Novel Hydrophobic Functionalized UiO-66 Series: Synthesis, Characterization, and Evaluation of Their Structural and Physical–Chemical Properties
Abstract
:1. Introduction
2. Results and Discussion
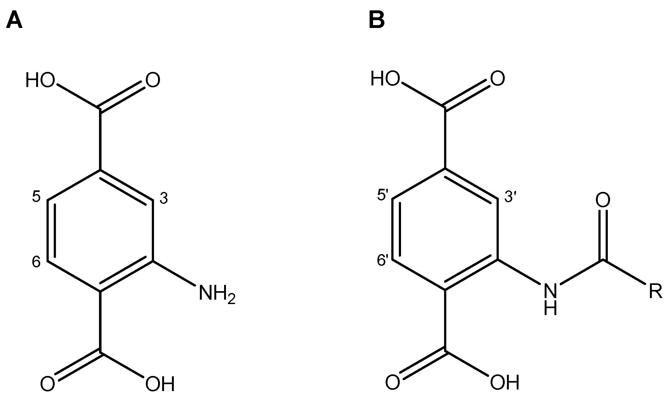
2.1. Syntheses
2.2. Infrared Spectra
2.3. NMR Spectroscopy
2.4. Crystallographic Studies
2.5. XPS Spectroscopy
2.6. Scanning Electron Microscopy
2.7. Thermal Stability
2.8. Chemical Stability
2.9. BET Isotherms
2.10. Contact Angle Evaluation
3. Materials and Methods
3.1. Material Source
3.2. General Synthetic Procedure
3.2.1. Synthesis of UiO-66-NH2
3.2.2. Post-Synthetic General Procedure of UiO-66-NHR
3.3. Characterization
3.4. Scanning Electron Microscopy (SEM)
3.5. Thermal Stability Studies
3.6. Chemical Stability Studies
3.7. BET Isotherm Studies
3.8. Contact Angle Studies
4. Conclusions
Supplementary Materials
Author Contributions
Funding
Institutional Review Board Statement
Informed Consent Statement
Data Availability Statement
Acknowledgments
Conflicts of Interest
References
- Meng, J.; Liu, X.; Niu, C.; Pang, Q.; Li, J.; Liu, F.; Liu, Z.; Mai, L. Advances in Metal–Organic Framework Coatings: Versatile Synthesis and Broad Applications. Chem. Soc. Rev. 2020, 49, 3142–3186. [Google Scholar] [CrossRef] [PubMed]
- Chen, L.; Xu, Q. Metal-Organic Framework Composites for Catalysis. Matter 2019, 1, 57–89. [Google Scholar] [CrossRef]
- Păun, C.; Motelică, L.; Ficai, D.; Ficai, A.; Andronescu, E. Metal-Organic Frameworks: Versatile Platforms for Biomedical Innovations. Materials 2023, 16, 6143. [Google Scholar] [CrossRef] [PubMed]
- Wang, C.; Liu, D.; Lin, W. Metal–Organic Frameworks as A Tunable Platform for Designing Functional Molecular Materials. J. Am. Chem. Soc. 2013, 135, 13222–13234. [Google Scholar] [CrossRef]
- Cedrún-Morales, M.; Ceballos, M.; Polo, E.; Del Pino, P.; Pelaz, B. Nanosized Metal–Organic Frameworks as Unique Platforms for Bioapplications. Chem. Commun. 2023, 59, 2869–2887. [Google Scholar] [CrossRef] [PubMed]
- Zhang, W.; Taheri-Ledari, R.; Saeidirad, M.; Qazi, F.S.; Kashtiaray, A.; Ganjali, F.; Tian, Y.; Maleki, A. Regulation of Porosity in MOFs: A Review on Tunable Scaffolds and Related Effects and Advances in Different Applications. J. Environ. Chem. Eng. 2022, 10, 108836. [Google Scholar] [CrossRef]
- Garai, B.; Bon, V.; Krause, S.; Schwotzer, F.; Gerlach, M.; Senkovska, I.; Kaskel, S. Tunable Flexibility and Porosity of the Metal–Organic Framework DUT-49 through Postsynthetic Metal Exchange. Chem. Mater. 2020, 32, 889–896. [Google Scholar] [CrossRef]
- Wang, B.; Zhang, X.; Huang, H.; Zhang, Z.; Yildirim, T.; Zhou, W.; Xiang, S.; Chen, B. A Microporous Aluminum-Based Metal-Organic Framework for High Methane, Hydrogen, and Carbon Dioxide Storage. Nano Res. 2021, 14, 507–511. [Google Scholar] [CrossRef]
- Li, H.; Li, L.; Lin, R.-B.; Zhou, W.; Zhang, Z.; Xiang, S.; Chen, B. Porous Metal-Organic Frameworks for Gas Storage and Separation: Status and Challenges. EnergyChem 2019, 1, 100006. [Google Scholar] [CrossRef]
- Dave, S.; Sahu, R.; Tripathy, B.C. Electrochemical Applications of Metal-Organic Frameworks; Elsevier: Amsterdam, The Netherlands, 2022; ISBN 978-0-323-90784-2. [Google Scholar]
