Fungicide-Loaded Liposomes for the Treatment of Fungal Diseases in Agriculture: An Assessment of Botrytis cinerea
Abstract
1. Introduction
2. Results and Discussion
2.1. Liposome Preparation and Characterization
2.2. Liposome Stability
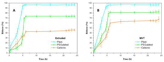
2.3. Release Behaviors of FLUD-Loaded Liposomes
2.4. Antifungal Activity
3. Materials and Methods
3.1. Materials
3.2. Liposome Preparation
3.3. Liposome Characterization
3.4. Liposome Stability
3.5. Fludioxonil Release Experiment
3.6. Biological Assays
3.6.1. Media
3.6.2. Fungal Inhibition Assays
3.6.3. Statistics
4. Conclusions
Author Contributions
Funding
Institutional Review Board Statement
Informed Consent Statement
Data Availability Statement
Acknowledgments
Conflicts of Interest
References
- Neme, K.; Nafady, A.; Uddin, S.; Tola, Y.B. Application of nanotechnology in agriculture, postharvest loss reduction and food processing: Food security implication and challenges. Heliyon 2021, 7, e08539. [Google Scholar] [CrossRef] [PubMed]
- Prasad, R.; Bhattacharyya, A.; Nguyen, Q.D. Nanotechnology in Sustainable Agriculture: Recent Developments, Challenges, and Perspectives. Front. Microbiol. 2017, 8, 1014. [Google Scholar] [CrossRef] [PubMed]
- Liu, C.; Zhou, H.; Zhou, J. The Applications of Nanotechnology in Crop Production. Molecules 2021, 26, 7070. [Google Scholar] [CrossRef] [PubMed]
- Fu, L.; Wang, Z.; Dhankher, O.P.; Xing, B. Nanotechnology as a new sustainable approach for controlling crop diseases and increasing agricultural production. J. Exp. Bot. 2019, 71, 507–519. [Google Scholar] [CrossRef] [PubMed]
- Chhipa, H. Chapter 6—Applications of nanotechnology in agriculture. In Methods in Microbiology; Gurtler, V., Ball, A.S., Soni, S., Eds.; Academic Press: Cambridge, MA, USA, 2019; Volume 46, pp. 115–142. [Google Scholar]
- Rajput, V.D.; Singh, A.; Minkina, T.; Rawat, S.; Mandzhieva, S.; Sushkova, S.; Shuvaeva, V.; Nazarenko, O.; Rajput, P.; Komariah; et al. Nano-Enabled Products: Challenges and Opportunities for Sustainable Agriculture. Plants 2021, 10, 2727. [Google Scholar] [CrossRef] [PubMed]
- Worrall, E.A.; Hamid, A.; Mody, K.T.; Mitter, N.; Pappu, H.R. Nanotechnology for Plant Disease Management. Agronomy 2018, 8, 285. [Google Scholar] [CrossRef]
- Machado, T.O.; Grabow, J.; Sayer, C.; de Araújo, P.H.H.; Ehrenhard, M.L.; Wurm, F.R. Biopolymer-based nanocarriers for sustained release of agrochemicals: A review on materials and social science perspectives for a sustainable future of agri- and horticulture. Adv. Colloid Interface Sci. 2022, 303, 102645. [Google Scholar] [CrossRef] [PubMed]
- Beckers, S.J.; Wetherbee, L.; Fischer, J.; Wurm, F.R. Fungicide-loaded and biodegradable xylan-based nanocarriers. Biopolymers 2020, 111, e23413. [Google Scholar] [CrossRef] [PubMed]
