Singlet Oxygen Generation Driven by Sulfide Ligand Exchange on Porphyrin–Gold Nanoparticle Conjugates
Abstract
1. Introduction
2. Results and Discussion
2.1. Synthesis of Porphyrin–AuNP Conjugates Via Disulfide/Thiolate Ligand Exchange Reaction
2.2. Ligand Exchange Reaction with 1-Dodecanethiol
2.2.1. Desorption Monitoring by UV–Vis Absorption Spectra
2.2.2. Concentration Dependence on Singlet Oxygen Generation Quantum Yield (ΦΔ)
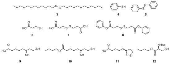
2.3. Ligand Exchange Reaction with Various Sulfide Compounds
3. Materials and Methods
3.1. Synthesis
3.2. Sulfide Ligand Exchange Reaction
3.3. Determination of Singlet Oxygen Quantum Yield (ΦΔ)
4. Conclusions
Author Contributions
Funding
Institutional Review Board Statement
Informed Consent Statement
Data Availability Statement
Acknowledgments
Conflicts of Interest
References
- Nowakowska, M.; Kępczyński, M. Polymeric Photosensitizers 2. Photosensitized Oxidation of Phenol in Aqueous Solution. J. Photochem. Photobiol. A Chem. 1998, 116, 251–256. [Google Scholar] [CrossRef]
- Gerdes, R.; Bartels, O.; Schneider, G.; Wöhrle, D.; Schulz-Ekloff, G. Photooxidations of Phenol, Cyclopentadiene and Citronellol with Photosensitizers Ionically Bound at a Polymeric Ion Exchanger. Polym. Adv. Technol. 2001, 12, 152–160. [Google Scholar] [CrossRef]
- Iliev, V.; Prahov, L.; Bilyarska, L.; Fischer, H.; Schulz-Ekloff, G.; Wöhrle, D.; Petrov, L. Oxidation and Photooxidation of Sulfide and Thiosulfate Ions Catalyzed by Transition Metal Chalcogenides and Phthalocyanine Complexes. J. Mol. Catal. A Chem. 2000, 151, 161–169. [Google Scholar] [CrossRef]
- Turconi, J.; Griolet, F.; Guevel, R.; Oddon, G.; Villa, R.; Geatti, A.; Hvala, M.; Rossen, K.; Göller, R.; Burgard, A. Semisynthetic Artemisinin, the Chemical Path to Industrial Production. Org. Process Res. Dev. 2014, 18, 417–422. [Google Scholar] [CrossRef]
- Rebeiz, C.A.; Reddy, K.N.; Nandihalli, U.B.; Velu, J. Tetrapyrrole-Dependent Photodynamic Herbicides. Photochem. Photobiol. 1990, 52, 1099–1117. [Google Scholar] [CrossRef]
- ben Amor, T.; Jori, G. Sunlight-Activated Insecticides: Historical Background and Mechanisms of Phototoxic Activity. Insect Biochem. Mol. Biol. 2000, 30, 915–925. [Google Scholar] [CrossRef]
- Rebeiz, C.A.; Gut, L.J.; Lee, K.; Juvik, J.A.; Rebeiz, C.C.; Bouton, C.E.; Towers, G.H.N. Photodynamics of Porphyric Insecticides. Crit. Rev. Plant Sci. 1995, 14, 329–366. [Google Scholar] [CrossRef]
- Marras, S.A.E.; Kramer, F.R.; Tyagi, S. Efficiencies of Fluorescence Resonance Energy Transfer and Contact-Mediated Quenching in Oligonucleotide Probes. Nucleic Acids Res. 2002, 30, e122. [Google Scholar] [CrossRef]
- Wasielewski, M.R. Photoinduced Electron Transfer in Supramolecular Systems for Artificial Photosynthesis. Chem. Rev. 1992, 92, 435–461. [Google Scholar] [CrossRef]
- Piotrowiak, P. Photoinduced Electron Transfer in Molecular Systems: Recent Developments. Chem. Soc. Rev. 1999, 28, 143–150. [Google Scholar] [CrossRef]
- Foote, C.S.; Chang, Y.C.; Denny, R.W. Chemistry of Singlet Oxygen. X. Carotenoid Quenching Parallels Biological Protection. J. Am. Chem. Soc. 1970, 92, 5216–5218. [Google Scholar] [CrossRef]
- Ouchi, A.; Aizawa, K.; Iwasaki, Y.; Inakuma, T.; Terao, J.; Nagaoka, S.; Mukai, K. Kinetic Study of the Quenching Reaction of Singlet Oxygen by Carotenoids and Food Extracts in Solution. Development of a Singlet Oxygen Absorption Capacity (SOAC) Assay Method. J. Agric. Food Chem. 2010, 58, 9967–9978. [Google Scholar] [CrossRef]
