Synthesis of Bioactive Aminomethylated 8-Hydroxyquinolines via the Modified Mannich Reaction
Abstract
1. Introduction
2. Syntheses of Aminomethylated 8-Hydroxyquinolines
2.1. Syntheses of Mannich Bases Furnishing 1:1:1 (CH2O:Amine:8HQ) Ratio in the Product
2.1.1. Syntheses by Using Primary Amines
2.1.2. Syntheses by Using Acyclic Secondary Amines
2.1.3. Syntheses by Using Cyclic Secondary Amines
2.2. Syntheses of Mannich Bases Furnishing 2:1:1 Moiety Ratio in the Product (CH2O:Amine:8HQ)
2.2.1. Syntheses by Using Primary Amines Delivering Dihidro-1,3-Oxazinoquinolines
2.2.2. Syntheses by Using Primary Amines Furnishing Azabicyclo Derivatives
2.3. Syntheses of Mannich Bases Furnishing 2:1:2 Moiety Ratio in the Product (CH2O:Amine:8HQ)
2.3.1. Syntheses by Using Primary and Cyclic Secondary Amines
2.3.2. Syntheses by Using Diaza-Crown Ethers
2.4. Syntheses of Mannich Bases Furnishing Products in Miscellaneous Ratios
Syntheses by Furnishing (Methylene)bisproducts with 2:2:1 Ratio in the Product (CH2O:Amine:8HQ)
3. Conclusions
Author Contributions
Funding
Institutional Review Board Statement
Informed Consent Statement
Data Availability Statement
Acknowledgments
Conflicts of Interest
References
- Blicke, F.F. The Mannich Reaction. Org. React. 1942, 1, 303–341. [Google Scholar]
- Mannich, C.; Krösche, W. Ueber ein Kondensation produkt aus Formaldehyd, Ammoniak und Antipyrin. Arch. Pharm. 1912, 250, 647–667. [Google Scholar] [CrossRef]
- Farbenfabriken vorm. Friedr. Bayer & Co., Ltd. Verfahren zur Ueberführung von Phenolen, Naphtolen und Dioxynaphtalinen in neue Producte, welche an Stelle der OH-Gruppe den Atomcomplex –OCH2N–R enthalten. Patent Application DE89979, 5 December 1896. [Google Scholar]
- Farbenfabriken vorm. Friedr. Bayer & Co., Ltd. Verfahren zur Ueberführung von Phenolen, Naphtolen und Dioxynaphtalinen in neue Producte, welche an Stelle der –OH-Gruppe den Atomcomplex –OCH2N–R enthalten. Patent Application DE90907, 2 February 1897. [Google Scholar]
- Farbenfabriken vorm. Friedr. Bayer & Co., Ltd. Verfahren zur Darstellung von aromatischen mit der im Kern sitzenden Gruppe: –CH2-N–R. Patent Application DE92309, 3 May 1897. [Google Scholar]
- Sachs, F. Eine Condensation von Phthalimid mit Formaldehyd. Ber. Dtsch. Chem. Ges. 1898, 31, 3230–3235. [Google Scholar] [CrossRef]
- Hildebrandt, H. Über einige Synthesen im Tierkörper. I. Mitteilung. 1. Piperidinderivative. Arch. Exp. Path. Pharm. 1900, 44, 278–316. [Google Scholar] [CrossRef]
- Betti, M. On the addition of benzyl amine to naphthol. Gazz. Chim. Ital. 1900, 30, 301–309. [Google Scholar]
- Betti, M. General condensation reaction between β-naphthol, aldehydes and amines. Gazz. Chim. Ital. 1900, 30, 310–316. [Google Scholar]
- Cardellicchio, C.; Capozzi, M.A.M.; Naso, F. The Betti base: The awakening of a sleeping beauty. Tetrahedron Asymmetry 2010, 21, 507–517. [Google Scholar] [CrossRef]
- van Marle, C.M.; Tollens, B. Ueber Formaldehyd Derivate des Acetophenons. Ber. Dtsch. Chem. Ges. 1903, 36, 1351–1357. [Google Scholar] [CrossRef]
- Schäfer, H.; Tollens, B. Ueber die Bildung von Basen aus Acetophenon, Formaldehyd und Chlorammonium. Ber. Dtsch. Chem. Ges. 1906, 39, 2181–2189. [Google Scholar] [CrossRef]
- Auwers, K.; Dombrowski, A. Ueber einige Oxybenzylpiperidine und Dibrom-p-oxypseudocumylaniline. Justus Liebigs Ann. Chem. 1906, 344, 280–297. [Google Scholar] [CrossRef]
- Petrenko-Kritschenko, P.; Zoneff, N. Ueber die Condensation von Aceton-dicarbonsäureestern mit Benzaldehyd unter Anwendung von Ammoniak. Ber. Dtsch. Chem. Ges. 1906, 39, 1358–1361. [Google Scholar] [CrossRef]
- Petrenko-Kritschenko, P.; Petrow, W. Über die Kondensation der Aceton-dicarbonsäureester mit Aldehyden vermittels Ammoniak und Aminen. Ber. Dtsch. Chem. Ges. 1908, 41, 1692–1695. [Google Scholar] [CrossRef]
- Petrenko-Kritschenko, P. Über die Kondensation der Aceton-dicarbonsäureester mit Aldehyden vermittels Ammoniak und Aminen. Ber. Dtsch. Chem. Ges. 1909, 42, 3683–3694. [Google Scholar] [CrossRef]
- Petrenko-Kritschenko, P.; Schöttle, S. Über die Kondensation der Aceton-dicarbonsäureestern mit Aldehyden vermittels Ammoniak und Aminen. Ber. Dtsch. Chem. Ges. 1909, 42, 2020–2025. [Google Scholar] [CrossRef]
- Filho, J.F.A.; Lemos, B.C.; de Souza, A.S.; Pinheiro, S.; Greco, S.J. Multicomponent Mannich reactions: General aspects, methodologies and applications. Tetrahedron 2017, 73, 6977–7004. [Google Scholar] [CrossRef]
- Biersack, B.; Ahmed, K.; Padhye, S.; Schobert, R. Recent developments concerning the application of the Mannich reaction for drug design. Expert Opin. Drug. Discov. 2018, 13, 39–49. [Google Scholar] [CrossRef]
- Roman, G. Anticancer Activity of Mannich Bases: A Review of Recent Literature. ChemMedChem 2022, 17, e202200258. [Google Scholar] [CrossRef]
- Bhilare, N.V.; Marulkar, V.S.; Shirote, P.J.; Dombe, S.A.; Pise, V.J.; Salve, P.L.; Biradar, S.M.; Yadav, V.D.; Jadhav, P.D.; Bodhe, A.A.; et al. Synthesis and cytotoxic evaluation of some Mannich bases of alicyclic ketones. Med. Chem. 2022, 18, 735–756. [Google Scholar] [CrossRef]
- Phillips, J.P. The Reactions Of 8-Quinolinol. Chem. Rev. 1956, 56, 271–297. [Google Scholar] [CrossRef]
- Gholz, L.M.; Arons, W.L. Prophylaxis and therapy of amebiasis and shigellosis with iodochlorhydroxyquin. Am. J. Trop. Med. Hyg. 1964, 13, 396–401. [Google Scholar] [CrossRef]
- Mett, H.; Gyr, K.; Zak, O.; Vosbeck, K. Duodeno-pancreatic secretions enhance bactericidal activity of antimicrobial drugs. Antimicrob. Agents Chemother. 1984, 26, 35–38. [Google Scholar] [CrossRef]
- Stocchi, F. Clinical tests of topical preparations containing betamethasone 17-benzoate and the same associated with 5,7-dichloro-8-hydroxyquinoline (chloroxine). Clin. Ter. 1977, 83, 359–369. [Google Scholar] [PubMed]
- Rao, S.R.; Rajyalaxmi, K.; Murthy, K.J.; Chandrasekhar, V.P. Anti-fungal activity of broxyquinoline and brobenzoxaldine. J. Assoc. Physicians India 1973, 21, 295–298. [Google Scholar] [PubMed]
- Chan, F.T.; Guan, M.X.; Mackenzie, A.M.; Diaz-Mitoma, F. Susceptibility testing of Dientamoeba fragilis ATCC 30948 with iodoquinol, paromomycin, tetracycline, and metronidazole. Antimicrob. Agents Chemother. 1994, 38, 1157–1160. [Google Scholar] [CrossRef] [PubMed]
