From Design to Study of Liposome-Driven Drug Release Part 1: Impact of Temperature and pH on Environment
Abstract
1. Introduction
2. Results and Discussion
2.1. Encapsulation Degree Analysis
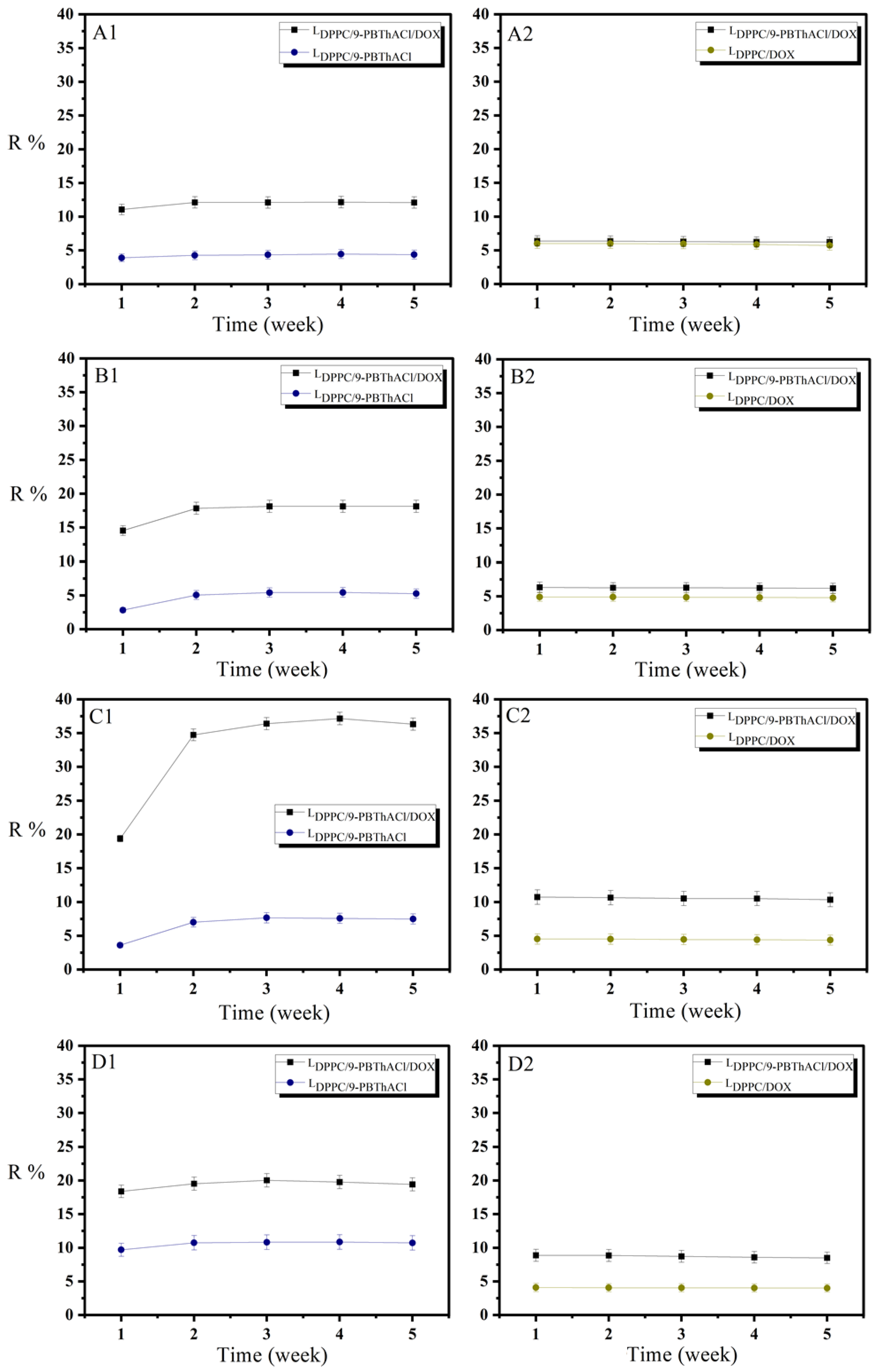
2.2. Stability of Liposomal Preparations
2.3. Influence of Surrounding pH on Drug Release–Spectrophotometric Analysis
- (a)
- A = 0, if subtracting the LDPPC/9-PBThACl/DOX spectrum from the LDPPC/9-PBThACl or subtracting the LDPPC/9-PBThACl/DOX spectrum from the LDPPC/DOX yields zero absorbance, that means there are no interactions between the analyzed compounds;
- (b)
- ∆A ≠ 0, if subtracting the LDPPC/9-PBThACl/DOX spectrum from LDPPC/9-PBThACl or subtracting the LDPPC/9-PBThACl/DOX spectrum from LDPPC/DOX produces non-zero absorbance that suggests interactions within the investigated complex;
- (c)
- ∆A > 0 and ∆A < 0 are particularly relevant because:
- ∆A > 0, when the absorbance of molecule X in tandem is higher than the absorbance of X alone, is regarded as a reference value. Then, the growth of absorbance is the result of the increased release degree of molecule X influenced by the presence of compound Y in the binary system;
- ∆A < 0, when the absorbance of molecule X in the binary complex is lower compared to the corresponding A value observed for the singular complex treated as a reference. In this case, the absorbance decrease results from the reduced release degree of X affected by the appearance of molecule Y in tandem.
