The Effecting Mechanisms of 100 nm Sized Polystyrene Nanoplastics on the Typical Coastal Alexandrium tamarense
Abstract
1. Introduction
2. Results and Discussion
2.1. Effects of NPs on the Growth and Photosynthetic Changes of A. tamarense
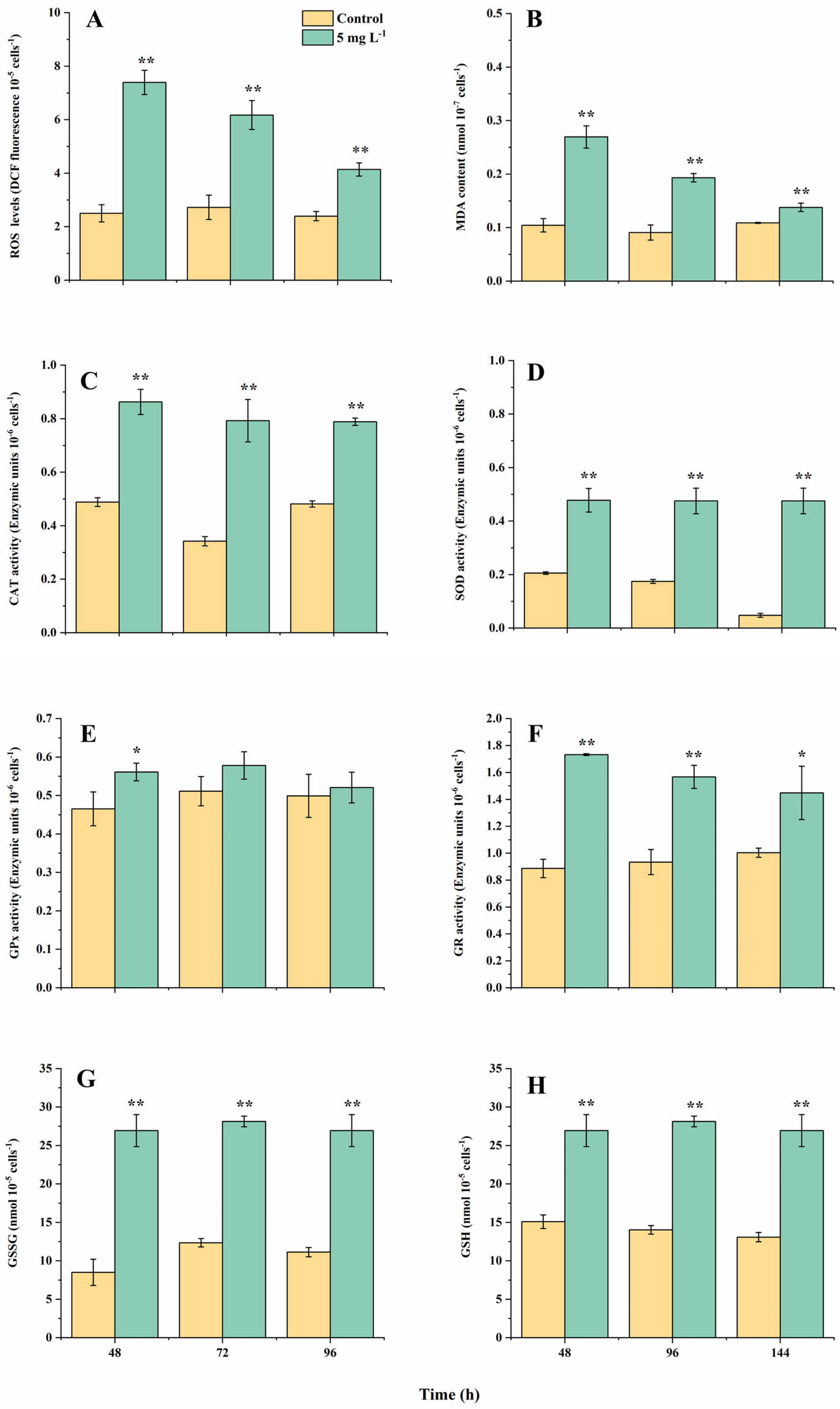
2.2. Effects of NPs on the Antioxidant Component Changes of A. tamarense
2.3. Effects of NPs on Cellular PST Production of A. tamarense
2.4. RNA Sequencing in A. tamarense under NPs Exposure
2.5. Decreased Photosynthetic Efficiency and Enhanced Pigment Synthesis in A. tamarense under NPs Exposure
2.6. Antioxidant Defense System and Proteasome Pathway of A. tamarense Were Activated under NPs Exposure
2.7. Enhanced Carbon Metabolism Processes of A. tamarense under NPs Exposure
3. Materials and Methods
3.1. The Cultivation of Experimental Microalgae
3.2. NPs Exposure Experiments
3.3. The Measurements of Physiological and Biochemical Parameters
3.4. Measurements of Cellular PST Contents and Compositions
3.5. Transcriptomic Analysis
3.6. Statistical Analysis
4. Conclusions
Supplementary Materials
Author Contributions
Funding
Data Availability Statement
Conflicts of Interest
References
- Cole, M.; Lindeque, P.; Halsband, C.; Galloway, T.S. Microplastics as contaminants in the marine environment: A review. Mar. Pollut. Bull. 2011, 62, 2588–2597. [Google Scholar] [CrossRef] [PubMed]
- Wright, S.L.; Kelly, F.J. Plastic and Human Health: A Micro Issue? Environ. Sci. Technol. 2017, 51, 6634–6647. [Google Scholar] [CrossRef] [PubMed]
- Isobe, A.; Iwasaki, S.; Uchida, K.; Tokai, T. Abundance of non-conservative microplastics in the upper ocean from 1957 to 2066. Nat. Commun. 2019, 10, 417. [Google Scholar] [CrossRef]
- Ribeiro, F.; Okoffo, E.D.; O’Brien, J.W.; O’Brien, S.; Harris, J.M.; Samanipour, S.; Kaserzon, S.; Mueller, J.F.; Galloway, T.; Thomas, K.V. Out of sight but not out of mind: Size fractionation of plastics bioaccumulated by field deployed oysters. J. Hazard. Mater. Lett. 2021, 2, 100021. [Google Scholar] [CrossRef]
- Hahladakis, J.N.; Velis, C.A.; Weber, R.; Iacovidou, E.; Purnell, P. An overview of chemical additives present in plastics: Migration, release, fate and environmental impact during their use, disposal and recycling. J. Hazard. Mater. 2018, 344, 179–199. [Google Scholar] [CrossRef] [PubMed]
- Ter Halle, A.; Jeanneau, L.; Martignac, M.; Jardé, E.; Pedrono, B.; Brach, L.; Gigault, J. Nanoplastic in the North Atlantic Subtropical Gyre. Environ. Sci. Technol. 2017, 51, 13689–13697. [Google Scholar] [CrossRef] [PubMed]
- Maximenko, N.; Hafner, J.; Niiler, P. Pathways of marine debris derived from trajectories of Lagrangian drifters. Mar. Pollut. Bull. 2012, 65, 51. [Google Scholar] [CrossRef]
