Abstract
Monoterpene thiols are one of the classes of natural flavors that impart the smell of citrus fruits, grape must and wine, black currants, and guava and are used as flavoring agents in the food and perfume industries. Synthetic monoterpene thiols have found an application in asymmetric synthesis as chiral auxiliaries, derivatizing agents, and ligands for metal complex catalysis and organocatalysts. Since monoterpenes and monoterpenoids are a renewable source, there are emerging trends to use monoterpene thiols as monomers for producing new types of green polymers. Monoterpene thioderivatives are also known to possess antioxidant, anticoagulant, antifungal, and antibacterial activity. The current review covers methods for the synthesis of acyclic, mono-, and bicyclic monoterpene thiols, as well as some investigations related to their usage for the preparation of the compounds with antimicrobial properties.
1. Introduction
Sulfur-containing monoterpenoids, and especially thiols, being natural flavoring agents that impart the pleasant aroma to citrus fruits, wine, and black currants, are of interest in the exploration of flavors and fragrances [1,2,3,4]. Synthetic monoterpene thiols, known for their natural enantiomeric purity, have found applications in asymmetric synthesis. For example, pinane, menthane, and bornane thiols are used as chiral auxiliaries [5,6,7,8,9,10], chiral ligands for metal complex catalysis [11,12,13,14], organocatalysts [15], and chiral resolving agents [16]. Recently, there has been a tendency to exploit monoterpenes—in particular, monoterpene thiols—as monomers for producing green polymers [17,18].
The spread of multidrug-resistant pathogenic microorganisms poses the challenge of searching for new antimicrobials with novel modes of action to which microorganisms have not yet developed resistance [19]. The acquisition of genes encoding efflux systems or enzymes able to hydrolyze antimicrobials, the increased biofilm formation, and the structural changes in target molecules and the cell wall reduce the effectiveness of traditional antibiotics [20].
Among the various classes of molecules which can keep down the growth of pathogenic bacteria and fungi, monoterpene derivatives stand out for their broad spectrum of antimicrobial activity [21,22,23]. The ability of monoterpenoids to inhibit the growth of diverse bacteria and fungi has been reported [21,24,25,26,27,28,29].
The combination of terpenes with known antimicrobials increases the activity of the latter [30,31,32]. The introduction of sulfur functional groups into the structure of biologically active terpenes often enhances the antibacterial and antifungal activity of the resulting thio-modified monoterpenoids compared to the original terpenes [21,29,33,34,35,36]. Pinane and menthane sulfides containing a fragment of 2-mercaptoacetic acid methyl ester showed a wide range of antifungal activity against pathogenic strains of Candida albicans and a number of mycelial fungi [21,29].
The reason for these synergistic effects may be explained by the increased affinity of terpenes for the membrane or membrane-associated proteins. The binding site for cyclic hydrocarbons, including terpenes, is known to be in the cell membrane of pathogenic microorganisms [37]. Some terpenes, such as limonene, α- and β-pinenes, and γ-terpinene, can suppress respiration and other energy-dependent processes localized in the cell membranes of fungi and bacteria [22,38,39,40,41]. Furthermore, some terpene derivatives interact with eukaryotic cell membranes [29,42].
Only a few reviews have been devoted to the synthesis and biological activity of thio-modified monoterpenoids [21,29,43]. The current review covers methods for the synthesis of acyclic, mono-, and bicyclic monoterpene thiols, as well as some investigations related to their usage for preparing new compounds with antimicrobial properties.
2. Synthesis of Monoterpene Thiols
Thiols are one of the most convenient synthons in the synthesis of organosulfur compounds. The typical methods to prepare monoterpene thiols include the electrophilic addition of H2S or dithiols to the double bond of monoterpenes; nucleophilic substitution of halides; tosylates/mesylates obtained from corresponding monoterpene alcohols; thia-Michael addition of S-nucleophiles to α,β-unsaturated ketones; nucleophilic epoxide ring opening; nucleophilic substitution of the activated methylene protons; and reduction of sulfochlorides, dithiolanes, thiiranes, and sultones.
2.1. Synthesis from Alkenes
The synthesis of terpene thiols from limonene, α-pinene, α-, γ-terpinenes, terpinolene, and 3-carene via a reaction of them with H2S in the presence of Lewis acids such as AlCl3 or AlBr3 is described in [44]. The addition of H2S usually occurs without selectivity and is accompanied by numerous side reactions, including the rearrangement of the terpene skeleton, especially in cases with bicyclic systems. The addition of H2S to limonene 1 catalyzed by AlCl3 proceeds with no regioselectivity and gives thiols 2–5 in low yields, with the intramolecular cyclization of thiols 4 and 5 at the double bond affording sulfides 6 and 7 as the main products (Scheme 1) [45,46,47].
Scheme 1.
The addition of H2S to limonene 1 catalyzed by AlCl3.
The interaction of α-pinene 8 with H2S under the same conditions leads to products 2–7, as well as cyclic sulfide 9 [44].

Electrophilic thiylation of α-pinene 8 with H2S in the presence of AlBr3 (A) is followed by the pinene–menthane rearrangement, providing carbocation 10, which, when reacting with H2S, gives thiol 4. The softer Lewis acid EtAlCl2 (B) stereoselectively catalyzes the anti-addition of H2S via the formation of intermediate 11 and leads to trans-pinane-2-thiol 12 (Scheme 2) [4]. With a strong Lewis acid (BF3·Et2O) used as a catalyst, the Wagner–Meerwein rearrangement occurs to yield isobornanethiol 13 [4,46].
Scheme 2.
The addition of H2S to α-pinene 8.
The addition of hydrogen sulfide to 3-carene 14 in the presence of AlCl3 proceeds nonselectively to give the products in low yields. The detected products included a mixture of cis- and trans-thiols 15; episulfides 16, 6, and 7; and para-menthane thiols 17, 18, 2, and 3 (Scheme 3) [44].
Scheme 3.
The addition of H2S to 3-carene 14 catalyzed by AlCl3.
Reactions of racemic camphene 19 with thioacetic acid under various conditions were investigated in [48] (Scheme 4). It was established that, under catalyst-free conditions and with a long reaction time (12 h), the anti-Markovnikov product 20 was predominantly formed. The use of p-toluenesulfonic acid as a catalyst also leads to thioester 20, but in a 15% yield. Catalysis with trifluoromethanesulfonic acid (TfOH) and InCl3 at different temperatures gives different ratios of products. The optimal yield of thioacetate 21 (75%), a product of the Wagner–Meerwein rearrangement, was achieved using a catalyst TfOH at 40 °C for 20 min. The yield of a by-product, thioacetate 20, from this procedure does not exceed 25%. The best method to obtain Markovnikov product 22 (82%) with a preserving camphane structure was catalysis via In(OTf)3 at ≤0 °C. The deacylation of thioacetate 22 with LiAlH4 leads to racemic camphane thiol 23 at an 86% yield.
Scheme 4.
Synthesis of camphane thiol 23.
Photochemical addition of thioacetic acid to (−)-sabinene 24 gives a mixture of anti-Markovnikov bicyclic thioacetate 25 and unsaturated thioacetate 26 in an overall yield of 24% and a 3:1 ratio, respectively [49]. The unexpected formation of thioacetate 26 results from cyclopropane ring cleavage. The mixture of thioacetates 25 and 26 was treated with LiAlH4 to produce thiols 27 and 28 in an overall yield of 95% (Scheme 5). The obtained thiols were isolated by preparative capillary GC.
Scheme 5.
Synthesis of thiols from sabinene 24.
2.2. Ene Reaction of Monoterpenes with N-sulfinylbenzenesulfonamide
An efficient method for the synthesis of monoterpene allyl thiols using N-sulfinylbenzenesulfonamide 29 as an enophile in ene reaction was proposed in the paper [50] (Scheme 6). The interaction of terpenes (α- and β-pinenes 8 and 30; 2- and 3-carenes 31 and 14; and α-thujene 32) with N-sulfinylbenzenesulfonamide 29 proceeds at a double bond with the formation of adducts 33–37 with a migration of the double bond to an α-position. It should be noted that these reactions occur stereo- and regioselectively. The adducts 33–37, when reduced with LiAlH4, provide the corresponding allyl thiols, 38–42.
Scheme 6.
Synthesis of allylic terpene thiols 38–42.
2.3. Synthesis from α,β-Unsaturated Carbonyl Compounds
Thiols are good nucleophiles for thia-Michael addition to α,β-unsaturated carbonyl compounds [51]. However, harsh reaction conditions are required to convert the newly formed sulfide group into a synthetically more versatile SH group. Thioacids (RCOSH) are more attractive as nucleophiles for the Michael addition reaction, since the resulting thioesters can be easily transformed into corresponding thiols under mild conditions [5,52,53].
Myrtenal-based hydroxythiol 43 was synthesized by two methods with a high yield and stereoselectivity [5]. The treatment of (−)-myrtenal 44 with benzylthiol and 10% aqueous NaOH in THF at room temperature for 18 h led to sulfide 45 (yield 92%, de 96%). Compound 45 was reduced to the corresponding alcohol 46 (yield 96%) with LiAlH4 in Et2O, which was then hydrogenolyzed to hydroxythiol 43 under Birch reduction conditions (Scheme 7). The hydrogenolysis did not provide satisfactory results because small differences in reaction conditions altered the reaction course dramatically, sometimes producing a complex mixture of unidentified compounds. The same reaction conditions become reproducible in switching to thioacetic acid as a nucleophilic reagent, which demonstrated a high selectivity when added to (−)-myrtenal 44 to give thioacetate 47 (1,4-addition) in yield of 98% and de > 99%. Thioester 47 was reduced by LiAlH4 to obtain hydroxythiol 43 in a 95% yield. This one-pot method allowed us to simultaneously convert thioether and aldehyde group to the corresponding thiol and primary alcohol (Scheme 7).
Scheme 7.
Synthesis of pinane hydroxythiols based on myrtenal 44.
Trifluoromethylation of 2-formylisopinocampheyl-3-thioacetate 47 by Ruppert–Prakash reagent in the presence of tetra-n-butylammonium fluoride (TBAF) was carried out at −30 °C for 3 days. Diastereomers 48 and 49 are formed in a 52% total yield and de 42% with the predominance of thioacetate 48. Deacylation of thioacetates 48 and 49 with LiAlH4 in dry Et2O under an argon atmosphere gives the corresponding thiols 50 and 51 with 84 and 90% yields, respectively (Scheme 7) [54].
Thioacetate 52 was obtained from (1S)-(−)-verbenone 53 by using a procedure similar to the synthesis of 2-formylisopinocampheyl-3-thioacetate 47. The reaction produces one of two theoretically possible diastereomers with the R-configuration of C-2 with a 71% yield (Scheme 8). Thioacetate 52 does not react with the Rupert–Prakash reagent under the above conditions, possibly because of the bulky TBAF use.
Scheme 8.
Synthesis of pinane hydroxythiols based on verbenone 53.
The addition of fluorine-containing initiator CsF made it possible to obtain the only (4S)-diastereomer 54 in a 37% yield together with trifluoromethyl alcohol 55 (31%) that is a by-product of desulfurization (Scheme 8). Deacylation of thioacetate 54 gave hydroxythiol 56 in 73% yield [54].