- Machado, T.O.; Beckers, S.J.; Fischer, J.; Müller, B.; Sayer, C.; de Araújo, P.H.H.; Landfester, K.; Wurm, F.R. Bio-Based Lignin Nanocarriers Loaded with Fungicides as a Versatile Platform for Drug Delivery in Plants. Biomacromolecules 2020, 21, 2755–2763. [Google Scholar] [CrossRef]
- Beckers, S.J.; Fischer, J.; Wurm, F.R. Synthetic lignin-like and degradable nanocarriers. Polym. Chem. 2021, 12, 4661–4667. [Google Scholar] [CrossRef]
- Chamundeeswari, M.; Jeslin, J.; Verma, M.L. Nanocarriers for drug delivery applications. Environ. Chem. Lett. 2019, 17, 849–865. [Google Scholar] [CrossRef]
- Guimarães, D.; Cavaco-Paulo, A.; Nogueira, E. Design of liposomes as drug delivery system for therapeutic applications. Int. J. Pharm. 2021, 601, 120571. [Google Scholar] [CrossRef] [PubMed]
- Sheikholeslami, B.; Lam, N.W.; Dua, K.; Haghi, M. Exploring the impact of physicochemical properties of liposomal formulations on their in vivo fate. Life Sci. 2022, 300, 120574. [Google Scholar] [CrossRef] [PubMed]
- De Leo, V.; Maurelli, A.M.; Giotta, L.; Daniello, V.; Di Gioia, S.; Conese, M.; Ingrosso, C.; Ciriaco, F.; Catucci, L. Polymer Encapsulated Liposomes for Oral Co-Delivery of Curcumin and Hydroxytyrosol. Int. J. Mol. Sci. 2023, 24, 790. [Google Scholar] [CrossRef] [PubMed]
- Karny, A.; Zinger, A.; Kajal, A.; Shainsky-Roitman, J.; Schroeder, A. Therapeutic nanoparticles penetrate leaves and deliver nutrients to agricultural crops. Sci. Rep. 2018, 8, 7589. [Google Scholar] [CrossRef] [PubMed]
- Williamson, B.; Tudzynski, B.; Tudzynski, P.; Van Kan, J.A.L. Botrytis cinerea: The cause of grey mould disease. Mol. Plant Pathol. 2007, 8, 561–580. [Google Scholar] [CrossRef] [PubMed]
- Elad, Y.; Williamson, B.; Tudzynski, P.; Delen, N. Botrytis spp. and Diseases They Cause in Agricultural Systems—An Introduction. In Botrytis: Biology, Pathology and Control; Elad, Y., Williamson, B., Tudzynski, P., Delen, N., Eds.; Springer: Dordrecht, The Netherlands, 2007; pp. 1–8. [Google Scholar]
- Hua, L.; Yong, C.; Zhanquan, Z.; Boqiang, L.; Guozheng, Q.; Shiping, T. Pathogenic mechanisms and control strategies of Botrytis cinerea causing post-harvest decay in fruits and vegetables. Food Qual. Saf. 2018, 2, 111–119. [Google Scholar] [CrossRef]
- Rosslenbroich, H.-J.; Stuebler, D. Botrytis cinerea—History of chemical control and novel fungicides for its management. Crop Prot. 2000, 19, 557–561. [Google Scholar] [CrossRef]
- De Miccolis Angelini, R.M.; Rotolo, C.; Masiello, M.; Gerin, D.; Pollastro, S.; Faretra, F. Occurrence of fungicide resistance in populations of Botryotinia fuckeliana (Botrytis cinerea) on table grape and strawberry in southern Italy. Pest Manag. Sci. 2014, 70, 1785–1796. [Google Scholar] [CrossRef]