- Pelletier, C.; Prognon, P.; Bourlioux, P. Roles of divalent cations and pH in mechanism of action of nitroxoline against Escherichia coli strains. Antimicrob. Agents Chemother. 1995, 39, 707–713. [Google Scholar] [CrossRef]
- Bougoudogo, F.; Fournier, J.M.; Dodin, A. In vitro sensitivity of Vibrio cholerae serotype 0:139 to an intestinal antiseptic tiliquinol-tilbroquinol combination. Bull. Soc. Pathol. Exot. 1994, 87, 38–40. [Google Scholar] [PubMed]
- Nakagawa, K.; Yoshizaki, S.; Tanimura, K.; Tamada, S. 5-[1-Hydroxy-2-(substituted-amino)]alkyl-8-hydroxycarbostyril Derivatives. Patent Application US4026897A, 1977. [Google Scholar]
- Gupta, R.; Luxami, V.; Paul, K. Insights of 8-hydroxyquinolines: A novel target in medicinal chemistry. Bioorg. Chem. 2021, 108, 104633. [Google Scholar] [CrossRef]
- Shen, A.Y.; Chen, C.P.; Roffler, S. A chelating agent possessing cytotoxicity and antimicrobial activity: 7-morpholinomethyl-8-hydroxyquinoline. Life Sci. 1999, 64, 813–825. [Google Scholar] [CrossRef] [PubMed]
- Wangtrakuldee, P.; Byrd, M.S.; Campos, C.G.; Henderson, M.W.; Zhang, Z.; Clare, M.; Masoudi, A.; Myler, P.J.; Horn, J.R.; Cotter, P.A.; et al. Discovery of Inhibitors of Burkholderia Pseudomallei Methionine Aminopeptidase with Antibacterial Activity. ACS Med. Chem. Lett. 2013, 4, 699–703. [Google Scholar] [CrossRef]
- Helgren, T.R.; Chen, C.; Wangtrakuldee, P.; Edwards, T.E.; Staker, B.L.; Abendroth, J.; Sankaran, B.; Housley, N.A.; Myler, P.J.; Audia, J.P.; et al. Identification of Inhibitory Compounds of Rickettsia prowazekii Methionine Aminopeptidase for Antibacterial Applications. Bioorg. Med. Chem. 2017, 25, 813–824. [Google Scholar] [CrossRef]
- Nara, T.; Nakagawa, Y.; Tsuganezawa, K.; Yuki, H.; Sekimata, K.; Koyama, H.; Ogawa, N.; Honma, T.; Shirouzu, M.; Fukami, T.; et al. The ubiquinone synthesis pathway is a promising drug target for Chagas disease. PLoS ONE 2021, 16, e0243855. [Google Scholar] [CrossRef] [PubMed]
- Elofsson, M. Method and Means for Preventing and Inhibiting Type III Secretion in Infections Caused by Gram-Negative Bacteria. Patent Application WO2008115118, 2008. [Google Scholar]
- Enquist, P.-A.; Gylfe, A.; Hägglund, U.; Lindström, P.; Norberg-Scherman, H.; Sundin, C.; Elofsson, M. Derivatives of 8-hydroxyquinoline–antibacterial agents that target intra- and extracellular Gram-negative pathogens. Bioorg. Med. Chem. Lett. 2012, 22, 3550–3553. [Google Scholar] [CrossRef]
- Medić-Šarić, M.; Maysinger, D.; Movrin, M.; Dvoržak, I. Antibacterial and antifungal activities of nitroxoline Mannich bases. Chemotherapy 1980, 26, 263–267. [Google Scholar] [CrossRef] [PubMed]
- Shehab, M.A.S.; El-Naggar, M.; Ismail, R.A.; Kafrawy, H.M.E.; Abood, A.; Ismail, S.A.; Sabry, N.M.; Sayed, M.T.E. Synthesis of Some Novel Quinolinols with In-vitro Antimicrobial, and Antioxidant Activity. Curr. Bioact. Compds. 2020, 16, 514–520. [Google Scholar] [CrossRef]
- Yin, X.-D.; Sun, Y.; Lawoe, R.K.; Yang, G.-Z.; Liu, Y.-Q.; Shang, X.-F.; Liu, H.; Yang, Y.-D.; Zhu, J.-K.; Huang, X.-L. Synthesis and anti-phytopathogenic activity of 8- hydroxyquinoline derivatives. RSC Adv. 2019, 9, 30087–30099. [Google Scholar] [CrossRef]
- Liu, Y.; Yang, G.; Yin, X.; Peng, J.; Zhao, Z.; Liu, H.; Zhu, J.; Yang, Y. Application of 8-hydroxyquinoline Compounds as Agrochemical Fungicides. Patent Application CN109467533, 2019. [Google Scholar]
- Bolognesi, M.L.; Bongarzone, S.; Aulic, S.; Tran, H.N.A.; Prati, F.; Carloni, P.; Legname, G. Rational approach to an antiprion compound with a multiple mechanism of action. Future Med. Chem. 2015, 7, 2113–2120. [Google Scholar] [CrossRef] [PubMed]
- Alderman, D.J. Whirling disease chemotherapy. Bull. Eur. Ass. Fish Pathol. 1986, 6, 38–40. [Google Scholar]
- Shen, A.Y.; Wu, S.N.; Chiu, C.T. Synthesis and cytotoxicity evaluation of some 8-hydroxyquinoline derivatives. J. Pharm. Pharmacol. 1999, 51, 543–548. [Google Scholar] [CrossRef]
- Bhat, S.; Shim, J.S.; Zhang, F.; Chong, C.R.; Liu, J.O. Substituted Oxines Inhibit Endothelial Cell Proliferation and Angiogenesis. Org. Biomol. Chem. 2012, 10, 2979–2992. [Google Scholar] [CrossRef]
- Xie, M.; Ding, S. Inhibitors of JMJD2C as Anticancer Agents. Patent Application WO2015167874, 2015. [Google Scholar]
- Mohammed, I.; Hampton, S.E.; Ashall, L.; Hildebrandt, E.R.; Kutlik, R.A.; Manandhar, S.P.; Floyd, B.J.; Smith, H.E.; Dozier, J.K.; Distefano, M.D.; et al. 8-Hydroxyquinoline-based inhibitors of the Rce1 protease disrupt Ras membrane localization in human cells. Bioorg. Med. Chem. 2016, 24, 160–178. [Google Scholar] [CrossRef]
- Szakács, G.; Tóth, S.; Soós, T.; Ferenczi-Palkó, R.; Füredi, A.; Türk, D.; Pape, V.F.S.; Fülöp, F.; Szatmári, I.; Dormán, G. Preparation of MDR-reversing 8-hydroxyquinoline Derivatives. Patent Application WO2017175018, 2017. [Google Scholar]
- Pape, V.F.S.; Palkó, R.; Tóth, S.; Szabó, M.J.; Sessler, J.; Dormán, G.; Enyedy, É.A.; Soós, T.; Szatmári, I.; Szakács, G. Structure–Activity Relationships of 8-Hydroxyquinoline-Derived Mannich Bases with Tertiary Amines Targeting Multidrug-Resistant Cancer. J. Med. Chem. 2022, 65, 7729–7745. [Google Scholar] [CrossRef]
- Pape, V.F.S.; Gaál, A.; Szatmári, I.; Kucsma, N.; Szoboszlai, N.; Streli, C.; Fülöp, F.; Enyedy, É.A.; Shen, G. Relation of Metal-Binding Property and Selective Toxicity of 8-Hydroxyquinoline Derived Mannich Bases Targeting Multidrug Resistant Cancer Cells. Cancers 2021, 13, 154. [Google Scholar] [CrossRef] [PubMed]
- Mészáros, J.P.; Poljarević, J.M.; Szatmári, I.; Csuvik, O.; Fülöp, F.; Szoboszlai, N.; Spengler, G.; Enyedy, É.A. An 8-Hydroxyquinoline–Proline Hybrid with Multidrug Resistance Reversal Activity and the Solution Chemistry of Its Half-Sandwich Organometallic Ru and Rh Complexes. Dalton Trans. 2020, 49, 7977–7992. [Google Scholar] [CrossRef]
- Pivarcsik, T.; Dömötör, O.; Mészáros, J.P.; May, N.V.; Spengler, G.; Csuvik, O.; Szatmári, I.; Enyedy, É.A. 8-Hydroxyquinoline-Amino Acid Hybrids and Their Half-Sandwich Rh and Ru Complexes: Synthesis, Anticancer Activities, Solution Chemistry and Interaction with Biomolecules. Int. J. Mol. Sci. 2021, 22, 11281. [Google Scholar] [CrossRef] [PubMed]