2.4. In Vitro Drug Release Examination
3. Materials and Methods
3.1. Materials
3.2. The Synthesis of 9-PBThACl
3.3. Liposome Preparation
3.4. Solutions and Sample Preparation
3.5. The Liposome Size Measurement
3.6. Stability Study
3.7. UV/Vis Measurements
3.8. Encapsulation Efficiency and Drug Loading
- Ctotal—total concentration of the drug;
- Cfree—concentration of free drug in the supernatant;
- Ctotal lipid—total concentration of lipid.
3.9. Drug Release and Mathematical Modeling Study
3.10. Statistical Analysis
3.11. Weibull Probability Distribution
4. Conclusions
- Ability to estimate the concentration changes of the released drug molecules as a function of time;
- Opportunity to track drug transportation;
- Determination of factors limiting the rate of drug release;
- Indication of postulated changes in order to optimize the liposomal drug release profile.
Author Contributions
Funding
Institutional Review Board Statement
Informed Consent Statement
Data Availability Statement
Conflicts of Interest
References
- Allen, T.M.; Cullis, P.R. Liposomal drug delivery systems: From concept to clinical applications. Adv. Drug Deliv. Rev. 2013, 65, 36–48. [Google Scholar] [CrossRef] [PubMed]
- Pentak, D.; Sułkowski, W.W.; Sułkowska, A. Influence of some physical properties of 5-fluorouracil on encapsulation efficiency in liposomes. J. Therm. Anal. Calorim. 2012, 108, 67–71. [Google Scholar] [CrossRef]
- Langer, R. Drug delivery and targeting. Nature 1998, 392, 5–10. [Google Scholar]
- Pentak, D. Evaluation of the physicochemical properties of liposomes as potential carriers of anticancer drugs: Spectroscopic study. J. Nanopart. Res. 2016, 18, 126. [Google Scholar] [CrossRef]
- Pentak, D.; Ploch-Jankowska, A.; Zięba, A.; Kozik, V. The advances and challenges of liposome-assisted drug release in the presence of serum albumin molecules: The influence of surrounding pH. Materials 2022, 15, 1586. [Google Scholar] [CrossRef] [PubMed]
- Chaurasiya, A.; Gorajiya, A.; Panchal, K.; Katke, S.; Singh, A.K. A review on multivesicular liposomes for pharmaceutical applications: Preparation, characterization, and translational challenges. Drug Deliv. Transl. Res. 2022, 12, 1569–1587. [Google Scholar] [CrossRef] [PubMed]
- Li, S.-D.; Huang, L. Pharmacokinetics and biodistribution of nanoparticles. Mol. Pharm. 2008, 5, 496–504. [Google Scholar] [CrossRef]
- des Rieux, A.; Fievez, V.; Garinot, M.; Schneider, Y.-J.; Préat, V. Nanoparticles as potential oral delivery systems of proteins and vaccines: A mechanistic approach. J. Control Release 2006, 116, 1–27. [Google Scholar] [CrossRef]
- Veiseh, O.; Tang, B.C.; Whitehead, K.A.; Anderson, D.G.; Langer, R. Managing diabetes with nanomedicine: Challenges and opportunities. Nat. Rev. Drug Discov. 2015, 14, 45–57. [Google Scholar] [CrossRef]
- Peer, D.; Karp, J.M.; Hong, S.; Farokhzad, O.C.; Margalit, R.; Langer, R. Nanocarriers as an emerging platform for cancer therapy. Nat. Nanotechnol. 2007, 2, 751–760. [Google Scholar] [CrossRef]
