Effects of High Temperature Stress on the Physiological and Biochemical Characteristics of Paeonia ostii
Abstract
1. Introduction
2. Results
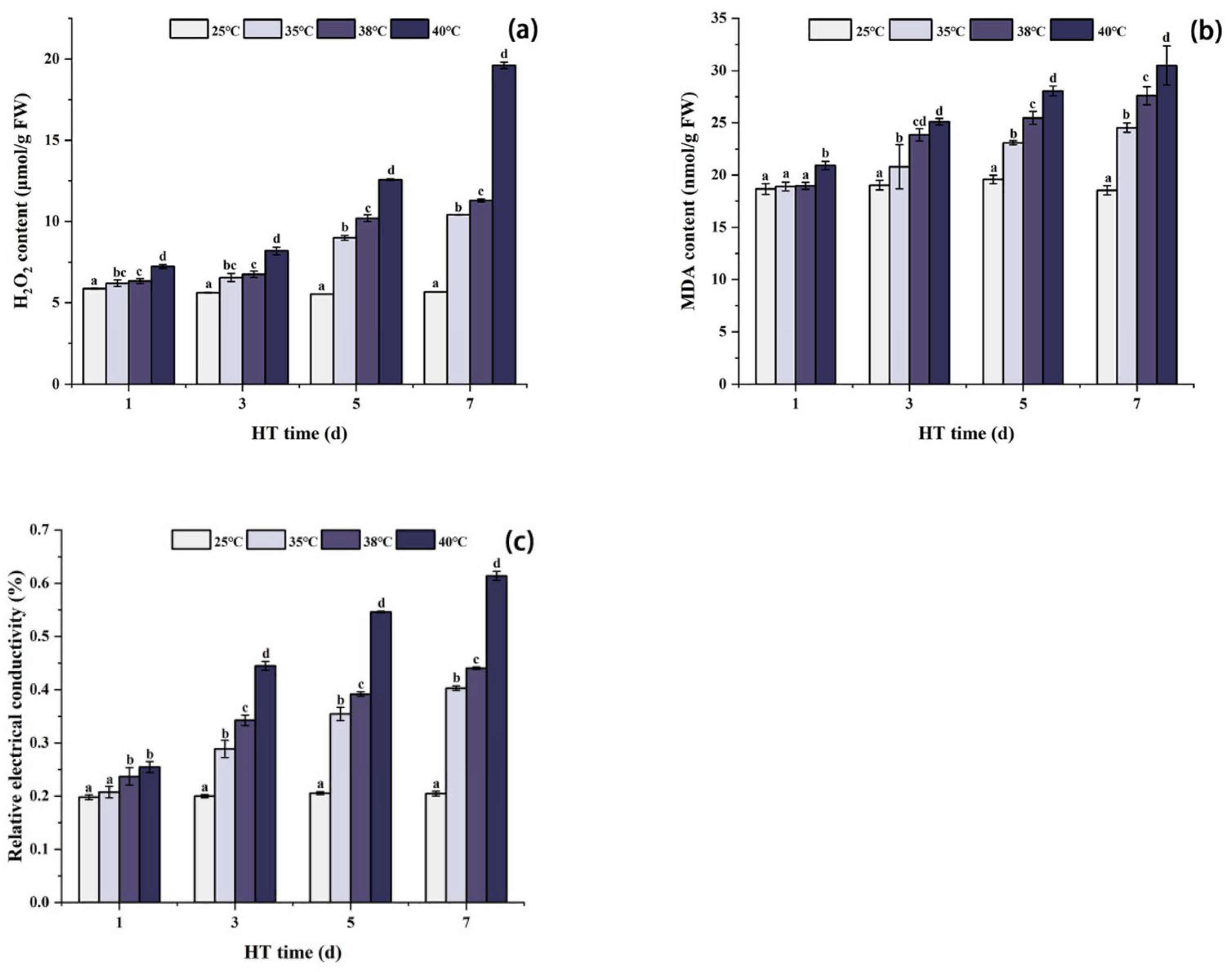
2.1. Effects of High Temperature Stress on ROS Accumulation and Lipid Peroxidation in Peony Leaves
2.2. Effects of High Temperature Stress on the Activities of Antioxidant Enzymes in Peony Leaves
2.3. Effects of High Temperature Stress on the Photosynthetic Pigment Content of Peony Leaves
2.4. Effects of High Temperature Stress on the Photosynthetic Characteristics of Peony Leaves
2.5. Effects of High Temperature Stress on Changes in Osmotic Regulators in Peony Leaves
2.6. Correlation Analysis of Factors under Different Stress Temperatures
2.7. PLS-DA Analysis of Different Days of High Temperature Stress at 40 °C
2.8. Leaf Anatomy during Different Days of High Temperature Stress at 40 °C
3. Discussion
3.1. Changes in ROS Accumulation and Lipid Peroxidation in Peony Leaves under High Temperature
3.2. Changes in Antioxidant Enzyme Activities in Peony Leaves under High Temperature
3.3. Changes in the Photosynthetic Capacity of Peony Leaves under High Temperature
3.4. Changes in Osmotic Regulatory Substances in Peony Leaves under High Temperature
4. Materials and Methods
4.1. Materials and Treatment
4.2. Determination of H2O2 Content, MDA Content, and REC Value
4.3. Determination of Antioxidant Enzyme Activity
4.4. Determination of Photosynthetic Pigment Content
4.5. Measurement of Photosynthetic Parameters
4.6. Determination of Osmotic Regulator Content
4.7. Data Analysis
Author Contributions
Funding
Institutional Review Board Statement
Informed Consent Statement
Data Availability Statement
Conflicts of Interest
References
- Zhang, S.R.; Zhao, H.S.; Dong, M.R.; Xiong, W.J.; Wang, X.; Wu, M.Y.; Zhai, H.Y.; Wu, D.L.; Zhang, C. Chemical constituents, pharmacological effects of Moutan Cortex and predictive analysis on its quality marker (Q-Marker). Chin. Tradit. Herb. Drugs 2020, 53, 5215–5224. [Google Scholar]
- Wang, J.; Hu, Y.H.; Zhang, Q.X. Studies on Cuitivar Resources of Tree Peony from South Yangtse River of China. North. Hortic. 2007, 4, 160–162. [Google Scholar]
- Zhao, B.; Huang, Q. Research Progress on Peony under High Temperature Stress Caused by Climate Warming. E3S Web Conf. 2021, 252, 03056. [Google Scholar] [CrossRef]
- Xalxo, R.; Yadu, B.; Chandra, J.; Chandrakar, V.; Keshavkant, S. Alteration in Carbohydrate Metabolism Modulates Thermotolerance of Plant under Heat Stress. In Heat Stress Tolerance in Plants; Wani, S.H., Kumar, V., Eds.; John Wiley & Sons, Inc.: Hoboken, NJ, USA, 2020. [Google Scholar] [CrossRef]
