Route of Arsenic Exposure Differentially Impacts the Expression of Genes Involved in Gut-Mucosa-Associated Immune Responses and Gastrointestinal Permeability
Abstract
1. Introduction
2. Results
2.1. Route of Exposure (Oral or Intravenous) of Sodium Arsenite Perturbs Different Functional Pathways in the Ileal Mucosa
2.2. Exposure to Sodium Arsenite via IV Route Results in a Transient Modulation of mRNA Expression of Genes Involved in the Gut-Mucosa-Associated Immune Response
2.3. Exposure to Sodium Arsenite via IV Route Results in the Higher Perturbation of Genes Involved in the Intestinal Permeability When Compared to OG Route
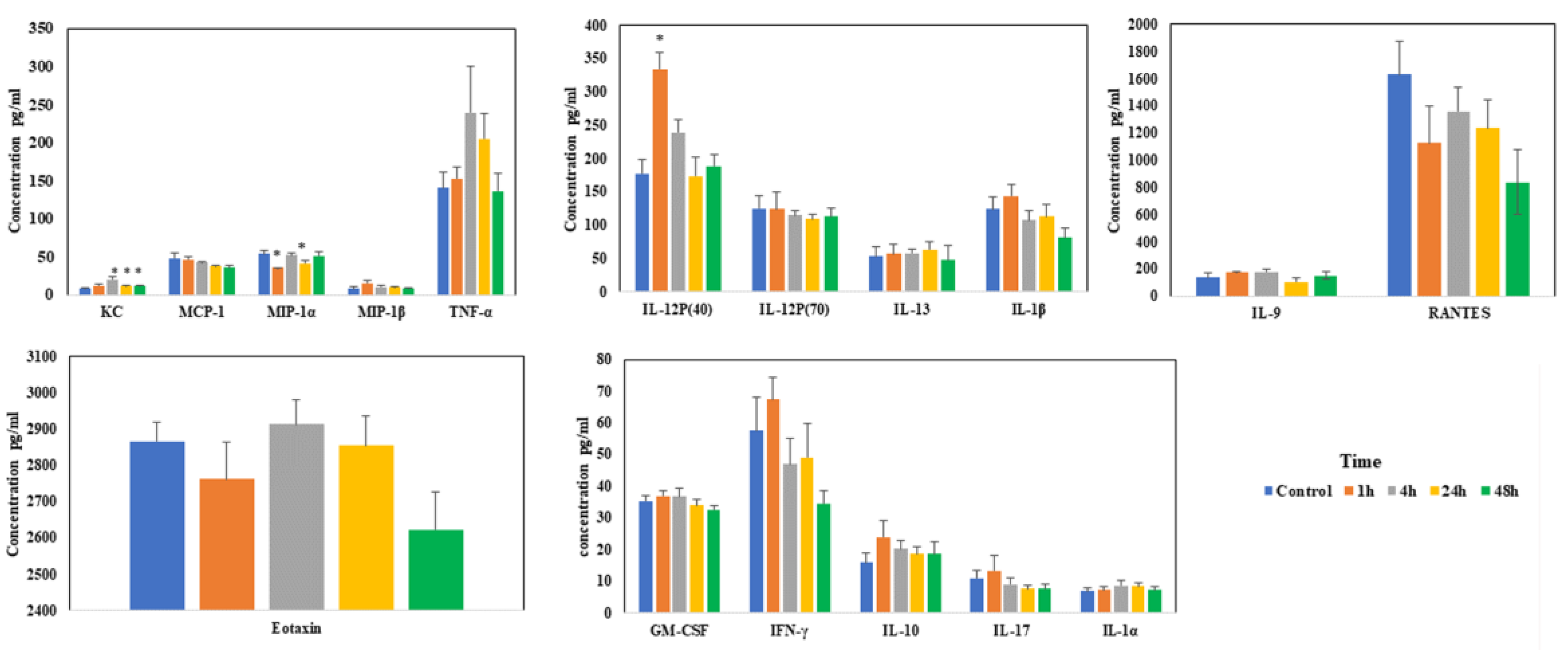
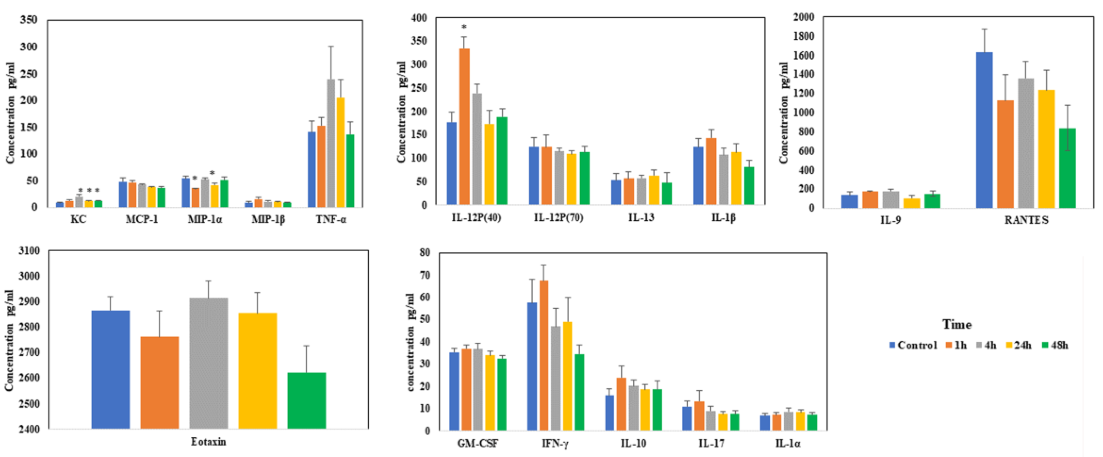
2.4. Exposure to Sodium Arsenite via IV Route Does Not Have Significant Impact on the Secretion of Ileal Chemokines/Cytokines
2.5. Systemic and Local Levels of IgG Isotypes and IgA in Mice Exposed to Arsenite Intravenously Compared to Oral Gavage
3. Discussion
4. Materials and Methods
4.1. Animals and Sodium Arsenite Exposure
4.2. Collection of Ileal Tissue
4.3. Extraction of RNA
4.4. DNase Treatment and Conversion of RNA to cDNA
4.5. mRNA Expression of Gut-Mucosa-Associated Immune Response and Intestinal-Permeability-Related Genes
4.6. Protein Preparation from the Ileal Tissue for Multiplex Cytokine/Chemokine Levels and Immunoisotyping
4.7. Multiplex Chemokine/Cytokine Assay
4.8. Plasma Collection
4.9. Immunoassay Procedure: Immunoglobulin Isotyping
4.10. Data Analysis
5. Conclusions
Supplementary Materials
Author Contributions
Funding
Data Availability Statement
Acknowledgments
Conflicts of Interest
Abbreviations
| Ig | Immunoglobulin |
| IV | Intravenous |
| OG | Oral gavage |
| IPA | Ingenuity Pathway Analysis |
References
- National Institute of Environmental Health Sciences, U.S. Department of Health and Human Services. Arsenic. 2020. Available online: www.niehs.nih.gov/health/topics/agents/arsenic/index.cfm (accessed on 20 October 2021).
- 2017. Available online: www.who.int/ceh/capacity/heavy_metals.pdf (accessed on 20 October 2021).