- Gao, W.; Liu, F.; Pan, C.-W.; Zhang, X.-M.; Liu, J.-P.; Gao, Q.-Y. A Stable Anionic Metal–Organic Framework with Open Coordinated Sites: Selective Separation toward Cationic Dyes and Sensing Properties. CrystEngComm 2019, 21, 1159–1167. [Google Scholar] [CrossRef]
- Liu, X.; Shan, Y.; Zhang, S.; Kong, Q.; Pang, H. Application of Metal Organic Framework in Wastewater Treatment. Green Energy Environ. 2023, 8, 698–721. [Google Scholar] [CrossRef]
- Goyal, P.; Tiwary, C.S.; Misra, S.K. Ion Exchange Based Approach for Rapid and Selective Pb(II) Removal Using Iron Oxide Decorated Metal Organic Framework Hybrid. J. Environ. Manag. 2021, 277, 111469. [Google Scholar] [CrossRef] [PubMed]
- Jeong, C.; Ansari, M.Z.; Hakeem Anwer, A.; Kim, S.-H.; Nasar, A.; Shoeb, M.; Mashkoor, F. A Review on Metal-Organic Frameworks for the Removal of Hazardous Environmental Contaminants. Sep. Purif. Technol. 2023, 305, 122416. [Google Scholar] [CrossRef]
- Lin, G.; Zeng, B.; Li, J.; Wang, Z.; Wang, S.; Hu, T.; Zhang, L. A Systematic Review of Metal Organic Frameworks Materials for Heavy Metal Removal: Synthesis, Applications and Mechanism. Chem. Eng. J. 2023, 460, 141710. [Google Scholar] [CrossRef]
- Ghosh, S.K. Metal-Organic Frameworks (MOFs) for Environmental Applications; Elsevier: Amsterdam, The Netherlands, 2019; ISBN 978-0-12-814633-0. [Google Scholar]
- Khan, A.; Abu-Zaid, B.M.; Hussein, M.A.; Asiri, A.M.; Azam, M. (Eds.) Metal-Organic Framework Composites—Volume I, 1st ed.; Materials Research Foundations; Materials Research Forum LLC: Millersville, PA, USA, 2019; Volume 53, ISBN 978-1-64490-029-1. [Google Scholar]
- Perera, A.A.P.R.; Madhushani, K.A.U.; Kumar, A.; Gupta, R.K. Metal-Organic Frameworks for Wastewater Treatment: Recent Developments, Challenges, and Future Prospects. Chemosphere 2023, 339, 139713. [Google Scholar] [CrossRef] [PubMed]
- Dutta, S.; Let, S.; Sharma, S.; Mahato, D.; Ghosh, S.K. Recognition and Sequestration of Toxic Inorganic Water Pollutants with Hydrolytically Stable Metal-Organic Frameworks. Chem. Rec. 2021, 21, 1666–1680. [Google Scholar] [CrossRef] [PubMed]
- Molavi, H.; Hakimian, A.; Shojaei, A.; Raeiszadeh, M. Selective Dye Adsorption by Highly Water Stable Metal-Organic Framework: Long Term Stability Analysis in Aqueous Media. Appl. Surf. Sci. 2018, 445, 424–436. [Google Scholar] [CrossRef]
- Yuan, N.; Gong, X.-R.; Han, B.-H. Hydrophobic Fluorous Metal–Organic Framework Nanoadsorbent for Removal of Hazardous Wastes from Water. ACS Appl. Nano Mater. 2021, 4, 1576–1585. [Google Scholar] [CrossRef]
- Kaur, H.; Devi, N.; Siwal, S.S.; Alsanie, W.F.; Thakur, M.K.; Thakur, V.K. Metal–Organic Framework-Based Materials for Wastewater Treatment: Superior Adsorbent Materials for the Removal of Hazardous Pollutants. ACS Omega 2023, 8, 9004–9030. [Google Scholar] [CrossRef]
- Cheng, D.; Zhao, L.; Li, N.; Smith, S.J.D.; Wu, D.; Zhang, J.; Ng, D.; Wu, C.; Martinez, M.R.; Batten, M.P.; et al. Aluminum Fumarate MOF/PVDF Hollow Fiber Membrane for Enhancement of Water Flux and Thermal Efficiency in Direct Contact Membrane Distillation. J. Membr. Sci. 2019, 588, 117204. [Google Scholar] [CrossRef]
- Yang, F.; Efome, J.E.; Rana, D.; Matsuura, T.; Lan, C. Metal–Organic Frameworks Supported on Nanofiber for Desalination by Direct Contact Membrane Distillation. ACS Appl. Mater. Interfaces 2018, 10, 11251–11260. [Google Scholar] [CrossRef] [PubMed]