- Liebezeit, G.; Liebezeit, E. Synthetic particles as contaminants in German beers. Food Addit. Contam. Part A 2014, 31, 1574. [Google Scholar] [CrossRef] [PubMed]
- Sjollema, S.B.; Redondo-Hasselerharm, P.; Leslie, H.A.; Kraak, M.H.S.; Vethaak, A.D. Do plastic particles affect microalgal photosynthesis and growth? Aquat. Toxicol. 2016, 170, 259–261. [Google Scholar] [CrossRef] [PubMed]
- Chae, Y.; Kim, D.; An, Y.-J. Effects of micro-sized polyethylene spheres on the marine microalga Dunaliella salina: Focusing on the algal cell to plastic particle size ratio. Aquat. Toxicol. 2019, 216, 105296. [Google Scholar] [CrossRef]
- Gao, G.; Zhao, X.; Jin, P.; Gao, K.; Beardall, J. Current understanding and challenges for aquatic primary producers in a world with rising micro- and nano-plastic levels. J. Hazard. Mater. 2021, 406, 124685. [Google Scholar] [CrossRef]
- Liu, G.; Jiang, R.; You, J.; Muir, D.C.G.; Zeng, E.Y. Microplastic Impacts on Microalgae Growth: Effects of Size and Humic Acid. Environ. Sci. Technol. 2020, 54, 1782–1789. [Google Scholar] [CrossRef] [PubMed]
- Wu, D.; Wang, T.; Wang, J.; Jiang, L.; Yin, Y.; Guo, H. Size-dependent toxic effects of polystyrene microplastic exposure on Microcystis aeruginosa growth and microcystin production. Sci. Total Environ. 2021, 761, 143265. [Google Scholar] [CrossRef] [PubMed]
- Zhang, B.; Tang, X.; Liu, Q.; Li, L.; Zhao, Y.; Zhao, Y. Different effecting mechanisms of two sized polystyrene microplastics on microalgal oxidative stress and photosynthetic responses. Ecotox. Environ. Safe 2022, 244, 114072. [Google Scholar] [CrossRef]
- Díaz, P.A.; Pérez-Santos, I.; Basti, L.; Garreaud, R.; Pinilla, E.; Barrera, F.; Tello, A.; Schwerter, C.; Arenas-Uribe, S.; Soto-Riquelme, C.; et al. The impact of local and climate change drivers on the formation, dynamics, and potential recurrence of a massive fish-killing microalgal bloom in Patagonian fjord. Sci. Total Environ. 2023, 865, 161288. [Google Scholar] [CrossRef]
- Abdulhussain, A.H.; Cook, K.B.; Turner, A.D.; Lewis, A.M.; Elsafi, M.A.; Mayor, D.J. The Influence of the Toxin Producing Dinoflagellate, Alexandrium catenella (1119/27), on the Feeding and Survival of the Marine Copepod, Acartia tonsa. Harmful Algae 2020, 98, 101890. [Google Scholar] [CrossRef]
- Alho, L.d.O.G.; Souza, J.P.; Rocha, G.S.; Mansano, A.d.S.; Lombardi, A.T.; Sarmento, H.; Melão, M.G.G. Photosynthetic, morphological and biochemical biomarkers as tools to investigate copper oxide nanoparticle toxicity to a freshwater chlorophyceae. Environ. Pollut. 2020, 265, 114856. [Google Scholar] [CrossRef]
