural Insights of MAO-B Inhibitors: A Review on Target-Based Approach. Mol. Divers. 2023, 28, 1823–1845. [Google Scholar] [CrossRef]
  33. Novaroli, L.; Reist, M.; Favre, E.; Carotti, A.; Catto, M.; Carrupt, P.A. Human Recombinant Monoamine Oxidase B as Reliable and Efficient Enzyme Source for Inhibitor Screening. Bioorg. Med. Chem. 2005, 13, 6212–6217. [Google Scholar] [CrossRef] [PubMed]
  34. Tan, Y.Y.; Jenner, P.; Chen, S. Di Monoamine Oxidase-B Inhibitors for the Treatment of Parkinson’s Disease: Past, Present, and Future. J. Park. Dis. 2022, 12, 477–493. [Google Scholar] [CrossRef]
  35. Evren, A.E.; Nuha, D.; Dawbaa, S.; Sağlık, B.N.; Yurttaş, L. Synthesis of Novel Thiazolyl Hydrazone Derivatives as Potent Dual Monoamine Oxidase-Aromatase Inhibitors. Eur. J. Med. Chem. 2022, 229, 114097. [Google Scholar] [CrossRef] [PubMed]
  36. Grychowska, K.; Olejarz-Maciej, A.; Blicharz, K.; Pietruś, W.; Karcz, T.; Kurczab, R.; Koczurkiewicz, P.; Doroz-Płonka, A.; Latacz, G.; Keeri, A.R.; et al. Overcoming Undesirable HERG Affinity by Incorporating Fluorine Atoms: A Case of MAO-B Inhibitors Derived from 1 H-Pyrrolo-[3,2-c]Quinolines. Eur. J. Med. Chem. 2022, 236, 114329. [Google Scholar] [CrossRef]
  37. Paolino, M.; Rullo, M.; Maramai, S.; de Candia, M.; Pisani, L.; Catto, M.; Mugnaini, C.; Brizzi, A.; Cappelli, A.; Olivucci, M.; et al. Design, Synthesis and Biological Evaluation of Light-Driven on–off Multitarget AChE and MAO-B Inhibitors. RSC Med. Chem. 2022, 13, 873–883. [Google Scholar] [CrossRef]
  38. Jin, C.F.; Wang, Z.Z.; Chen, K.Z.; Xu, T.F.; Hao, G.F. Computational Fragment-Based Design Facilitates Discovery of Potent and Selective Monoamine Oxidase-B (MAO-B) Inhibitor. J. Med. Chem. 2020, 63, 15021–15036. [Google Scholar] [CrossRef]
  39. Wang, Z.; Yi, C.; Chen, K.; Wang, T.; Deng, K.; Jin, C.; Hao, G. Enhancing Monoamine Oxidase B Inhibitory Activity via Chiral Fluorination: Structure-Activity Relationship, Biological Evaluation, and Molecular Docking Study. Eur. J. Med. Chem. 2022, 228, 114025. [Google Scholar] [CrossRef]
  40. Kong, H.; Meng, X.; Hou, R.; Yang, X.; Han, J.; Xie, Z.; Duan, Y.; Liao, C. Novel 1-(Prop-2-Yn-1-Ylamino)-2,3-Dihydro-1H-Indene-4-Thiol Derivatives as Potent Selective Human Monoamine Oxidase B Inhibitors: Design, SAR Development, and Biological Evaluation. Bioorg. Med. Chem. Lett. 2021, 43, 128051. [Google Scholar] [CrossRef]
  41. López-Echeverri, Y.P.; Cardona-Londoño, K.J.; Garcia-Aguirre, J.F.; Orrego-Cardozo, M. Effects of Serotonin Transporter and Receptor Polymorphisms on Depression. Rev. Colomb. Psiquiatr. (Engl. Ed.) 2023, 52, 130–138. [Google Scholar] [CrossRef]
  42. Haney, E.M.; Calarge, C.; Bliziotes, M.M. Clinical Implications of Serotonin Regulation of Bone Mass. In Translational Endocrinology of Bone: Reproduction, Metabolism, and the Central Nervous System; Elsevier: Amsterdam, The Netherlands, 2012; pp. 189–198. [Google Scholar] [CrossRef]
  43. Singh, I.; Seth, A.; Billesbølle, C.B.; Braz, J.; Rodriguiz, R.M.; Roy, K.; Bekele, B.; Craik, V.; Huang, X.P.; Boytsov, D.; et al. Structure-Based Discovery of Conformationally Selective Inhibitors of the Serotonin Transporter. Cell 2023, 186, 2160–2175.e17. [Google Scholar] [CrossRef]
  44. Politis, M.; Loane, C. Serotonergic Dysfunction in Parkinson’s Disease and Its Relevance to Disability. Sci. World J. 2011, 11, 1726–1734. [Google Scholar] [CrossRef] [PubMed]
  45. Sid-Otmane, L.; Huot, P.; Panisset, M. Effect of Antidepressants on Psychotic Symptoms in Parkinson Disease: A Review of Case Reports and Case Series. Clin. Neuropharmacol. 2020, 43, 61–65. [Google Scholar] [CrossRef] [PubMed]
  46. Manepalli, S.; Geffert, L.M.; Surratt, C.K.; Madura, J.D. Discovery of Novel Selective Serotonin Reuptake Inhibitors through Development of a Protein-Based Pharmacophore. J. Chem. Inf. Model. 2011, 51, 2417–2426. [Google Scholar] [CrossRef] [PubMed]