- Barchowsky, A.; Klei, L.R.; Dudek, E.J.; Swartz, H.M.; James, P.E. Stimulation of reactive oxygen, but not reactive nitrogen species, in vascular endothelial cells exposed to low levels of arsenite. Free. Radic. Biol. Med. 1999, 27, 1405–1412. [Google Scholar] [CrossRef] [PubMed]
- Ratnaike, R.N. Acute and chronic arsenic toxicity. Postgrad. Med. J. 2003, 79, 391–396. [Google Scholar] [CrossRef] [PubMed]
- Das, N.; Paul, S.; Chatterjee, D.; Banerjee, N.; Majumder, N.S.; Sarma, N.; Sau, T.J.; Basu, S.; Banerjee, S.; Majumder, P.; et al. Arsenic exposure through drinking water increases the risk of liver and cardiovascular diseases in the population of West Bengal, India. BMC Public Health 2012, 12, 639. [Google Scholar] [CrossRef]
- Ruan, Y.; Fang, X.; Guo, T.; Liu, Y.; Hu, Y.; Wang, X.; Hu, Y.; Gao, L.; Li, Y.; Pi, J.; et al. Metabolic reprogramming in the arsenic carcinogenesis. Ecotoxicol. Environ. Saf. 2022, 229, 113098. [Google Scholar] [CrossRef] [PubMed]
- Ozturk, M.; Metin, M.; Altay, V.; Bhat, R.A.; Ejaz, M.; Gul, A.; Unal, B.T.; Hasanuzzaman, M.; Nibir, L.; Nahar, K.; et al. Arsenic and Human Health: Genotoxicity, Epigenomic Effects, and Cancer Signaling. Biol. Trace Elem. Res. 2022, 200, 988–1001. [Google Scholar] [CrossRef] [PubMed]
- Kile, M.L.; Houseman, E.A.; Baccarelli, A.; Quamruzzaman, Q.; Rahman, M.; Mostofa, G.; Cardenas, A.; Wright, R.; Christiani, D.C. Effect of prenatal arsenic exposure on DNA methylation and leukocyte subpopulations in cord blood. Epigenetics 2014, 9, 774–782. [Google Scholar] [CrossRef]
- Jin, Y.; Xi, S.; Li, X.; Lu, C.; Li, G.; Xu, Y.; Qu, C.; Niu, Y.; Sun, G. Arsenic speciation transported through the placenta from mother mice to their newborn pups. Environ. Res. 2006, 101, 349–355. [Google Scholar] [CrossRef]
- Ettinger, A.S.; Zota, A.R.; Amarasiriwardena, C.J.; Hopkins, M.R.; Schwartz, J.; Hu, H.; Wright, R.O. Maternal arsenic exposure and impaired glucose tolerance during pregnancy. Environ. Health Perspect. 2009, 117, 1059–1064. [Google Scholar] [CrossRef]
- Devesa, V.; Adair, B.M.; Liu, J.; Waalkes, M.P.; Diwan, B.A.; Styblo, M.; Thomas, D.J. Arsenicals in maternal and fetal mouse tissues after gestational exposure to arsenite. Toxicology 2006, 224, 147–155. [Google Scholar] [CrossRef]
- Bozack, A.K.; Cardenas, A.; Geldhof, J.; Quamruzzaman, Q.; Rahman, M.; Mostofa, G.; Christiani, D.C.; Kile, M.L. Cord blood DNA methylation of DNMT3A mediates the association between in utero arsenic exposure and birth outcomes: Results from a prospective birth cohort in Bangladesh. Environ. Res. 2020, 183, 109134. [Google Scholar] [CrossRef]
- Wang, Z.; Zhou, J.; Lu, X.; Gong, Z.; Le, X.C. Arsenic Speciation in Urine from Acute Promyelocytic Leukemia Patients undergoing Arsenic Trioxide Treatment. Chem. Res. Toxicol. 2003, 17, 95–103. [Google Scholar] [CrossRef] [PubMed]
- Chi, L.; Bian, X.; Gao, B.; Tu, P.; Ru, H.; Lu, K. The Effects of an Environmentally Relevant Level of Arsenic on the Gut Microbiome and Its Functional Metagenome. Toxicol. Sci. 2017, 160, 193–204. [Google Scholar] [CrossRef]
- Twaddle, N.C.; Vanlandingham, M.; Beland, F.A.; Doerge, D.R. Metabolism and disposition of arsenic species from controlled dosing with dimethylarsinic acid (DMA(V)) in adult female CD-1 mice. V. Toxicokinetic studies following oral and intravenous administration. Food Chem. Toxicol. 2019, 130, 22–31. [Google Scholar] [CrossRef]