- De Miccolis Angelini, R.M.; Pollastro, S.; Faretra, F. Genetics of Fungicide Resistance. In Fungicide Resistance in Plant Pathogens: Principles and a Guide to Practical Management; Ishii, H., Hollomon, D.W., Eds.; Springer: Tokyo, Japan, 2015; pp. 13–34. [Google Scholar]
- Fillinger, S.; Elad, Y. (Eds.) Botrytis—The Fungus, the Pathogen and Its Management in Agricultural Systems; Springer: Cham, Switzerland, 2016. [Google Scholar]
- Lombardo, D.; Kiselev, M.A. Methods of Liposomes Preparation: Formation and Control Factors of Versatile Nanocarriers for Biomedical and Nanomedicine Application. Pharmaceutics 2022, 14, 543. [Google Scholar] [CrossRef]
- Ilk, S.; Saglam, N.; Özgen, M. Kaempferol loaded lecithin/chitosan nanoparticles: Preparation, characterization, and their potential applications as a sustainable antifungal agent. Artif. Cells Nanomed. Biotechnol. 2017, 45, 907–916. [Google Scholar] [CrossRef]
- Mastrogiacomo, D.; Lenucci, M.S.; Bonfrate, V.; Di Carolo, M.; Piro, G.; Valli, L.; Rescio, L.; Milano, F.; Comparelli, R.; De Leo, V.; et al. Lipid/detergent mixed micelles as a tool for transferring antioxidant power from hydrophobic natural extracts into bio-deliverable liposome carriers: The case of lycopene rich oleoresins. RSC Adv. 2015, 5, 3081–3093. [Google Scholar] [CrossRef]
- Frenzel, M.; Steffen-Heins, A. Impact of quercetin and fish oil encapsulation on bilayer membrane and oxidation stability of liposomes. Food Chem. 2015, 185, 48–57. [Google Scholar] [CrossRef]
- Sułkowski, W.W.; Pentak, D.; Nowak, K.; Sułkowska, A. The influence of temperature, cholesterol content and pH on liposome stability. J. Mol. Struct. 2005, 744–747, 737–747. [Google Scholar] [CrossRef]
- Nagayasu, A.; Shimooka, T.; Kiwada, H. Effect of Vesicle Size on in Vivo Release of Daunorubicin from Hydrogenated Egg Phosphatidylcholine-Based Liposomes into Blood Circulation. Biol. Pharm. Bull. 1995, 18, 1020–1023. [Google Scholar] [CrossRef] [PubMed]
- Yanagihara, S.; Kitayama, Y.; Yuba, E.; Harada, A. Preparing Size-Controlled Liposomes Modified with Polysaccharide Derivatives for pH-Responsive Drug Delivery Applications. Life 2023, 13, 2158. [Google Scholar] [CrossRef]
- Jin, J.; Han, Y.; Zhang, C.; Liu, J.; Jiang, W.; Yin, J.; Liang, H. Effect of grafted PEG chain conformation on albumin and lysozyme adsorption: A combined study using QCM-D and DPI. Colloids Surf. B Biointerfaces 2015, 136, 838–844. [Google Scholar] [CrossRef]
- Piazzini, V.; Landucci, E.; Graverini, G.; Pellegrini-Giampietro, D.E.; Bilia, A.R.; Bergonzi, M.C. Stealth and Cationic Nanoliposomes as Drug Delivery Systems to Increase Andrographolide BBB Permeability. Pharmaceutics 2018, 10, 128. [Google Scholar] [CrossRef]
- Zhang, Z.; Yang, J.; Yang, Q.; Tian, G.; Cui, Z.-K. Fabrication of Non-phospholipid Liposomal Nanocarrier for Sustained-Release of the Fungicide Cymoxanil. Front. Mol. Biosci. 2021, 8, 627817. [Google Scholar] [CrossRef]