  47. Ye, N.; Qin, W.; Tian, S.; Xu, Q.; Wold, E.A.; Zhou, J.; Zhen, X.C. Small Molecules Selectively Targeting Sigma-1 Receptor for the Treatment of Neurological Diseases. J. Med. Chem. 2020, 63, 15187–15217. [Google Scholar] [CrossRef]
  48. Sorrentino, J.P.; Altman, R.A. Fluoroalkylation of Dextromethorphan Improves CNS Exposure and Metabolic Stability. ACS Med. Chem. Lett. 2022, 13, 707–713. [Google Scholar] [CrossRef]
  49. Zhang, C.; Wang, L.; Xu, Y.; Huang, Y.; Huang, J.; Zhu, J.; Wang, W.; Li, W.; Sun, A.; Li, X.; et al. Discovery of Novel Dual RAGE/SERT Inhibitors for the Potential Treatment of the Comorbidity of Alzheimer’s Disease and Depression. Eur. J. Med. Chem. 2022, 236, 114347. [Google Scholar] [CrossRef]
  50. Li, X.; Li, J.; Huang, Y.; Gong, Q.; Fu, Y.; Xu, Y.; Huang, J.; You, H.; Zhang, D.; Zhang, D.; et al. The Novel Therapeutic Strategy of Vilazodone-Donepezil Chimeras as Potent Triple-Target Ligands for the Potential Treatment of Alzheimer’s Disease with Comorbid Depression. Eur. J. Med. Chem. 2022, 229, 114045. [Google Scholar] [CrossRef]
  51. Kargbo, R.B. Ibogaine and Their Analogs as Therapeutics for Neurological and Psychiatric Disorders. ACS Med. Chem. Lett. 2022, 13, 888–890. [Google Scholar] [CrossRef]
  52. Yuan, S.; Yu, B.; Liu, H.M. New Drug Approvals for 2019: Synthesis and Clinical Applications. Eur. J. Med. Chem. 2020, 205, 112667. [Google Scholar] [CrossRef]
  53. Kverno, K. Dextromethorphan From Cough Suppressant to Antidepressant. J. Psychosoc. Nurs. Ment. Health Serv. 2022, 60, 9–11. [Google Scholar] [CrossRef]
  54. Fox, S.H.; Metman, L.V.; Nutt, J.G.; Brodsky, M.; Factor, S.A.; Lang, A.E.; Pope, L.E.; Knowles, N.; Siffert, J. Trial of Dextromethorphan/Quinidine to Treat Levodopa-Induced Dyskinesia in Parkinson’s Disease. Mov. Disord. 2017, 32, 893–903. [Google Scholar] [CrossRef] [PubMed]
  55. Nguyen, L.; Thomas, K.L.; Lucke-Wold, B.P.; Cavendish, J.Z.; Crowe, M.S.; Matsumoto, R.R. Dextromethorphan: An Update on Its Utility for Neurological and Neuropsychiatric Disorders. Pharmacol. Ther. 2016, 159, 1–22. [Google Scholar] [CrossRef] [PubMed]
  56. Khoury, R. Deuterated Dextromethorphan/Quinidine for Agitation in Alzheimer’s Disease. Neural Regen. Res. 2022, 17, 1013–1014. [Google Scholar] [CrossRef] [PubMed]
  57. Chen, C.Y.; Chung, C.H.; Chien, W.C.; Chen, H.C. The Association between Dextromethorphan Use and the Risk of Dementia. Am. J. Alzheimers Dis. Other Dement. 2022, 37, 153331752211249. [Google Scholar] [CrossRef]
  58. Popik, P.; Skolnick, P. Chapter 3 Pharmacology of Ibogaine And Ibogaine-Related Alkaloids. Alkaloids Chem. Biol. 1999, 52, 197–231. [Google Scholar] [CrossRef]
  59. Iyer, R.N.; Favela, D.; Zhang, G.; Olson, D.E. The Iboga Enigma: The Chemistry and Neuropharmacology of Iboga Alkaloids and Related Analogs. Nat. Prod. Rep. 2021, 38, 307–329. [Google Scholar] [CrossRef]
  60. Latif, S.; Jahangeer, M.; Maknoon Razia, D.; Ashiq, M.; Ghaffar, A.; Akram, M.; El Allam, A.; Bouyahya, A.; Garipova, L.; Ali Shariati, M.; et al. Dopamine in Parkinson’s Disease. Clin. Chim. Acta 2021, 522, 114–126. [Google Scholar] [CrossRef]
  61. Juza, R.; Musilek, K.; Mezeiova, E.; Soukup, O.; Korabecny, J. Recent Advances in Dopamine D2 Receptor Ligands in the Treatment of Neuropsychiatric Disorders. Med. Res. Rev. 2023, 43, 55–211. [Google Scholar] [CrossRef]
  62. Cacabelos, R. Parkinson’s Disease: From Pathogenesis to Pharmacogenomics. Int. J. Mol. Sci. 2017, 18, 551. [Google Scholar] [CrossRef]
  63. Suski, V.; Stacy, M. Dopamine Agonists. In Handbook Parkinson’s Disease, 5th ed.; Jaypee: New Delhi, India, 2013; pp. 414–429. [Google Scholar] [CrossRef]
  64. Ooba, N.; Yamaguchi, T.; Kubota, K. The Impact in Japan of Regulatory Action on Prescribing of Dopamine Receptor Agonists: Analysis of a Claims Database between 2005 and 2008. Drug Saf. 2011, 34, 329–338. [Google Scholar] [CrossRef]