The synthesis of isomeric hydroxythiols 57–59 was carried out on the basis of β-pinene 30 (Scheme 9) [55]. Trans-pinocarveol 60 was synthesized via the oxidation of β-pinene 30 with the SeO2/TBHP system, and its further oxidation with MnO2 led to pinocarvone 61. An inseparable mixture of two isomeric ketothioacetates (2S)-62 and (2R)-63 in a 2:1 ratio in 95% yield is formed during the thia-Michael reaction of pinocarvone 61 with AcSH in the presence of catalytic amount of pyridine at −5 °C. The reduction of thioacetates with LiAlH4 leads to three isomeric hydroxythiols, 57–59.
Scheme 9.
Synthesis of pinane hydroxythiols based on β-pinene 30.
The synthesis of pinane ketothiols 64 and 65 was implemented from α,β-unsaturated pinane ketones 61 and 66 [56]. To obtain thioacetate 62 from enone 61, the synthetical protocol proposed in [5] was used. However, the diastereoselectivity of this reaction under the described conditions did not exceed 33%, as mentioned in [55]. The de value of thioacetate 62 can be increased from 33 up to 92% if the reaction between pinocarvone 61 and AcSH is carried out in THF in a temperature range from −60 to −65 °C, with pyridine as a co-solvent. The same conditions are applicable for the addition of BzSH to ketone 61, with thioacetate 67 being formed in this case with a comparable de of 93% (Scheme 10). Reducing thioacetate 62 via NH2NH2·H2O affords thiol 64 within 4-5 h in up to a 90% yield, while deacylation of thiobenzoate 67 by the same reagent gives the thiol in only a 38-50% yield due to incomplete conversion. Thus, at comparable maximum de values of thioesters 62 and 67, the preparation of thiol 64 from compound 62 is more optimal, taking into account the higher total yield of thiol and the diacylation time.
Scheme 10.
Synthesis of β-ketothiol from pinocarvone 61.
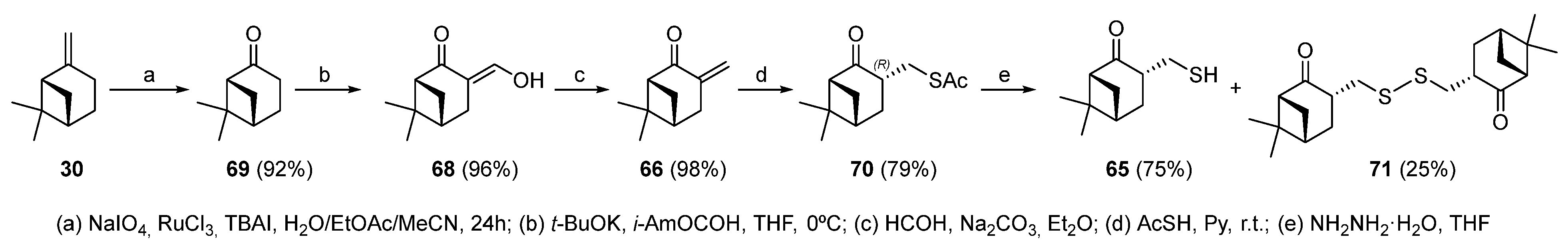
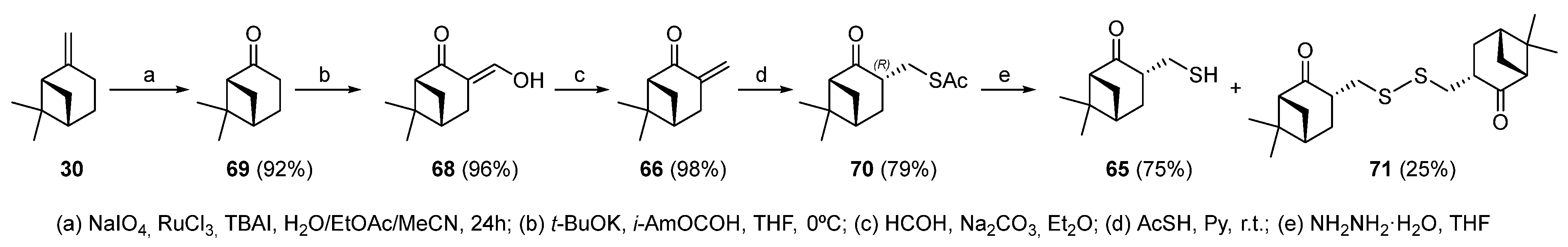
A multistep synthesis of 2-norpinanone 66 from (−)-β-pinene 30 was provided in [57] (Scheme 11). This compound was obtained via nopinone 69 and then ketoenol 68 formation. Ketoenol 68 was produced in a 96% yield from ketone 69 by its reaction with isoamyl formate and t-BuOK in THF at 0 °C for 6 h [56]. The following dihydroxylation of ketoalcohol 68 by formaldehyde in sodium carbonate solution afforded 2-norpinanone 66 [56]. An addition of thioacetic acid to 2-norpinanone 66 was, for the first time, implemented according to the procedure [5] and then by using pyridine as a catalyst [51] in THF at room temperature [56]. The main product of this reaction was the isomer (3R)-70 (de 98%) (Scheme 11). Its deacylation by hydrazine hydrate (NH2NH2·H2O) led to 2-ketothiol 65 and disulfide 71 in a 3:1 ratio, respectively. Because of the mild reducing properties of NH2NH2·H2O and its inability to donate protons, the diacylation proceeds chemoselectively with the preservation of the carbonyl group [58], a behavior that is not typical for LiAlH4 when used [55].
Scheme 11.
Synthesis of β-ketothiol based on 2-norpinanone 66.
Pulegone 73 was used to synthesize para-menthane-derived β-hydroxythiol 72 (Scheme 12) [59,60,61,62]. The 1,4-addition of sodium benzyl thiolate to pulegone led to a diastereomeric mixture of ketosulfides 74 in a 4:1 ratio. Then, the mixture 74 was reduced under Birch conditions by Na in liquid NH3 to give a mixture of hydroxythiols 72. Condensation of 72 with benzaldehyde and subsequent crystallization from acetone afforded diastereomerically pure oxathiane 75 in a 50% yield. When oxidized by AgNO3 in the presence of NCS, oxathiane 75 is transformed into sultines 76, the reduction of which with LiAlH4 gives pure β-hydroxythiol 72.
Scheme 12.
Synthesis of β-hydroxythiol based on pulegone 73.
Isomeric α,β-hydroxythiols 77 and 78 were obtained from natural 3-carene 14 (Scheme 13) [63]. 3-Carene, when oxidized by m-CPBA, selectively forms trans-epoxide 79, which is isomerized in the presence of diethylaluminum 2,2,6-tetramethylpiperidide (DATMP) to enol 80 [64]. The oxidation of alcohol 80 to enone 81 is successfully implemented by the bis(acetoxy)iodobenzene (BAIB)–2,2,6,6-tetramethylpiperidine 1-oxyl (TEMPO) system. Enone 81, being an unstable compound, cannot be isolated in its pure form. The two-step thia-Michael addition of AcSH to α,β-unsaturated ketone 81 proceeds in one pot in pyridine. As a result, only one of the two theoretically possible diastereomers, thioacetate 82, is formed. The subsequent reduction of ketothioacetate 82 by LiAlH4 leads to two diastereomeric β-hydroxythiols, 77 and 78, in a 1:2 ratio, respectively [63].
Scheme 13.
Synthesis of monoterpene hydroxythiols based on 3-carene 14.
2.4. Synthesis from Alcohol via Tosylates, Halides, Isothiouronium Salts
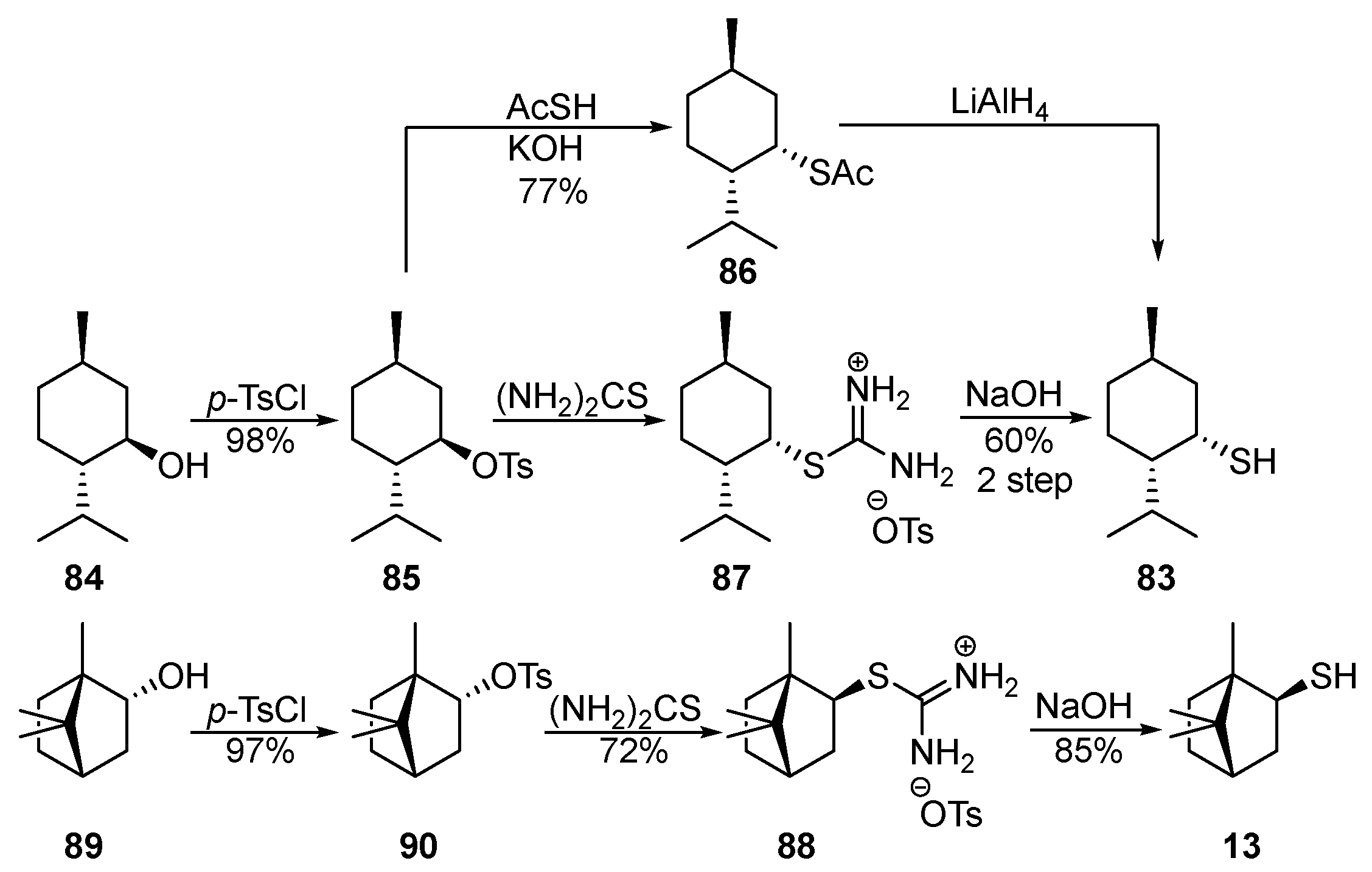
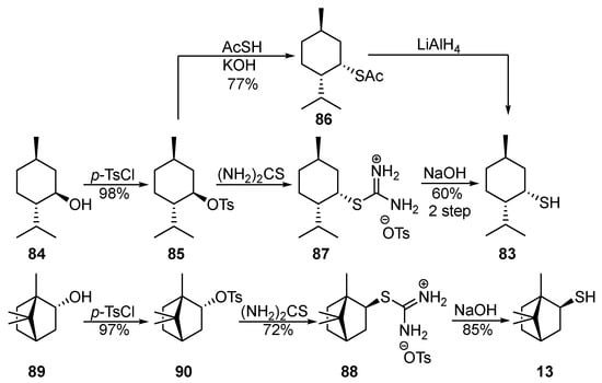
The works [65,66,67,68] cover the methods for the selective preparation of neomenthanethiol 83 using thioacetic acid (AcSH) (Scheme 14). Starting menthol 84 reacts with p-TsCl in pyridine to form tosylate 85, which, when heated with AcSK, gives thioacetate 86 in a 77% yield. Substitution of the OTs (p-toluenesulfonate, tosylate) by the AcS-group occurs with an inversion of the chiral center via the SN2 mechanism. The reduction of 86 by LiAlH4 provides diastereomerically pure thiol 83 in a 26–40% yield (Scheme 14).