- Goraya, G.K.; Kaur, B.; Asthir, B.; Bala, S.; Kaur, G.; Farooq, M. Rapid injuries of high temperature in plants. J. Plant Biol. 2017, 60, 298–305. [Google Scholar] [CrossRef]
- Sharma, S.; Manjeet, M. Heat stress effects in fruit crops. Agric. Rev. 2020, 41, 73–78. [Google Scholar] [CrossRef]
- Alonso-Forn, D.; Sancho-Knapik, D.; Ferrio, J.P.; Peguero-Pina, J.J.; Bueno, A.; Onoda, Y.; Cavender-Bares, J.; Niinemets, Ü.; Jansen, S.; Riederer, M.; et al. Revisiting the Functional Basis of Sclerophylly Within the Leaf Economics Spectrum of Oaks: Different Roads to Rome. Curr. For. Rep. 2020, 6, 260–281. [Google Scholar] [CrossRef]
- Sack, L.; Scoffoni, C. Leaf venation: Structure, function, development, evolution, ecology and applications in the past, present and future. New Phytol. 2013, 198, 983–1000. [Google Scholar] [CrossRef]
- Noctor, G.; Reichheld, J.-P.; Foyer, C.H. ROS-related redox regulation and signaling in plants. Semin. Cell Dev. Biol. 2018, 80, 3–12. [Google Scholar] [CrossRef]
- Almeselmani, M.; Deshmukh, P.S.; Sairam, R.K.; Kushwaha, S.R.; Singh, T.P. Protective role of antioxidant enzymes under high temperature stress. Plant Sci. 2006, 171, 382–388. [Google Scholar] [CrossRef]
- Wang, X.; Fang, Z.; Zhao, D.; Tao, J. Effects of High-Temperature Stress on Photosynthetic Characteristics and Antioxidant Enzyme System of Paeonia ostii. Phyton 2022, 91, 599–615. [Google Scholar] [CrossRef]
- Liu, C.Y.; Chen, D.Y.; Gai, S.P.; Zhan, Y.X.; Zheng, G.S. Effects of high-and low temperature stress on the leaf PS II functions and physiological characteristics of tree peony (Paeonia suffruticosa cV. ‘Roufurong’). Chin. J. Appl. Ecol. 2012, 23, 133–139. [Google Scholar]
- Liu, C.; Yuan, Y.; Gai, S.P.; Zhan, Y.X.; Liu, C.Y.; Zheng, G.S. Effects of Strong Light Coupled with High Temperature Treatment on Energy Transfer Between PS II and PS I in Tree Peony Leaves. Acta Hortic. Sin. 2014, 41, 311–318. [Google Scholar]
- Liu, J.J. Effects of High Temperature and Drought Stress on PS II Function and Light Distribution in Peony Leaves with Different Resistance. North. Hortic. 2019, 11, 72–79. [Google Scholar]
- Ji, W.; Luo, H.; Song, Y.; Hong, E.; Li, Z.; Lin, B.; Fan, C.; Wang, H.; Song, X.; Jin, S.; et al. Changes in Photosynthetic Characteristics of Paeonia suffruticosa under High Temperature Stress. Agronomy 2022, 12, 1203. [Google Scholar] [CrossRef]
- Li, Z.; Ji, W.; Hong, E.; Fan, Z.; Lin, B.; Xia, X.; Chen, X.; Zhu, X. Study on Heat Resistance of Peony Using Photosynthetic Indexes and Rapid Fluorescence Kinetics. Horticulturae 2023, 9, 100. [Google Scholar] [CrossRef]