  65. Isaacson, S.H.; Hauser, R.A.; Pahwa, R.; Gray, D.; Duvvuri, S. Dopamine Agonists in Parkinson’s Disease: Impact of D1-like or D2-like Dopamine Receptor Subtype Selectivity and Avenues for Future Treatment. Clin. Park. Relat. Disord. 2023, 9, 100212. [Google Scholar] [CrossRef] [PubMed]
  66. Park, H.; Urs, A.N.; Zimmerman, J.; Liu, C.; Wang, Q.; Urs, N.M. Structure-Functional-Selectivity Relationship Studies of Novel Apomorphine Analogs to Develop D1R/D2R Biased Ligands. ACS Med. Chem. Lett. 2020, 11, 385–392. [Google Scholar] [CrossRef] [PubMed]
  67. Yan, W.; Fan, L.; Yu, J.; Liu, R.; Wang, H.; Tan, L.; Wang, S.; Cheng, J. 2-Phenylcyclopropylmethylamine Derivatives as Dopamine D2Receptor Partial Agonists: Design, Synthesis, and Biological Evaluation. J. Med. Chem. 2021, 64, 17239–17258. [Google Scholar] [CrossRef]
  68. Tropmann, K.; Bresinsky, M.; Forster, L.; Mönnich, D.; Buschauer, A.; Wittmann, H.J.; Hübner, H.; Gmeiner, P.; Pockes, S.; Strasser, A. Abolishing Dopamine D2long/D3Receptor Affinity of Subtype-Selective Carbamoylguanidine-Type Histamine H2Receptor Agonists. J. Med. Chem. 2021, 64, 8684–8709. [Google Scholar] [CrossRef] [PubMed]
  69. Dinda, B.; Das, B.; Biswas, S.; Sharma, H.; Armstrong, C.; Yedlapudi, D.; Antonio, T.; Reith, M.; Dutta, A.K. Bivalent Dopamine Agonists with Co-Operative Binding and Functional Activities at Dopamine D2 Receptors, Modulate Aggregation and Toxicity of Alpha Synuclein Protein. Bioorg. Med. Chem. 2023, 78, 117131. [Google Scholar] [CrossRef]
  70. Qian, M.; Ricarte, A.; Wouters, E.; Dalton, J.A.R.; Risseeuw, M.D.P.; Giraldo, J.; Van Calenbergh, S. Discovery of a True Bivalent Dopamine D2 Receptor Agonist. Eur. J. Med. Chem. 2021, 212, 113151. [Google Scholar] [CrossRef]
  71. Zhong, Z.; He, X.; Ge, J.; Zhu, J.; Yao, C.; Cai, H.; Ye, X.Y.; Xie, T.; Bai, R. Discovery of Small-Molecule Compounds and Natural Products against Parkinson’s Disease: Pathological Mechanism and Structural Modification. Eur. J. Med. Chem. 2022, 237, 114378. [Google Scholar] [CrossRef]
  72. Gogoi, S.; Biswas, S.; Modi, G.; Antonio, T.; Reith, M.E.A.; Dutta, A.K. Novel Bivalent Ligands for D2/D3 Dopamine Receptors: Significant Cooperative Gain in D2 Affinity and Potency. ACS Med. Chem. Lett. 2012, 3, 991–996. [Google Scholar] [CrossRef]
  73. Eremin, D.V.; Kondaurova, E.M.; Rodnyy, A.Y.; Molobekova, C.A.; Kudlay, D.A.; Naumenko, V.S. Serotonin Receptors as a Potential Target in the Treatment of Alzheimer’s Disease. Biochemistry 2023, 88, 2023–2042. [Google Scholar] [CrossRef]
  74. Pytliak, M.; Vargová, V.; Mechírová, V.; Felšci, M. Serotonin Receptors—From Molecular Biology to Clinical Applications. Physiol. Res. 2011, 60, 15–25. [Google Scholar] [CrossRef]
  75. Żmudzka, E.; Sałaciak, K.; Sapa, J.; Pytka, K. Serotonin Receptors in Depression and Anxiety: Insights from Animal Studies. Life Sci. 2018, 210, 106–124. [Google Scholar] [CrossRef] [PubMed]
  76. Jaronczyk, M.; Walory, J. Novel Molecular Targets of Antidepressants. Molecules 2022, 27, 533. [Google Scholar] [CrossRef] [PubMed]
  77. Zagórska, A.; Bucki, A.; Partyka, A.; Jastrzębska-Więsek, M.; Siwek, A.; Głuch-Lutwin, M.; Mordyl, B.; Jaromin, A.; Walczak, M.; Wesołowska, A.; et al. Design, Synthesis, and Behavioral Evaluation of Dual-Acting Compounds as Phosphodiesterase Type 10A (PDE10A) Inhibitors and Serotonin Ligands Targeting Neuropsychiatric Symptoms in Dementia. Eur. J. Med. Chem. 2022, 233, 114218. [Google Scholar] [CrossRef] [PubMed]
  78. Tan, X.; Jiang, X.; He, Y.; Zhong, F.; Li, X.; Xiong, Z.; Li, Z.; Liu, X.; Cui, C.; Zhao, Q.; et al. Automated Design and Optimization of Multitarget Schizophrenia Drug Candidates by Deep Learning. Eur. J. Med. Chem. 2020, 204, 112572. [Google Scholar] [CrossRef]
  79. Shi, W.; Wang, Y.; Wu, C.; Yang, F.; Zheng, W.; Wu, S.; Liu, Y.; Wang, Z.; He, Y.; Shen, J. Synthesis and Biological Investigation of Triazolopyridinone Derivatives as Potential Multireceptor Atypical Antipsychotics. Bioorg. Med. Chem. Lett. 2020, 30, 127027. [Google Scholar] [CrossRef]