Scheme 14.
Synthesis of neomenthanethiol 83 and isobornanethiol 13.
Neomenthanethiol 83 [68,69] and isobornanethiol 13 [68,70,71,72] were also synthesized in good yields via isothiouronium salts 87 and 88, proceeding from alcohols 84 and 89 (Scheme 14).
In addition to neomenthanethiol 83 and isobornanethiol 13, the authors of [68] prepared 4-caranethiol 91 and cis-myrtanethiol 92 using the same method.

(−)-(3R)-Pinanthiol 93 was proposed to be obtained via the Mitsunobu-type procedure from (+)-isopinocampheol 94 [6,7] (Scheme 15). The reaction of the alcohol 94 with zinc N,N-dimethyldithiocarbamate in the presence of triphenylphosphine and diethylazodicarboxylate (DEAD) is accompanied by an inversion of C-3 configuration and leads to dithiocarbamate 95 in a 66% yield. Dithiocarbamates baced on menthol 84 and borneol 89 were also obtained by the same procedure [73,74]. The reduction of dithiocarbamate 95 by LiAlH4 gives thiol 93 in a 92% yield. The approach to obtain thiol 93 through the corresponding mesylate 96 and thioacetate 97 was described in [12].
Scheme 15.
Synthesis of (1S,2S,3R,5R)-3-pinanethiol 93.
Geraniol 98 reacts with thioacetic acid under Mitsunobu-type conditions [75] to form thioacetate 99 in a good yield, which, when treated with LiAlH4, is converted into the corresponding thiol 100 in a 61% yield (Scheme 16) [76].
Scheme 16.
Synthesis of thiogeraniol 100.
The ability of nerol 101 to be converted into bromide 102 under the action of PBr3, and then into thiol 103 by using NaSH via two successive nucleophilic substitutions with yields of 86 and 66%, respectively, was described in [77] (Scheme 17).
Scheme 17.
Synthesis of thionerol 103.
Diastereomerically pure hydroxythiol 57 can also be obtained via two alternative routes [55]. The first one involves the bromination of β-pinene 30 by NBS (N-bromosuccinimide) to form myrtenyl bromide 104, which undergoes hydroboration–oxidation and is selectively transformed to bromoalcohol 105. The nucleophilic replacement of bromide by thioacetate AcS− leads to compound 106, which can also be synthesized starting from α-pinene 8 (Scheme 18). The second route is associated with the oxidation of α-pinene 8 to myrtenal, followed by its reduction to myrtenol 107, which is converted into diol 108 by the same hydroboration–oxidation procedure. The further reaction of tosyl chloride with diol 108 leads to both monotosylate 109 (76%) and ditosylate 110 (10%). The nucleophilic substitution of the para-toluenesulfonate group in 109 by AcS− also results in thioacetate 106. When reduced, thioacetate 106 affords hydroxythiol 57 (Scheme 18) [55].
Scheme 18.
Synthesis of 10-hydroxyisopinocampheylthiol 57 from α- and β-pinene.
2.5. Nucleophilic Substitution of the Activated Methylene Proton
The synthesis of bornane α-hydroxythiol 111 was described in [78,79] (Scheme 19). The nucleophilic substitution of a proton of the activated methylene group in camphor 112 by benzyl p-toluenesulfonate promoted by LDA leads to the formation of ketosulfide 113, which, being reduced by NaBH4 in methanol or dibutylaluminum hydride (DIBAL) in THF, gives hydroxysulfide 114, which is capable of being transformed into hydroxythiol 111 by the Birch reduction.
Scheme 19.
Synthesis of bornane α-hydroxythiol 111 from camphor 112.
2.6. Epoxide and Thiiran Ring Opening
The nucleophilic ring opening of epoxide 79 with AcSH catalyzed by tetramethylammonium fluoride (TMAF) yields hydroxythioacetate 115, which is readily deacylated by LiAlH4 to form the corresponding α-hydroxythiol 116 (Scheme 20).
Scheme 20.
Synthesis of monoterpene hydroxythiols 116 and 120 based on 3-carene 14.
Cis-epoxide 117 was obtained according to the known method [80] through bromohydrin 118 in 70% total yield. The interaction of epoxide 117 with AcSH in the presence of TMAF leads to thioacetate 119, the deacylation of which gives α-hydroxythiol 120 (Scheme 20) [63].
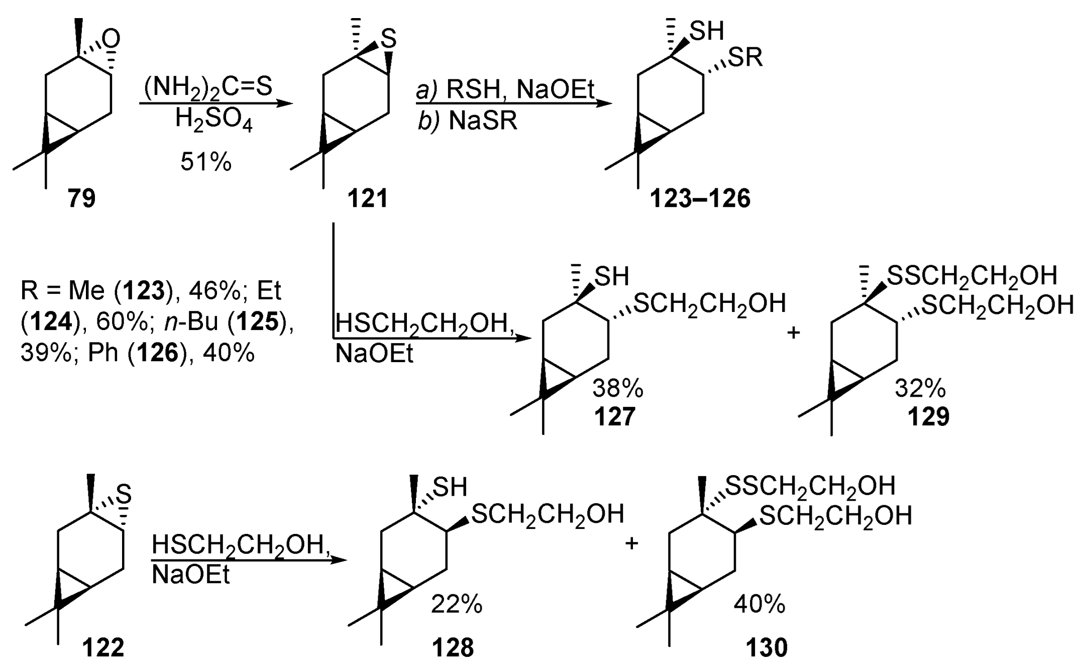
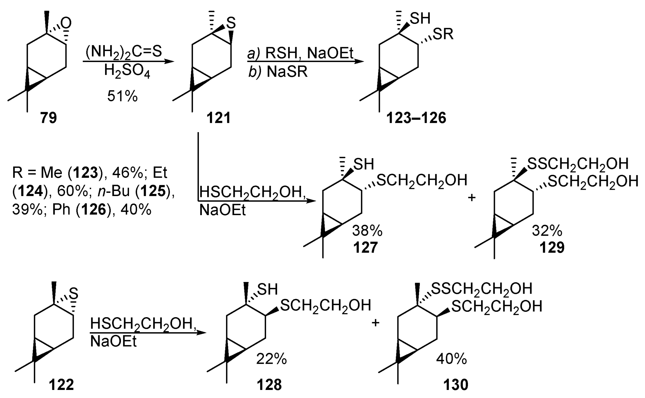
The nucleophilic sulfenylation of carane thiiranes, cis-121 and trans-122, by mono- (MeSH, EtSH, n-BuSH, PhSH) and bifunctional (HSCH2CH2OH) thiols, promoting with sodium ethoxide and thiolates, affords mercaptosulfides 123–128 with only moderate yields. By-product disulfides 129 and 130 are additionally formed during the reaction of thiiranes 121 and 122 with 2-mercaptoethanol (Scheme 21) [43].
Scheme 21.
Sulfenylation of carane thiiranes 121 and 122.
2.7. Reduction of Thiiranes, Thiolanes, Sulfonyl Chlorides, and Sultones
Monoterpene thiols can be obtained via the reduction of thiiranes. A method for the directed synthesis of racemic thiol 4 from thiirane 131 through oxirane 132 and isothiouronium salt 133 was described in [47]. The sequential reflux of epoxide 132 with thiourea and Na2CO3 leads to the corresponding thiirane 131, the reduction of which by LiAlH4 gives thiol 4 in a moderate yield. A similar protocol for obtaining racemic thiol 5 was reported in [1]; however, thiiran 134 in this study was synthesized from oxirane 135 using the N,N-dimethylthioformamide (DMTF)–TFA system as a reagent (Scheme 22).
Scheme 22.
Scheme for the synthesis of racemic 1-p-menthene-8-thiol 4 and 1-p-menthene-4-thiol 5.
Trans-limonene-1,2-epoxide 137 and cis-1,2-limonene-1,2-epoxide 138 were transformed by the DMTF-TFA system into cis-139 and trans-1,2-epithio-p-ment-8-ene 140, respectively (Scheme 23) [2]. The yield of thiirane 140 is lower than that of thiirane 139, since the reaction is accompanied by the formation of the by-product diol 141, which is yielded during the acid hydrolysis of epoxide 138. The reductive cleavage of the thiirane ring of 139 proceeds readily to give thiols 142 and 143, of which only thiol 142 was isolated in its pure form. Thiirane 140 was proposed to reduce to thiol 144 at only a 37% yield.
Scheme 23.
Synthesis and reduction of para-menthane thiiranes 139 and 140.
Thioketals can also be used as the starting compounds for the synthesis of monoterpene thiols. Thus, the reductive cleavage of menthone dithiolane 145 using n-BuLi leads to the diastereomeric mixture of menthanethiol 146 and neomenthanethiol 83 (Scheme 24) (A) [81], (B) [82].
Scheme 24.
Reductive cleavage of menthone dithiolane 145 and camphor dithiolane 147.
The reductive cleavage of camphor dithiolane 147 induced by n-BuLi produces thiocamphor 148 (62%) as the major product; the mixture of exo-13 and endo-149 thiols accounts for only 38% (Scheme 24) [83].