- Sun, H.; Wang, J.; Li, Y.; Yang, S.; Chen, D.D.; Tu, Y.; Liu, J.; Sun, Z. Synthetic biology in microalgae towards fucoxanthin production for pharmacy and nutraceuticals. Biochem. Pharmacol. 2024, 220, 115958. [Google Scholar] [CrossRef] [PubMed]
- Li, D.; Liu, Q.; Zhao, Y.; Lv, M.; Tang, X.; Zhao, Y. ROS meditated paralytic shellfish toxins production changes of Alexandrium tamarense caused by microplastic particles. Environ. Pollut. 2023, 338, 122702. [Google Scholar] [CrossRef]
- Wang, S.-c.; Liu, G.-z.; Liu, F.-F. Physiological and metabolic toxicity of polystyrene microplastics to Dunaliella salina. Environ. Pollut. 2023, 316, 120544. [Google Scholar] [CrossRef] [PubMed]
- Tang, X.; Wen, J.; Mu, L.; Gao, Z.; Weng, J.; Li, X.; Hu, X. Regulation of arsenite toxicity in lettuce by pyrite and glutamic acid and the related mechanism. Sci. Total Environ. 2023, 877, 162928. [Google Scholar] [CrossRef] [PubMed]
- Raposo, M.I.C.; Gomes, M.T.S.R.; Botelho, M.J.; Rudnitskaya, A. Paralytic Shellfish Toxins (PST)-Transforming Enzymes: A Review. Toxins 2020, 12, 344. [Google Scholar] [CrossRef] [PubMed]
- Wang, D.-Z.; Ho, A.Y.T.; Hsieh, D.P.H. Production of C2 toxin by Alexandrium tamarense CI01 using different culture methods. J. Appl. Phycol. 2002, 14, 461–468. [Google Scholar] [CrossRef]
- Wang, D.-Z.; Jiang, T.-J.; Hsieh, D.P.H. Toxin composition variations in cultures of Alexandrium species isolated from the coastal waters of southern China. Harmful Algae 2005, 4, 109–121. [Google Scholar] [CrossRef]
- Gao, G.; Shi, Q.; Xu, Z.; Xu, J.; Campbell, D.A.; Wu, H. Global warming interacts with ocean acidification to alter PSII function and protection in the diatom Thalassiosira weissflogii. Environ. Exp. Bot. 2018, 147, 95–103. [Google Scholar] [CrossRef]
- Li, Y.; Liu, X.; Zheng, X.; Yang, M.; Gao, X.; Huang, J.; Zhang, L.; Fan, Z. Toxic effects and mechanisms of PFOA and its substitute GenX on the photosynthesis of Chlorella pyrenoidosa. Sci. Total Environ. 2021, 765, 144431. [Google Scholar] [CrossRef] [PubMed]
- Kurisu, G.; Zhang, H.; Smith, J.L.; Cramer, W.A. Structure of the Cytochrome b6f Complex of Oxygenic Photosynthesis: Tuning the Cavity. Science 2003, 302, 1009–1014. [Google Scholar] [CrossRef] [PubMed]
- Barr, I.; Latham, J.A.; Iavarone, A.T.; Chantarojsiri, T.; Hwang, J.D.; Klinman, J.P. Demonstration That the Radical S-Adenosylmethionine (SAM) Enzyme PqqE Catalyzes de Novo Carbon-Carbon Cross-linking within a Peptide Substrate PqqA in the Presence of the Peptide Chaperone PqqD*. J. Biol. Chem. 2016, 291, 8877–8884. [Google Scholar] [CrossRef]