- Pivarcsik, T.; Pósa, V.; Kovács, H.; May, N.V.; Spengler, G.; Pósa, S.P.; Tóth, S.; Yazdi, Z.Y.; Özvegy-Laczka, C.; Ugrai, I.; et al. Metal Complexes of a 5-Nitro-8-Hydroxyquinoline-Proline Hybrid with Enhanced Water Solubility Targeting Multidrug Resistant Cancer Cells. Int. J. Mol. Sci. 2023, 24, 593. [Google Scholar] [CrossRef]
- Chen, H.-L.; Chang, C.-Y.; Lee, H.-T.; Lin, H.-H.; Lu, P.-J.; Yang, C.-N.; Shiau, C.-W.; Shaw, A.Y. Synthesis and Pharmacological Exploitation of Clioquinol-Derived Copper-Binding Apoptosis Inducers Triggering Reactive Oxygen Species Generation and MAPK Pathway Activation. Bioorg. Med. Chem. 2009, 17, 7239–7247. [Google Scholar] [CrossRef] [PubMed]
- Shaw, A.Y.; Chang, C.-Y.; Hsu, M.-Y.; Lu, P.-J.; Yang, C.-N.; Chen, H.-L.; Lo, C.-W.; Shiau, C.-W.; Chern, M.-K. Synthesis and structure-activity relationship study of 8-hydroxyquinoline-derived Mannich bases as anticancer agents. Eur. J. Med. Chem. 2010, 45, 2860–2867. [Google Scholar] [CrossRef]
- Wang, J.; Li, W. Discovery of novel second mitochondria-derived activator of caspase mimetics as selective inhibitor of apoptosis protein inhibitors. J. Pharmacol. Exp. Ther. 2014, 349, 319–329. [Google Scholar] [CrossRef]
- Xiao, M.; Wang, J.; Lin, Z.; Lu, Y.; Li, Z.; White, S.W.; Miller, D.D.; Li, W. Design, Synthesis and Structure-Activity Relationship Studies of Novel Survivin Inhibitors with Potent Anti-Proliferative Properties. PLoS ONE 2015, 10, e0129807. [Google Scholar] [CrossRef]
- Wang, Q.; Arnst, K.E.; Xue, Y.; Lei, Z.N.; Ma, D.; Chen, Z.S.; Miller, D.D.; Li, W. Synthesis and biological evaluation of indole-based UC-112 analogs as potent and selective survivin inhibitors. Eur. J. Med. Chem. 2018, 149, 211–224. [Google Scholar] [CrossRef]
- Mirković, B.; Renko, M.; Turk, S.; Sosič, I.; Jevnikar, Z.; Obermajer, N.; Turk, D.; Gobec, S.; Kos, J. Novel Mechanism of Cathepsin B Inhibition by Antibiotic Nitroxoline and Related Compounds. ChemMedChem 2011, 6, 1351–1356. [Google Scholar] [CrossRef]
- Sosič, I.; Mirković, B.; Arenz, K.; Štefane, B.; Kos, J.; Gobec, S. Development of New Cathepsin B Inhibitors: Combining Bioisosteric Replacements and Structure-Based Design to Explore the Structure-Activity Relationships of Nitroxoline Derivatives. J. Med. Chem. 2013, 56, 521–533. [Google Scholar] [CrossRef] [PubMed]
- Mitrović, A.; Sosič, I.; Kos, Š.; Tratar, U.L.; Breznik, B.; Kranjc, S.; Mirković, B.; Gobec, S.; Lah, T.; Serša, G.; et al. Addition of 2-(Ethylamino)Acetonitrile Group to Nitroxoline Results in Significantly Improved Anti-Tumor Activity in Vitro and in Vivo. Oncotarget 2017, 8, 59136–59147. [Google Scholar] [CrossRef] [PubMed]
- Mitrović, A.; Kljun, J.; Sosič, I.; Uršič, M.; Meden, A.; Gobec, S.; Kos, J.; Turel, I. Organoruthenated Nitroxoline Derivatives Impair Tumor Cell Invasion through Inhibition of Cathepsin B Activity. Inorg. Chem. 2019, 58, 12334–12347. [Google Scholar] [CrossRef] [PubMed]
- Ahn, J.S.; Radhakrishnan, M.L.; Mapelli, M.; Choi, S.; Tidor, B.; Cuny, G.D.; Musacchio, A.; Yeh, L.-A.; Kosik, K.S. Defining Cdk5 Ligand Chemical Space with Small Molecule Inhibitors of Tau Phosphorylation. Chem. Biol. 2005, 12, 811–823. [Google Scholar] [CrossRef]
- Fernández-Bachiller, M.I.; Pérez, C.; González-Muñoz, G.C.; Conde, S.; López, M.G.; Villarroya, M.; García, A.G.; Rodríguez-Franco, M.I. Novel Tacrine−8-Hydroxyquinoline Hybrids as Multifunctional Agents for the Treatment of Alzheimer’s Disease, with Neuroprotective, Cholinergic, Antioxidant, and Copper-Complexing Properties. J. Med. Chem. 2010, 53, 4927–4937. [Google Scholar] [CrossRef]
- Prati, F.; Bergamini, C.; Fato, R.; Soukup, O.; Korabecny, J.; Andrisano, V.; Bartolini, M.; Bolognesi, M.L. Novel 8-Hydroxyquinoline Derivatives as Multitarget Compounds for the Treatment of Alzheimer’s Disease. ChemMedChem 2016, 11, 1284–1295. [Google Scholar] [CrossRef]
- Knez, D.; Sosič, I.; Mitrović, A.; Pišlar, A.; Kos, J.; Gobec, S. 8-Hydroxyquinoline-based anti-Alzheimer multimodal agents. Monatsh. Chem. 2020, 151, 1111–1120. [Google Scholar] [CrossRef]
- Free, R.B.; Chun, L.S.; Moritz, A.E.; Miller, B.N.; Doyle, T.B.; Conroy, J.L.; Padron, A.; Meade, J.A.; Xiao, J.; Hu, X.; et al. Discovery and Characterization of a G Protein–Biased Agonist That Inhibits β-Arrestin Recruitment to the D2 Dopamine Receptor. Mol. Pharmacol. 2014, 86, 96–105. [Google Scholar] [CrossRef]
- Chan, H.C.S.; Xu, Y.; Tan, L.; Vogel, H.; Cheng, J.; Wu, D.; Yuan, S. Enhancing the Signaling of GPCRs via Orthosteric Ions. ACS Cent. Sci. 2020, 6, 274–282. [Google Scholar] [CrossRef]
- Swale, D.R.; Kurata, H.; Kharade, S.V.; Sheehan, J.; Raphemot, R.R.; Voigtritter, K.R.; Figueroa, E.; Meiler, J.; Blobaum, A.L.; Lindsley, C.W.; et al. ML418: The First Selective, Sub-Micromolar Pore Blocker of Kir7.1 Potassium Channels. ACS Chem. Neurosci. 2016, 7, 1013–1023. [Google Scholar] [CrossRef] [PubMed]
- Zaoui, F.; Villemin, D.; Bar, N.; Didi, M.A. New complexone derivatives of 8-hydroxyquinoline and theirs application in UO22+ extraction. Eur. Chem. Bull. 2014, 3, 783–787. [Google Scholar]
- Fields, E.K. Lubricant Compositions. Patent Application US2948680, 1960. [Google Scholar]
- Burckhalter, J.H.; Stephens, V.C.; Scarborough, H.C., Jr.; Brinigar, W.S.; Edgerton, W.H. Antiamebic Agents. III.1 Basic Derivatives of Chloro-8-quinolinols. J. Am. Chem. Soc. 1954, 76, 4902–4906. [Google Scholar] [CrossRef]
- Manetti, F.; Maresca, L.; Crivaro, E.; Pepe, S.; Cini, E.; Singh, S.; Governa, P.; Maramai, S.; Giannini, G.; Stecca, B.; et al. Quinolines and Oxazino-quinoline Derivatives as Small Molecule GLI1 Inhibitors Identified by Virtual Screening. ACS Med. Chem. Lett. 2022, 13, 1329–1336. [Google Scholar] [CrossRef] [PubMed]
- Abuthahir, S.S.S.; Nasser, A.J.A.; Rajendran, S.; Brindha, G. Synthesis, Spectral Studies and Antibacterial Activities of 8-Hydroxyquinoline Derivative and its Metal Complexes. Chem. Sci. Trans. 2014, 3, 303–313. [Google Scholar]
- Banerjee, A. Synthesis, Spectral and Potentiometric Studies on 7-(α-Substituted-benzimidazolyl)-8-hydroxyquinolines. J. Indian Chem. Soc. 1989, 66, 319–321. [Google Scholar]
- Sahoo, B.; Tripathy, P.B.; Rout, M.K. Antispasmodic compounds. Part IV. J. Indian Chem. Soc. 1959, 36, 421–424. [Google Scholar]