- Angelini, G.; Chiarini, M.; De Maria, P.; Fontana, A.; Gasbarri, C.; Siani, G.; Velluto, D. Characterization of cationic liposomes. Influence of the bilayer composition on the kinetics of the liposome breakdown. Chem. Phys. Lipids 2011, 164, 680–687. [Google Scholar] [CrossRef]
- Faretra, F.; Pollastro, S. Isolation, characterization and genetic analysis of laboratory mutants of Botryotinia fuckeliana resistant to the phenylpyrrole fungicide CGA 173506. Mycol. Res. 1993, 97, 620–624. [Google Scholar] [CrossRef]
- Patel, S.; Bajpai, J.; Saini, R.; Bajpai, A.K.; Acharya, S. Sustained release of pesticide (Cypermethrin) from nanocarriers: An effective technique for environmental and crop protection. Process Saf. Environ. Prot. 2018, 117, 315–325. [Google Scholar] [CrossRef]
- Özer, N.; Köycü, N.D.; Delen, N. Analysis of Polygalacturonase Enzyme Production in Isolates of Botrytis cinerea Sensitive to Different Fungicides Used in Vineyards. J. Phytopathol. 2010, 158, 744–749. [Google Scholar] [CrossRef]
- Shah, P.; Gutierrez-Sanchez, G.; Orlando, R.; Bergmann, C. A proteomic study of pectin-degrading enzymes secreted by Botrytis cinerea grown in liquid culture. Proteomics 2009, 9, 3126–3135. [Google Scholar] [CrossRef] [PubMed]
- Chai, R.; Zhang, G.; Sun, Q.; Zhang, M.; Zhao, S.; Qiu, L. Liposome-mediated mycelial transformation of filamentous fungi. Fungal Biol. 2013, 117, 577–583. [Google Scholar] [CrossRef]
- Fraley, R.T.; Fornari, C.S.; Kaplan, S. Entrapment of a bacterial plasmid in phospholipid vesicles: Potential for gene transfer. Proc. Natl. Acad. Sci. USA 1979, 76, 3348–3352. [Google Scholar] [CrossRef]
- De Angelis, G.; Simonetti, G.; Chronopoulou, L.; Orekhova, A.; Badiali, C.; Petruccelli, V.; Portoghesi, F.; D’Angeli, S.; Brasili, E.; Pasqua, G.; et al. A novel approach to control Botrytis cinerea fungal infections: Uptake and biological activity of antifungals encapsulated in nanoparticle based vectors. Sci. Rep. 2022, 12, 7989. [Google Scholar] [CrossRef]
- Tangorra, R.R.; Operamolla, A.; Milano, F.; Hassan Omar, O.; Henrard, J.; Comparelli, R.; Italiano, F.; Agostiano, A.; De Leo, V.; Marotta, R.; et al. Assembly of a photosynthetic reaction center with ABA tri-block polymersomes: Highlights on protein localization. Photochem. Photobiol. Sci. 2015, 14, 1844–1852. [Google Scholar] [CrossRef][Green Version]
- De Leo, V.; Maurelli, A.M.; Ingrosso, C.; Lupone, F.; Catucci, L. Easy Preparation of Liposome@PDA Microspheres for Fast and Highly Efficient Removal of Methylene Blue from Water. Int. J. Mol. Sci. 2021, 22, 11916. [Google Scholar] [CrossRef]
- De Leo, V.; Ruscigno, S.; Trapani, A.; Di Gioia, S.; Milano, F.; Mandracchia, D.; Comparelli, R.; Castellani, S.; Agostiano, A.; Trapani, G.; et al. Preparation of drug-loaded small unilamellar liposomes and evaluation of their potential for the treatment of chronic respiratory diseases. Int. J. Pharm. 2018, 545, 378–388. [Google Scholar] [CrossRef]