- Su, Y.; Cheng, Z.; Hou, Y.; Lin, S.; Gao, L.; Wang, Z.; Bao, R.; Peng, L. Biodegradable and conventional microplastics posed similar toxicity to marine algae Chlorella vulgaris. Aquat. Toxicol. 2022, 244, 106097. [Google Scholar] [CrossRef]
- Hou, X.; Mu, L.; Hu, X.; Guo, S. Warming and microplastic pollution shape the carbon and nitrogen cycles of algae. J. Hazard. Mater. 2023, 447, 130775. [Google Scholar] [CrossRef]
- Shakya, M.; Silvester, E.; Rees, G.; Rajapaksha, K.H.; Faou, P.; Holland, A. Changes to the amino acid profile and proteome of the tropical freshwater microalga Chlorella sp. in response to copper stress. Ecotox. Environ. Safe 2022, 233, 113336. [Google Scholar] [CrossRef]
- Zhang, M.; Wang, D.; Geng, Z.; Li, P.; Sun, Z.; Xu, W. Effect of heat shock protein 90 against ROS-induced phospholipid oxidation. Food Chem. 2018, 240, 642–647. [Google Scholar] [CrossRef]
- Bence, N.F.; Sampat, R.M.; Kopito, R.R. Impairment of the Ubiquitin-Proteasome System by Protein Aggregation. Science 2001, 292, 1552–1555. [Google Scholar] [CrossRef] [PubMed]
- Dong, Y.-L.; Jiang, T.; Xia, W.; Dong, H.-P.; Lu, S.-H.; Cui, L. Light harvesting proteins regulate non-photochemical fluorescence quenching in the marine diatom Thalassiosira pseudonana. Algal Res. 2015, 12, 300–307. [Google Scholar] [CrossRef]
- Xiao, X.; Li, W.; Li, S.; Zuo, X.; Liu, J.; Guo, L.; Lu, X.; Zhang, L. The Growth Inhibition of Polyethylene Nanoplastics on the Bait-Microalgae Isochrysis galbana Based on the Transcriptome Analysis. Microorganisms 2023, 11, 1108. [Google Scholar] [CrossRef] [PubMed]
- Ohbayashi, I.; Huang, S.; Fukaki, H.; Song, X.; Sun, S.; Morita, M.T.; Tasaka, M.; Millar, A.H.; Furutani, M. Mitochondrial Pyruvate Dehydrogenase Contributes to Auxin-Regulated Organ Development. Plant Physiol. 2019, 180, 896–909. [Google Scholar] [CrossRef]
- Shin, J.; Song, Y.; Jeong, Y.; Cho, B.-K. Analysis of the Core Genome and Pan-Genome of Autotrophic Acetogenic Bacteria. Front. Microbiol. 2016, 7, 1531. [Google Scholar] [CrossRef] [PubMed]
- Yuan, X.; Zeng, Q.; Xu, J.; Severin, G.B.; Zhou, X.; Waters, C.M.; Sundin, G.W.; Ibekwe, A.M.; Liu, F.; Yang, C.-H. Tricarboxylic Acid (TCA) Cycle Enzymes and Intermediates Modulate Intracellular Cyclic di-GMP Levels and the Production of Plant Cell Wall–Degrading Enzymes in Soft Rot Pathogen Dickeya dadantii. Mol. Plant-Microbe Interact. 2019, 33, 296–307. [Google Scholar] [CrossRef]
- Li, P.; Hu, Z.; Yin, Q.; Song, C. Improving the growth of Spirulina in CO2 absorption and microalgae conversion (CAMC) system through mixotrophic cultivation: Reveal of metabolomics. Sci. Total Environ. 2023, 858, 159920. [Google Scholar] [CrossRef] [PubMed]