- Tripathy, P.B.; Pujari, H.K.; Rout, M.K. Thiazole derivatives as antispasmodics and antihistaminics. Part III. J. Indian Chem. Soc. 1958, 35, 407–410. [Google Scholar]
- Bhargava, P.N.; Sharma, S.C. Some Possible Antihistamines and Antispasmodics. II. Synthesis of Mannich Bases. Bull. Chem. Soc. Jpn. 1965, 38, 912–915. [Google Scholar] [CrossRef]
- Mallur, S.G.; Badami, B.V. Novel triheterocyclic systems by Mannich reaction on 3-arylsydnones: Synthesis of 3-aryl-4-[2′-(8′’-hydroxy-7′’-quinolinyl-methylamino)-thiazol-4′-yl]sydnones and 3-aryl-4-[2′-(3″-acetyl-2″-hydroxy-benzylamino)-thiazol-4′-yl]sydnones as possible antimicrobial agents. Indian J. Chem. 2001, 40, 742–747. [Google Scholar]
- Movrin, M.; Maysinger, D.; Marok, E. Biologically Active Mannich Bases Derived from Nitroxoline. Pharmazie 1980, 35, 458–460. [Google Scholar]
- Movrin, M.; Marok, E. Biologically active Mannich bases with amino acids. Acta Pharm. Jugosl. 1982, 32, 169–175. [Google Scholar]
- Burckhalter, J.H. Substituted Chloroquinolinol Compounds. Patent Application US2746963, 1956. [Google Scholar]
- Thompson, P.E.; Bayles, A.; McClay, P.; Meisenhelder, J.E. Antiamebic Studies on 5-chloro-7-(3-diethylaminopropylaminomethyl)-8-quinolinol In vitro and In Experimentally Infected Animals. J. Parasitol. 1965, 51, 817–822. [Google Scholar] [CrossRef] [PubMed]
- Elslager, E.F.; Worth, D.F. Preparation and Properties of Clamoxyquin Pamoate, 1 an Antiamebic and Antidiarrheal Agent. J. Med. Chem. 1967, 10, 971–972. [Google Scholar] [CrossRef] [PubMed]
- Burckhalter, J.H.; Brinigar, W.S.; Thompson, P.E. Antiamebic agents. V. Promising basic amebicides derived from 5-chloro-8-quinolinol. J. Org. Chem. 1961, 26, 4070–4078. [Google Scholar] [CrossRef]
- Kenyon, V.; Rai, G.; Jadhav, A.; Schultz, L.; Armstrong, M.; Jameson, J.B.; Perry, S.; Joshi, N.; Bougie, J.M.; Leister, W.; et al. Discovery of Potent and Selective Inhibitors of Human Platelet-Type 12- Lipoxygenase. J. Med. Chem. 2011, 54, 5485–5497. [Google Scholar] [CrossRef]
- Combes, G.; Mesnier, M. 3,4-Dihydro pyrido [3,2-h]-1,3-benzoxazine Derivatives. Patent Application FR2160718, 1973. [Google Scholar]
- Combes, G.; Mesnier, M. 7-(Benzylaminomethyl)-8-quinolinols and Their Salts. Patent Application FR2160717, 1973. [Google Scholar]
- Gianni, G.; Taddei, M.; Manetti, F.; Petricci, E.; Stecca, B. Preparation of substituted 3,4-dihydro-2H-[1,3]oxazino[5,6-h]quinolines as Gli1 Inhibitors. Patent Application EP3388419A1, 2018. [Google Scholar]
- Yanni, A.S. Synthesis of Some New 5-Iodo-7-substituted Aminomethyl-8-hydroxyquinolines. Rev. Roum. Chim. 1994, 39, 833–836. [Google Scholar]
- Yanni, A.S.; Timawy, A.A. Synthesis and biological activity of some 7-substituted aminomethyl-8-hydroxyquinoline-5-sulfonic acids. Indian J. Chem. B Org. Med. Chem. 1982, 21, 705–706. [Google Scholar] [CrossRef]
- Yanni, A.S.; Abdel-Hafez, A.A.; Moharram, A.M. Synthesis of some new 7-substituted-aminomethyl-8-hydroxyquinoline-5-substituted-sulfonamides for biological interest. J. Indian Chem. Soc. 1990, 67, 487–489. [Google Scholar] [CrossRef]
- Bourquin, J.-P.; Griot, R.; Schenker, E. Synthese von Estern Halogenierter Chinaldine Und Chinoline. Arch. Pharm. 1962, 295, 383–399. [Google Scholar] [CrossRef] [PubMed]
- Ozawa, T.; Shibuya, S. Studies on the Synthesis of Quinoline Compounds. XIV. Formalin Reaction of 8-Quinolinol Derivatives (2). J. Pharm. Soc. Jpn. 1963, 83, 503–506. [Google Scholar] [CrossRef] [PubMed]
- Shoeb, H.A.; Korkor, M.I.; El-Amin, S.M. Synthetic Schistosomicides. Synthesis of Some Antimonylquinolines. Egypt. J. Chem. 1980, 23, 259–263. [Google Scholar]
- Yanni, A.S.; Mohharam, A.M. Synthesis and biological activity of some 5-substituted aminomethyl-8-hydroxyquinoline-7-sulfonic acids. J. Chem. Technol. Biotechnol. 1990, 49, 243–247. [Google Scholar] [CrossRef]
- Abdelmohsen, S.A. A Convenient Synthesis and Preparation of the Derivatives of Ethyl-6-(8-Hydroxyquinolin-5-yl)-3-Methylpyridazine-4-Carboxylate as Antimicrobial Agents. Eur. J. Chem. 2014, 5, 517–525. [Google Scholar] [CrossRef]
- Burckhalter, J.H.; Tendick, F.H.; Jones, E.M.; Holcomb, W.F.; Rawlins, A.L. Aminoalkylphenols as Antimalarials. I. Simply substituted α-Aminocresols1. J. Am. Chem. Soc. 1946, 68, 1894–1901. [Google Scholar] [CrossRef]
- Phillips, J.P.; Fernando, Q. Chelating Properties of 8-Quinolinol Mannich Bases. J. Am. Chem. Soc. 1953, 75, 3768–3789. [Google Scholar] [CrossRef]
- Motaleb, M.A.; Alabdullah, E.S.; Zaghary, W.A. Synthesis, radiochemical and biological characteristics of 99mTc-8-hydroxy-7-substituted quinoline complex: A novel agent for infection imaging. J. Radioanal. Nucl. Chem. 2011, 287, 61–67. [Google Scholar] [CrossRef]
- Faydy, M.E.; Benhiba, F.; About, H.; Kerroum, Y.; Guenbour, A.; Lakhrissi, B.; Warad, I.; Verma, C.; Sherif, E.-S.M.; Ebenso, E.E.; et al. Experimental and Computational Investigations on the Anti-Corrosive and Adsorption Behavior of 7-N,N’-Dialkyaminomethyl-8-Hydroxyquinolines on C40E Steel Surface in Acidic Medium. J. Colloid Interface Sci. 2020, 576, 330–344. [Google Scholar] [CrossRef] [PubMed]
- Ishida, N.; Watanabe, H. Metal Deactivator and Its Use as A Lubricating Oil Additive. Patent Application FR2588615, 1982. [Google Scholar]
- Shterev, A.; Todorov, B.; Vodenicharov, R. Comparative study on aminomethylation of 5-nitro-8-hydroxyquinoline. Tr. Na Nauchnoizsledovatelskiya Khimikofarmatsevtichen Inst. 1985, 15, 71–80. [Google Scholar]
- Burckhalter, J.H.; Edgerton, W.H.; Durden, J.A. Antimalarial Agents. VII.1 The Synthesis of Certain Quinolylaminoquinolinols Based Upon the Schönhöfer Theory. J. Am. Chem. Soc. 1954, 76, 6089–6093. [Google Scholar] [CrossRef]
- Helin, A.F.; Vanderwerf, C.A. Synthesis of medicinals derived from 5-fluoro-8-hydroxyquinoline. J. Org. Chem. 1952, 17, 229–232. [Google Scholar] [CrossRef]
- Burckhalter, J.H.; Edgerton, W.H. A New Type of 8-Quinolinol Amebacidal Agent. J. Am. Chem. Soc. 1951, 73, 4837–4839. [Google Scholar] [CrossRef]
- Burckhalter, J.H. 5- or 6-Halo-7-dialkylaminomethyl-8-hydroxyquinolines. Patent Application US2681910, 1954. [Google Scholar]