- Surendiran, A.; Sandhiya, S.; Pradhan, S.C.; Adithan, C. Novel applications of nanotechnology in medicine. Indian J. Med. Res. 2009, 130, 689–701. [Google Scholar]
- Bunggulawa, E.J.; Wang, W.; Yin, T.; Wang, N.; Durkan, C.; Wang, Y.; Wang, G. Recent advancements in the use of exosomes as drug delivery systems. J. Nanobiotechnol. 2018, 16, 81. [Google Scholar] [CrossRef] [PubMed]
- García-Manrique, P.; Machado, N.D.; Fernández, M.A.; Blanco-López, M.C.; Matos, M.; Gutiérrez, G. Effect of drug molecular weight on niosomes size and encapsulation efficiency. Colloids Surf. B Biointerfaces 2019, 186, 110711. [Google Scholar] [CrossRef] [PubMed]
- Kozik, V.; Bąk, A.; Pentak, D.; Hachula, B.; Pytlakowska, K.; Rojkiewicz, M.; Jampilek, J.; Sieron, K.; Jazowiecka-Rakus, J.; Sochanik, A. Derivatives of graphene oxide as potential drug carriers. J. Nanosci. Nanotechnol. 2019, 19, 2489–2492. [Google Scholar] [CrossRef] [PubMed]
- Hosseini, S.M.; Mazinani, S.; Abdouss, M.; Kalhor, H.; Kalantari, K.; Amiri, I.S.; Ramezani, Z. Designing chitosan nanoparticles embedded into graphene oxide as a drug delivery system. Polym. Bull. 2022, 79, 541–554. [Google Scholar] [CrossRef]
- Zięba, A.; Latocha, M.; Sochanik, A.; Nycz, A.; Kuśmierz, D. Synthesis and in vitro antiproliferative activity of novel phenyl ring-substituted 5-alkyl-12(H)-quino[3,4-b][1,4]benzothiazine derivatives. Molecules 2016, 21, 1455. [Google Scholar] [CrossRef]
- Rupert, D.L.M.; Claudio, V.; Lässer, C.; Bally, M. Methods for the physical characterization and quantification of extracellular vesicles in biological samples. Biochim. Biophys. Acta Gen. Subi. 2017, 1861, 3164–3179. [Google Scholar] [CrossRef]
- Yahata, S.; Hirose, M.; Ueno, T.; Nagumo, H.; Sakai-Kato, K. Effect of sample concentration on nanoparticle tracking analysis of small extracellular vesicles and liposomes mimicking the physicochemical properties of exosomes. Chem. Pharm. Bull. 2021, 69, 1045–1053. [Google Scholar] [CrossRef]
- Filipe, V.; Hawe, A.; Jiskoot, W. Critical evaluation of nanoparticle tracking analysis (NTA) by NanoSight for the measurement of nanoparticles and protein aggregates. Pharm. Res. 2010, 27, 796–810. [Google Scholar] [CrossRef]
- Yetisgin, A.A.; Cetinel, S.; Zuvin, M.; Kosar, A.; Kutlu, O. Therapeutic nanoparticles and their targeted delivery applications. Molecules 2020, 25, 2193. [Google Scholar] [CrossRef]
- Samad, A.; Sultana, Y.; Aqil, M. Liposomal drug delivery systems: An update review. Curr. Drug Deliv. 2007, 4, 297–305. [Google Scholar] [CrossRef] [PubMed]
- Lipowsky, R. The conformation of membranes. Nature 1991, 349, 475–481. [Google Scholar] [CrossRef] [PubMed]
- Los, D.A.; Murata, N. Membrane fluidity and its roles in the perception of environmental signals. Biochim. Biophys. Acta 2004, 1666, 142–157. [Google Scholar] [CrossRef]