- Wang, L.; Huang, X.; Lim, D.J.; Laserna, A.K.C.; Li, S.F.Y. Uptake and toxic effects of triphenyl phosphate on freshwater microalgae Chlorella vulgaris and Scenedesmus obliquus: Insights from untargeted metabolomics. Sci. Total Environ. 2019, 650, 1239–1249. [Google Scholar] [CrossRef]
- Wang, J.; Tian, Q.; Zhou, H.; Kang, J.; Yu, X.; Qiu, G.; Shen, L. Physiological regulation of microalgae under cadmium stress and response mechanisms of time-series analysis using metabolomics. Sci. Total Environ. 2024, 916, 170278. [Google Scholar] [CrossRef]
- Li, D.; Tang, X.; Xu, X.; Zhao, Y.; Li, L.; Zhang, B.; Zhao, Y. UV-B radiation alleviated detrimental effects of polymethyl methacrylate microplastics on marine diatom Thalassiosira pseudonana. Sci. Total Environ. 2023, 892, 164388. [Google Scholar] [CrossRef] [PubMed]
- Sheng, Y.; Cai, J.; Yang, Z.; Du, H.; Bi, R.; Liu, W.; Li, P. Microplastic size-dependent biochemical and molecular effects in alga Heterosigma akashiwo. Ecotox. Environ. Safe 2023, 268, 115673. [Google Scholar] [CrossRef] [PubMed]
- Zhu, L.; Feng, S.; Li, Y.; Sun, X.; Sui, Q.; Chen, B.; Qu, K.; Xia, B. Physiological and transcriptomic analysis reveals the toxic and protective mechanisms of marine microalga Chlorella pyrenoidosa in response to TiO2 nanoparticles and UV-B radiation. Sci. Total Environ. 2024, 912, 169174. [Google Scholar] [CrossRef] [PubMed]
- Wu, S.; Mi, T.; Zhen, Y.; Yu, K.; Wang, F.; Yu, Z. A Rise in ROS and EPS Production: New Insights into the Trichodesmium erythraeum Response to Ocean Acidification. J. Phycol. 2021, 57, 172–182. [Google Scholar] [CrossRef]
- Liu, Q.; Tang, X.; Zhang, B.; Li, L.; Zhao, Y.; Lv, M.; Li, J.; Kan, C.; Zhao, Y. The effects of two sized polystyrene nanoplastics on the growth, physiological functions, and toxin production of Alexandrium tamarense. Chemosphere 2022, 291, 132943. [Google Scholar] [CrossRef] [PubMed]
- Platt, T.; Gallegos, C.; Harrison, W. Photoinhibition of photosynthesis in natural assemblages of marine phytoplankton. J. Mar. Res. 1980, 38, 687–701. [Google Scholar]
- Parsons, T.; Maita, Y.; Lalli, C. Determination of chlorophylls and total carotenoids: Spectrophotometric method. In A Manual of Chemical & Biological Methods for Seawater Analysis; Elsevier: Amsterdam, The Netherlands, 1984; pp. 101–104. [Google Scholar]
- Zhao, Y.; Tang, X.; Qu, F.; Lv, M.; Liu, Q.; Li, J.; Li, L.; Zhang, B.; Zhao, Y. ROS-mediated programmed cell death (PCD) of Thalassiosira pseudonana under the stress of BDE-47. Environ. Pollut. 2020, 262, 114342. [Google Scholar] [CrossRef]