- Efome, J.E.; Rana, D.; Matsuura, T.; Yang, F.; Cong, Y.; Lan, C.Q. Triple-Layered Nanofibrous Metal–Organic Framework-Based Membranes for Desalination by Direct Contact Membrane Distillation. ACS Sustain. Chem. Eng. 2020, 8, 6601–6610. [Google Scholar] [CrossRef]
- Li, H.; Liu, H.; Shi, W.; Zhang, H.; Zhou, R.; Qin, X. Preparation of Hydrophobic Zeolitic Imidazolate Framework-71 (ZIF-71)/PVDF Hollow Fiber Composite Membrane for Membrane Distillation through Dilute Solution Coating. Sep. Purif. Technol. 2020, 251, 117348. [Google Scholar] [CrossRef]
- DeCoste, J.B.; Peterson, G.W.; Jasuja, H.; Glover, T.G.; Huang, Y.; Walton, K.S. Stability and Degradation Mechanisms of Metal–Organic Frameworks Containing the Zr6O4(OH)4 Secondary Building Unit. J. Mater. Chem. A 2013, 1, 5642. [Google Scholar] [CrossRef]
- Rasheed, T. Water Stable MOFs as Emerging Class of Porous Materials for Potential Environmental Applications. Chemosphere 2023, 313, 137607. [Google Scholar] [CrossRef]
- Antwi-Baah, R.; Liu, H. Recent Hydrophobic Metal-Organic Frameworks and Their Applications. Materials 2018, 11, 2250. [Google Scholar] [CrossRef]
- Álvarez, J.R.; Sánchez-González, E.; Pérez, E.; Schneider-Revueltas, E.; Martínez, A.; Tejeda-Cruz, A.; Islas-Jácome, A.; González-Zamora, E.; Ibarra, I.A. Structure Stability of HKUST-1 towards Water and Ethanol and Their Effect on Its CO2 Capture Properties. Dalton Trans. 2017, 46, 9192–9200. [Google Scholar] [CrossRef]
- Ahmadijokani, F.; Molavi, H.; Rezakazemi, M.; Tajahmadi, S.; Bahi, A.; Ko, F.; Aminabhavi, T.M.; Li, J.-R.; Arjmand, M. UiO-66 Metal–Organic Frameworks in Water Treatment: A Critical Review. Prog. Mater. Sci. 2022, 125, 100904. [Google Scholar] [CrossRef]
- Nguyen, J.G.; Cohen, S.M. Moisture-Resistant and Superhydrophobic Metal−Organic Frameworks Obtained via Postsynthetic Modification. J. Am. Chem. Soc. 2010, 132, 4560–4561. [Google Scholar] [CrossRef]
- Zha, Q.; Sang, X.; Liu, D.; Wang, D.; Shi, G.; Ni, C. Modification of Hydrophilic Amine-Functionalized Metal-Organic Frameworks to Hydrophobic for Dye Adsorption. J. Solid State Chem. 2019, 275, 23–29. [Google Scholar] [CrossRef]
- Karmakar, A.; Pombeiro, A.J.L. Recent Advances in Amide Functionalized Metal Organic Frameworks for Heterogeneous Catalytic Applications. Coord. Chem. Rev. 2019, 395, 86–129. [Google Scholar] [CrossRef]
- Hintz, H.; Wuttke, S. Solvent-Free and Time Efficient Postsynthetic Modification of Amino-Tagged Metal–Organic Frameworks with Carboxylic Acid Derivatives. Chem. Mater. 2014, 26, 6722–6728. [Google Scholar] [CrossRef]
- Sinha Ray, S.; Singh Bakshi, H.; Dangayach, R.; Singh, R.; Deb, C.K.; Ganesapillai, M.; Chen, S.-S.; Purkait, M.K. Recent Developments in Nanomaterials-Modified Membranes for Improved Membrane Distillation Performance. Membranes 2020, 10, 140. [Google Scholar] [CrossRef] [PubMed]
- Badertscher, M.; Bülhmann, P.; Pretsch, E. Structure Determination of Organic Compounds: Tables of Spectral Data; Springer: Berlin/Heidelberg, Germany, 2009; ISBN 978-3-540-93809-5. [Google Scholar]