- Faretra, F.; Pollastro, S.; Di Tonno, A.P. New natural variants of Botryotinia fuckeliana (Botrytis cinerea) coupling benzimidazole-resistance to insensitivity toward the N-phenylcarbamate diethofencarb. Phytopathol. Mediterr. 1989, 28, 98–104. [Google Scholar]
- Abbott, W.S. A Method of Computing the Effectiveness of an Insecticide. J. Econ. Entomol. 1925, 18, 265–267. [Google Scholar] [CrossRef]








| Micelle-To-Vesicle Transition Method | Extrusion Method | |||||||
|---|---|---|---|---|---|---|---|---|
| DLC | EE | Size | Z Potential | DLC | EE | Size | Z Potential | |
| % | % | nm | mV | % | % | nm | mV | |
| Plain | 0.38 ± 0.02 | 98 ± 5 | 36.4 ± 0.1 | −8.7 ± 1.1 | 0.37 ± 0.02 | 98 ± 5 | 119.6 ± 0.6 | −5.5 ± 1.1 |
| PEGylated | 0.29 ± 0.01 | 78 ± 3 | 31.4 ± 0.2 | −6.5 ± 1.0 | 0.38 ± 0.02 | 100 ± 5 | 129 ± 1 | −3.5 ± 1.0 |
| Cationic | 0.36 ± 0.02 | 96 ± 5 | 56.7 ± 0.4 | +18.2 ± 1.7 | 0.34 ± 0.02 | 90 ± 4 | 127 ± 1 | +36 ± 2 |
| Formulation (µg·mL−1) | Effectiveness on Conidial Germination | Effectiveness on Germ Tube Elongation | ||||||||
|---|---|---|---|---|---|---|---|---|---|---|
| 0.01 | 0.03 | 0.1 | 0.3 | 1 | 0.01 | 0.03 | 0.1 | 0.3 | 1 | |
| Method 1 | ||||||||||
| Plain MVT | 0.0 ± 0.0 | 0.0 ± 0.0 *** | 1.7 ± 0.3 *** | 15.3 ± 1.8 *** | 61.3 ± 3.6 *** | 20.7 ± 1.6 *** | 28.9 ± 0.5 *** | 37.4 ± 2.0 *** | 67.4 ± 0.2 *** | 82.4 ± 0.5 *** |
| Pegylated MVT | 0.0 ± 0.0 | 0.0 ± 0.0 *** | 1 ± 0.5 *** | 40 ± 0.8 *** | 80.7 ± 1.9 *** | 15.2 ± 0.2 *** | 20.9 ± 0.6 *** | 41.8 ± 2.1 *** | 80.9 ± 0.5 *** | 91.1 ± 0.0 *** |
| Cationic MVT | 0.0 ± 0.0 | 0.0 ± 0.0 *** | 0.3 ± 0.3 *** | 27 ± 1.2 *** | 76 ± 0.5 *** | 8.1 ± 1.2 | 16.9 ± 2.4 *** | 36.2 ± 0.7 *** | 79.8 ± 0.5 *** | 90.2 ± 0.0 *** |
| Plain extruded | 0.0 ± 0.0 | 0.0 ± 0.0 *** | 0.0 ± 0.0 *** | 6.7 ± 0.3 *** | 53.3 ± 1.4 *** | 1.9 ± 2.7 | 14.6 ± 1.6 *** | 28.9 ± 1.8 *** | 66.9 ± 0.9 *** | 90.5 ± 0.0 *** |
| Pegylated extruded | 0.0 ± 0.0 | 0.0 ± 0.0 *** | 0.0 ± 0.0 *** | 22.7 ± 1.8 *** | 59.7 ± 0.3 *** | 7.7 ± 1.4 | 25.1 ± 2.2 *** | 50.1 ± 2.7 *** | 76.9 ± 1.1 *** | 91.4 ± 0.0 *** |
| Cationic extruded | 0.0 ± 0.0 | 0.0 ± 0.0 *** | 0.0 ± 0.0 *** | 0.0 ± 0.0 *** | 92.3 ± 1.2 | −0.7 ± 2.5 | 10.2 ± 0.7 *** | 33.4 ± 2.4 *** | 50.2 ± 1.2 *** | 90.2 ± 0.0 *** |
| FLUD | 0.0 ± 0.0 | 100 ± 0.0 | 100 ± 0.0 | 100 ± 0.0 | 100 ± 0.0 | −2.4 ± 1.5 | 100 ± 0.0 | 100 ± 0.0 | 100 ± 0.0 | 100 ± 0.0 |
| Method 2 | ||||||||||
| Plain MVT | 0.0 ± 0.0 | 0.0 ± 0.0 *** | 0.0 ± 0.0 *** | 0.0 ± 0.0 *** | 41 ± 3.1 *** | 2.2 ± 4.8 *** | 7.7 ± 1.9 *** | 43.3 ± 1.5 *** | 62.2 ± 1.9 *** | 92.5 ± 0.0 *** |
| Pegylated MVT | 0.0 ± 0.0 | 0.0 ± 0.0 *** | 0.0 ± 0.0 *** | 0.0 ± 0.0 *** | 63.7 ± 3.1 *** | 2.1 ± 1.7 *** | 12.9 ± 0.8 *** | 49.2 ± 0.5 *** | 77.8 ± 0.8 *** | 93.2 ± 0.0 *** |