- Liu, Y.; Yu, R.-C.; Kong, F.-Z.; Chen, Z.-F.; Dai, L.; Gao, Y.; Zhang, Q.-C.; Wang, Y.-F.; Yan, T.; Zhou, M.-J. Paralytic shellfish toxins in phytoplankton and shellfish samples collected from the Bohai Sea, China. Mar. Pollut. Bull. 2017, 115, 324–331. [Google Scholar] [CrossRef] [PubMed]







| Treatments | 48 h | 96 h | 144 h | |
|---|---|---|---|---|
| Relative growth rate (d−1) | Control | 0.46 ± 0.02 | 0.64 ± 0.10 | 0.18 ± 0.01 |
| 5 mg L−1 | 0.33 ± 0.05 ** | 0.72 ± 0.06 | 0.15 ± 0.04 | |
| Fv/Fm | Control | 0.54 ± 0.08 | 0.53 ± 0.05 | 0.51 ± 0.02 |
| 5 mg L−1 | 0.52 ± 0.01 | 0.52 ± 0.03 | 0.51 ± 0.05 | |
| rETRmax (μmol electrons m−2s−1) | Control | 64.21 ± 1.21 | 58.40 ± 1.56 | 55.20 ± 4.01 |
| 5 mg L−1 | 60.10 ± 1.90 * | 56.10 ± 1.28 | 51.32 ± 2.10 | |
| Chl a (pg cell−1) | Control | 1.91 ± 0.11 | 2.00 ± 0.04 | 2.52 ± 0.03 |
| 5 mg L−1 | 2.00 ± 0.06 | 2.04 ± 0.02 | 2.60 ± 0.15 | |
| Total carotenoids (pg cell−1) | Control | 1.43 ± 0.02 | 1.50 ± 0.06 | 1.52 ± 0.07 |
| 5 mg L−1 | 1.50 ± 0.05 | 1.82 ± 0.09 ** | 1.94 ± 0.06 ** |
Disclaimer/Publisher’s Note: The statements, opinions and data contained in all publications are solely those of the individual author(s) and contributor(s) and not of MDPI and/or the editor(s). MDPI and/or the editor(s) disclaim responsibility for any injury to people or property resulting from any ideas, methods, instructions or products referred to in the content. |
© 2024 by the authors. Licensee MDPI, Basel, Switzerland. This article is an open access article distributed under the terms and conditions of the Creative Commons Attribution (CC BY) license (https://creativecommons.org/licenses/by/4.0/).
Share and Cite
Li, L.; Liu, Q.; Li, B.; Zhao, Y. The Effecting Mechanisms of 100 nm Sized Polystyrene Nanoplastics on the Typical Coastal Alexandrium tamarense. Int. J. Mol. Sci. 2024, 25, 7297. https://doi.org/10.3390/ijms25137297
Li L, Liu Q, Li B, Zhao Y. The Effecting Mechanisms of 100 nm Sized Polystyrene Nanoplastics on the Typical Coastal Alexandrium tamarense. International Journal of Molecular Sciences. 2024; 25(13):7297. https://doi.org/10.3390/ijms25137297
Chicago/Turabian StyleLi, Luying, Qian Liu, Bo Li, and Yan Zhao. 2024. "The Effecting Mechanisms of 100 nm Sized Polystyrene Nanoplastics on the Typical Coastal Alexandrium tamarense" International Journal of Molecular Sciences 25, no. 13: 7297. https://doi.org/10.3390/ijms25137297
APA StyleLi, L., Liu, Q., Li, B., & Zhao, Y. (2024). The Effecting Mechanisms of 100 nm Sized Polystyrene Nanoplastics on the Typical Coastal Alexandrium tamarense. International Journal of Molecular Sciences, 25(13), 7297. https://doi.org/10.3390/ijms25137297