- Sastre, A.; Díaz-García, M.A.; Del Rey, B.; Dhenaut, C.; Zyss, J.; Ledoux, I.; Agulló-López, F.; Torres, T. Push−Pull Phthalocyanines: A Hammett Correlation between the Cubic Hyperpolarizability and the Donor–Acceptor Character of the Substituents. J. Phys. Chem. A 1997, 101, 9773–9777. [Google Scholar] [CrossRef]
- Luan, Y.; Qi, Y.; Gao, H.; Andriamitantsoa, R.S.; Zheng, N.; Wang, G. A General Post-Synthetic Modification Approach of Amino-Tagged Metal–Organic Frameworks to Access Efficient Catalysts for the Knoevenagel Condensation Reaction. J. Mater. Chem. A 2015, 3, 17320–17331. [Google Scholar] [CrossRef]
- Patterson, A.L. The Scherrer Formula for X-ray Particle Size Determination. Phys. Rev. 1939, 56, 978–982. [Google Scholar] [CrossRef]
- Moffet, R.C.; Tivanski, A.V.; Gilles, M.K. Scanning Transmission X-ray Microscopy: Applications in Atmospheric Aerosol Reseach. Available online: https://digital.library.unt.edu/ark:/67531/metadc831481/ (accessed on 18 August 2022).
- Fang, X.; Wu, S.; Wu, Y.; Yang, W.; Li, Y.; He, J.; Hong, P.; Nie, M.; Xie, C.; Wu, Z.; et al. High-Efficiency Adsorption of Norfloxacin Using Octahedral UIO-66-NH2 Nanomaterials: Dynamics, Thermodynamics, and Mechanisms. Appl. Surf. Sci. 2020, 518, 146226. [Google Scholar] [CrossRef]
- Abe, T.; Watanabe, A. X-ray Photoelectron Spectroscopy of Nitrogen Functional Groups in Soil Humic Acids. Soil Sci. 2004, 169, 35–43. [Google Scholar] [CrossRef]
- Biesinger, M.C.; Lau, L.W.M.; Gerson, A.R.; Smart, R.S.C. Resolving Surface Chemical States in XPS Analysis of First Row Transition Metals, Oxides and Hydroxides: Sc, Ti, V, Cu and Zn. Appl. Surf. Sci. 2010, 257, 887–898. [Google Scholar] [CrossRef]
- Molefe, L.Y.; Musyoka, N.M.; Ren, J.; Langmi, H.W.; Mathe, M.; Ndungu, P.G. Polymer-Based Shaping Strategy for Zeolite Templated Carbons (ZTC) and Their Metal Organic Framework (MOF) Composites for Improved Hydrogen Storage Properties. Front. Chem. 2019, 7, 864. [Google Scholar] [CrossRef]
- Wang, B.; Lv, X.-L.; Feng, D.; Xie, L.-H.; Zhang, J.; Li, M.; Xie, Y.; Li, J.-R.; Zhou, H.-C. Highly Stable Zr(IV)-Based Metal–Organic Frameworks for the Detection and Removal of Antibiotics and Organic Explosives in Water. J. Am. Chem. Soc. 2016, 138, 6204–6216. [Google Scholar] [CrossRef] [PubMed]
- Užarević, K.; Wang, T.C.; Moon, S.-Y.; Fidelli, A.M.; Hupp, J.T.; Farha, O.K.; Friščić, T. Mechanochemical and Solvent-Free Assembly of Zirconium-Based Metal–Organic Frameworks. Chem. Commun. 2016, 52, 2133–2136. [Google Scholar] [CrossRef] [PubMed]
- Jayaramulu, K.; Geyer, F.; Schneemann, A.; Kment, Š.; Otyepka, M.; Zboril, R.; Vollmer, D.; Fischer, R.A. Hydrophobic Metal–Organic Frameworks. Adv. Mater. 2019, 31, 1900820. [Google Scholar] [CrossRef] [PubMed]
- Armarego, W.L.F. Purification of Laboratory Chemicals, 8th ed.; Elsevier: Amsterdam, The Netherlands, 2017; ISBN 978-0-12-805457-4. [Google Scholar]
- Schaate, A.; Roy, P.; Godt, A.; Lippke, J.; Waltz, F.; Wiebcke, M.; Behrens, P. Modulated Synthesis of Zr-Based Metal-Organic Frameworks: From Nano to Single Crystals. Chem. Eur. J. 2011, 17, 6643–6651. [Google Scholar] [CrossRef]
- Rietveld, H.M. A Profile Refinement Method for Nuclear and Magnetic Structures. J. Appl. Crystallogr. 1969, 2, 65–71. [Google Scholar] [CrossRef]