  80. Schrödinger. Release 2024-2: Maestro; Schrödinger, LLC: New York, NY, USA, 2024. [Google Scholar]
  81. Schrödinger. Release 2024-2: Protein Preparation Wizard; Epik, Schrödinger, LLC: New York, NY, USA; Impact, Schrödinger, LLC: New York, NY, USA; Prime, Schrödinger, LLC: New York, NY, USA, 2024. [Google Scholar]
  82. Madhavi Sastry, G.; Adzhigirey, M.; Day, T.; Annabhimoju, R.; Sherman, W. Protein and Ligand Preparation: Parameters, Protocols, and Influence on Virtual Screening Enrichments. J. Comput. Aided Mol. Des. 2013, 27, 221–234. [Google Scholar] [CrossRef]
  83. Schrödinger. Release 2024-2: LigPrep; Schrödinger, LLC: New York, NY, USA, 2024. [Google Scholar]
  84. Schrödinger. Release 2024-2: Phase; Schrödinger, LLC: New York, NY, USA, 2024. [Google Scholar]
  85. Singh, S.; Gupta, H.; Sharma, P.; Sahi, S. Advances in Artificial Intelligence (AI)-Assisted Approaches in Drug Screening. Artif. Intell. Chem. 2024, 2, 100039. [Google Scholar] [CrossRef]
  86. Cichońska, A.; Ravikumar, B.; Rahman, R. AI for Targeted Polypharmacology: The next Frontier in Drug Discovery. Curr. Opin. Struct. Biol. 2024, 84, 102771. [Google Scholar] [CrossRef]
  87. Singh, N.; Vayer, P.; Tanwar, S.; Poyet, J.-L.; Tsaioun, K.; Villoutreix, B.O. Drug Discovery and Development: Introduction to the General Public and Patient Groups. Front. Drug Discov. 2023, 3, 1201419. [Google Scholar] [CrossRef]
  88. Berdigaliyev, N.; Aljofan, M. An Overview of Drug Discovery and Development. Future Med. Chem. 2020, 12, 939–947. [Google Scholar] [CrossRef]
Figure 1. Safinamide (purple) complexed with MAO-B (gray) with, superimposed, the proposed pharmacophore model (balls and toruses). Dashed lines denote hydrogen bonds (yellow). Balls denote hydrogen bond donor feature (D, blue, arrow indicates bond direction) and hydrophobic feature (H, green), and toruses denote aromatic features (R, orange). Blue spheres denote excluded volumes. On the left, the flavin adenine dinucleotide (FAD) structure is visible (green).
Figure 1. Safinamide (purple) complexed with MAO-B (gray) with, superimposed, the proposed pharmacophore model (balls and toruses). Dashed lines denote hydrogen bonds (yellow). Balls denote hydrogen bond donor feature (D, blue, arrow indicates bond direction) and hydrophobic feature (H, green), and toruses denote aromatic features (R, orange). Blue spheres denote excluded volumes. On the left, the flavin adenine dinucleotide (FAD) structure is visible (green).
Ijms 25 10652 g001
Figure 2. Proposed MAO-B pharmacophore model derived from the 2V5Z structure (balls and toruses). Balls denote hydrogen bond donor feature (D, blue, arrow indicates bond direction) and hydrophobic feature (H, green), and toruses denote aromatic features (R, orange). Dashed purple lines denote distances between features, with measurements in Å written beside them. Blue spheres denote excluded volumes.
Figure 2. Proposed MAO-B pharmacophore model derived from the 2V5Z structure (balls and toruses). Balls denote hydrogen bond donor feature (D, blue, arrow indicates bond direction) and hydrophobic feature (H, green), and toruses denote aromatic features (R, orange). Dashed purple lines denote distances between features, with measurements in Å written beside them. Blue spheres denote excluded volumes.
Ijms 25 10652 g002
Figure 3. Model of a serotonergic synapse. SERT facilitates serotonin (5-HT, orange spheres) reuptake. Adapted from [42].
Figure 3. Model of a serotonergic synapse. SERT facilitates serotonin (5-HT, orange spheres) reuptake. Adapted from [42].
Ijms 25 10652 g003
Figure 4. Sertraline (purple) complexed with SERT (gray) superimposed with the proposed pharmacophore model (balls and torus). Dashed lines denote hydrogen bond (yellow) and π-cation interaction (green). Balls denote positive ionic feature (P, blue), hydrophobic feature (H, green) and torus denotes aromatic feature (R, orange). Blue spheres denote excluded volumes.