Some methods to obtain bornane β-hydroxythiols 150 and 151 by reducing camphor-10-sulfonyl chloride 152 are described in [22,23,24]. As a result of this transformation, two diastereomeric hydroxythiols, 150 and 151, are formed (Scheme 25). Camphor-10-sulfonyl chloride 152 can also be selectively converted into ketothiol 153 by using PPh3 as a reducing agent [84,85].
Scheme 25.
Synthesis of 10-thioisoborneol 150, 10-thioborneol 151, and 10-thiocamphor 153.
The authors of [86,87] carried out the reduction of bornane sultones 154 and 155 by LiAlH4 in THF to form the corresponding mixture of hydroxythiols 156 and 150, sultines 157 and 158, borneol 89, and isoborneol 159 (Scheme 26).
Scheme 26.
Reduction of monoterpene sultones 154 and 155.
3. Syntheses Involving Monoterpene Thiols for the Production of Biologically Active Substances
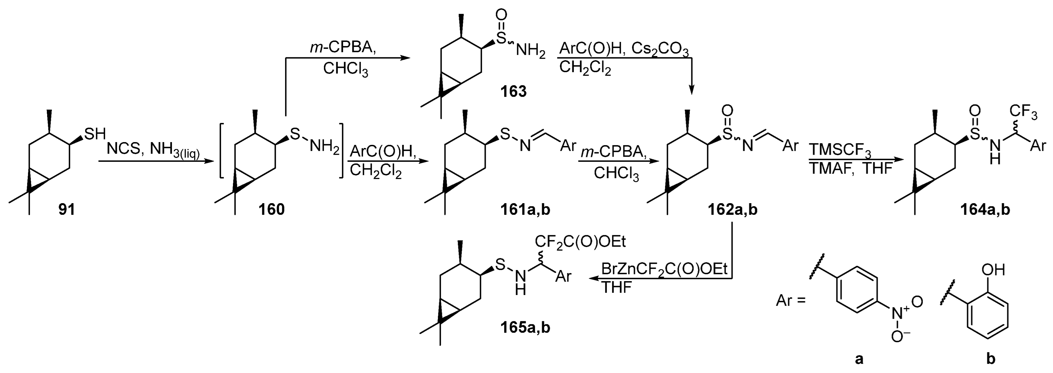
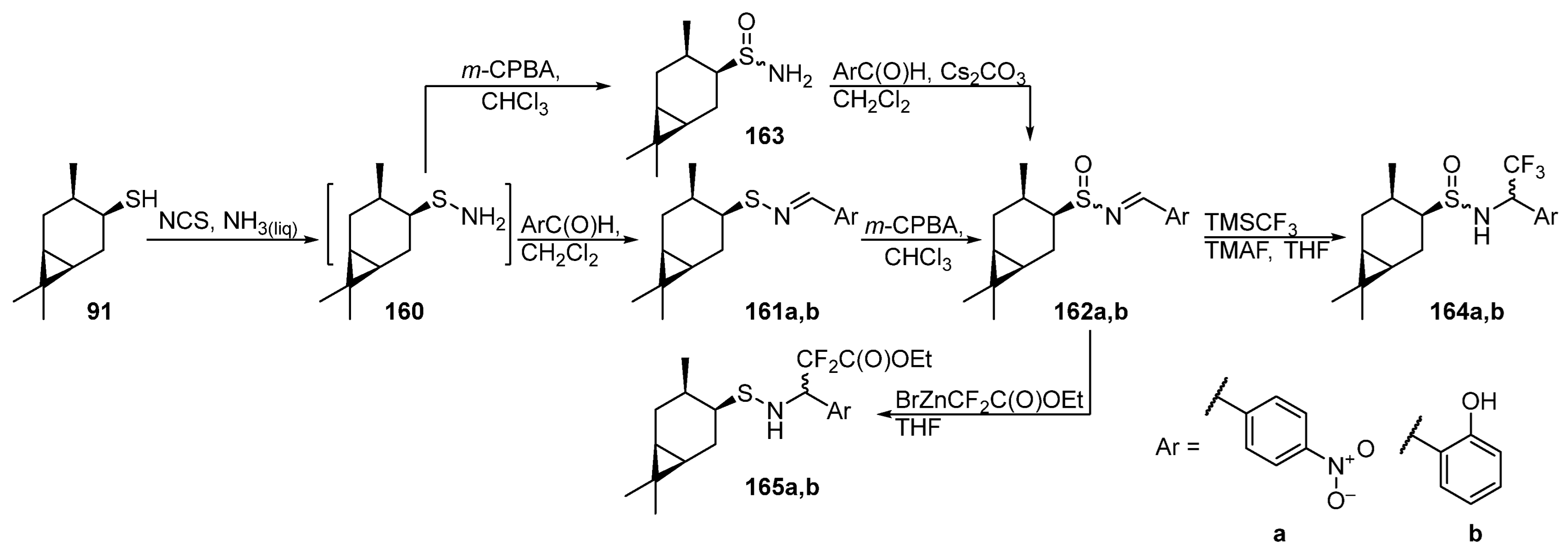
CF3-Containing N-substituted sulfinamides synthesized from 4-caranethiol via sulfenimines and sulfinimines are reported in [34]. 4-Caranethiol 91, when treated with NCS in liquid ammonia, forms the unstable sulfenamide 160, which is condensed in situ with 4-nitrobenzaldehyde or salicylic aldehyde to produce sulfenimines 161a,b in 73-87% yields. The further asymmetric oxidation of sulfenimines by various oxidants and oxidation systems (m-CPBA, TBHP, CHP–VO(acac)2, and H2O2–VO(acac)2–L*) leads to the corresponding diastereomeric sulfinimines 162a,b (85–99%). In the work [34], a convenient one-step procedure for the synthesis of chiral primary sulfinamides 163 (overall yield 65%, de 12%) from 4-caranethiol 91 via the in situ treatment of sulfenamide 160 with m-CPBA was proposed. Sulfinamide 163 also reacts with salicylic- and 4-nitrobenzaldehyde to give sulfinimines 162a,b in yields from 75 up to 85%. The addition of the Ruppert–Prakash reagent to sulfinimines 162a,b provides diastereomeric N-substituted trifluoromethyl sulfinamides 164a,b (yield 68-85%). Similarly, using the Reformatsky reagent based on ethyl bromodifluoroacetate allows us to obtain fluorinated N-substituted sulfinamides 165a,b (42–74%, de 9-81%) from sulfinimines 162a,b (Scheme 27). All diastereomers indicated in Scheme 27 were isolated in pure forms by column chromatography and evaluated for antimicrobial activity against ESKAPE pathogens (six highly virulent and antibiotic-resistant bacterial pathogenic bacteria, including E. faecium, S. aureus, K. pneumoniae, A. baumannii, P. aeruginosa, and Enterobacter spp.) [88], fungi C. Albicans, and C. neoformans. As the reference antimicrobials for Gram-negative and Gram-positive bacteria, colistin and vancomycin were used, respectively, and for the fungi, fluconazole was applied.
Scheme 27.
Synthesis of sulfenimines, sulfinamides, sulfinimines, and N-substituted sulfinamides based on 4-caranethiol 91.
Compounds 161a, (SS)-162b, (RSS)-164a, (SSR)-164b, (RSR)-165a, and (SSS)-165b at a concentration of 32 μg/mL showed antibacterial activity against Acinetobacter baumannii, and sulfinamide (RSR)-165a has antifungal activity against Candida albicans. The MIC (minimum inhibitory concentration) value of (RSR)-165a against Candida was 0.25 μg/mL. This compound also showed moderate cytotoxicity against human embryonic kidney cells (Hek-293) at a concentration of 32 μg/mL. All of this indicates that sulfinamide (RSR)-165a is not only a selective antifungal agent but also a promising compound for further medical trials.
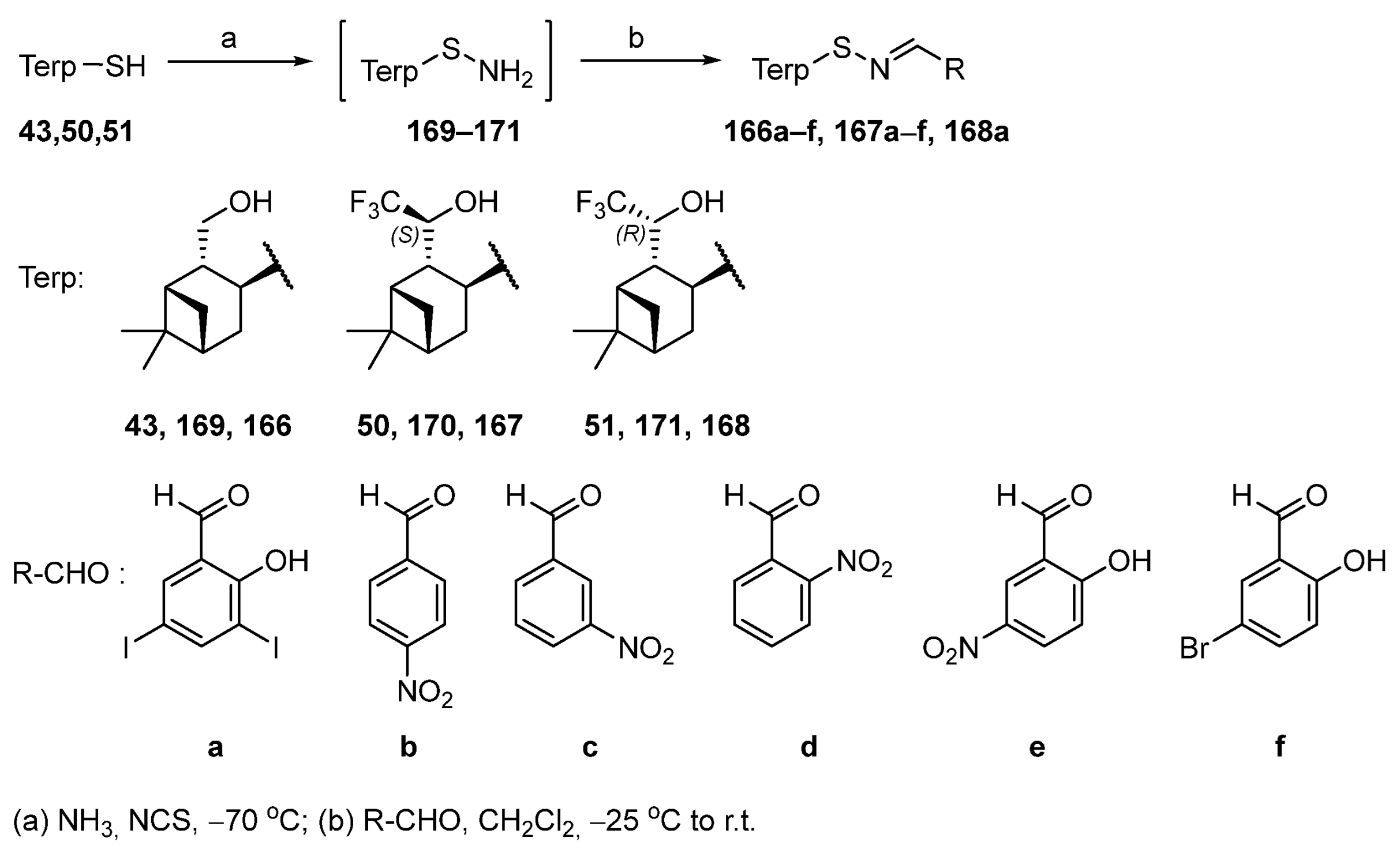
A similar approach was used to synthesize sulfenimines 166a–f, 167a–f, and 168a based on trifluoromethylated monoterpene thiols 43, 50, and 51 [5,54] by varying the stereochemistry of the terpene moiety and the aldehyde structure [35]. The interaction of thiols 43, 50, and 51 with NCS in liquid ammonia gives sulfenamides 169–171, which can be transformed to sulfenimines 166a–f, 167a–f, and 168a in yields of up to 81% by condensation with various aldehydes (Scheme 28).