- de Lange, N.; Kleijn, J.M.; Leermakers, F.A.M. Structural and mechanical parameters of lipid bilayer membranes using a lattice refined self-consistent field theory. Phys. Chem. Chem. Phys. 2021, 23, 5152–5175. [Google Scholar] [CrossRef] [PubMed]
- Lis, L.J.; McAlister, M.; Fuller, N.; Rand, R.P.; Parsegian, V.A. Interactions between neutral phospholipid bilayer membranes. Biophys. J. 1982, 37, 657–665. [Google Scholar] [CrossRef] [PubMed]
- Goldstein, D.B. The effects of drugs on membrane fluidity. Annu. Rev. Pharmacol. Toxicol. 1984, 24, 43–64. [Google Scholar] [CrossRef]
- Sułkowski, W.W.; Pentak, D.; Nowak, K.; Sułkowska, A. The influence of temperature, cholesterol content and pH on liposome stability. J. Mol. Struct. 2005, 744–747, 737–747. [Google Scholar] [CrossRef]
- Sułkowski, W.W.; Pentak, D.; Korus, W.; Sułkowska, A. Effect of temperature on liposome structures studied using EPR spectroscopy. Spectrosc. 2005, 19, 37–42. [Google Scholar] [CrossRef]
- Adepu, S.; Ramakrishna, S. Controlled drug delivery systems: Current status and future directions. Molecules 2021, 26, 5905. [Google Scholar] [CrossRef]
- U.S. Department of Health and Human Services. Food and Drug Administration, Center for Evaluation and Research, Guidance for Industry: Dissolution Testing of Immediate Release Solid Oral Dosage Forms (Issued 8/1997, Posed 8/25/1997); Food and Drug Administration: Rockville, MD, USA, 1997.
- Costa, P.; Lobo, J.M.S. Modeling and comparison of dissolution profiles. Eur. J. Pharm. Sci. 2001, 13, 123–133. [Google Scholar] [CrossRef]
- Dash, S.; Murthy, P.N.; Nath, L.; Chowdhury, P. Kinetic modeling on drug release from controlled drug delivery systems. Acta Pol. Pharm. 2010, 67, 217–223. [Google Scholar] [PubMed]
- Siepmann, J.; Siepmann, F. Mathematical modeling of drug delivery. Int. J. Pharm. 2008, 364, 328–343. [Google Scholar] [CrossRef] [PubMed]
- Siepmann, J.; Faisant, N.; Benoit, J.-P. A new mathematical model quantifying drug release from bioerodible microparticles using Monte Carlo simulations. Pharm. Res. 2002, 19, 1885–1893. [Google Scholar] [CrossRef] [PubMed]
- Yuksel, N.; Kanık, A.E.; Baykara, T. Comparison of in vitro dissolution profiles by ANOVA-based, model-dependent and -independent methods. Int. J. Pharm. 2000, 209, 57–67. [Google Scholar] [CrossRef] [PubMed]
- Paarakh, M.P.; Jose, P.A.; Setty, C.M.; Christoper, G.P. Release kinetics-concepts and applications. IJPRT 2018, 8, 12–20. [Google Scholar]
- Brunner, A.; Mäder, K.; Göpferich, A. pH and osmotic pressure inside biodegradable microspheres during erosion. Pharm. Res. 1999, 16, 847–853. [Google Scholar] [CrossRef]
- Peppas, N.A. Historical perspective on advanced drug delivery: How engineering design and mathematical modeling helped the field mature. Adv. Drug Deliv. Rev. 2013, 65, 5–9. [Google Scholar] [CrossRef]