Figure 4. Sertraline (purple) complexed with SERT (gray) superimposed with the proposed pharmacophore model (balls and torus). Dashed lines denote hydrogen bond (yellow) and π-cation interaction (green). Balls denote positive ionic feature (P, blue), hydrophobic feature (H, green) and torus denotes aromatic feature (R, orange). Blue spheres denote excluded volumes.
Ijms 25 10652 g004
Figure 5. Proposed SERT pharmacophore model derived from the 6AWO structure (balls and torus). Balls denote positive ionic feature (P, blue) and hydrophobic feature (H, green), and torus denotes aromatic feature (R, orange). Dashed purple lines denote distances between features, with measurements in Å written beside them. Blue spheres denote excluded volumes.
Figure 5. Proposed SERT pharmacophore model derived from the 6AWO structure (balls and torus). Balls denote positive ionic feature (P, blue) and hydrophobic feature (H, green), and torus denotes aromatic feature (R, orange). Dashed purple lines denote distances between features, with measurements in Å written beside them. Blue spheres denote excluded volumes.
Ijms 25 10652 g005
Figure 6. Rotigotine (purple) complexed with D2R (gray) with, superimposed, the proposed pharmacophore model (balls and toruses). Dashed lines denote hydrogen bond (yellow), salt bridge (red), π-π stacking (blue), and π-cation interaction (green). Balls denote positive ionic feature (P, blue) and hydrophobic features (H, green), and toruses denote aromatic features (R, orange). Blue spheres denote excluded volumes.
Figure 6. Rotigotine (purple) complexed with D2R (gray) with, superimposed, the proposed pharmacophore model (balls and toruses). Dashed lines denote hydrogen bond (yellow), salt bridge (red), π-π stacking (blue), and π-cation interaction (green). Balls denote positive ionic feature (P, blue) and hydrophobic features (H, green), and toruses denote aromatic features (R, orange). Blue spheres denote excluded volumes.
Ijms 25 10652 g006
Figure 7. Proposed D2R pharmacophore model derived from the 8IRS structure (balls and toruses). Balls denote positive ionic feature (P, blue) and hydrophobic features (H, green), and toruses denote aromatic features (R, orange). Dashed purple lines denote distances between features, with measurements in Å written beside them. Blue spheres denote excluded volumes.
Figure 7. Proposed D2R pharmacophore model derived from the 8IRS structure (balls and toruses). Balls denote positive ionic feature (P, blue) and hydrophobic features (H, green), and toruses denote aromatic features (R, orange). Dashed purple lines denote distances between features, with measurements in Å written beside them. Blue spheres denote excluded volumes.
Ijms 25 10652 g007
Figure 8. Serotonin (purple) complexed with 5-HT1AR (gray) with, superimposed, the proposed pharmacophore model (ball and toruses). Dashed lines denote hydrogen bond (yellow), salt bridge (red) and π-π stacking interactions (blue). Ball denotes positive ionic feature (P, blue) and toruses denote aromatic features (R, orange). Blue spheres denote excluded volumes.
Figure 8. Serotonin (purple) complexed with 5-HT1AR (gray) with, superimposed, the proposed pharmacophore model (ball and toruses). Dashed lines denote hydrogen bond (yellow), salt bridge (red) and π-π stacking interactions (blue). Ball denotes positive ionic feature (P, blue) and toruses denote aromatic features (R, orange). Blue spheres denote excluded volumes.
Ijms 25 10652 g008
Figure 9. Proposed 5-HT1AR pharmacophore model derived from the 7E2Y structure (ball and toruses). Ball denotes positive ionic feature (P, blue) and toruses denote aromatic features (R, orange). Purple dashed lines denote distances between features, with measurements in Å written beside them. Blue spheres denote excluded volumes.
Figure 9. Proposed 5-HT1AR pharmacophore model derived from the 7E2Y structure (ball and toruses). Ball denotes positive ionic feature (P, blue) and toruses denote aromatic features (R, orange). Purple dashed lines denote distances between features, with measurements in Å written beside them. Blue spheres denote excluded volumes.
Ijms 25 10652 g009
Figure 10. (a) Alignment of four proposed pharmacophore models (MAO-B, SERT, 5-HT1AR, D2R) used in this review (balls and toruses). (b) Balls denote positive ionic features (P, blue) and hydrophobic features (H, green), and toruses denote aromatic features (R, orange). The origin of each of the features has been described in capital letters.
Figure 10. (a) Alignment of four proposed pharmacophore models (MAO-B, SERT, 5-HT1AR, D2R) used in this review (balls and toruses). (b) Balls denote positive ionic features (P, blue) and hydrophobic features (H, green), and toruses denote aromatic features (R, orange). The origin of each of the features has been described in capital letters.
Ijms 25 10652 g010
Figure 11. Averaged pharmacophore model based on the previously aligned models (balls and toruses). Balls denote positive ionic features (blue) and hydrophobic features (green), and toruses denote aromatic features (orange). Glowing spheres denote the averaged model’s features: positive ionic feature (P, blue), hydrophobic feature (H, green), hydrophobic or aromatic feature (H/R, green-orange gradient) and aromatic features (R, orange).