- Hulleman, C.N.; Huisman, M.; Moerland, R.J.; Grünwald, D.; Stallinga, S.; Rieger, B. Fluorescence Polarization Control for On-Off Switching of Single Molecules at Cryogenic Temperatures. Small Methods 2018, 2, 1700323. [Google Scholar] [CrossRef]
- Ito, S. Recent Advances in Mechanochromic Luminescence of Organic Crystalline Compounds. Chem. Lett. 2021, 50, 649–660. [Google Scholar] [CrossRef]
- Casellas, J.; Alcover-Fortuny, G.; de Graaf, C.; Reguero, M. Phenylazopyridine as Switch in Photochemical Reactions. A Detailed Computational Description of the Mechanism of Its Photoisomerization. Materials 2017, 10, 1342. [Google Scholar] [CrossRef]
- Shinohara, A.; Shinmori, H. Controlled Generation of Singlet Oxygen by Porphyrin-Appended Gold Nanoparticles. Bull. Chem. Soc. Jpn. 2016, 89, 1341–1343. [Google Scholar] [CrossRef]
- Shinohara, A.; Shao, G.; Nakanishi, T.; Shinmori, H. Porphyrin Photoabsorption and Fluorescence Variation with Adsorptive Loading on Gold Nanoparticles. Front. Chem. 2021, 9, 777041. [Google Scholar] [CrossRef]
- Shinohara, A.; Pan, C.; Wang, L.; Shinmori, H. Acid–Base Controllable Singlet Oxygen Generation in Supramolecular Porphyrin–Gold Nanoparticle Composites Tethered by Rotaxane Linkers. J. Porphyr. Phthalocyanines 2020, 24, 171–180. [Google Scholar] [CrossRef]
- Wilkinson, F.; Helman, W.P.; Ross, A.B. Quantum Yields for the Photosensitized Formation of the Lowest Electronically Excited Singlet State of Molecular Oxygen in Solution. J. Phys. Chem. Ref. Data 1993, 22, 113–262. [Google Scholar] [CrossRef]
- Stoddart, J.F. Mechanically Interlocked Molecules (MIMs)-Molecular Shuttles, Switches, and Machines (Nobel Lecture). Angew. Chem. Int. Ed. 2017, 56, 11094–11125. [Google Scholar] [CrossRef]
- Dumur, F.; Dumas, E.; Mayer, C.R. Functionalization of Gold Nanoparticles by Inorganic Entities. Nanomaterials 2020, 10, 548. [Google Scholar] [CrossRef] [PubMed]
- Caragheorgheopol, A.; Chechik, V. Mechanistic Aspects of Ligand Exchange in Au Nanoparticles. Phys. Chem. Chem. Phys. 2008, 10, 5029. [Google Scholar] [CrossRef]
- Ionita, P.; Caragheorgheopol, A.; Gilbert, B.C.; Chechik, V. Mechanistic Study of a Place-Exchange Reaction of Au Nanoparticles with Spin-Labeled Disulfides. Langmuir 2004, 20, 11536–11544. [Google Scholar] [CrossRef] [PubMed]
- Luo, Z.; Hou, J.; Menin, L.; Ong, Q.K.; Stellacci, F. Evolution of the Ligand Shell Morphology during Ligand Exchange Reactions on Gold Nanoparticles. Angew. Chem. Int. Ed. 2017, 56, 13521–13525. [Google Scholar] [CrossRef]
- Brust, M.; Walker, M.; Bethell, D.; Schiffrin, D.J.; Whyman, R. Synthesis of Thiol-Derivatised Gold Nanoparticles in a Two-Phase Liquid–Liquid System. J. Chem. Soc. Chem. Commun. 1994, 1994, 801–802. [Google Scholar] [CrossRef]
- Terrill, R.H.; Postlethwaite, T.A.; Chen, C.; Poon, C.-D.; Terzis, A.; Chen, A.; Hutchison, J.E.; Clark, M.R.; Wignall, G. Monolayers in Three Dimensions: NMR, SAXS, Thermal, and Electron Hopping Studies of Alkanethiol Stabilized Gold Clusters. J. Am. Chem. Soc. 1995, 117, 12537–12548. [Google Scholar] [CrossRef]
- Song, Y.; Murray, R.W. Dynamics and Extent of Ligand Exchange Depend on Electronic Charge of Metal Nanoparticles. J. Am. Chem. Soc. 2002, 124, 7096–7102. [Google Scholar] [CrossRef]