Scheme 28.
Synthesis of sulfenimines based on pinane hydroxythiols.
The antimicrobial activity of the newly synthesized sulfenimines 166a–f, 167a–f, and 168a was assessed against Gram-positive methicillin-susceptible S. aureus (MSSA) and methicillin-resistant S. aureus (MRSA), Gram-negative bacterium P. aeruginosa, and a fluconazole-sensitive C. albicans. These microorganisms are characterized by a high frequency of resistant isolates and cause diseases of various mucous membranes, the skin, and the respiratory tract.
Compounds 166a, 167a, 166b, and 167e inhibited the growth of all tested pathogens, although the activity was moderate and the MIC values (8–64 µg/mL) were generally higher than those of the reference antimicrobials (amikacin, ampicillin, ciprofloxacin, fluconazole, and benzalkonium chloride). It is important to note that trifluoromethylated sulfenimines with salicylic fragments 168a and 167f were active only against methicillin-resistant S. aureus and C. albicans, and 168a was even more active than fluconazole (MIC 8 µg/mL). In addition, sulfenimines with a CF3 group in the terpene moiety and salicylaldehyde fragment 167a, 168a, 167b, and 167f exhibit greater antifungal activity (MIC 8–32 µg/mL) in contrast to the non-fluorinated analogues 166a, 166e, and 166f (MIC ≥ 64 µg/mL).
However, most of the synthesized compounds are highly cytotoxic to embryonic bovine lung (EBL) cells. All new compounds have selectivity indices (SI, the ratio of toxicity to MIC) of 2–4, showing their high relative toxicity, which reduces the possibility to further use these compounds as potential antibiotics and indicates the need for further optimization of the structure with reducing the negative effect on eukaryotic cells.
Some natural [89,90,91,92,93] and synthetic [94,95,96] lipophilic disulfides have antimicrobial properties. In [36], novel unsymmetrical monoterpenylhetaryl disulfides (169–172)a–d based on monoterpene thiols 83, 92, 43, and 57 and heterocyclic disulfides were synthesized in 48–88% yields (Scheme 29). Disulfides 169c–172c with 2-mercaptonicotinic acid methyl ester moiety were converted to the corresponding acids 169d–172d to provide yields of them up to 73–95%. The obtained compounds were evaluated for antibacterial and antifungal activity, cytotoxicity, and mutagenicity. Amikacin and fluconazole were used as antimicrobial references.
Scheme 29.
Synthesis of asymmetric monoterpenyl hetaryl disulfides (169–172)a–d.
Unsymmetrical disulfides 169a–d with a neomentane fragment showed antimicrobial activity against both S. aureus strains, with MICs of 16–32 μg/mL. Disulfides 170b (MIC 16 μg/mL) and 170d (MIC 16 μg/mL) have the highest activity against the MSSA among the compounds 170a–d. Disulfides 172a–c bearing an OH group at the C-3 position of the terpene fragment did not demonstrate any antibacterial properties. Pinane disulfides 171a–c with a hydroxymethyl group at C-10 in their biological activity turned out to be similar to neomentane thiotherpenoids 169a–c and showed MIC values of 32–64 µg/mL. Only disulfides 169a–c, 170a, 170b, and 171a were capable of inhibiting Pseudomonas aeruginosa. Along with that, there were no disulfides among (169–172)a–c with pronounced antifungal activity against the clinical isolate of C. albicans. However, disulfides 169–172d containing a 2-mercaptonicotinic acid moiety nevertheless demonstrated antifungal activity (MIC 16–128 μg/mL).
In general, the synthesized asymmetric monoterpenyl hetaryl disulfides (169–172)a–d possess high cytotoxicity (CC50) against EBL. Pinane disulfides 170a, 170b, and 171d showed the lowest toxicity. For neomenthane disulfides 169a and 169b, mutagenicity was revealed in the Ames test on Salmonella typhimurium [97].
Thiosulfonates 173 and 174 were obtained via the oxidation of pinane hydroxythiols 43 and 57 with chlorine dioxide in yields of 46–58% [33] (Scheme 30) and tested for antimicrobial activity against five bacterial strains (Escherichia coli, Klebsiella pneumoniae, Acinetobacter baumannii, Pseudomonas aeruginosa, and Staphylococcus aureus) and antifungal activity against two fungal strains (Candida albicans and Cryptococcus neoformans). Colistin and vancomycin were used as reference antibiotics against bacteria, and fluconazole against the fungi. The results showed that sulfonothioates 173 and 174 are active against Candida albicans; meanwhile, compound 173 also showed activity against S. aureus and C. neoformans at 32 μg/mL.
Scheme 30.
Synthesis of hydroxypinane thiosulfonates 173 and 174.
Thio-modified monoterpene carboxylic acids 177a–181a were produced in 82–98% yields via the reaction of monoterpene thiols such as myrtenethiol 40, neomenthanethiol 83, 10-hydroxyisopinocamphenylthiol 43, 3-trans-hydroxy-cis-myrtanethiol 57, and cis-myrtanethiol 92 with bromoacetic acid and NaH in THF at 4 °C (Scheme 31) [98]. Similarly, thiols 40, 83, 43, 57, and 92 react with 2-bromo-2,2-difluoroacetic acid ethyl ester in THF in the presence of NaH. The resulting ethyl esters, i.e., 177b–181b, were not isolated in pure their forms. Thio-monoterpene carboxylic acids 177c–181c were obtained in 56–80% yields by treating the reaction mixture with an aqueous LiOH solution (Scheme 31) [98].
Scheme 31.
Synthesis thio-monoterpene carboxylic acids (177–178)a–c.
According to the results of antimicrobial activity testing, all compounds except 179c and 180c exhibit weak activity against Gram-positive S. aureus (MIC 64–128 μg/mL). All compounds, except 178c, 179c, and 180c, are equally active against both MSSA and MRSA. Difluoroacetic acid derivatives 177c–181c have reduced antibacterial activity compared to their non-fluorinated analogues 177a–181a. The acid with a neomenthane moiety 178a showed weak antifungal activity against C. albicans (MIC 128 μg/mL), which is resistant to fluconazole. Ampicillin, amikacin, benzalkonium chloride, and fluconazole were used as reference standards.
4. Application of Monoterpene Thiols in Asymmetric Synthesis
Monoterpene thiols, known for their natural enantiomeric purity, have found applications in asymmetric synthesis. To reveal the synthetic potential of monoterpene thiols, we provide some examples of their application in asymmetric synthesis.
As an example, the work of [5] can be given, which covers a method of using pinane hydroxythiol 43 as a chiral auxiliary to synthesize certain chiral aldols and diols (Scheme 32). When thiol 43 was treated with α,α-dimethoxyacetone, a single diastereomer, ketooxathiane 182, was formed with a yield of 32%. The further addition of Grignard reagents and organolithium compounds at the C=O of 182 afforded the corresponding alcohols 183a–g in good yields and high diastereoselectivity. The configuration of a newly formed chiral center of the major diastereomers was assigned as R for tertiary alcohols 183a–f and S for a secondary one, 183g, due to the change in seniority of substituents. LS-Selectride (lithium trisiamylborohydride) reduces ketone 182 more selectively than LiAlH4 and DIBAL (diisobutylaluminum hydride). Compounds 183a–g reacted with AgNO3 and NCS by opening the oxothiane ring to give sultine 184 and aldols 185a–g, which are not isolated in an individual form. By reducing with LiAlH4, this mixture was converted into the separable non-racemic thiol 43 (63–72%) and diols 186a–g in a yield of 74 up to 83%.
Scheme 32.
Synthesis of chiral diols 186a–g using hydroxythiol 43 as a chiral auxiliary.
The similar approaches using hydroxythiol 43 for the preparation of chiral diols, as well as α-hydroxy acids, are also described in [99,100,101].
Chiral bornane 1,2- and 1,3-hydroxythiols 111, 150, and 151 were evaluated as catalysts for the asymmetric reduction of prochiral ketones with borane (Scheme 33) [14,15]. Thus, acetophenone 187 was reduced to 1-phenylethanol in yields greater than 90% and in good enantioselectivity. The solvent nature did not affect the reaction enantioselectivity, and the stoichiometric ratio of catalyst to substrate used slightly increased it to 75%. In another work [102], a 96% yield and 87% ee were achieved for alcohol 188 by replacing the boron hydrogenating agent with borane dimethyl sulfide, conducting the reaction in toluene at 50 °C with hydroxythiol 111 as an organocatalyst.
Scheme 33.
Synthesis of chiral 1-phenylethanol 188 using hydroxythiols 111, 151, and 150 as chiral organocatalysts.
In the presence of SmI2 and thiols 83, 93, 111, and 150, 5-oxotridecanal 189 was converted to lactone 190 (Scheme 34) [12]. The Lewis acid (R*S)SmI2 can promote the addition of R*SH to the aldehyde group of compound 189. The samarium-bound hemithioacetal intermediate (A) can then undergo an intramolecular hydride shift to form the δ-hydroxy acid thioester intermediate (B). The reaction is capable of proceeding further with irreversible lactonization, releasing the catalyst (R*S)SmI2 for the next cycle. The presented examples clearly show that hydroxythiols more stereoselectively co-catalyze the lactonization of ketoaldehyde 189.
Scheme 34.
Enantioselective formation of δ-lactone 190 via the treatment of 189 with SmI2 and chiral thiols 83, 93, 111, and 150.
5. Conclusions
In summary, the synthesis of acyclic, mono-, and bicyclic monoterpene thiols has been achieved via numerous pathways. The current review outlines a wide range of reactions to demonstrate the synthetic importance of functionalized monoterpenoids. In addition to focusing on the synthesis of monoterpene thiols, this review also examines their use as convenient and versatile synthons in organic synthesis and for the production of bioactive compounds.
Author Contributions
Conceptualization, D.V.S., L.E.N., P.R. and S.A.R.; methodology, D.V.S.; validation, E.S.I.; formal analysis, D.V.S. and E.S.I.; data curation, D.V.S.; writing—original draft preparation, D.V.S.; writing—review and editing, D.V.S., E.S.I., L.E.N., P.R. and S.A.R.; visualization, D.V.S.; supervision, L.E.N., P.R. and S.A.R.; project administration, S.A.R.; funding acquisition, S.A.R. All authors have read and agreed to the published version of the manuscript.
Funding
This research was funded by the Russian Science Foundation, grant number 21-13-00245.
Institutional Review Board Statement
Not applicable.
Informed Consent Statement
Not applicable.
Data Availability Statement
Data are available in the manuscript.
Acknowledgments
This work was performed using equipment from the Center for Collective Use “Khimia” of the Institute of Chemistry of the Komi Scientific Center, Ural Branch of the Russian Academy of Sciences.
Conflicts of Interest
The authors declare no conflict of interest.