Figure 11. Averaged pharmacophore model based on the previously aligned models (balls and toruses). Balls denote positive ionic features (blue) and hydrophobic features (green), and toruses denote aromatic features (orange). Glowing spheres denote the averaged model’s features: positive ionic feature (P, blue), hydrophobic feature (H, green), hydrophobic or aromatic feature (H/R, green-orange gradient) and aromatic features (R, orange).
Ijms 25 10652 g011
Table 1. Biological targets and their Protein Data Bank (PDB) entries used to develop the pharmacophore models.
Table 1. Biological targets and their Protein Data Bank (PDB) entries used to develop the pharmacophore models.
Biological Target 1PDB ID 2Ligand 3Ligand Type 4
MAO-B2V5Z [27]SafinamideAntagonist
SERT6AWO [28]SertralineAntagonist
D2R8IRS [29]RotigotineAgonist
5-HT1AR7E2Y [30]SerotoninEndogenous agonist
1 Targets include monoamine oxidase B (MAO-B), sodium-dependent serotonin transporter (SERT), dopamine D2 receptor (D2R), and serotonin 1A receptor (5-HT1AR). 2 PDB Identification Code (PDB ID) denotes a unique code under each molecular model deposited in the PDB. 3 Ligand denotes a small molecule bound to the target’s binding pocket. 4 Ligand type denotes the pharmacological type of the bound ligand.
Table 2. Overview of currently utilized MAO-B inhibitors.
Table 2. Overview of currently utilized MAO-B inhibitors.
Compound 1ChEMBL ID 2StructureMAO-B
IC50 [nM] 3
SelegilineCHEMBL972Ijms 25 10652 i00136.0 [35]
RasagilineCHEMBL887Ijms 25 10652 i00215.4 [36]
SafinamideCHEMBL396778Ijms 25 10652 i00329.0 [37]
1 MAO-B inhibitors: selegiline, rasagiline, and safinamide, including 2 their unique ChEMBL database Identification Code (ChEMBL ID) and 3 half maximal inhibitory concentration (IC50), respectively.
Table 3. Distances (in Å) between the proposed MAO-B pharmacophore model features.
Table 3. Distances (in Å) between the proposed MAO-B pharmacophore model features.
Pharmacophore FeaturesD4H5R7R8
R85.147.506.38
R710.942.76
H512.51
D4
Table 4. MAO-B pharmacophore screening results, including up to 10 hit molecules, excluding well-established medicines and pharmacological tools.
Table 4. MAO-B pharmacophore screening results, including up to 10 hit molecules, excluding well-established medicines and pharmacological tools.
CompoundChEMBL IDStructurePhaseScreenScoreMAO-B IC50 [nM]
M1CHEMBL4749026 Ijms 25 10652 i0042.20331426.0 [38]
M2CHEMBL4792241 Ijms 25 10652 i0052.05177646.0 [38]
M3CHEMBL4747396 Ijms 25 10652 i0062.05177621.0 [38]
SafinamideCHEMBL396778 Ijms 25 10652 i0072.04895825.0 [38]
M4CHEMBL4750661 Ijms 25 10652 i0081.94137428.0 [38]
M5CHEMBL4763805 Ijms 25 10652 i0091.92399935.0 [38]
M6CHEMBL5077617 Ijms 25 10652 i0101.85774430.0 [39]
M7CHEMBL4752402 Ijms 25 10652 i0111.79913569.0 [38]
M8CHEMBL5083414 Ijms 25 10652 i0121.71559019.0 [39]
M9CHEMBL4743831 Ijms 25 10652 i0131.70842061.0 [38]
M10CHEMBL4860050 Ijms 25 10652 i0141.5694624.7 [40]
Table 5. Well-known SERT inhibitors and their inhibitory potencies. The SERT inhibition values were obtained from [26].
Table 5. Well-known SERT inhibitors and their inhibitory potencies. The SERT inhibition values were obtained from [26].
Drug ClassCompoundStructureSERT IC50 [nM]
SSRI 1ParoxetineIjms 25 10652 i0150.56
SSRIFluoxetineIjms 25 10652 i01612.6
SSRISertralineIjms 25 10652 i0170.19
SSRICitalopramIjms 25 10652 i0185.81
SSRIFluvoxamineIjms 25 10652 i0193.8
TCA 2ClomipramineIjms 25 10652 i02070.0
TCAImipramineIjms 25 10652 i02129.0
TCAAmitriptylineIjms 25 10652 i0221.661
SNRI 3VenlafaxineIjms 25 10652 i02320.0
SARI 4TrazodoneIjms 25 10652 i024192.0
1 Selective serotonin reuptake inhibitor (SSRI). 2 Tricyclic antidepressant (TCA). 3 Serotonin–norepinephrine reuptake inhibitor (SNRI). 4 Serotonin antagonist and reuptake inhibitor (SARI).
Table 6. Distances (in Å) between the proposed SERT pharmacophore model features.
Table 6. Distances (in Å) between the proposed SERT pharmacophore model features.
Pharmacophore FeaturesH1P2R3
R32.503.77
P22.81
H1
Table 7. SERT pharmacophore screening results, including all the output molecules, since the screening results contain less than 10 hit molecules.
Table 7. SERT pharmacophore screening results, including all the output molecules, since the screening results contain less than 10 hit molecules.