- Huang, C.; Li, S. Calorimetric and molecular mechanics studies of the thermotropic phase behavior of membrane phospholipids. Biochim. Biophys. Acta 1999, 1422, 273–307. [Google Scholar] [CrossRef]
- Taylor, K.; Morris, R.M. Thermal analysis of phase transition behaviour in liposomes. Thermochim. Acta 1995, 248, 289–3012. [Google Scholar] [CrossRef]
- Szoka, F., Jr.; Papahadjopoulos, D. Comparative properties and methods of preparation of lipid vesicles (liposomes). Annu. Rev. Biophys. Bioeng. 1980, 9, 467–508. [Google Scholar] [CrossRef]
- Niu, G.; Cogburn, B.; Hughes, J. Preparation and characterization of doxorubicin liposomes. Methods Mol. Biol. 2010, 624, 211–219. [Google Scholar] [PubMed]
- Nii, T.; Ishii, F. Encapsulation efficiency of water-soluble and insoluble drugs in liposomes prepared by the microencapsulation vesicle method. Int. J. Pharm. 2005, 298, 198–205. [Google Scholar] [CrossRef] [PubMed]
- Gubernator, J. Active methods of drug loading into liposomes: Recent strategies for stable drug entrapment and increased in vivo activity. Expert Opin. Drug Deliv. 2011, 8, 565–580. [Google Scholar] [CrossRef] [PubMed]
- Xu, H.; Zhang, L.; Li, L.; Liu, Y.; Chao, Y.; Liu, X.; Jin, Z.; Chen, Y.; Tang, X.; He, H.; et al. Membrane-loaded doxorubicin liposomes based on ion-pairing technology with high drug loading and pH-responsive property. AAPS PharmSciTech 2017, 18, 2120–2130. [Google Scholar] [CrossRef]
- Jin, Y.; Li, M.; Hou, X. Pyrocatechol violet as a marker to characterize liposomal membrane permeability using the chelation and the first-order derivative spectrophotometry. J. Pharm. Biomed. Anal. 2005, 37, 379–382. [Google Scholar] [CrossRef]
- Pentak, D.; Maciążek-Jurczyk, M.; Zawada, Z.H. The role of nanoparticles in the albumin-cytarabine and albumin-methotrexate interactions. Mater. Sci. Eng. C Mater. Biol. Appl. 2017, 73, 388–397. [Google Scholar] [CrossRef]
- Siepmann, J.; Siepmann, F. Modeling of diffusion controlled drug delivery. J. Control. Release 2012, 161, 351–362. [Google Scholar] [CrossRef]
- Pentak, D.; Maciążek-Jurczyk, M. Self-assembled nanostructures formed by phospholipids and anticancer drugs. Serum albumin-nanoparticle interactions. J. Mol. Liq. 2016, 224, 1–8. [Google Scholar] [CrossRef]
- Ritger, P.L.; Peppas, N.A. A simple equation for description of solute release I. Fickian and non-fickian release from non-swellable devices in the form of slabs, spheres, cylinders or discs. J. Control. Release 1987, 5, 23–36. [Google Scholar] [CrossRef]
- Jacobson, K.; Papahadjopoulos, D. Phase Transitions and phase separations in phospholipid membranes induced by changes in temperature, pH, and concentration of bivalent cations. Biochemistry 1975, 14, 152–161. [Google Scholar] [CrossRef]












| pH | Encapsulation Efficiency (±std) a [%] | |
|---|---|---|
| 9-PBThACl in LDPPC/9-PBThACl | DOX in LDPPC/DOX | |
| 5.50 | 100.00 ± 0.00 | 76.06 ± 1.92 |
| 6.00 | 81.28 ± 2.43 | 92.74 ± 2.20 |
| 6.50 | 74.69 ± 1.96 | 95.50 ± 2.35 |