| Cationic MVT | 0.0 ± 0.0 | 0.0 ± 0.0 *** | 0.0 ± 0.0 *** | 0.0 ± 0.0 *** | 90 ± 0.0 | −0.5 ± 2.3 *** | 9.6 ± 1.9 *** | 32.1 ± 1.9 *** | 72.5 ± 1.2 *** | 92.9 ± 0.0 *** |
| Plain extruded | 0.0 ± 0.0 | 0.0 ± 0.0 *** | 0.0 ± 0.0 *** | 0.0 ± 0.0 *** | 62.3 ± 3.3 *** | 3.1 ± 0.8 *** | 4.6 ± 1.6 *** | 49.3 ± 1.3 *** | 72.4 ± 0.9 *** | 93.8 ± 0.0 *** |
| Pegylated extruded | 0.0 ± 0.0 | 0.0 ± 0.0 *** | 0.0 ± 0.0 *** | 0.0 ± 0.0 *** | 90 ± 0.0 | 4.2 ± 3.2 ** | 24.9 ± 3.0 *** | 31.4 ± 3.9 *** | 81.5 ± 0.4 *** | 91.2 ± 0.0 *** |
| Cationic extruded | 0.0 ± 0.0 | 0.0 ± 0.0 *** | 0.0 ± 0.0 *** | 0.0 ± 0.0 *** | 100 ± 0.0 | 2 ± 2.8 *** | 9.6 ± 0.7 *** | 48.4 ± 2.9 *** | 79.4 ± 0.7 *** | 100 ± 0.0 |
| FLUD | 0.0 ± 0.0 | 100 ± 0.0 | 100 ± 0.0 | 100 ± 0.0 | 100 ± 0.0 | 29.8 ± 0.7 | 100 ± 0.0 | 100 ± 0.0 | 100 ± 0.0 | 100 ± 0.0 |
Disclaimer/Publisher’s Note: The statements, opinions and data contained in all publications are solely those of the individual author(s) and contributor(s) and not of MDPI and/or the editor(s). MDPI and/or the editor(s) disclaim responsibility for any injury to people or property resulting from any ideas, methods, instructions or products referred to in the content. |
© 2024 by the authors. Licensee MDPI, Basel, Switzerland. This article is an open access article distributed under the terms and conditions of the Creative Commons Attribution (CC BY) license (https://creativecommons.org/licenses/by/4.0/).
Share and Cite
Agnusdei, A.; Maurelli, A.M.; Gerin, D.; Monopoli, D.; Pollastro, S.; Catucci, L.; Faretra, F.; De Leo, V. Fungicide-Loaded Liposomes for the Treatment of Fungal Diseases in Agriculture: An Assessment of Botrytis cinerea. Int. J. Mol. Sci. 2024, 25, 8359. https://doi.org/10.3390/ijms25158359
Agnusdei A, Maurelli AM, Gerin D, Monopoli D, Pollastro S, Catucci L, Faretra F, De Leo V. Fungicide-Loaded Liposomes for the Treatment of Fungal Diseases in Agriculture: An Assessment of Botrytis cinerea. International Journal of Molecular Sciences. 2024; 25(15):8359. https://doi.org/10.3390/ijms25158359
Chicago/Turabian StyleAgnusdei, Angelo, Anna Maria Maurelli, Donato Gerin, Donato Monopoli, Stefania Pollastro, Lucia Catucci, Francesco Faretra, and Vincenzo De Leo. 2024. "Fungicide-Loaded Liposomes for the Treatment of Fungal Diseases in Agriculture: An Assessment of Botrytis cinerea" International Journal of Molecular Sciences 25, no. 15: 8359. https://doi.org/10.3390/ijms25158359
APA StyleAgnusdei, A., Maurelli, A. M., Gerin, D., Monopoli, D., Pollastro, S., Catucci, L., Faretra, F., & De Leo, V. (2024). Fungicide-Loaded Liposomes for the Treatment of Fungal Diseases in Agriculture: An Assessment of Botrytis cinerea. International Journal of Molecular Sciences, 25(15), 8359. https://doi.org/10.3390/ijms25158359