CompoundChEMBL IDStructurePhaseScreenScoreSERT IC50 [nM]
SertralineCHEMBL809Ijms 25 10652 i0251.9630060.19 [47]
DextromethorphanCHEMBL206132 Ijms 25 10652 i0261.36885456.0 [48]
ImipramineCHEMBL11 Ijms 25 10652 i0271.28424829.0 [47]
S1CHEMBL5175011 Ijms 25 10652 i0281.1995857.47 [49]
S2CHEMBL5086545 Ijms 25 10652 i0290.92485960.0 [48]
S3CHEMBL5081803 Ijms 25 10652 i0300.92485924.0 [48]
S4CHEMBL5093316 Ijms 25 10652 i0310.92485955.0 [48]
S5CHEMBL5078388 Ijms 25 10652 i0320.92485931.0 [48]
CitalopramCHEMBL549 Ijms 25 10652 i0330.7517495.81 [50]
S6CHEMBL5207764 Ijms 25 10652 i0340.58401559.0 [51]
S7CHEMBL5188930 Ijms 25 10652 i0350.5840155.1 [51]
S8CHEMBL5201219 Ijms 25 10652 i0360.58401580.0 [51]
S9CHEMBL5175119 Ijms 25 10652 i0370.58313426.0 [51]
LumateperoneCHEMBL3306803 Ijms 25 10652 i0380.4901473.3 [52]
Table 8. Notable compounds explored in the dual receptor for advanced glycation end products (RAGE)/SERT inhibitors study [49].
Table 8. Notable compounds explored in the dual receptor for advanced glycation end products (RAGE)/SERT inhibitors study [49].
CompoundChEMBL IDStructureRAGE IC50 [nM]SERT IC50 [nM]
AzeliragonCHEMBL3989929Ijms 25 10652 i03913,470>3000
VilazodoneCHEMBL439849Ijms 25 10652 i040>200,0000.40
S1CHEMBL5175011Ijms 25 10652 i0418290.0 7.47
S10CHEMBL5188606Ijms 25 10652 i04212,920.0 65.58
S11CHEMBL5192104Ijms 25 10652 i04314,270 67.83
S12CHEMBL5203206Ijms 25 10652 i0448260 31.09
S13CHEMBL5191418Ijms 25 10652 i0453490 4.40
S14CHEMBL5208902Ijms 25 10652 i04612,490 7.77
S15CHEMBL5175011Ijms 25 10652 i0478290 7.47
S16CHEMBL5194592Ijms 25 10652 i0484040 57.73
S17CHEMBL5180815Ijms 25 10652 i0496030 15.05
Table 9. Notable compounds explored in the fluoroalkylation of dextromethorphan study [48].
Table 9. Notable compounds explored in the fluoroalkylation of dextromethorphan study [48].
CompoundChEMBL IDStructureσ1 Ki 1 [nM]σ2 Ki [nM]NMDA Ki [nM]SERT IC50 [nM]
DextromethorphanCHEMBL206132 Ijms 25 10652 i0507386262456.0
AVP-786CHEMBL5078675Ijms 25 10652 i051n.t. 2n.t.n.t.n.t.
S2CHEMBL5086545 Ijms 25 10652 i052813885>10,00060.0
S3CHEMBL5081803 Ijms 25 10652 i053145353>10,00024.0
S4CHEMBL5093316 Ijms 25 10652 i0545681281>10,00055.0
S5CHEMBL5078388 Ijms 25 10652 i055757833>10,00031.0
1 Inhibition constant (Ki). 2 Not tested (n.t.).
Table 10. Notable compounds described in the patent for ibogaine and its analogues [51].
Table 10. Notable compounds described in the patent for ibogaine and its analogues [51].
CompoundChEMBL IDStructureVMAT2 IC50 [nM]SERT IC50 [nM]
IbogaineCHEMBL1215855Ijms 25 10652 i0564000.0500.0 [51]
NoribogaineCHEMBL5202868 Ijms 25 10652 i057570.0280.0 [51]
S6CHEMBL5207764 Ijms 25 10652 i058170.059.0 [51]
S7CHEMBL5188930 Ijms 25 10652 i059440.05.1 [51]
S8CHEMBL5201219 Ijms 25 10652 i0601500.080.0 [51]
S9CHEMBL5175119 Ijms 25 10652 i0613300.026.0 [51]
Table 11. D2-like receptor agonists indexed in ChEMBL.
Table 11. D2-like receptor agonists indexed in ChEMBL.
CompoundStructureD2R EC50 1 [nM]
RotigotineIjms 25 10652 i062121.6
ApomorphineIjms 25 10652 i0631542.7
PramipexoleIjms 25 10652 i06414000.1
RopiniroleIjms 25 10652 i0657999.4
BromocriptineIjms 25 10652 i06627.8
1 Half maximal effective concentration (EC50).
Table 12. Distances (in Å) between the proposed D2R pharmacophore model features.
Table 12. Distances (in Å) between the proposed D2R pharmacophore model features.
Pharmacophore FeaturesH3H4P5R6R7
R72.507.125.239.61
R67.137.405.13
P52.953.90
H45.78
H3
Table 13. D2R pharmacophore screening results, including up to 10 hit molecules, excluding well-established medicines and pharmacological tools.