| 7.40 | 91.96 ± 2.15 | 100.00 ± 0.00 |
| pH | Encapsulation Efficiency (±std) a [%] | |
|---|---|---|
| 9-PBThACl in LDPPC/9-PBThACl/DOX | DOX in LDPPC/9-PBThACl/DOX | |
| 5.50 | 75.96 ± 3.11 | 69.55 ± 3.40 |
| 6.00 | 53.00 ± 2.80 | 77.37 ± 3.79 |
| 6.50 | 22.16 ±1.17 | 40.37 ± 1.97 |
| 7.40 | 44.88 ± 2.37 | 52.48 ± 2.57 |
| pH | Drug Loading (±std) a [%] | |
|---|---|---|
| 9-PBThACl in LDPPC/9-PBThACl | DOX in LDPPC/DOX | |
| 5.50 | 6.53 ± 0.35 | 6.56 ± 0.39 |
| 6.00 | 6.50 ± 0.33 | 6.58 ± 0.34 |
| 6.50 | 6.49 ± 0.33 | 6.59 ± 0.32 |
| 7.40 | 6.51 ± 0.28 | 6.60 ± 0.44 |
| pH | Drug Loading (±std) a [%] | |
|---|---|---|
| 9-PBThACl in LDPPC/9-PBThACl/DOX | DOX in LDPPC/9-PBThACl/DOX | |
| 5.50 | 6.58 ± 0.36 | 6.57 ± 0.39 |
| 6.00 | 6.55 ± 0.38 | 6.59 ± 0.46 |
| 6.50 | 6.49 ± 0.31 | 6.52 ± 0.32 |
| 7.40 | 6.53 ± 0.37 | 6.54 ± 0.39 |
| Liposome/pH/Temperature | Parameter | Mathematical Model | |||||
|---|---|---|---|---|---|---|---|
| First-Order | Bhaskas | Higuchi | Ritger–Peppas | Korsmeyer–Peppas | An Extension of Classical Freundlich | ||
| LDPPC/9-PBThACl/DOX/pH = 5.50/37 °C | SUM | 0.09768 | 0.01645 | 0.7792 | 0.22736 | 0.1598 | 0.02245 |
| α | −14.30834 | −2.28817 × 10−21 | −54.74838 | −3.03185 × 10−58 | - | −46.93909 | |
| k | 0.01437 | 0.02123 | 0.05671 | 0.16944 | 0.21694 | 46.80077 | |
| n | - | - | - | 0.31929 | 0.27201 | 0.00423 | |
| R2adj | 0.9761 | 0.99598 | 0.80932 | 0.94379 | 0.95318 | 0.99335 | |
| LDPPC/9-PBThACl/DOX/pH = 5.50/37 °C | SUM | 0.10566 | 0.01004 | 1.00753 | 0.31503 | 0.23156 | 0.06046 |
| α | −11.05408 | −1.04804 × 10−25 | −76.85931 | −1.46195 × 10−63 | - | −86.40557 | |
| k | 0.01762 | 0.0256 | 0.05546 | 0.2016 | 0.26034 | 86.34303 | |
| n | - | - | - | 0.2908 | 0.24169 | 0.00219 | |
| R2adj | 0.97222 | 0.99736 | 0.73512 | 0.91632 | 0.92501 | 0.98022 | |
| LDPPC/9-PBThACl/DOX/pH = 5.50/41 °C | SUM | 0.10557 | 1.04336 × 10−5 | 0.28586 | 0.00804 | 0.0046 | 3.32134 × 10−4 |
| α | −30.26692 | −2.76888 × 10−45 | −39.67538 | 0 | - | −0.17533 | |
| k | 0.00943 | 0.00113 | 0.0553 | 0.15838 | 0.16794 | 0.2838 | |
| n | - | - | - | 0.32099 | 0.30935 | 0.24546 | |
| R2adj | 0.97304 | 1 | 0.92699 | 0.99793 | 0.99862 | 0.9999 | |
| LDPPC/9-PBThACl/DOX/pH = 5.50/41 °C | SUM | 0.09994 | 12.63109 | 0.24028 | 0.06956 | 0.05424 | 0.01785 |
| α | 6.45432 | 99.70089 | −2.72015 × 10−30 | −4.30809 × 10−20 | - | −0.16234 | |
| k | 0.00787 | 0.00303 | 0.05381 | 0.02193 | 0.02717 | 0.07086 | |
| n | - | - | - | 0.66833 | 0.62859 | 0.48583 | |
| R2adj | 0.98759 | −1.01957 | 0.96875 | 0.99086 | 0.99255 | 0.99752 | |
| LDPPC/9-PBThACl/DOX/pH = 6.00/37 °C | SUM | 0.07351 | 0.04538 | 0.50871 | 0.13905 | 0.09315 | 0.01249 |
| α | −14.76861 | −9.77786 × 10−23 | −29.382 | −1.5672 × 10−51 | - | −2.03081 | |
| k | 0.01295 | 0.01863 | 0.06062 | 0.13742 | 0.17135 | 1.92341 | |
| n | - | - | - | 0.35925 | 0.31646 | 0.08062 | |
| R2adj | 0.9837 | 0.98994 | 0.88722 | 0.96885 | 0.97606 | 0.99676 | |