- Wu, S.; Jin, X.L.; Zhang, M.H.; Zhang, F.J.; Luo, F. Effects of Exogenous Salicylic Acid on Heat Tolerance of Tree Peony Seedlings under High Temperature Stress. J. Henan Agric. Sci. 2018, 47, 98–103. [Google Scholar]
- Wu, S. Heat Tolerance of Tree Peony Seedlings Induced by Exogenous Chemical Substances. Master’s Thesis, Central South University of Forestry and Technolog, Changsha, China, May 2018. [Google Scholar]
- Wu, S.; Jin, X.L.; Zhang, M.H.; Shun, L.X.; Chen, R. Effects of Exogenous Abscisic Acid on Heat Tolerance in Tree Peony Seedlings under High Temperature Stress. Adv. Ornam. Hortic. China 2018, 2018, 346–352. [Google Scholar]
- Ren, Z.B.; Chen, F.Z.; Shu, C.Q.; Li, X.L.; Liu, K.H.; Ji, X.M. Effects of Exogenous 2,4-epibrassinolide on Heat Resistance of Peony. J. Jianghan Univ. (Nat. Sci. Ed.) 2018, 46, 446–453. [Google Scholar]
- Zhao, D.; Wang, X.; Cheng, Z.; Tang, Y.; Tao, J. Multi-walled carbon nanotubes prevent high temperature-induced damage by activating the ascorbate-glutathione cycle in Paeonia ostii T. Hong et J. X. Zhang. Ecotoxicol. Environ. Saf. 2021, 227, 112948. [Google Scholar] [CrossRef]
- Qian, G.Y.; Kong, X.S.; Zhang, S.L. Physiological responses of three peony cultivars to high temperature stress. Jiangsu Agric. Sci. 2017, 45, 103–105. [Google Scholar]
- Li, M.; Cheng, Z.T.; Jun, M.J. Comparative Study on Heat Tolerance of 38 Peony Varieties. Mol. Plant Breed. 2021. [Google Scholar]
- Ma, J.; Wang, Q.; Wei, L.L.; Zhao, Y.; Zhang, G.Z.; Wang, J.; Gu, C.H. Responses of the tree peony (Paeonia suffruticosa, Paeoniaceae) cultivar ‘Yu Hong’ to heat stress revealed by iTRAQ-based quantitative proteomics. Proteome Sci. 2022, 20, 18. [Google Scholar] [CrossRef] [PubMed]
- Zhang, Y.Z.; Cheng, Y.W.; Ya, H.Y.; Han, J.M.; Zheng, L. Identification of heat shock proteins via transcriptome profiling of tree peony leaf exposed to high temperature. Genet. Mol. Res. 2015, 14, 8431–8442. [Google Scholar] [CrossRef] [PubMed]
- Hao, L.H. Functional Analysis of High Temperature Stress Transcriptome and Small Molecular Heat Shock Protein Gene in Paeonia suffruticosa. Master’s Thesis, Zhejiang A&F University, Hanzhou, China, June 2021. [Google Scholar]
- Ma, J.; Wang, J.; Wang, Q.; Shang, L.; Zhao, Y.; Zhang, G.; Ma, Q.; Hong, S.; Gu, C. Physiological and transcriptional responses to heat stress and functional analyses of PsHSPs in tree peony (Paeonia suffruticosa). Front. Plant Sci. 2022, 13, 926900. [Google Scholar] [CrossRef] [PubMed]