- Edgerton, W.H.; Burckhalter, J.H. Amebacidal Agents. II. 5-Acyl- and 5-Alkyl-7-Dialkylaminomethyl-8-Quinolinols. J. Am. Chem. Soc. 1952, 74, 5209–5210. [Google Scholar] [CrossRef]
- Himmi, B.; Kitane, S.; Eddaif, A.; Joly, J.-P.; Hlimi, F.; Soufiaoui, M.; Bahloul, A.; Sebban, A. Synthesis of Novel 5,7-Disubstituted 8-Hydroxyquinolines. J. Heterocycl. Chem. 2008, 45, 1023–1026. [Google Scholar] [CrossRef]
- Venkataramani, B. Oxine Derivatives. Curr. Sci. 1963, 32, 302–303. [Google Scholar]
- Burckhalter, J.H.; Leib, R.I. Amino- and Chloromethylation of 8-Quinolinol. Mechanism of Preponderant Ortho Substitution in Phenols under Mannich Conditions 1a,b. J. Org. Chem. 1961, 26, 4078–4083. [Google Scholar] [CrossRef]
- Schraufstätter, E.; Bock, M. Substituted 8-quinolinols. Patent Application US2770619, 1956. [Google Scholar]
- Mangeney, G.; Pechmèze, J. Nouveaux Dérivés de L’hydroxy-8.quinoléine et Leurs Applications. Patent Application FR1172432, 1959. [Google Scholar]
- Gopalchari, R.; Dhar, M.L. Potential amoebicides. XV. Synthesis of 7-(and 6,7-di)substituted quinoline-5,8-quinones and 7-substituted 5-p-chlorobenzoyl (and benzyl)-8-hydroxyquinolines. J. Sci. Ind. Res. Sect. B 1962, 21, 266–269. [Google Scholar]
- Möhrle, H.; Schaltenbrand, R. Real structures of drugs seemingly derived from 1-(8-hydroxyquinol-5-yl)-3-phenylpropane-1,3-dione. Pharmazie 1985, 40, 307–311. [Google Scholar] [CrossRef]
- Sen, A.B.; Kulkarni, Y.D. Possible antiamoebic agents. Mannich bases from 8-hydroxyquinolines. J. Indian Chem. Soc. 1956, 33, 326–328. [Google Scholar]
- Ozawa, T.; Shibuya, S. Studies on the Synthesis of Quinoline Compounds. XIII. Formalin Reaction of 8-Quinolinol Derivatives (1). J. Pharm. Soc. Jpn. 1963, 83, 498–502. [Google Scholar] [CrossRef]
- Goyal, M.; Chaturvedi, K.K. Potentiometric study of the complexes of Mannich base with a few bivalent metals. Res. J. Sci. Indore 1987, 9, 11–13. [Google Scholar]
- Mohamed, M.I.F.; Krishnamoorthy, G.; Venkatraman, B.R. Synthesis and antibacterial and antifungal activities of Mannich bases of 8-hydroxyquinoline derivatives. Res. J. Chem. Environ. 2006, 10, 93–96. [Google Scholar]
- Rose, D.; Meinigke, B.; Höffkes, H. 8-Hydroxychinolinderivative als Oxidationfärbemittel. Patent Application DE4434051, 1996. [Google Scholar]
- Meenakshi, K.; Sammaiah, G.; Sarangapani, M.; Rao, J.V. Synthesis and antimicrobial activity of 1-N-piperidinomethyl isatin-3-[N-(quinolin-8-yloxy)acetyl]hydrazones. Indian J. Heterocycl. Chem. 2006, 16, 21–24. [Google Scholar]
- Chhajed, S.S.; Padwal, M.S. Antimicrobial evaluation of some novel Schiff and Mannich bases of Isatin and its derivatives with quinoline. Int. J. Chemtech Res. 2010, 2, 209–213. [Google Scholar]
- Madhu, G.; Jayaveera, K.N.; Nath, L.K.R.; Badampudi, S.K.; Nagarjuna, P.R. Synthesis and structure activity relationship of new antibacterial active multi substituted quinoline-azetidinone Mannich bases. Der. Pharma. Chem. 2012, 4, 1033–1040. [Google Scholar]
- Madhu, G.; Jayaveera, K.N.; Nath, L.K.R.; Badampudi, S.K.; Nagarjuna, P.R. Synthesis, characterization and biological evaluation of multi substituted quinoline-thiazolidinone Mannich bases. Chem. Pharm. Res. 2012, 4, 2928–2936. [Google Scholar]
- Chough, Y.-S. Synthesis of chemotherapeutic agents with 2- and 4-(2-dialkylaminoethyl)piperidines with N,N-bis(2-chloroethyl)-amine side chains. Seoul Univ. J. 1959, 8, 335–358. [Google Scholar]
- Chakravorti, S.; Acharyya, A.K.; Basu, U.P. Synthesis of some quinolyl-1,2,3,4-tetrahydroisoquinoline derivatives as possible amebicidal agents. Indian J. Chem. 1968, 6, 761–762. [Google Scholar]
- Grzycka, K.; Miłkowska, J. Badania aktywności cytostatycznej zwiazków pochodnych rutyny i kwercetyny oraz hydroksychinolin. Ann. Univ. Mariae Curie Sklodowska Med. 1977, 32, 339–343. [Google Scholar]
- Petrow, V.; Sturgeon, B. Some Quinoline-5:8-Quinones. J. Chem. Soc. 1954, 1, 570–574. [Google Scholar] [CrossRef]
- Kim, T.-W.; Landry, D.W.; Hwang, J.C.; Deng, S.-X.D.; Gong, G.; Xie, Y.; Liu, Y.; Rinderspacher, A. Compounds that Inhibit Production of sAPPβ and Aβ and Uses Thereof. Patent Application WO2009137597, 2009. [Google Scholar]
- Faydy, M.E.; Benhiba, F.; Berisha, A.; Kerroum, Y.; Jama, C.; Lakhrissi, B.; Guenbour, A.; Warad, I.; Zarrouk, A. An Experimental-Coupled Empirical Investigation on the Corrosion Inhibitory Action of 7-Alkyl-8-Hydroxyquinolines on C35E Steel in HCl Electrolyte. J. Mol. Liq. 2020, 317, 113973. [Google Scholar] [CrossRef]
- Faydy, M.E.; Dahaieh, N.; Ounine, K.; Rastija, V.; Almalki, F.; Jamalis, J.; Zarrouk, A.; Hadda, T.B.; Lakhrissi, B. Synthesis and antimicrobial activity evaluation of some new 7-substituted quinolin-8-ol derivatives: POM analyses, docking, and identification of antibacterial pharmacophore sites. Chem. Data Collect. 2021, 31, 100593. [Google Scholar] [CrossRef]
- Thinnes, C.C.; Tumber, A.; Yapp, C.; Scozzafava, G.; Yeh, T.; Chan, M.C.; Tran, T.A.; Hsu, K.; Tarhonskaya, H.; Walport, L.J.; et al. Betti Reaction Enables Efficient Synthesis of 8-Hydroxyquinoline Inhibitors of 2-Oxoglutarate Oxygenases. Chem. Commun. 2015, 51, 15458–15461. [Google Scholar] [CrossRef] [PubMed]
- Fu, H.-G.; Li, Z.-W.; Hu, X.-X.; Si, S.-Y.; You, X.-F.; Tang, S.; Wang, Y.-X.; Song, D.-Q. Synthesis and Biological Evaluation of Quinoline Derivatives as a Novel Class of Broad-Spectrum Antibacterial Agents. Molecules 2019, 24, 548. [Google Scholar] [CrossRef] [PubMed]
- Rivera, A.; Ríos-Motta, J.; Navarro, M.A. 7-(Imidazolidin-1-ylmethyl)quinolin-8-ol: An Unexpected Product from a Mannich-Type Reaction in Basic Medium. Heterocycles 2006, 68, 531–537. [Google Scholar] [CrossRef]
- Magarian, R.A.; Nobles, W.L. Potential anti-infective agents I. Quinoline, phenolic, and β-aminoketone derivatives. J. Pharm. Sci. 1967, 56, 987–992. [Google Scholar] [CrossRef] [PubMed]
- Aragoni, M.C.; Arca, M.; Bencini, A.; Caltagirone, C.; Garau, A.; Isaia, F.; Light, M.E.; Lippolis, V.; Lodeiro, C.; Mameli, M.; et al. Zn2+/Cd2+ optical discrimination by fluorescent chemosensors based on 8-hydroxyquinoline derivatives and sulfur-containing macrocyclic units. Dalton Trans. 2013, 42, 14516–14530. [Google Scholar] [CrossRef] [PubMed]