| LDPPC/9-PBThACl/DOX/pH = 6.00/37 °C | SUM | 0.02046 | 15.00534 | 0.19185 | 0.25043 | 0.19051 | 0.06212 |
| α | 2.65348 | 66.33091 | −1.9847 × 10−74 | −9.43837 × 10−47 | - | −0.55753 | |
| k | 0.01098 | 0.00333 | 0.06135 | 0.04166 | 0.05845 | 0.34815 | |
| n | - | - | - | 0.57367 | 0.50928 | 0.26691 | |
| R2adj | 0.99734 | −1.31761 | 0.97394 | 0.96563 | 0.97226 | 0.99086 | |
| LDPPC/9-PBThACl/DOX/pH = 6.00/41 °C | SUM | 0.10728 | 0.24733 | 2.08466 | 1.08316 | 0.90119 | 0.80717 |
| α | 1.90302 | −3.24117 × 10−25 | −355.64372 | −4.64015 × 10−143 | - | −319.12996 | |
| k | 0.13825 | 0.1281 | 0.0441 | 0.488 | 0.628 | 319.65566 | |
| n | - | - | - | 0.14817 | 0.09537 | 3.0701 × 10−4 | |
| R2adj | 0.99338 | 0.90206 | 0.17448 | 0.56665 | 0.43852 | 0.49186 | |
| LDPPC/9-PBThACl/DOX/pH = 6.00/41 °C | SUM | 5.07434 | 5.07439 | nd | 5.07434 | 1.19337 | 1.27488 × 10−4 |
| α | −4.86652 × 108 | −1.0214 × 107 | nd | 240 | - | 1.04237 | |
| k | 7.10265 × 10−10 | 1.90998 × 10−8 | nd | 0.29225 | 1.80173 | −0.12465 | |
| n | - | - | nd | 0 | −0.41917 | 0.38784 | |
| R2adj | −0.0102 | −0.01021 | nd | −0.02062 | 0.73608 | 0.99997 | |
| LDPPC/9-PBThACl/DOX/pH = 6.50/37 °C | SUM | 0.1921 | 10.75796 | 0.312 | 2.37342 × 10−5 | 1.82411 × 10−5 | 4.86778 × 10−6 |
| α | 4.41383 | 133.02569 | −4.8194 × 10−31 | −1.0694 × 10−21 | - | −0.00239 | |
| k | 0.00604 | 0.00274 | 0.0479 | 0.01719 | 0.01727 | 0.01764 | |
| n | - | - | - | 0.68889 | 0.68804 | 0.68482 | |
| R2adj | 0.97323 | −1.06641 | 0.95627 | 1 | 1 | 1 | |
| LDPPC/9-PBThACl/DOX/pH = 6.50/37 °C | SUM | 0.14777 | 11.1602 | 0.15261 | 2.81027 × 10−5 | 2.09504 × 10−5 | 4.88823 × 10−6 |
| α | −2.19742 | 119.99359 | −4.16627 × 10−33 | −5.2606 × 10−34 | - | −0.00298 | |
| k | 0.00622 | 0.00274 | 0.04934 | 0.02504 | 0.02517 | 0.02576 | |
| n | - | - | - | 0.62515 | 0.62425 | 0.62073 | |
| R2adj | 0.97804 | −1.20486 | 0.97732 | 1 | 1 | 1 | |
| LDPPC/9-PBThACl/DOX/pH = 6.50/41 °C | SUM | 88.89513 | 2.78547 | nd a | 9.81841 | 3.59485 | 0.01069 |
| α | 215.14679 | 215.14679 | nd a | 360 | - | 1.03922 | |
| k | 0.0029 | 0.0029 | nd a | 0.56596 | 4.64382 | −3.82332 × 10−4 | |
| n | - | - | nd a | 0 | −0.42724 | 1.34741 | |
| R2adj | −3.23449 | −3.3079 | nd a | −0.02062 | 0.63013 | 0.99889 | |
| LDPPC/9-PBThACl/DOX/pH = 6.50/41 °C | SUM | 73.9963 | 3.1289 | nd a | 8.85841 | 3.63358 | 7.95487 × 10−5 |
| α | 192.9854 | 192.9854 | nd a | 360 | - | 1.00365 | |
| k | 0.00278 | 0.00278 | nd a | 0.52694 | 2.34809 | −0.00145 | |
| n | - | - | nd a | 0 | −0.31106 | 1.11092 | |
| R2adj | −3.08807 | −3.15495 | nd a | −0.02062 | 0.57474 | 0.99999 | |
| LDPPC/9-PBThACl/DOX/pH = 7.40/37 °C | SUM | 0.0804 | 0.03148 | 0.8249 | 0.30075 | 0.20141 | 0.03443 |
| α | −12.44505 | −1.50318 × 10−24 | −51.82758 | −7.55056 × 10−55 | - | −52.33001 | |
| k | 0.01354 | 0.01893 | 0.05517 | 0.14695 | 0.20033 | 52.13487 | |
| n | - | - | - | 0.34074 | 0.28255 | 0.00395 | |