- Zontov, Y.; Rodionova, O.Y.; Kucheryavskiy, S.; Pomerantsev, A. PLS-DA–A MATLAB GUI tool for hard and soft approaches to partial least squares discriminant analysis. Chemom. Intell. Lab. Syst. 2020, 203, 104064. [Google Scholar] [CrossRef]
- Foyer, C.H.; Shigeoka, S. Understanding Oxidative Stress and Antioxidant Functions to Enhance Photosynthesis. Plant Physiol. 2011, 155, 93–100. [Google Scholar] [CrossRef]
- Halliwell, B. Oxidative stress and neurodegeneration: Where are we now? J. Neurochem. 2006, 97, 1634–1658. [Google Scholar] [CrossRef]
- Jahan, M.S.; Wang, Y.; Shu, S.; Zhong, M.; Chen, Z.; Wu, J.; Sun, J.; Guo, S. Exogenous salicylic acid increases the heat tolerance in Tomato (Solanum lycopersicum L.) by enhancing photosynthesis efficiency and improving antioxidant defense system through scavenging of reactive oxygen species. Sci. Hortic. 2019, 247, 421–429. [Google Scholar] [CrossRef]
- Djanaguiraman, M.; Prasad, P.V.; Seppanen, M. Selenium protects sorghum leaves from oxidative damage under high temperature stress by enhancing antioxidant defense system. Plant Physiol. Biochem. 2010, 48, 999–1007. [Google Scholar] [CrossRef]
- Kandziora-Ciupa, M.; Gospodarek, J.; Nadgórska-Socha, A. Pollution and ecological risk assessment of heavy metals in forest soils with changes in the leaf traits and membrane integrity of Vaccinium myrtillus L. Eur. J. For. Res. 2022, 141, 409–419. [Google Scholar] [CrossRef]
- Parida, A.K.; Jha, B. Antioxidative Defense Potential to Salinity in the Euhalophyte Salicornia brachiata. J. Plant Growth Regul. 2010, 29, 137–148. [Google Scholar] [CrossRef]
- Gulen, H.; Eris, A. Effect of heat stress on peroxidase activity and total protein content in strawberry plants. Plant Sci. 2004, 166, 739–744. [Google Scholar] [CrossRef]
- Gill, S.S.; Tuteja, N. Reactive oxygen species and antioxidant machinery in abiotic stress tolerance in crop plants. Plant Physiol. Biochem. 2010, 48, 909–930. [Google Scholar] [CrossRef] [PubMed]
- Finkel, T. Signal transduction by reactive oxygen species. J. Cell Biol. 2011, 194, 7–15. [Google Scholar] [CrossRef]
- Mhamdi, A.; Queval, G.; Chaouch, S.; Vanderauwera, S.; Van Breusegem, F.; Noctor, G. Catalase function in plants: A focus on Arabidopsis mutants as stress-mimic models. J. Exp. Bot. 2010, 61, 4197–4220. [Google Scholar] [CrossRef]
- Narayan, B.; Minsu, L.; Hojin, L.; Arjun, A.; Ah, R.H.; Areum, H.; Hyun, S.K. Evaluation of morphological, physiological, and biochemical traits for assessing drought resistance in eleven tree species. Sci. Total Environ. 2021, 779, 146466. [Google Scholar]