- Aragoni, M.C.; Arca, M.; Bencini, A.; Blake, A.J.; Caltagirone, C.; De Filippo, G.; Devillanova, F.A.; Garau, A.; Gelbrich, T.; Hursthouse, M.B.; et al. Tuning the Selectivity/Specificity of Fluorescent Metal Ion Sensors Based on N2S2 Pyridine-Containing Macrocyclic Ligands by Changing the Fluorogenic Subunit: Spectrofluorimetric and Metal Ion Binding Studies. Inorg. Chem. 2007, 46, 4548–4559. [Google Scholar] [CrossRef]
- Zhang, X.X.; Bradshaw, J.S.; Bordunov, A.V.; Izatt, R.M. Complexation of Metal Ions with Azacrown Ethers Bearing an 8-Hydroxyquinoline Side Arm. J. Inclusion Phenom. Mol. Recognit. Chem. 1997, 29, 259–268. [Google Scholar] [CrossRef]
- Bordunov, A.V.; Bradshaw, J.S.; Zhang, X.X.; Dalley, N.K.; Kou, X.; Izatt, R.M. Synthesis and Properties of 5-Chloro-8-hydroxyquinoline-Substituted Azacrown Ethers: A New Family of Highly Metal Ion-Selective Lariat Ethers. Inorg. Chem. 1996, 35, 7229–7240. [Google Scholar] [CrossRef]
- Bordunov, A.V.; Hellier, P.C.; Bradshaw, J.S.; Dalley, N.K.; Kou, X.; Zhang, X.X.; Izatt, R.M. Synthesis of New Pyridinoazacrown Ethers Containing Aromatic and Heteroaromatic Proton Ionizable Substituents. J. Org. Chem. 1995, 60, 6097–6102. [Google Scholar] [CrossRef]
- Sharghi, H.; Ebrahimpourmoghaddam, S. A Convenient and Efficient Method for the Preparation of Unique Fluorophores of Lariat Naphtho-Aza-Crown Ethers. Helv. Chim. Acta 2008, 91, 1363–1373. [Google Scholar] [CrossRef]
- Sharghi, H.; Khalifeh, R.; Beni, A.R.S. Synthesis of New Lariat Ethers Containing Polycyclic Phenols and Heterocyclic Aromatic Compound on Graphite Surface via Mannich Reaction. J. Iran. Chem. Soc. 2010, 7, 275–288. [Google Scholar] [CrossRef]
- Song, H.-C.; Chen, Y.-W.; Song, J.-G.; Savage, P.B.; Xue, G.-P.; Chiara, J.A.; Krakowiak, K.E.; Izatt, R.M.; Bradshaw, J.S. New diazadi(and tri)thia-21-crown-7 ethers containing 8-hydroxyquinoline side arms. J. Heterocycl. Chem. 2001, 38, 1369–1376. [Google Scholar] [CrossRef]
- Mehta, H.S.; Kaur, H.; Menon, S.K. A Study on Complexation and Transport of Cr(III) Through a Chromogenic Aza Crown Liquid Membrane. J. Macromol. Sci. A 2010, 48, 148–154. [Google Scholar] [CrossRef]
- Ma, H.; Ma, H.; Qiu, J.; Liu, C. Synthesis and properties of 8-hydroxylquinoline-containing polybenzoxazine. Polym. Mater. Sci. Eng. 2016, 32, 24–28. [Google Scholar]
- March, L.C.; Romanchick, W.A.; Bajwa, G.S.; Joullie, M.M. Antimalarials. 2. Dihydro-1,3-oxazinoquinolines and dihydro-1,3-pyridobenzoxazines. J. Med. Chem. 1973, 16, 337–342. [Google Scholar] [CrossRef] [PubMed]
- Page, P.C.B.; Heaney, H.; Rassias, G.A.; Reignier, S.; Sampler, E.P.; Talib, S. The Reductive Cleavage of Cyclic Aminol Ethers to N,N-dialkylamino-derivatives: Modifications to the Eschweiler-Clarke Procedure. Synlett 2000, 1, 104–106. [Google Scholar] [CrossRef]
- Si, S.; Li, Y.; Liu, C.; Zhang, X.; Wang, W.; Wang, Y.; Jiang, J.; You, X.; Song, D.; Zhang, J. Inhibitor for Gram-Negative Bacilli, Preparation and Application Thereof. Patent Application CN108912141, 2018. [Google Scholar]
- Fiorentino, F.; Rotili, D.; Mai, A.; Bolla, J.R.; Robinson, C.V. Mass Spectrometry Enables the Discovery of Inhibitors of an LPS Transport Assembly via Disruption of Protein–Protein Interactions. Chem. Commun. 2021, 57, 10747–10750. [Google Scholar] [CrossRef] [PubMed]
- Olaleye, O.; Raghunand, T.R.; Bhat, S.; Chong, C.; Gu, P.; Zhou, J.; Zhang, Y.; Bishai, W.R.; Liu, J.O. Characterization of Clioquinol and Analogues as Novel Inhibitors of Methionine Aminopeptidases from Mycobacterium Tuberculosis. Tuberculosis 2011, 91 (Suppl. S1), S61–S65. [Google Scholar] [CrossRef]
- Ratan, R.R.; Gazaryan, I.; Smirnova, N. Prolylhydroxylase Inhibitors and Methods of Use. Patent Application WO2011106226, 2011. [Google Scholar]
- Bowlin, T.L.; Peet, N.P.; Butler, M.M.; Cardinale, S.C.; Li, B.; Pai, R. Inhibitors of Botulinum Neurotoxins. Patent Application WO2011022721, 2011. [Google Scholar]
- Mordarski, M.; Chylińska, J.B. Antitumor properties of 1,3-oxazine derivatives. Derivatives of dihydro-1,3-oxazine condensed with an aromatic ring in position 5,6. Arch. Immunol. Ther. Exp. 1971, 19, 533–545. [Google Scholar]
- De La Fuente, R.; Sonawane, N.D.; Arumainayagam, D.; Verkman, A.S. Small Molecules with Antimicrobial Activity against E. Coli and P. Aeruginosa Identified by High-Throughput Screening. Br. J. Pharmacol. 2006, 149, 551–559. [Google Scholar] [CrossRef]
- Yakunina, I.E.; Shakhkel’dyan, I.V.; Atroshchenko, Y.M.; Rybakova, A.S.; Troitskii, N.A.; Shuvalova, E.V. Synthesis of Cytisine Structural Analogs by Mannich Condensation of 5,7-Dinitro-8-hydroxyquinoline Anionic Adduct. Russ. J. Org. Chem. 2005, 41, 1238–1239. [Google Scholar] [CrossRef]
- Medvedeva, A.Y.; Yakunina, I.E.; Atroshchenko, Y.M.; Shumskii, A.N.; Blokhin, I.V. Hydride adducts of dinitroquinolines in multicomponent Mannich reaction. Russ. J. Org. Chem. 2011, 47, 1733–1737. [Google Scholar] [CrossRef]
- Medvedeva, A.Y.; Atroshchenko, Y.M.; Shakhkel’dyan, I.V.; Yakunina, I.E.; Shumskii, A.N.; Kobrakov, K.I. Synthesis and structure of new derivatives of 11-R-1,9-dinitro-13-(2-oxopropyl)-6,11-diazatricyclo[7.3.1.02.7]trideca-2,4,6-trien-8-ones. ChemChemTech 2012, 55, 24–28. [Google Scholar]
- Matsumura, K.; Sasaki, S.; Tada, E. Preparation and Properties of 7-Formyl-8-hydroxy-5-quinolinesulfonic Acid. Bull. Chem. Soc. Jpn. 1976, 49, 3093–3095. [Google Scholar] [CrossRef]
- Raj, M.M.; Raj, L.M.; Patel, H.S.; Shah, T.B. Co-ordination polymers of 7,7′-[1,4-N,N′-dimethylene piperazinylene]-8-quinolinol (DMPQ). Eur. Polym. J. 1999, 35, 1537–1541. [Google Scholar] [CrossRef]
- Shamsipur, M.; Sadeghi, M.; Alizadeh, K.; Bencini, A.; Valtancoli, B.; Garau, A.; Lippolis, V. Novel fluorimetric bulk optode membrane based on 5,8-bis((5’-chloro-8’-hydroxy-7’-quinolinyl)methyl)-2,11-dithia-5,8-diaza-2,6-pyridinophane for selective detection of lead(II) ions. Talanta 2010, 80, 2023–2033. [Google Scholar] [CrossRef]
- Bradshaw, J.S.; Song, H.-C.; Xue, G.-P.; Bronson, R.T.; Chiara, J.A.; Krakowiak, K.E.; Savage, P.B.; Izatt, R.M. Synthesis of Diazadi(and Tri)Thiacrown Ethers Containing Two 5-Substituent(or 2-Methyl)-8-Hydroxyquinoline Side Arms. Supramol. Chem. 2001, 13, 499–508. [Google Scholar] [CrossRef]