Table 13. D2R pharmacophore screening results, including up to 10 hit molecules, excluding well-established medicines and pharmacological tools.
CompoundChEMBL IDStructurePhaseScreenScoreD2R EC50 [nM]
Propylnor-
apomorphine
CHEMBL225230 Ijms 25 10652 i0672.1487151.175 [66]
QuinpiroleCHEMBL240773 Ijms 25 10652 i0682.1351241.18 [67]
PramipexoleCHEMBL301265 Ijms 25 10652 i0692.1022996.457 [68]
P1 (5-OH-DPAT)CHEMBL273273 Ijms 25 10652 i0702.08077941.0 [69]
P2CHEMBL4781480 Ijms 25 10652 i0712.0320883.4 [70]
P3CHEMBL4470553 Ijms 25 10652 i0722.0163137.7 [66]
P4CHEMBL5267221 Ijms 25 10652 i0731.99074913.4 [69]
P5CHEMBL4555547 Ijms 25 10652 i0741.9165070.373 [66]
P6CHEMBL458088 Ijms 25 10652 i0751.8190429.98 [71]
P7CHEMBL5266134 Ijms 25 10652 i0761.80199734.37 [69]
P8CHEMBL4846101 Ijms 25 10652 i0771.79817653.5 [67]
P9CHEMBL4875081 Ijms 25 10652 i0781.7653443.41 [67]
P10CHEMBL4846472 Ijms 25 10652 i0791.7653442.63 [67]
Table 14. Distances (in Å) between the proposed 5-HT1AR pharmacophore model features.
Table 14. Distances (in Å) between the proposed 5-HT1AR pharmacophore model features.
Pharmacophore FeaturesP6R7R8
R86.192.17
R74.95
P6
Table 15. 5-HT1AR pharmacophore screening results, including up to 10 hit molecules, excluding well-established medicines and pharmacological tools.
Table 15. 5-HT1AR pharmacophore screening results, including up to 10 hit molecules, excluding well-established medicines and pharmacological tools.
CompoundChEMBL IDStructurePhaseScreenScore5-HT1A EC50 [nM]
SerotoninCHEMBL39 Ijms 25 10652 i0802.89010.0 [77]
H1CHEMBL4751542 Ijms 25 10652 i0812.1030.7943 [78]
H2CHEMBL4633397 Ijms 25 10652 i0822.0300.1 [79]
H3CHEMBL4638599 Ijms 25 10652 i0832.0201.7 [79]
H4CHEMBL4636321Ijms 25 10652 i0842.01012.1 [79]
H5CHEMBL4644391 Ijms 25 10652 i0851.9989.7 [79]
H6CHEMBL4648979 Ijms 25 10652 i0861.9985.9 [79]
H7CHEMBL4638430 Ijms 25 10652 i0871.9971.4 [79]
H8CHEMBL4644742 Ijms 25 10652 i0881.99720.2 [79]
H9CHEMBL4635890 Ijms 25 10652 i0891.8742.8 [79]
H10CHEMBL5079986 Ijms 25 10652 i0901.7909.0 [50]
Table 16. Two most potent 5-HT1AR agonists from a multitarget schizophrenia drug study [78].
Table 16. Two most potent 5-HT1AR agonists from a multitarget schizophrenia drug study [78].
CompoundChEMBL IDStructureD2 IC50 [nM]5-HT2A IC50
[nM]
5-HT1A EC50 [nM]
H1CHEMBL4751542Ijms 25 10652 i09167.612.8180.7943
H11CHEMBL4741908Ijms 25 10652 i092216.01.640.51
Disclaimer/Publisher’s Note: The statements, opinions and data contained in all publications are solely those of the individual author(s) and contributor(s) and not of MDPI and/or the editor(s). MDPI and/or the editor(s) disclaim responsibility for any injury to people or property resulting from any ideas, methods, instructions or products referred to in the content.

Share and Cite

MDPI and ACS Style

Gajda, Z.; Hawrylak, M.; Handzlik, J.; Kuder, K.J. Perry Disease: Current Outlook and Advances in Drug Discovery Approach to Symptomatic Treatment. Int. J. Mol. Sci. 2024, 25, 10652. https://doi.org/10.3390/ijms251910652

AMA Style

Gajda Z, Hawrylak M, Handzlik J, Kuder KJ. Perry Disease: Current Outlook and Advances in Drug Discovery Approach to Symptomatic Treatment. International Journal of Molecular Sciences. 2024; 25(19):10652. https://doi.org/10.3390/ijms251910652

Chicago/Turabian Style

Gajda, Zbigniew, Magdalena Hawrylak, Jadwiga Handzlik, and Kamil J. Kuder. 2024. "Perry Disease: Current Outlook and Advances in Drug Discovery Approach to Symptomatic Treatment" International Journal of Molecular Sciences 25, no. 19: 10652. https://doi.org/10.3390/ijms251910652

APA Style

Gajda, Z., Hawrylak, M., Handzlik, J., & Kuder, K. J. (2024). Perry Disease: Current Outlook and Advances in Drug Discovery Approach to Symptomatic Treatment. International Journal of Molecular Sciences, 25(19), 10652. https://doi.org/10.3390/ijms251910652

Note that from the first issue of 2016, this journal uses article numbers instead of page numbers. See further details here.

Article Metrics

Back to TopTop