References
- Schoenauer, S.; Schieberle, P. Structure–Odor Activity Studies on Monoterpenoid Mercaptans Synthesized by Changing the Structural Motifs of the Key Food Odorant 1-p-Menthene-8-Thiol. J. Agric. Food Chem. 2016, 64, 3849–3861. [Google Scholar] [CrossRef]
- Candela, K.; Fellous, R.; Joulain, D.; Faure, R. Reduction of Cis- and Trans-1,2-Epithio-p-Menth-8-Ene: Preparation of New Fragrant Terpenoid Thiols. Flavour Fragr. J. 2003, 18, 52–56. [Google Scholar] [CrossRef]
- Schoenauer, S.; Schieberle, P. Screening for Novel Mercaptans in 26 Fruits and 20 Wines Using a Thiol-Selective Isolation Procedure in Combination with Three Detection Methods. J. Agric. Food Chem. 2019, 67, 4553–4559. [Google Scholar] [CrossRef]
- Goeke, A. Sulfur-Containing Odorants in Fragrance Chemistry. Sulfur Rep. 2002, 23, 243–278. [Google Scholar] [CrossRef]
- Martínez-Ramos, F.; Vargas-Díaz, M.E.; Chacón-García, L.; Tamariz, J.; Joseph-Nathan, P.; Zepeda, L.G. Highly Diastereoselective Nucleophilic Additions Using a Novel Myrtenal-Derived Oxathiane as a Chiral Auxiliary. Tetrahedron Asymmetry 2001, 12, 3095–3103. [Google Scholar] [CrossRef]
- Adams, H.; Bell, R.; Cheung, Y.-Y.; Jones, D.N.; Tomkinson, N.C.O. The Cleavage of Meso-Epoxides with Homochiral Thiols: Synthesis of (+)- and (−)-Trans-1-Mercaptocyclohexan-2-Ol. Tetrahedron Asymmetry 1999, 10, 4129–4142. [Google Scholar] [CrossRef]
- Aggarwal, V.K.; Kalomiri, M.; Thomas, A.P. Asymmetric Epoxidation Using Chiral Sulfur Ylides. Tetrahedron Asymmetry 1994, 5, 723–730. [Google Scholar] [CrossRef]
- Aggarwal, V.K.; Ford, J.G.; Fonquerna, S.; Adams, H.; Jones, R.V.H.; Fieldhouse, R. Catalytic Asymmetric Epoxidation of Aldehydes. Optimization, Mechanism, and Discovery of Stereoelectronic Control Involving a Combination of Anomeric and Cieplak Effects in Sulfur Ylide Epoxidations with Chiral 1,3-Oxathianes. J. Am. Chem. Soc. 1998, 120, 8328–8339. [Google Scholar] [CrossRef]
- Aggarwal, V.K.; Ford, J.G.; Jones, R.V.H.; Fieldhouse, R. Camphor Derived 1,4-Oxathianes for Carbonyl Epoxidation. Tetrahedron Asymmetry 1998, 9, 1801–1807. [Google Scholar] [CrossRef]
- Maezaki, N.; Yagi, S.; Ohsawa, S.; Ohishi, H.; Tanaka, T. Pd-Catalyzed Asymmetric Sulfinylzincation of 1-Alkynoates Using 1-Alkynyl Sulfoxides Bearing a Chiral Auxiliary. Tetrahedron Asymmetry 2002, 13, 1961–1964. [Google Scholar] [CrossRef]
- Yin, Y.; Li, X.; Lee, D.-S.; Yang, T.-K. Asymmetric Conjugate Addition of Diethylzinc to Chalcone Catalyzed by Nickel Complexes Containing Derivatives of (1R,2S,3R)-3-Mercaptocamphan-2-Ol. Tetrahedron Asymmetry 2000, 11, 3329–3333. [Google Scholar] [CrossRef]
- Hsu, J.-L.; Fang, J.-M. Triflate-Catalysed Addition of Thio Compounds to Camphene. J. Org. Chem. 2001, 66, 8573–8584. [Google Scholar] [CrossRef]
- Molvinger, K.; Court, J. Reaction of a Chiral Oxygen–Sulfur Paired Bidentate Ligand with Nickel and Iron Boride: Asymmetric Borane Reduction of Ketones. Tetrahedron Asymmetry 2001, 12, 1971–1973. [Google Scholar] [CrossRef]
- Mellah, M.; Voituriez, A.; Schulz, E. Chiral Sulfur Ligands for Asymmetric Catalysis. Chem. Rev. 2007, 107, 5133–5209. [Google Scholar] [CrossRef] [PubMed]
- Fiaud, J.-C.; Mazé, F.; Kagan, H.B. Chiral Hydroxythiols as Catalysts for Enantioselective Borane Ketone Reductions. Tetrahedron Asymmetry 1998, 9, 3647–3655. [Google Scholar] [CrossRef]
- Pakulski, Z.; Zamojski, A. Separation of Racemic Binaphthol into Enantiomers. Synthesis of Neomenthylthioacetic Acid Chloride—A New Chiral Resolving Agent. Tetrahedron Asymmetry 1995, 6, 111–114. [Google Scholar] [CrossRef]
- Firdaus, M. Thiol–Ene (Click) Reactions as Efficient Tools for Terpene Modification. Asian J. Org. Chem. 2017, 6, 1702–1714. [Google Scholar] [CrossRef]
- Firdaus, M.; Montero De Espinosa, L.; Meier, M.A.R. Terpene-Based Renewable Monomers and Polymers via Thiol–Ene Additions. Macromolecules 2011, 44, 7253–7262. [Google Scholar] [CrossRef]
- Ruggieri, F.; Compagne, N.; Antraygues, K.; Eveque, M.; Flipo, M.; Willand, N. Antibiotics with Novel Mode of Action as New Weapons to Fight Antimicrobial Resistance. Eur. J. Med. Chem. 2023, 256, 115413. [Google Scholar] [CrossRef]
- Blair, J.M.A.; Webber, M.A.; Baylay, A.J.; Ogbolu, D.O.; Piddock, L.J.V. Molecular Mechanisms of Antibiotic Resistance. Nat. Rev. Microbiol. 2015, 13, 42–51. [Google Scholar] [CrossRef]
- Nikitina, L.E.; Artemova, N.P.; Startseva, V.A. Natural and Thio-Modified Monoterpenoids; LAP LAMBERT: Saarbrücken, Germany, 2011; ISBN 978-3-8484-3023-9. (In Russian) [Google Scholar]
- Griffin, S.G.; Wyllie, S.G.; Markham, J.L.; Leach, D.N. The Role of Structure and Molecular Properties of Terpenoids in Determining Their Antimicrobial Activity. Flavour Fragr. J. 1999, 14, 322–332. [Google Scholar] [CrossRef]
- Griffin, S.G.; Wyllie, S.G.; Markham, J.L. Antimicrobially Active Terpenes Cause K+ Leakage in E. coli Cells. J. Essent. Oil Res. 2005, 17, 686–690. [Google Scholar] [CrossRef]
- Mancuso, M.; Catalfamo, M.; Laganà, P.; Rappazzo, A.C.; Raymo, V.; Zampino, D.; Zaccone, R. Screening of Antimicrobial Activity of Citrus Essential Oils against Pathogenic Bacteria and Candida Strains. Flavour Fragr. J. 2019, 34, 187–200. [Google Scholar] [CrossRef]
- Patil, S.P.; Kumbhar, S.T. Evaluation of Terpene-Rich Extract of Lantana Camara L. Leaves for Antimicrobial Activity against Mycobacteria Using Resazurin Microtiter Assay (REMA). Beni-Suef Univ. J. Basic Appl. Sci. 2018, 7, 511–515. [Google Scholar] [CrossRef]
- Guimarães, A.C.; Meireles, L.M.; Lemos, M.F.; Guimarães, M.C.C.; Endringer, D.C.; Fronza, M.; Scherer, R. Antibacterial Activity of Terpenes and Terpenoids Present in Essential Oils. Molecules 2019, 24, 2471. [Google Scholar] [CrossRef]
- Kifer, D.; Mužinić, V.; Klarić, M.Š. Antimicrobial Potency of Single and Combined Mupirocin and Monoterpenes, Thymol, Menthol and 1,8-Cineole against Staphylococcus Aureus Planktonic and Biofilm Growth. J. Antibiot. 2016, 69, 689–696. [Google Scholar] [CrossRef]
- Cordeiro, L.; Figueiredo, P.; Souza, H.; Sousa, A.; Andrade-Júnior, F.; Barbosa-Filho, J.; Lima, E. Antibacterial and Antibiofilm Activity of Myrtenol against Staphylococcus Aureus. Pharmaceuticals 2020, 13, 133. [Google Scholar] [CrossRef]
- Nikitina, L.E.; Artemova, N.P.; Startseva, V.A.; Fedyunina, I.V.; Klochkov, V.V. Biological Activity of S-Containing Monoterpenoids. Chem. Nat. Compd. 2017, 53, 811–819. [Google Scholar] [CrossRef]
- Selvaraj, A.; Valliammai, A.; Sivasankar, C.; Suba, M.; Sakthivel, G.; Pandian, S.K. Antibiofilm and Antivirulence Efficacy of Myrtenol Enhances the Antibiotic Susceptibility of Acinetobacter Baumannii. Sci. Rep. 2020, 10, 21975. [Google Scholar] [CrossRef]
- Zacchino, S.A.; Butassi, E.; Cordisco, E.; Svetaz, L.A. Hybrid Combinations Containing Natural Products and Antimicrobial Drugs That Interfere with Bacterial and Fungal Biofilms. Phytomedicine 2017, 37, 14–26. [Google Scholar] [CrossRef]
- Mahmoud, R.Y.; Trizna, E.Y.; Sulaiman, R.K.; Pavelyev, R.S.; Gilfanov, I.R.; Lisovskaya, S.A.; Ostolopovskaya, O.V.; Frolova, L.L.; Kutchin, A.V.; Guseva, G.B.; et al. Increasing the Efficacy of Treatment of Staphylococcus Aureus–Candida Albicans Mixed Infections with Myrtenol. Antibiotics 2022, 11, 1743. [Google Scholar] [CrossRef]
- Grebyonkina, O.N.; Lezina, O.M.; Izmest’ev, E.S.; Sudarikov, D.V.; Pestova, S.V.; Rubtsova, S.A.; Kutchin, A.V. Synthesis of New Monoterpene Sulfonic Acids and Their Derivatives. Russ. J. Org. Chem. 2017, 53, 860–868. [Google Scholar] [CrossRef]
- Sudarikov, D.V.; Krymskaya, Y.V.; Il’chenko, N.O.; Slepukhin, P.A.; Rubtsova, S.A.; Kutchin, A.V. Synthesis and Biological Activity of Fluorine-Containing Amino Derivatives Based on 4-Caranethiol. Russ. Chem. Bull. 2018, 67, 731–742. [Google Scholar] [CrossRef]
- Ilchenko, N.O.; Sudarikov, D.V.; Rumyantcev, R.V.; Baidamshina, D.R.; Zakarova, N.D.; Yahia, M.N.; Kayumov, A.R.; Kutchin, A.V.; Rubtsova, S.A. Synthesis and Antimicrobial Activity of Sulfenimines Based on Pinane Hydroxythiols. Antibiotics 2022, 11, 1548. [Google Scholar] [CrossRef]