- Raja, V.; Qadir, S.U.; Alyemeni, M.N.; Ahmad, P. Impact of drought and heat stress individually and in combination on physio-biochemical parameters, antioxidant responses, and gene expression in Solanum lycopersicum. 3 Biotech 2020, 10, 208. [Google Scholar] [CrossRef]
- Bendou, O.; Gutiérrez-Fernández, I.; Marcos-Barbero, E.L.; Bueno-Ramos, N.; Miranda-Apodaca, J.; González-Hernández, A.I.; Morcuende, R.; Arellano, J.B. Physiological and Antioxidant Response to Different Water Deficit Regimes of Flag Leaves and Ears of Wheat Grown under Combined Elevated CO2 and High Temperature. Plants 2022, 11, 2384. [Google Scholar] [CrossRef]
- Zhang, M.H. The Research on Genetic Diversity and Heat to lerance of Peony Resources in Hunan Province. Ph.D. Thesis, Central South University of Forestry and Technolog, Changsha, China, May 2019. [Google Scholar]
- Hasanuzzaman, M.; Nahar, K.; Alam, M.; Roychowdhury, R.; Fujita, M. Physiological, Biochemical, and Molecular Mechanisms of Heat Stress Tolerance in Plants. Int. J. Mol. Sci. 2013, 14, 9643–9684. [Google Scholar] [CrossRef]
- Silva, P.C.C.; Neto, A.D.D.A.; Gheyi, H.R.; Ribas, R.F.; Silva, C.R.D.R.; Cova, A.M.W. Salt tolerance induced by hydrogen peroxide priming on seed is related to improvement of ion homeostasis and antioxidative defense in sunflower plants. J. Plant Nutr. 2020, 44, 1207–1221. [Google Scholar] [CrossRef]
- Khosrowshahi, Z.T.; Ghassemi-Golezani, K.; Salehi-Lisar, S.Y.; Motafakkerazad, R. Changes in antioxidants and leaf pigments of safflower (Carthamus tinctorius L.) affected by exogenous spermine under water deficit. Biol. Futur. 2020, 71, 313–321. [Google Scholar] [CrossRef]
- Allakhverdiev, S.I.; Kreslavski, V.D.; Klimov, V.V.; Los, D.A.; Carpentier, R.; Mohanty, P. Heat stress: An overview of molecular responses in photosynthesis. Photosynth. Res. 2008, 98, 541–550. [Google Scholar] [CrossRef] [PubMed]
- Szymańska, R.; Ślesak, I.; Orzechowska, A.; Kruk, J. Physiological and biochemical responses to high light and temperature stress in plants. Environ. Exp. Bot. 2017, 139, 165–177. [Google Scholar] [CrossRef]
- Rai, K.K.; Rai, N.; Rai, S.P. Investigating the impact of high temperature on growth and yield of Lablab purpureus L. inbred lines using integrated phenotypical, physiological, biochemical and molecular approaches. Indian J. Plant Physiol. 2018, 23, 209–226. [Google Scholar] [CrossRef]
- Jahan, M.S.; Hasan, M.; Alotaibi, F.S.; Alabdallah, N.M.; Alharbi, B.M.; Ramadan, K.M.A.; Bendary, E.S.A.; Alshehri, D.; Jabborova, D.; Al-Balawi, D.A.; et al. Exogenous Putrescine Increases Heat Tolerance in Tomato Seedlings by Regulating Chlorophyll Metabolism and Enhancing Antioxidant Defense Efficiency. Plants 2022, 11, 1038. [Google Scholar] [CrossRef]