- Song, H.-C.; Bradshaw, J.S.; Chen, Y.-W.; Xue, G.-P.; Chiara, J.A.; Krakowiak, K.E.; Savage, P.B.; Xue, Z.-L.; Izatt, R.M. Syntheses of diazadithiacrown ethers containing two 8-hydroxyquinoline side arms. ARKIVOC 2001, 5, 25–35. [Google Scholar] [CrossRef]
- Bronson, R.T.; Bradshaw, J.S.; Savage, P.B.; Fuangswasdi, S.; Lee, S.C.; Krakowiak, K.E.; Izatt, R.M. Bis-8-hydroxyquinoline-armed diazatrithia-15-crown-5 and diazatrithia-16-crown-5 ligands: Possible fluorophoric metal ion sensors. J. Org. Chem. 2001, 66, 4752–4758. [Google Scholar] [CrossRef]
- Su, N.; Bradshaw, J.S.; Zhang, X.X.; Song, H.; Savage, P.B.; Xue, G.; Krakowiak, K.E.; Izatt, R.M. Syntheses and Metal Ion Complexation of Novel 8-Hydroxyquinoline-Containing Diaza-18-Crown-6 Ligands and Analogues. J. Org. Chem. 1999, 64, 8855–8861. [Google Scholar] [CrossRef]
- Farruggia, G.; Iotti, S.; Lombardo, M.; Marraccini, C.; Petruzziello, D.; Prodi, L.; Sgarzi, M.; Trombini, C.; Zaccheroni, N. Microwave Assisted Synthesis of a Small Library of Substituted N,N′-Bis((8-hydroxy-7-quinolinyl)methyl)-1,10-diaza-18-crown-6 Ethers. J. Org. Chem. 2010, 75, 6275–6278. [Google Scholar] [CrossRef] [PubMed]
- Song, H.-C.; Bradshaw, J.S.; Chen, Y.-W.; Xue, G.-P.; Li, W.-M.; Krakowiak, K.E.; Savage, P.B.; Xu, Z.-L.; Izatt, R.M. Synthesis of New Crown Ethers Containing Appended Pyridine, 10-Hydroxybenzoquinoline, 8-Hydroxyquinoline and 2-Amino-1-Hydroxybiphenyl Sidearms. Supramol. Chem. 2002, 14, 263–269. [Google Scholar] [CrossRef]
- Gopalchari, R.; Dhar, M.L. Potential amebicides. IX. Synthesis of 5,5’-bis- and methylenebis(8-hydroxyquinolines), 5,5’-bis(8-hydroxyquinaldine) and some of their tetrahydro, iodo, allyl, and Mannich derivatives. J. Sci. Ind. Res. Sect. B 1960, 19, 233–237. [Google Scholar]
- Xie, J.; Fan, L.; Su, J.; Tian, H. Novel polymeric metal complexes based on bis-(8-hydroxylquinolinol). Dyes Pigm. 2003, 59, 153–162. [Google Scholar] [CrossRef]
- Abdelhameed, R.M.; Ismail, R.A.; El-Naggar, M.; Zarie, E.S.; Abdelaziz, R.; Sayed, M.T.E. Post-synthetic modification of MIL-125 with bis-quinoline Mannich bases for removal of heavy metals from wastewater. Microporous Mesoporous Mater. 2019, 279, 26–36. [Google Scholar] [CrossRef]
- Möhrle, H.; Schaltenbrand, R. Concurrent reaction of the phenol and the 1,3-dicarbonyl function under Mannich conditions. Pharmazie 1985, 40, 767–771. [Google Scholar]
- Bencini, A.; Caddeo, F.; Caltagirone, C.; Garau, A.; Hurstouse, M.B.; Isaia, F.; Lampis, S.; Lippolis, V.; Lopez, F.; Meli, V.; et al. An OFF–ON chemosensor for biological and environmental applications: Sensing Cd2+ in water using catanionic vesicles and in living cells. Org. Biomol. Chem. 2013, 11, 7751–7759. [Google Scholar] [CrossRef]






















![]() | |||
|---|---|---|---|
| Compound | –R | Conditions | Refs. |
| 2 | ![]() | EtOH, reflux (78 °C), 1 h; Yield: 98% | [70] |
| 3a,b | ![]() | a: Benzene, reflux, 30 min; Yield: n.d. b: Neat, 104 °C, 1 h; Yield: n.d. | [71] |
| 4 | ![]() | EtOH, reflux, 90 min; Yield: 90% | [72] |
| 5a,b | ![]() | EtOH, reflux, 4 h; Yield: n.d. | [46] |
| 6a–c | ![]() | MeOH, reflux, 12 h; Yield: a: 13%; b: 3%; c: 31% | [73] |
| 7 | ![]() | EtOH, r.t. 5 min → 120 °C, 12 h; Yield: 52% | [47] |
| 8 | ![]() | DMF, 60 °C, 6 h; Yield: 92.75% | [74] |
| 9 | ![]() | EtOH, r.t.→reflux, 18–22 h; Yield: n.d. | [55] |
| 10a–c | ![]() | EtOH, r.t. → 0 °C; Yield: n.d. | [75] |
| 11a–d | ![]() | EtOH, reflux, HCl; Yield: a: 65%; b: 65%; c: 68%; d: 46%; e: 52%; f: 54%; g: 70% | [76,77,78] |
| 12a–m | ![]() | EtOH, reflux, 8 h, HCl; Yield: a: 85%; b: 85%; c: 80%; d: 85%; e: 75%; f: 75%; g: 65%; h: 75%; i: 82%; j: 65%; k: 65%; l: 70%; m: 70% | [79] |
| 13a–g | ![]() | EtOH, 90 °C, 6 h → r.t. 18 h; Yield: a: 45%; b: 38%; c: 23%; d: 38%; e: 20%; f: 22%; g: 25% | [64] |
![]() | ||||||
|---|---|---|---|---|---|---|
| Compound | n | –R1 | Refs. | Compound | –R2 | Refs. |
| 19a,b | 2: a, 3: b | ![]() | [71,82] | 31 | ![]() | [82] |
| 20a–e | 2: a, 3: b; 4: c; 5: d; 6: e | ![]() | [71,82,85] | |||
| 21 | 3 | ![]() | [82] | 32 | ![]() | [82] |
| 22 | 3 | ![]() | [82] | 33a,b | ![]() | [63] |
| 23a–c | 3: a; 4: b; 5: c | ![]() | [82,85] | |||
| 24a,b | 3: a; 5: b | ![]() | [82] | |||
| 25 | 3 | ![]() | [82] | 34 | ![]() | [85] |
| 26 | 3 | ![]() | [85] | 35a,b | ![]() | [85] |
| 36 | ![]() | [85] | ||||
| 27a,b | 3 | ![]() | [82] | 37 | ![]() | [86] |
| 28 | 3 | ![]() | [42] | 38 | ![]() | [48] |
| 29a–e | 1 | ![]() | [64] | 39a–e | ![]() | [48,87,89] |
![]() | ||||
|---|---|---|---|---|
| Compound | X and Y | –R | Conditions | Refs. |
| 60a–e | 2-Me | ![]() | EtOH, 90 °C, 6 h → r.t. 18 h; Yield: a: 33%; b: 35%; c: 35%; d: 35%; e: 27% | [64] |
| 61a–c | 2-Me: a; 5-Cl-2-Me: b; 5-Br-2-Me: c | ![]() | EtOH, reflux; Yield: n.d. | [93] |
| 62a,b | 4-Cl-2-Me: a; 4-Cl-3-(2-chloroethyl)-2-Me: b | ![]() | EtOH, reflux; Yield: a: 87%; b: 40% | [94] |
| 63a,b | 4-OBu: a; 4-OBn: b | ![]() | EtOH, reflux, 12 h; Yield: a: 8%; b: 53% | [73] |
| 64a,b | 2-OH-4-Me | ![]() | EtOH, reflux, 9 h; Yield: a: 58%; b: 50% | [95] |
| 65a–k | 7-SO3H | ![]() | EtOH, reflux, 30–50 h; Yield: 60–70% | [96] |
![]() | ||||
|---|---|---|---|---|
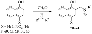
| Compound | X | –R1, –R2 | Conditions | Refs. |
| 70a–f | H | R1 = R2 = Me: a; Et: b; CH2CO2H: c; nPr: d; nBu: e; n-hexyl: f; cyclohexyl: g; 2-ethylhexyl: h; n-octyl: i; n-dodecyl: j; n-octadecyl: k; iso-dodecenyl: l; Ph: m; octylphenyl: n; Bn: o; 3-(octyloxy)propoxy: p; R1 = n-octyl, R2 = Ph: q; : r | a: EtOH, reflux, 2 h; Yield: 74% b: EtOH, r.t., 1 h → reflux, 5 h; Yield: 55% c: DMF, reflux, 24 h; Yield: 27% d: EtOH, r.t., 1 h → reflux, 3 h; Yield: 65% e–q: MeOH, 20 °C, 1 h→reflux, 3 h; Yield: n.d. r: EtOH, reflux 60 °C, 48 h; Yield: 51% | [48,98,99,100,101,102] |
| 71a–i | NO2 | R1 = R2 = Me: a; Et: b; nPr: c; iPr: d; (CH2)2OH: e; cyclohexyl: f; R1 = Me, R2 = cyclohexyl: g; R1 = Me, R2 = CH2CN: h; R1 = Bn, R2 = CH2CN: i | a: pyridine:EtOH 1:1, reflux; Yield: n.d. b: EtOH, reflux, 90 min; Yield: 83% c: EtOH, reflux 80 °C, 24 h; Yield: 14% d, e: pyridine, 50–60 °C; Yield: 74–84% f: EtOH, reflux 80 °C, 24 h; Yield: 19% g: n.d. h, i: pyridine, 60 °C; Yield: 70%/74% | [36,40,41,60,80,103,104] |