- Sudarikov, D.V.; Gyrdymova, Y.V.; Borisov, A.V.; Lukiyanova, J.M.; Rumyantcev, R.V.; Shevchenko, O.G.; Baidamshina, D.R.; Zakarova, N.D.; Kayumov, A.R.; Sinegubova, E.O.; et al. Synthesis and Biological Activity of Unsymmetrical Monoterpenylhetaryl Disulfides. Molecules 2022, 27, 5101. [Google Scholar] [CrossRef] [PubMed]
- Sikkema, J.; de Bont, J.A.; Poolman, B. Mechanisms of Membrane Toxicity of Hydrocarbons. Microbiol. Rev. 1995, 59, 201–222. [Google Scholar] [CrossRef]
- Uribe, S.; Pena, A. Toxicity of Allelopathic Monoterpene Suspensions on Yeast Dependence on Droplet Size. J. Chem. Ecol. 1990, 16, 1399–1408. [Google Scholar] [CrossRef] [PubMed]
- Šturm, L.; Poklar Ulrih, N. Propolis Flavonoids and Terpenes, and Their Interactions with Model Lipid Membranes: A Review. In Advances in Biomembranes and Lipid Self-Assembly; Elsevier: Amsterdam, The Netherlands, 2020; Volume 32, pp. 25–52. ISBN 978-0-12-820968-4. [Google Scholar]
- Nogueira, J.O.e.; Campolina, G.A.; Batista, L.R.; Alves, E.; Caetano, A.R.S.; Brandão, R.M.; Nelson, D.L.; Cardoso, M.d.G. Mechanism of Action of Various Terpenes and Phenylpropanoids against Escherichia Coli and Staphylococcus aureus. FEMS Microbiol. Lett. 2021, 368, fnab052. [Google Scholar] [CrossRef]
- Yang, S.-K.; Yusoff, K.; Ajat, M.; Yap, W.-S.; Lim, S.-H.E.; Lai, K.-S. Antimicrobial Activity and Mode of Action of Terpene Linalyl Anthranilate against Carbapenemase-Producing Klebsiella Pneumoniae. J. Pharm. Anal. 2021, 11, 210–219. [Google Scholar] [CrossRef]
- Mendanha, S.A.; Moura, S.S.; Anjos, J.L.V.; Valadares, M.C.; Alonso, A. Toxicity of Terpenes on Fibroblast Cells Compared to Their Hemolytic Potential and Increase in Erythrocyte Membrane Fluidity. Toxicol. In Vitro 2013, 27, 323–329. [Google Scholar] [CrossRef] [PubMed]
- Ishmuratov, G.Y.; Yakovleva, M.P.; Tukhvatshin, V.S.; Talipov, R.F.; Nikitina, L.E.; Artemova, N.P.; Startseva, V.A.; Tolstikov, A.G. Sulfur-Containing Derivatives of Mono- and Bicyclic Natural Monoterpenoids. Chem. Nat. Compd. 2014, 50, 22–47. [Google Scholar] [CrossRef]
- Janes, J.F.; Marr, I.M.; Unwin, N.; Banthorpe, D.V.; Yusuf, A. Reaction of Monoterpenoids with Hydrogen Sulphide to Form Thiols Andepi-Sulphides of Potential Organoleptic Significance. Flavour Fragr. J. 1993, 8, 289–294. [Google Scholar] [CrossRef]
- Tolstikov, G.A.; Kanzafarov, F.Y.; Sangalov, Y.A.; Dzhemilev, U.M. Alkylaluminum Chlorides as Catalysts of the Addition of Hydrogen Sulfide to Olefins. Neftekhimiya 1979, 19, 425–429. [Google Scholar]
- Tolstikov, G.A.; Kanzafarov, F.Y.; Dzhemilev, U.M.; Kantyukova, R.G.; Zelenova, L.M. Electrophilic Thiylation of Bicyclic Monoterpenes by Hydrogen Sulfide and 1-Butanethiol. Zhurnal Organicheskoi Khimii 1983, 19, 2075–2081. [Google Scholar]
- Demole, E.; Enggist, P.; Ohloff, G. 1-p-Menthene-8-thiol: A powerful flavor impact constituent of grapefruit juice (Citrus parodisi MACFAYDEN). Helv. Chim. Acta 1982, 65, 1785–1794. [Google Scholar] [CrossRef]
- Weïwer, M.; Chaminade, X.; Bayón, J.C.; Duñach, E. Indium Triflate-Catalysed Addition of Thio Compounds to Camphene: A Novel Route to 2,3,3-Trimethyl-2-thiobicyclo[2.2.1]Heptane Derivatives. Eur. J. Org. Chem. 2007, 2007, 2464–2469. [Google Scholar] [CrossRef]
- Candela, K.; Fellous, R.; Joulain, D.; Faure, R. An Unusual Rearrangement of the Thujane Skeleton under Free-Radical Conditions: Synthesis of Thioacetates and Thiols Derivatives of (-)-Sabinene. Sulfur Lett. 2002, 25, 145–149. [Google Scholar] [CrossRef]
- Gadras, A.; Dunogues, J.; Calas, R.; Deleris, G. Regiospecific Two-Step Synthesis of Optically Active Allylic Terpenyl Thiols. J. Org. Chem. 1984, 49, 442–444. [Google Scholar] [CrossRef]
- Wadhwa, P.; Kharbanda, A.; Sharma, A. Thia-Michael Addition: An Emerging Strategy in Organic Synthesis. Asian J. Org. Chem. 2018, 7, 634–661. [Google Scholar] [CrossRef]
- Kambe, N. Product Class 5: Alkanethiols. In Category 5, Compounds with One Saturated Carbon Heteroatom Bond; Science of Synthesis; Georg Thieme Verlag: Stuttgart, Germany, 2015; Volume 39, ISBN 978-3-13-118921-9. [Google Scholar]
- Shcherbakova, I.; Pozharskii, A.F. Alkyl Chalcogenides: Sulfur-Based Functional Groups. In Comprehensive Organic Functional Group Transformations II; Elsevier: Amsterdam, The Netherlands, 2005; pp. 89–235. ISBN 978-0-08-044655-4. [Google Scholar]
- Ilchenko, N.O.; Sudarikov, D.V.; Slepukhin, P.A.; Rubtsova, S.A.; Kutchin, A.V. Synthesis of Chiral CF3-Contaning Pinane-Type Hydroxythiols. ChemistrySelect 2021, 6, 1710–1714. [Google Scholar] [CrossRef]
- Banina, O.A.; Sudarikov, D.V.; Krymskaya, Y.V.; Frolova, L.L.; Kuchin, A.V. Synthesis of Chiral Hydroxythiols Based on Oxygen-Containing α- and β-Pinene Derivatives. Chem. Nat. Compd. 2015, 51, 261–265. [Google Scholar] [CrossRef]
- Lezina, O.M.; Subbotina, S.N.; Frolova, L.L.; Rubtsova, S.A.; Sudarikov, D.V. Synthesis and Oxidative Transformations of New Chiral Pinane-Type γ-Ketothiols: Stereochemical Features of Reactions. Molecules 2021, 26, 5245. [Google Scholar] [CrossRef] [PubMed]
- Gianini, M.; Zelewsky, A. von Synthesis of Chiral Thienylpyridines from Naturally Occurring Monoterpenes: Useful Ligands for Cyclometallated Complexes. Synthesis 1996, 1996, 702–706. [Google Scholar] [CrossRef]
- Lu, C.-D.; Zakarian, A. Total Synthesis of (±)-Trichodermamide B and of a Putative Biosynthetic Precursor to Aspergillazine A Using an Oxaza-Cope Rearrangement. Angew. Chem. Int. Ed. 2008, 47, 6829–6831. [Google Scholar] [CrossRef] [PubMed]
- Solladié, G.; Lohse, O. New Reagent for the Optical Resolution of Ketones: (−) (1R, 2R, 5R)-5-Methyl-2-(1-Mercapto-1-Methylethy)-Cyclohexanol. Application to Trans Dimethyl Cyclopentanone-3,4-Dicarboxylate. Tetrahedron Asymmetry 1993, 4, 1547–1552. [Google Scholar] [CrossRef]
- Kawęcki, R. Facile Synthesis of Homochiral Derivatives of 10-Bornane Sulfinates, Sulfinamides and Sulfinimines. Tetrahedron Asymmetry 1999, 10, 4183–4190. [Google Scholar] [CrossRef]
- Lynch, J.E. (4a R)-(4aα,7α,8aβ)-Hexahydro-4,4,7-Trimethyl-4 H -1,3-Benzoxathiin. In Encyclopedia of Reagents for Organic Synthesis; John Wiley & Sons, Ltd.: Chichester, UK, 2001; p. rh014. ISBN 978-0-471-93623-7. [Google Scholar]
- Eliel, E.L.; Lynch, J.E.; Kume, F.; Frye, S.V. Chiral 1,3-Oxathiane from (+)-Pulegone: Hexahydro-4,4,7-Trimethyl-4h-1,3-Benzoxathiin. Org. Synth. 1987, 65, 215. [Google Scholar] [CrossRef]
- Banina, O.A.; Sudarikov, D.V.; Slepukhin, P.A.; Frolova, L.L.; Kuchin, A.V. Stereoselective Synthesis of Carane-Type Hydroxythiols and Disulfides Based on Them. Chem. Nat. Compd. 2016, 52, 240–247. [Google Scholar] [CrossRef]
- Paquette, L.A.; Ross, R.J.; Shi, Y.J. Regioselective Routes to Nucleophilic Optically Active 2- and 3-Carene Systems. J. Org. Chem. 1990, 55, 1589–1598. [Google Scholar] [CrossRef]
- Nakano, T.; Shikisai, Y.; Okamoto, Y. Helix-Sense-Selective Free Radical Polymerization of 1-Phenyldibenzosuberyl Methacrylate. Polym. J. 1996, 28, 51–60. [Google Scholar] [CrossRef]
- Taj, S.S.; Soman, R. Asymmetric Methylene Transfer Reactions I: Asymmetric Synthesis of Oxiranes from Carbonyl Compounds by Methylene Transfer Reaction Using Chiral S-Methyl-S-Neomenthyl-N-Tosyl Sulfoximines. Tetrahedron Asymmetry 1994, 5, 1513–1518. [Google Scholar] [CrossRef]
- Mikołajczyk, M.; Perlikowska, W.; Omelańczuk, J. Synthesis of (+)-Neomenthanethiol and Some of Its Derivatives. A New Example of Asymmetric Induction in the Sulfoxide Synthesis. Synthesis 1987, 1987, 1009–1012. [Google Scholar] [CrossRef]
- Banach, A.; Ścianowski, J.; Ozimek, P. The Use of Sulfides Derived from Carane, P-Menthane, Pinane, and Bornane in the Synthesis of Optically Active Epoxides. Phosphorus Sulfur Silicon Relat. Elem. 2014, 189, 274–284. [Google Scholar] [CrossRef]
- Izmest’ev, E.S.; Sudarikov, D.V.; Rubtsova, S.A.; Slepukhin, P.A.; Kuchin, A.V. Asymmetric Synthesis of New Optically Active Sulfinamides of Menthane Series and Their Derivatives. Russ. J. Org. Chem. 2012, 48, 184–192. [Google Scholar] [CrossRef]
- Blanco, J.M.; Caamaño, O.; Eirín, A.; Fernández, F.; Medina, L. Synthesis of Chiral Sulfinic Acids: Sodium(1 S-Exo )-2-Bornanesulfinate. Synthesis 1990, 1990, 584–586. [Google Scholar] [CrossRef]