- Krommenhoek, P.J.; Wang, J.; Hentz, N.; Johnston-Peck, A.C.; Kozek, K.A.; Kalyuzhny, G.; Tracy, J.B. Bulky Adamantanethiolate and Cyclohexanethiolate Ligands Favor Smaller Gold Nanoparticles with Altered Discrete Sizes. ACS Nano 2012, 6, 4903–4911. [Google Scholar] [CrossRef]
- Ashjari, M.; Dehfuly, S.; Fatehi, D.; Shabani, R.; Koruji, M. Efficient Functionalization of Gold Nanoparticles Using Cysteine Conjugated Protoporphyrin IX for Singlet Oxygen Production in Vitro. RSC Adv. 2015, 5, 104621–104628. [Google Scholar] [CrossRef]
- Prasanna, S.W.; Poorani, G.; Kumar, M.S.; Aruna, P.; Ganesan, S. Photodynamic Efficacy of Rosebengal-Gold Nanoparticle Complex on Vero and HeLa Cell Lines. Mater. Express 2014, 4, 359–366. [Google Scholar] [CrossRef]
- Eisfeld, A.; Briggs, J.S. The J- and H-Bands of Organic Dye Aggregates. Chem. Phys. 2006, 324, 376–384. [Google Scholar] [CrossRef]
- Nayak, S.; Horst, N.; Zhang, H.; Wang, W.; Mallapragada, S.; Travesset, A.; Vaknin, D. Ordered Networks of Gold Nanoparticles Crosslinked by Dithiol-Oligomers. Part. Part. Syst. Charact. 2018, 35, 1800097. [Google Scholar] [CrossRef]
- Fischer, K.; Wilken, M. Experimental Determination of Oxygen and Nitrogen Solubility in Organic Solvents up to 10 MPa at Temperatures between 298 K and 398 K. J. Chem. Thermodyn. 2001, 33, 1285–1308. [Google Scholar] [CrossRef]








| Sulfide | ΦΔ a ± 1SD b | Note | ||
|---|---|---|---|---|
| 2 | 0.24 | ± | 0.01 | |
| 3 | 0.05 | ± | 0.03 | |
| 4 | 0.24 | ± | 0.01 | |
| 5 | 0.14 | ± | 0.02 | |
| 6 | 0.42 | ± | 0.09 | Aggregated |
| 7 | — | Insoluble in toluene | ||
| 8 | 0.07 | ± | 0.01 | |
| 9 | 0.59 | ± | 0.02 | Aggregated |
| 10 | 0.30 | ± | 0.01 | |
| 11 | 0.10 | ± | 0.03 | Aggregated |
| 12 | 0.15 | ± | 0.01 | |
Disclaimer/Publisher’s Note: The statements, opinions and data contained in all publications are solely those of the individual author(s) and contributor(s) and not of MDPI and/or the editor(s). MDPI and/or the editor(s) disclaim responsibility for any injury to people or property resulting from any ideas, methods, instructions or products referred to in the content. |
© 2023 by the authors. Licensee MDPI, Basel, Switzerland. This article is an open access article distributed under the terms and conditions of the Creative Commons Attribution (CC BY) license (https://creativecommons.org/licenses/by/4.0/).
Share and Cite
Shinohara, A.; Shinmori, H. Singlet Oxygen Generation Driven by Sulfide Ligand Exchange on Porphyrin–Gold Nanoparticle Conjugates. Int. J. Mol. Sci. 2023, 24, 7600. https://doi.org/10.3390/ijms24087600
Shinohara A, Shinmori H. Singlet Oxygen Generation Driven by Sulfide Ligand Exchange on Porphyrin–Gold Nanoparticle Conjugates. International Journal of Molecular Sciences. 2023; 24(8):7600. https://doi.org/10.3390/ijms24087600
Chicago/Turabian StyleShinohara, Akira, and Hideyuki Shinmori. 2023. "Singlet Oxygen Generation Driven by Sulfide Ligand Exchange on Porphyrin–Gold Nanoparticle Conjugates" International Journal of Molecular Sciences 24, no. 8: 7600. https://doi.org/10.3390/ijms24087600
APA StyleShinohara, A., & Shinmori, H. (2023). Singlet Oxygen Generation Driven by Sulfide Ligand Exchange on Porphyrin–Gold Nanoparticle Conjugates. International Journal of Molecular Sciences, 24(8), 7600. https://doi.org/10.3390/ijms24087600