- Twaddle, N.C.; Vanlandingham, M.; Fisher, J.W.; Doerge, D.R. Metabolism and disposition of arsenic species from controlled dosing with sodium arsenite in adult female CD-1 mice. III. Toxicokinetic studies following oral and intravenous administration. Food Chem. Toxicol. 2018, 121, 676–686. [Google Scholar] [CrossRef] [PubMed]
- Doherty, M.M.; Pang, K.S. First-Pass Effect: Significance of the Intestine for Absorption and Metabolism. Drug Chem. Toxicol. 1997, 20, 329–344. [Google Scholar] [CrossRef] [PubMed]
- Sharma, S.; Kaul, D.; Singh, D. Arsenic toxi-RNomics has the ability to tailor the host immune response. Exp. Mol. Pathol. 2015, 99, 360–364. [Google Scholar] [CrossRef]
- Dheer, R.; Patterson, J.; Dudash, M.; Stachler, E.N.; Bibby, K.J.; Stolz, D.B.; Shiva, S.; Wang, Z.; Hazen, S.L.; Barchowsky, A.; et al. Arsenic induces structural and compositional colonic microbiome change and promotes host nitrogen and amino acid metabolism. Toxicol. Appl. Pharmacol. 2015, 289, 397–408. [Google Scholar] [CrossRef]
- Lu, K.; Abo, R.P.; Schlieper, K.A.; Graffam, M.E.; Levine, S.S.; Wishnok, J.S.; Swenberg, J.A.; Tannenbaum, S.R.; Fox, J.G. Arsenic Exposure Perturbs the Gut Microbiome and Its Metabolic Profile in Mice: An Integrated Metagenomics and Metabolomics Analysis. Environ. Health Perspect. 2014, 122, 284–291. [Google Scholar] [CrossRef]
- Tikka, C.; Manthari, R.K.; Ommati, M.M.; Niu, R.; Sun, Z.; Zhang, J.; Wang, J. Immune disruption occurs through altered gut microbiome and NOD2 in arsenic induced mice: Correlation with colon cancer markers. Chemosphere 2020, 246, 125791. [Google Scholar] [CrossRef]
- Gokulan, K.; Arnold, M.G.; Jensen, J.; Vanlandingham, M.; Twaddle, N.C.; Doerge, D.R.; Cerniglia, C.E.; Khare, S. Exposure to Arsenite in CD-1 Mice during Juvenile and Adult Stages: Effects on Intestinal Microbiota and Gut-Associated Immune Status. mBio 2018, 9, e01418-18. [Google Scholar] [CrossRef]
- Arnold, M.G.; Gokulan, K.; Doerge, D.R.; Vanlandingham, M.; Cerniglia, C.E.; Khare, S. A single or short time repeated arsenic oral exposure in mice impacts mRNA expression for signaling and immunity related genes in the gut. Food Chem. Toxicol. 2019, 132, 110597. [Google Scholar] [CrossRef]
- Chiocchetti, G.M.; Vélez, D.; Devesa, V. Inorganic arsenic causes intestinal barrier disruption. Metallomics 2019, 11, 1411–1418. [Google Scholar] [CrossRef] [PubMed]
- Seo, K.; Seo, J.; Yeun, J.; Choi, H.; Kim, Y.-I.; Chang, S.-Y. The role of mucosal barriers in human gut health. Arch. Pharmacal Res. 2021, 44, 325–341. [Google Scholar] [CrossRef] [PubMed]
- Oshima, T.; Miwa, H. Gastrointestinal mucosal barrier function and diseases. J. Gastroenterol. 2016, 51, 768–778. [Google Scholar] [CrossRef] [PubMed]
- Kile, M.L.; Baccarelli, A.; Hoffman, E.; Tarantini, L.; Quamruzzaman, Q.; Rahman, M.; Mahiuddin, G.; Mostofa, G.; Hsueh, Y.-M.; Wright, R.; et al. Prenatal Arsenic Exposure and DNA Methylation in Maternal and Umbilical Cord Blood Leukocytes. Environ. Health Perspect. 2012, 120, 1061–1066. [Google Scholar] [CrossRef]
- Hinrichsen, S.; Geist, F.; Planer-Friedrich, B. Inorganic and Methylated Thioarsenates Pass the Gastrointestinal Barrier. Chem. Res. Toxicol. 2015, 28, 1678–1680. [Google Scholar] [CrossRef]
- Marshall, J.S.; Warrington, R.; Watson, W.; Kim, H.L. An introduction to immunology and immunopathology. Allergy Asthma Clin. Immunol. 2018, 14 (Suppl. 2), 49. [Google Scholar] [CrossRef]