- Jiang, D.; Dai, T.; Jing, Q.; Cao, W.; Zhou, Q.; Zhao, H.; Fan, X. Effects of Long-Term Fertilization on Leaf Photosynthetic Characteristics and Grain Yield in Winter Wheat. Photosynthetica 2004, 42, 439–446. [Google Scholar] [CrossRef]
- Narayan, B.; Su, G.H.; Tae, M.Y. Impact of drought stress on photosynthetic response, leaf water potential, and stem sap flow in two cultivars of bi-leader apple trees (Malus × domestica Borkh.). Sci. Hortic. 2019, 246, 535–543. [Google Scholar]
- Salmon, Y.; Lintunen, A.; Dayet, A.; Chan, T.; Dewar, R.; Vesala, T.; Hölttä, T. Leaf carbon and water status control stomatal and nonstomatal limitations of photosynthesis in trees. New Phytol. 2020, 226, 690–703. [Google Scholar] [CrossRef]
- Li, Y.; Xu, W.; Ren, B.; Zhao, B.; Zhang, J.; Liu, P.; Zhang, Z. High temperature reduces photosynthesis in maize leaves by damaging chloroplast ultrastructure and photosystem II. J. Agron. Crop. Sci. 2020, 206, 548–564. [Google Scholar] [CrossRef]
- Zhang, L.; Chang, Q.; Hou, X.; Wang, J.; Chen, S.; Zhang, Q.; Wang, Z.; Yin, Y.; Liu, J. The Effect of High-Temperature Stress on the Physiological Indexes, Chloroplast Ultrastructure, and Photosystems of two Herbaceous Peony Cultivars. J. Plant Growth Regul. 2022, 42, 1631–1646. [Google Scholar] [CrossRef]
- Feller, U. Drought stress and carbon assimilation in a warming climate: Reversible and irreversible impacts. J. Plant Physiol. 2016, 203, 84–94. [Google Scholar] [CrossRef] [PubMed]
- Balfagón, D.; Zandalinas, S.I.; Mittler, R.; Gómez-Cadenas, A. High temperatures modify plant responses to abiotic stress conditions. Physiol. Plant. 2020, 170, 335–344. [Google Scholar] [CrossRef] [PubMed]
- Perdomo, J.A.; Capó-Bauçà, S.; Carmo-Silva, E.; Galmés, J. Rubisco and Rubisco Activase Play an Important Role in the Biochemical Limitations of Photosynthesis in Rice, Wheat, and Maize under High Temperature and Water Deficit. Front. Plant Sci. 2017, 8, 490. [Google Scholar] [CrossRef]
- Wahid, A.; Gelani, S.; Ashraf, M.; Foolad, M.R. Heat tolerance in plants: An overview. Environ. Exp. Bot. 2007, 61, 199–223. [Google Scholar] [CrossRef]
- Blum, A. Osmotic adjustment is a prime drought stress adaptive engine in support of plant production. Plant Cell Environ. 2017, 40, 4–10. [Google Scholar] [CrossRef]
- Huve, K.; Bichele, I.; Tobias, M.; Niinemets, U. Heat sensitivity of photosynthetic electron transport varies during the day due to changes in sugars and osmotic potential. Plant Cell Environ. 2006, 29, 212–228. [Google Scholar] [CrossRef]