| 72 | F | R1 = R2 = Et | EtOH, r.t., 30 min; Yield: 42% | [105] |
| 73a–l | Cl | R1 = R2 = Me: a; Et: b; nPr: c; nBu: d; (CH2)2OH: e; CH2CO2Et: f; CH2CN: g; R1 = Me, R2 = (CH2)2NEt2: h; R1 = Me, R2 = (CH2)3NEt2: i; R1 = Et, R2 = (CH2)2NEt2: j; R1 = Et, R2 = (CH2)3NEt2: k; R1 = Et, R2 = (CH2)2OH: l; | a: EtOH, reflux, 90 min; Yield: 75% b: EtOH, reflux, 90 min; Yield: 74% c, d: EtOH, reflux, 2 h/30 min; Yield: n.d. e: EtOH, reflux, 90 min; Yield: 70% f: EtOH, reflux, 2 h; Yield: 79% g: EtOH, reflux, 3 h; Yield: 42% h–k: EtOH, reflux, 90 min; Yield: n.d. l: EtOH, reflux, 90 min; Yield: 80% | [71,82,85,106,107] |
| 74a,b | Br | R1 = R2 = Et: a; R1 = Me, R2 = Et: b | a: EtOH, reflux, 90 min; Yield: 51% b: EtOH, reflux, 1 h; Yield: n.d. | [106,107] |
![]() | |||||||
|---|---|---|---|---|---|---|---|
| Compound | X | –R4, –R5 | Refs. | Compound | X | –R4, –R5 | Refs. |
| 96a,b | ![]() | R4 = R5 = Et: a; R4 = Et, R5 = (CH2)2OH: b | [108] | 106a,b | ![]() | R2 = 4-Cl, R4 = R5 = Me: a; R2 = 3,4-(OMe)2, R4 = R5 = Me: b | [112] |
| 97 | ![]() | R4 = R5 = Bn | [109] | ||||
| 98 | ![]() | R4 = R5 = (CH2)2OH | [109] | ||||
| 99 | ![]() | R4 = R5= Et | [111] | 107 | ![]() | R4 = R5 = Me | [112] |
| 100 | ![]() | R4 = R5 = (CH2)2OH | [109] | 108a,b | ![]() | R3 = H, R4 = R5 = Me: a; R3 = NO2, R4 = R5 = Me: b | [112] |
| 101a,b | ![]() | R4 = R5 = Me: a; R4 = (CH2)2CN, R5 = C12H25: b | [112,113] | 109 | ![]() | R4 = R5 = Me | [112] |
| 102a–f | ![]() | R1 = H, R4 = R5 = Me: a; R1 = H, R4 = Et, R5 = (CH2)2NEt2: b; R1 = 2-Cl, R4 = R5 = Me: c; R1 = 4-Cl, R4 = R5 = Me: d; R1 = 2,4-Cl2, R4 = R5 = Me: e; R1 = 4-Cl, R4 = R5 = Et: f | [112,114] | ||||
| 103 | ![]() | R1 = R2 = Me | [112] | 110a,b | ![]() | R4 = R5 = Me: a; Et: b | [115] |
| 104 | ![]() | R1 = R2 = Me | [112] | 111 | ![]() | R4 = R5 = Et | [104] |
| 105a–h | ![]() | R4 = R5 = Me: a; Et: b; nBu: c; (CH2)2OH: d; (CH2)2NEt2: e; R4 = Me, R5 = Bn: f; R4 = Me, R5 = C12H25: g; R4 = Et, R5 = (CH2)2NEt2: h | [112] | 112a–f | ![]() | R4 = R5 = Me: a; Et: b; nPr: c; nBu: d; iBu: e; (CH2)2OH: f | [116] |
| 113 | ![]() | R4 = R5 = Et | [92] | ||||
![]() | |||||||
|---|---|---|---|---|---|---|---|
| Compound | X | Conditions | Refs. | Compound | X | Conditions | Refs. |
| 137 | ![]() | EtOH, reflux, 6 h; Yield: n. d. | [5] | 148a–d | ![]() | EtOH, reflux, 1–4 h; Yield: a: 67%; b: 81%; c: 54% d: n.d. | [108,112] |
| 138 | ![]() | EtOH, heat; Yield: 83% | [104] | ||||
| 139 | ![]() | EtOH, reflux, 1.5 h; Yield: 80% | [71] | ||||
| 140 | ![]() | EtOH, reflux, 1 h; Yield: 65% | [111] | 149 | ![]() | EtOH, reflux, 8 h; Yield: n. d. | [112] |
| 141 | ![]() | EtOH, reflux; Yield: 60% | [90] | ||||
| 142a–c | ![]() | EtOH, reflux, 1–2 h; Yield: a: 97%; b: 95%; c: 56% | [108] | 150 | ![]() | n. d.; Yield: 67–90% | [115] |
| 143a,b | ![]() | EtOH, reflux, 4 h; Yield: a: 78%; b: 81% | [109] | ||||
| 144 | ![]() | Neat conditions, heat, 3 h; Yield: 90% | [111] | 151 | ![]() | EtOH, reflux, 1 h; Yield: 92% | [104] |
| 145 | ![]() | EtOH, r. t., 3 days; Yield: 68% | [48] | 152 | ![]() | EtOH, reflux, 2 h; Yield: 93% | [104] |
| 146a–c | ![]() | a, b: n. d. c: EtOH, reflux, 4 h; Yield: n. d. | [57,109] | 153 | ![]() | EtOH, reflux, 6 h; Yield: 80% | [116] |
| 147 | ![]() | EtOH, reflux, 3 h; Yield: 88% | [111] | 154 | ![]() | EtOH, reflux, 30–40 h; Yield: 70% | [92] |
![]() | |||||
|---|---|---|---|---|---|
| Compound | –R1 | Refs. | Compound | –R2 | Refs. |
| 175 | ![]() | [65] | 183 | ![]() | [103] |
| 176 | ![]() | [130] | 184a–c | ![]() | [40,60,80] |
| 177a–c | ![]() | [37,130,131] | 185a–m | ![]() | [36,37,40,80] |
| 178a,b | ![]() | [55] | |||
| 179 | ![]() | [131] | 186a–c | ![]() | [103] |
| 180 | ![]() | [67] | |||
| 181a–o | ![]() | [54,55] | 187a–c | ![]() | [40] |
| 188a,b | ![]() | [60] | |||
| 182a,b | ![]() | [55] | 189a–c | ![]() | [54,55] |
![]() | ||||
|---|---|---|---|---|
| Compound | X/Y/Z | –R | Conditions | Refs. |
| 212a–d | X = H Y = H Z = H | ![]() | a: n.d. b: Benzene:EtOH 1:1, reflux 2 h; Yield: 18% c, d: n.d. | [145,146,147] |
| 213a–h | X = H Y = H Z = H | ![]() | EtOH, reflux 6 h → r.t. 12 h; Yield: a: 35%; b: 18%; c: 51%; d: 15%; e: 48%; f: 51%; g: 87%; h: 48%; i: 30%; j: 21%; k: 10% | [73,89] |
| 214a–f | X = CF3 Y = H Z = H | ![]() | Benzene:EtOH 1:1, reflux 2 h; Yield: a: 44%; b: 47%; c: 50%; d: 22%; e: 24%; f: 15% | [146] |
| 215a,b | X = H Y = F Z = H | ![]() | EtOH, reflux 6 h → r.t. 12 h; Yield: a: 50%; b: 55% | [89] |
| 216a–g | X = H Y = H Z = F | ![]() | 1,4-dioxane, 75 °C; Yield: a: 35.0%; b: 52.6%; c: 68.7%; d: 62.9%; e: 34.3%; f: 67.6%; g: 81.6% | [148] |
Disclaimer/Publisher’s Note: The statements, opinions and data contained in all publications are solely those of the individual author(s) and contributor(s) and not of MDPI and/or the editor(s). MDPI and/or the editor(s) disclaim responsibility for any injury to people or property resulting from any ideas, methods, instructions or products referred to in the content. |
© 2023 by the authors. Licensee MDPI, Basel, Switzerland. This article is an open access article distributed under the terms and conditions of the Creative Commons Attribution (CC BY) license (https://creativecommons.org/licenses/by/4.0/).
Share and Cite
Csuvik, O.; Szatmári, I. Synthesis of Bioactive Aminomethylated 8-Hydroxyquinolines via the Modified Mannich Reaction. Int. J. Mol. Sci. 2023, 24, 7915. https://doi.org/10.3390/ijms24097915
Csuvik O, Szatmári I. Synthesis of Bioactive Aminomethylated 8-Hydroxyquinolines via the Modified Mannich Reaction. International Journal of Molecular Sciences. 2023; 24(9):7915. https://doi.org/10.3390/ijms24097915
Chicago/Turabian StyleCsuvik, Oszkár, and István Szatmári. 2023. "Synthesis of Bioactive Aminomethylated 8-Hydroxyquinolines via the Modified Mannich Reaction" International Journal of Molecular Sciences 24, no. 9: 7915. https://doi.org/10.3390/ijms24097915
APA StyleCsuvik, O., & Szatmári, I. (2023). Synthesis of Bioactive Aminomethylated 8-Hydroxyquinolines via the Modified Mannich Reaction. International Journal of Molecular Sciences, 24(9), 7915. https://doi.org/10.3390/ijms24097915








































































