- Rubin, S.S.C.D.C.; Alava, P.; Zekker, I.; Laing, G.D.; de Wiele, T.V. Arsenic thiolation and the role of sulfate-reducing bacteria from the human intestinal tract. Environ. Health Perspect. 2014, 122, 817–822. [Google Scholar] [CrossRef]
- Merico, D.; Gfeller, D.; Bader, G.D. How to visually interpret biological data using networks. Nat. Biotechnol. 2009, 27, 921–924. [Google Scholar] [CrossRef]
- Brown, W.R. Relationships between immunoglobulins and the intestinal epithelium. Gastroenterology 1978, 75, 129–138. [Google Scholar] [CrossRef]
- Mosmann, T.R.; Coffman, R.L. TH1 and TH2 cells: Different patterns of lymphokine secretion lead to different functional properties. Annu. Rev. Immunol. 1989, 7, 145–173. [Google Scholar] [CrossRef] [PubMed]
- Gokulan, K.; Williams, K.; Orr, S.; Khare, S. Human Intestinal Tissue Explant Exposure to Silver Nanoparticles Reveals Sex Dependent Alterations in Inflammatory Responses and Epithelial Cell Permeability. Int. J. Mol. Sci. 2020, 22, 9. [Google Scholar] [CrossRef] [PubMed]
- Available online: https://geneglobe.qiagen.com/us/analyze/ (accessed on 20 October 2021).









| IV 1 h | IV 4 h | IV 24 h | IV 48 h | |
|---|---|---|---|---|
| Upregulated | 39 | 40 | 67 | 66 |
| Downregulated | 45 | 44 | 17 | 18 |
| Statistically Significant | 17 | 1 | 1 | 2 |
| IV 1 h | IV 4 h | IV 24 h | IV 48 h | OG 24 h | OG 48 h | |
|---|---|---|---|---|---|---|
| Upregulated | 36 | 23 | 47 | 60 | 59 | 50 |
| Downregulated | 48 | 61 | 37 | 24 | 25 | 34 |
| Statistically Significant | 4 | 11 | 2 | 18 | 7 | 6 |
Disclaimer/Publisher’s Note: The statements, opinions and data contained in all publications are solely those of the individual author(s) and contributor(s) and not of MDPI and/or the editor(s). MDPI and/or the editor(s) disclaim responsibility for any injury to people or property resulting from any ideas, methods, instructions or products referred to in the content. |
© 2023 by the authors. Licensee MDPI, Basel, Switzerland. This article is an open access article distributed under the terms and conditions of the Creative Commons Attribution (CC BY) license (https://creativecommons.org/licenses/by/4.0/).
Share and Cite
Gokulan, K.; Mathur, A.; Kumar, A.; Vanlandingham, M.M.; Khare, S. Route of Arsenic Exposure Differentially Impacts the Expression of Genes Involved in Gut-Mucosa-Associated Immune Responses and Gastrointestinal Permeability. Int. J. Mol. Sci. 2023, 24, 6352. https://doi.org/10.3390/ijms24076352
Gokulan K, Mathur A, Kumar A, Vanlandingham MM, Khare S. Route of Arsenic Exposure Differentially Impacts the Expression of Genes Involved in Gut-Mucosa-Associated Immune Responses and Gastrointestinal Permeability. International Journal of Molecular Sciences. 2023; 24(7):6352. https://doi.org/10.3390/ijms24076352
Chicago/Turabian StyleGokulan, Kuppan, Aakriti Mathur, Amit Kumar, Michelle M. Vanlandingham, and Sangeeta Khare. 2023. "Route of Arsenic Exposure Differentially Impacts the Expression of Genes Involved in Gut-Mucosa-Associated Immune Responses and Gastrointestinal Permeability" International Journal of Molecular Sciences 24, no. 7: 6352. https://doi.org/10.3390/ijms24076352
APA StyleGokulan, K., Mathur, A., Kumar, A., Vanlandingham, M. M., & Khare, S. (2023). Route of Arsenic Exposure Differentially Impacts the Expression of Genes Involved in Gut-Mucosa-Associated Immune Responses and Gastrointestinal Permeability. International Journal of Molecular Sciences, 24(7), 6352. https://doi.org/10.3390/ijms24076352