- Rodríguez-Carvajal, J. FULLPROF: A Program for Rietveld Refinement and Pattern Matching Analysis. In Proceedings of the Abstracts of the Satellite Meeting on Powder Diffraction of the XV Congress of the IUCr, Toulouse, France, 16–19 July 1990; p. 127. [Google Scholar]
- Fairley, N.; Fernandez, V.; Richard-Plouet, M.; Guillot-Deudon, C.; Walton, J.; Smith, E.; Flahaut, D.; Greiner, M.; Biesinger, M.; Tougaard, S.; et al. Systematic and Collaborative Approach to Problem Solving Using X-ray Photoelectron Spectroscopy. Appl. Surf. Sci. Adv. 2021, 5, 100112. [Google Scholar] [CrossRef]
















| Compound | Ratio | Conversion (%) |
|---|---|---|
| (1) | 0.44 | 30.79 |
| (2) | 1.15 | 53.40 |
| (3) | 2.72 | 73.10 |
| (4) | 1.04 | 51.07 |
| Compound | Peak Position (2θ) | FWHM (2θ) | Crystallite Size (nm) |
|---|---|---|---|
| UiO-66-NH2 | 7.345 | 0.2815 | 29.55 |
| (1) | 7.334 | 0.2140 | 38.86 |
| (2) | 7.357 | 0.2158 | 38.54 |
| (3) | 7.366 | 0.3312 | 25.11 |
| (4) | 7.373 | 0.2310 | 36.01 |
| Chemical Specie | NH2 Conc. (%) | HN(C=O) Conc. (%) |
|---|---|---|
| (1) | 71.19 | 28.81 |
| (2) | 40.78 | 59.22 |
| (3) | 37.46 | 62.53 |
| (4) | 43.45 | 56.55 |
| Compound | SBET (m2 g−1) | Vm (cm3 g−1) | Dp (nm) |
|---|---|---|---|
| UiO-66-NH2 | 984 | 0.30 | 0.82 |
| 1 | 542 | 0.16 | 0.81 |
| 2 | 330 | 0.10 | 0.81 |
| 3 | 295 | 0.09 | 0.81 |
| 4 | 416 | 0.16 | 0.81 |
| Compound | Contact Angle (°) |
|---|---|
| UiO-66-NH2 | 32.7 |
| 1 | 2.83 |
| 2 | 1.19 |
| 3 | 2.78 |
| 4 | 2.67 |
Disclaimer/Publisher’s Note: The statements, opinions and data contained in all publications are solely those of the individual author(s) and contributor(s) and not of MDPI and/or the editor(s). MDPI and/or the editor(s) disclaim responsibility for any injury to people or property resulting from any ideas, methods, instructions or products referred to in the content. |
© 2023 by the authors. Licensee MDPI, Basel, Switzerland. This article is an open access article distributed under the terms and conditions of the Creative Commons Attribution (CC BY) license (https://creativecommons.org/licenses/by/4.0/).
Share and Cite
Narea, P.; Brito, I.; Quintero, Y.; Camú, E. Novel Hydrophobic Functionalized UiO-66 Series: Synthesis, Characterization, and Evaluation of Their Structural and Physical–Chemical Properties. Int. J. Mol. Sci. 2024, 25, 199. https://doi.org/10.3390/ijms25010199
Narea P, Brito I, Quintero Y, Camú E. Novel Hydrophobic Functionalized UiO-66 Series: Synthesis, Characterization, and Evaluation of Their Structural and Physical–Chemical Properties. International Journal of Molecular Sciences. 2024; 25(1):199. https://doi.org/10.3390/ijms25010199
Chicago/Turabian StyleNarea, Pilar, Iván Brito, Yurieth Quintero, and Esteban Camú. 2024. "Novel Hydrophobic Functionalized UiO-66 Series: Synthesis, Characterization, and Evaluation of Their Structural and Physical–Chemical Properties" International Journal of Molecular Sciences 25, no. 1: 199. https://doi.org/10.3390/ijms25010199
APA StyleNarea, P., Brito, I., Quintero, Y., & Camú, E. (2024). Novel Hydrophobic Functionalized UiO-66 Series: Synthesis, Characterization, and Evaluation of Their Structural and Physical–Chemical Properties. International Journal of Molecular Sciences, 25(1), 199. https://doi.org/10.3390/ijms25010199