- Li, J.; Ji, K.; Zheng, R.; Nelson, J.; Zhang, L. Expanding the Horizon of Intermolecular Trapping of in Situ Generated α-Oxo Gold Carbenes: Efficient Oxidative Union of Allylic Sulfides and Terminal Alkynes via C–C Bond Formation. Chem. Commun. 2014, 50, 4130–4133. [Google Scholar] [CrossRef] [PubMed]
- Izmest’ev, E.S.; Sudarikov, D.V.; Rubtsova, S.A.; Slepukhin, P.A.; Kuchin, A.V. Synthesis and Reduction of New Sulfinimines with Isobornane Structure. Russ. J. Org. Chem. 2012, 48, 1407–1418. [Google Scholar] [CrossRef]
- Aversa, M.C.; Barattucci, A.; Bonaccorsi, P.; Giannetto, P.; Nicolò, F. Structural Feature Relevance of the Chiral Alkyl Residue in the Addition Alkanesulfenic Acids/Enynes. Synthesis and Diels−Alder Reactivity of Enantiopure (E)-3-[(1S-Exo)-2-Bornylsulfinyl]-1- Methoxybuta-1,3-Dienes. J. Org. Chem. 1999, 64, 2114–2118. [Google Scholar] [CrossRef]
- Rollin, P. Nucleophilic Inversions of a Chiral Alcohol Mediated by Zinc Salts. Synth. Commun. 1986, 16, 611–616. [Google Scholar] [CrossRef]
- Uehara, K.; Tomooka, K. Planar Chiral Organosulfur Cycles. Chem. Lett. 2009, 38, 1028–1029. [Google Scholar] [CrossRef]
- Galaka, T.; Ferrer Casal, M.; Storey, M.; Li, C.; Chao, M.; Szajnman, S.; Docampo, R.; Moreno, S.; Rodriguez, J. Antiparasitic Activity of Sulfur- and Fluorine-Containing Bisphosphonates against Trypanosomatids and Apicomplexan Parasites. Molecules 2017, 22, 82. [Google Scholar] [CrossRef] [PubMed]
- Lee, S.M.; Cheng, Q.; Yu, X.; Liu, S.; Johnson, L.T.; Siegwart, D.J. A Systematic Study of Unsaturation in Lipid Nanoparticles Leads to Improved mRNA Transfection In Vivo. Angew. Chem. Int. Ed. 2021, 60, 5848–5853. [Google Scholar] [CrossRef] [PubMed]
- Lee, D.-S.; Hung, S.-M.; Lai, M.-C.; Chu, H.-Y.; Yang, T.-K. Preparation of Optically Active New Mercapto Chiral Auxiliaries Derived from Camphor. Org. Prep. Proced. Int. 1993, 25, 673–679. [Google Scholar] [CrossRef]
- Hung, S.-M.; Lee, D.-S.; Yang, T.-K. New Chiral Auxiliary: Optically Active Thiol Derived from Camphor. Tetrahedron Asymmetry 1990, 1, 873–876. [Google Scholar] [CrossRef]
- Cocker, W.; Grayson, D.H. A Convenient Preparation of (−)-β-3,4-Epoxycarane. Tetrahedron Lett. 1969, 10, 4451–4452. [Google Scholar] [CrossRef]
- Blanco, J.M.; Caamano, O.; Fernandez, F.; Nieto, I. Syntheses of Chiral Menthyl and Neomenthyl Sulfides, sulfoxides and sulfones. J. Prakt. ChemieChemiker-Ztg. 1995, 337, 538–541. [Google Scholar] [CrossRef]
- Izmest’ev, E.S.; Sudarikov, D.V.; Rubtsova, S.A.; Kuchin, A.V. Synthesis of Several Optically Active Menthane Disulfides and Thiosulfinates. Chem. Nat. Compd. 2011, 47, 46–50. [Google Scholar] [CrossRef]
- Wilson, S.R.; Caldera, P.; Jester, M.A. Synthesis of Sulfides and Mercaptans from Thioketals. J. Org. Chem. 1982, 47, 3319–3321. [Google Scholar] [CrossRef]
- Spallek, M.J.; Storch, G.; Trapp, O. Straightforward Synthesis of Poly(Dimethylsiloxane) Phases with Immobilized (1R)-3-(Perfluoroalkanoyl)Camphorate Metal Complexes and Their Application in Enantioselective Complexation Gas Chromatography. Eur. J. Org. Chem. 2012, 2012, 3929–3945. [Google Scholar] [CrossRef]
- Wu, H.-L.; Wu, P.-Y.; Cheng, Y.-N.; Uang, B.-J. Enantioselective Addition of Organozinc Reagents to Carbonyl Compounds Catalyzed by a Camphor Derived Chiral γ-Amino Thiol Ligand. Tetrahedron 2016, 72, 2656–2665. [Google Scholar] [CrossRef]
- Wolinsky, J.; Marhenke, R.; Eustace, E.J. Sulfonation of Terpene Derivatives. Aluminum Hydride Desulfurization of Sultones. J. Org. Chem. 1973, 38, 1428–1430. [Google Scholar] [CrossRef]
- Wolinsky, J.; Marhenke, R.L. Lithium Aluminum Hydride Reduction of Terpene Sultones. J. Org. Chem. 1975, 40, 1766–1770. [Google Scholar] [CrossRef]
- Mulani, M.S.; Kamble, E.E.; Kumkar, S.N.; Tawre, M.S.; Pardesi, K.R. Emerging Strategies to Combat ESKAPE Pathogens in the Era of Antimicrobial Resistance: A Review. Front. Microbiol. 2019, 10, 539. [Google Scholar] [CrossRef] [PubMed]
- Song, X.; Yue, Z.; Nie, L.; Zhao, P.; Zhu, K.; Wang, Q. Biological Functions of Diallyl Disulfide, a Garlic-Derived Natural Organic Sulfur Compound. Evid. Based Complement. Alternat. Med. 2021, 2021, 5103626. [Google Scholar] [CrossRef]
- Alam, M.; Zubair, S.; Farazuddin, M.; Ahmad, E.; Khan, A.; Zia, Q.; Malik, A.; Mohammad, O. Development, Characterization and Efficacy of Niosomal Diallyl Disulfide in Treatment of Disseminated Murine Candidiasis. Nanomed. Nanotechnol. Biol. Med. 2013, 9, 247–256. [Google Scholar] [CrossRef]
- Jing, Q.; Hu, X.; Ma, Y.; Mu, J.; Liu, W.; Xu, F.; Li, Z.; Bai, J.; Hua, H.; Li, D. Marine-Derived Natural Lead Compound Disulfide-Linked Dimer Psammaplin A: Biological Activity and Structural Modification. Mar. Drugs 2019, 17, 384. [Google Scholar] [CrossRef]
- Moriarty, R.M.; Roll, D.M.; Ku, Y.-Y.; Nelson, C.; Ireland, C.M. A Revised Structure for the Marine Bromoindole Derivative Citorellamine. Tetrahedron Lett. 1987, 28, 749–752. [Google Scholar] [CrossRef]
- Roll, D.M.; Ireland, C.M. Citorellamine, a New Bromoindole Derivative from Polycitorella-Mariae. Tetrahedron Lett. 1985, 26, 4303–4306. [Google Scholar] [CrossRef]
- Sheppard, J.G.; Frazier, K.R.; Saralkar, P.; Hossain, M.F.; Geldenhuys, W.J.; Long, T.E. Disulfiram-Based Disulfides as Narrow-Spectrum Antibacterial Agents. Bioorg. Med. Chem. Lett. 2018, 28, 1298–1302. [Google Scholar] [CrossRef]
- Turos, E.; Revell, K.D.; Ramaraju, P.; Gergeres, D.A.; Greenhalgh, K.; Young, A.; Sathyanarayan, N.; Dickey, S.; Lim, D.; Alhamadsheh, M.M. Unsymmetric Aryl–Alkyl Disulfide Growth Inhibitors of Methicillin-Resistant Staphylococcus Aureus and Bacillus Anthracis. Bioorg. Med. Chem. 2008, 16, 6501–6508. [Google Scholar] [CrossRef][Green Version]
- Branowska, D.; Ławecka, J.; Sobiczewski, M.; Karczmarzyk, Z.; Wysocki, W.; Wolińska, E.; Olender, E.; Mirosław, B.; Perzyna, A.; Bielawska, A.; et al. Synthesis of Unsymmetrical Disulfanes Bearing 1,2,4-Triazine Scaffold and Their in Vitro Screening towards Anti-Breast Cancer Activity. Monatshefte Für Chem.-Chem. Mon. 2018, 149, 1409–1420. [Google Scholar] [CrossRef] [PubMed]
- McCann, J.; Ames, B.N. A Simple Method for Detecting Environmental Carcinogens as Mutagens. Ann. N. Y. Acad. Sci. 1976, 271, 5–13. [Google Scholar] [CrossRef] [PubMed]
- Sudarikov, D.V.; Chashchina, E.V.; Kolesnikova, A.I.; Baidamshina, D.R.; Kayumov, A.R.; Rubtsova, S.A. Synthesis and Antimicrobial Activity of New Thiomonoterpene Carboxylic Acids. Russ. Chem. Bull. 2023, 72. in print. [Google Scholar]
- Vargas-Díaz, M.E.; Joseph-Nathan, P.; Tamariz, J.; Zepeda, L.G. Synthesis of a New (1 R )-(−)-Myrtenal-Derived Dioxadithiadodecacycle and Its Use as an Efficient Chiral Auxiliary. Org. Lett. 2007, 9, 13–16. [Google Scholar] [CrossRef] [PubMed]
- Vargas-Díaz, M.E.; Mendoza-Figueroa, H.L.; Fragoso-Vázquez, M.J.; Ayala-Mata, F.; Joseph-Nathan, P.; Zepeda, L.G. Synthesis of Acyldodecaheterocycles Derived from (1R)-(−)-Myrtenal and Evaluation as Chiral Auxiliaries. Tetrahedron Asymmetry 2012, 23, 1588–1595. [Google Scholar] [CrossRef]
- Pérez-Estrada, S.; Lagunas-Rivera, S.; Vargas-Díaz, M.E.; Velázquez-Ponce, P.; Joseph-Nathan, P.; Zepeda, L.G. Enantioselective Synthesis of Either Enantiomer of α-Alkyl-α-Hydroxy-α-Phenylacetic Acids Using Chiral Auxiliaries. Tetrahedron Asymmetry 2005, 16, 1837–1843. [Google Scholar] [CrossRef]
- Yang, T.-K.; Lee, D.-S. Application of MerCO as a Chiral Catalyst in Asymmetric Synthesis: Asymmetric Borane Reduction of Ketones. Tetrahedron Asymmetry 1999, 10, 405–409. [Google Scholar] [CrossRef]
Disclaimer/Publisher’s Note: The statements, opinions and data contained in all publications are solely those of the individual author(s) and contributor(s) and not of MDPI and/or the editor(s). MDPI and/or the editor(s) disclaim responsibility for any injury to people or property resulting from any ideas, methods, instructions or products referred to in the content. |
© 2023 by the authors. Licensee MDPI, Basel, Switzerland. This article is an open access article distributed under the terms and conditions of the Creative Commons Attribution (CC BY) license (https://creativecommons.org/licenses/by/4.0/).

