| R2adj | 0.98154 | 0.99277 | 0.81061 | 0.93024 | 0.94535 | 0.99056 | |
| LDPPC/9-PBThACl/DOX/pH = 7.40/37 °C | SUM | 0.06641 | 0.07169 | 1.05337 | 0.41812 | 0.32759 | 0.08237 |
| α | −7.00963 | −1.23382 × 10−22 | −51.66095 | −1.25531 × 10−54 | - | −87.36594 | |
| k | 0.01557 | 0.01986 | 0.05589 | 0.15435 | 0.20567 | 87.15269 | |
| n | - | - | - | 0.33397 | 0.28004 | 0.00244 | |
| R2adj | 0.9856 | 0.98445 | 0.77157 | 0.9084 | 0.91651 | 0.97879 | |
| LDPPC/9-PBThACl/DOX/pH = 7.40/41 °C | SUM | 7.99984 | 7.99987 | nd a | 7.99983 | 14.61952 | 0.152 |
| α | −2.11684 × 108 | −1.89848 × 107 | nd a | 352.61138 | - | 2.03435 | |
| k | 1.52592 × 10−9 | 9.25849 × 10−9 | nd a | 0.27604 | −46673.80267 | −0.69103 | |
| n | - | - | nd a | 0 | −2095.26681 | 0.18869 | |
| R2adj | −0.0102 | −0.01021 | nd a | −0.02062 | −0.97716 | 0.97923 | |
| LDPPC/9-PBThACl/DOX/pH = 7.40/41 °C | SUM | 7.38557 | 7.38562 | nd a | 7.38557 | 14.93784 | 0.06705 |
| α | −7.15868 × 108 | −1.80919 × 107 | nd a | 360 | - | 1.62692 | |
| k | 4.83212 × 10−10 | 1.07961 × 10−8 | nd a | 0.29244 | −9.27636 × 106 | −0.38692 | |
| n | - | - | nd a | 0 | −343663.40104 | 0.24804 | |
| R2adj | −0.0102 | −0.01021 | nd a | −0.02062 | −1.19362 | 0.99005 | |
Disclaimer/Publisher’s Note: The statements, opinions and data contained in all publications are solely those of the individual author(s) and contributor(s) and not of MDPI and/or the editor(s). MDPI and/or the editor(s) disclaim responsibility for any injury to people or property resulting from any ideas, methods, instructions or products referred to in the content. |
© 2023 by the authors. Licensee MDPI, Basel, Switzerland. This article is an open access article distributed under the terms and conditions of the Creative Commons Attribution (CC BY) license (https://creativecommons.org/licenses/by/4.0/).
Share and Cite
Kozik, V.; Pentak, D.; Paździor, M.; Zięba, A.; Bąk, A. From Design to Study of Liposome-Driven Drug Release Part 1: Impact of Temperature and pH on Environment. Int. J. Mol. Sci. 2023, 24, 11686. https://doi.org/10.3390/ijms241411686
Kozik V, Pentak D, Paździor M, Zięba A, Bąk A. From Design to Study of Liposome-Driven Drug Release Part 1: Impact of Temperature and pH on Environment. International Journal of Molecular Sciences. 2023; 24(14):11686. https://doi.org/10.3390/ijms241411686
Chicago/Turabian StyleKozik, Violetta, Danuta Pentak, Marlena Paździor, Andrzej Zięba, and Andrzej Bąk. 2023. "From Design to Study of Liposome-Driven Drug Release Part 1: Impact of Temperature and pH on Environment" International Journal of Molecular Sciences 24, no. 14: 11686. https://doi.org/10.3390/ijms241411686
APA StyleKozik, V., Pentak, D., Paździor, M., Zięba, A., & Bąk, A. (2023). From Design to Study of Liposome-Driven Drug Release Part 1: Impact of Temperature and pH on Environment. International Journal of Molecular Sciences, 24(14), 11686. https://doi.org/10.3390/ijms241411686