- Gurrieri, L.; Merico, M.; Trost, P.; Forlani, G.; Sparla, F. Impact of Drought on Soluble Sugars and Free Proline Content in Selected Arabidopsis Mutants. Biology 2020, 9, 367. [Google Scholar] [CrossRef]
- Jalmi, S.K.; Sinha, A.K. ROS mediated MAPK signaling in abiotic and biotic stress- striking similarities and differences. Front. Plant Sci. 2015, 6, 769. [Google Scholar] [CrossRef]
- Cséke, C.; Buchanan, B.B. Regulation of the formation and utilization of photosynthate in leaves. Biochim. Biophys. Acta (BBA) Rev. Bioenerg. 1986, 853, 43–63. [Google Scholar] [CrossRef]







| Indicator | H2O2 | MDA | REC | SOD | POD | CAT | APX | Pn | Ci | Chla | Chlb | ss | sp | Gs | Tr |
|---|---|---|---|---|---|---|---|---|---|---|---|---|---|---|---|
| H2O2 | 1 | ||||||||||||||
| MDA | 0.860 ** | 1 | |||||||||||||
| REC | 0.871 ** | 0.990 ** | 1 | ||||||||||||
| SOD | 0.017 | 0.425 | 0.426 | 1 | |||||||||||
| POD | −0.719 * | −0.463 | −0.486 | 0.55 | 1 | ||||||||||
| CAT | 0.975 ** | 0.940 ** | 0.936 ** | 0.187 | −0.616 | 1 | |||||||||
| APX | 0.865 ** | 0.985 ** | 0.977 ** | 0.436 | −0.411 | 0.940 ** | 1 | ||||||||
| Pn | −0.752 * | −0.960 ** | −0.961 ** | −0.617 | 0.242 | −0.854 ** | −0.973 ** | 1 | |||||||
| Ci | 0.226 | 0.142 | 0.116 | −0.589 | −0.680* | 0.173 | 0.066 | 0.06 | 1 | ||||||
| Chla | −0.927 ** | −0.971 ** | −0.987 ** | −0.327 | 0.57 | −0.966 ** | −0.957 ** | 0.916 ** | −0.125 | 1 | |||||
| Chlb | −0.957 ** | −0.829 ** | −0.848 ** | −0.124 | 0.611 | −0.932 ** | −0.841 ** | 0.753 * | −0.009 | 0.914 ** | 1 | ||||
| ss | −0.895 ** | −0.946 ** | −0.954 ** | −0.39 | 0.427 | −0.947 ** | −0.979 ** | 0.941 ** | −0.04 | 0.950 ** | 0.869 ** | 1 | |||
| sp | −0.930 ** | −0.968 ** | −0.969 ** | −0.326 | 0.509 | −0.979 ** | −0.982 ** | 0.929 ** | −0.122 | 0.971 ** | 0.884 ** | 0.988 ** | 1 | ||
| Gs | −0.590 * | −0.818 ** | −0.837 ** | −0.716 ** | −0.065 | −0.710 ** | −0.888 ** | 0.933 ** | 0.326 | 0.791 ** | 0.564 * | 0.872 ** | 0.832 ** | 1 | |
| Tr | −0.615* | −0.855 ** | −0.884 ** | −0.745 ** | −0.011 | −0.734 ** | −0.907 ** | 0.965 ** | 0.333 | 0.841 ** | 0.610 * | 0.874 ** | 0.854 ** | 0.981 ** | 1 |
| Days of Treatment (d) | LMA (g/m2) | LT/(μm) | LD (g/cm2) | PT/ST | PT/LT | ST/LT | MT/LT |
|---|---|---|---|---|---|---|---|
| 0 | 95.00 ± 7.07ab | 118.86 ± 9.53a | 86.55 ± 11.91ab | 0.70 ± 0.18b | 0.32 ± 0.05bc | 0.48 ± 0.07bc | 2.84 ± 0.97b |
| 1 | 92.53 ± 23.38ab | 91.28 ± 10.75c | 100.19 ± 15.11ab | 0.59 ± 0.17bc | 0.29 ± 0.05cd | 0.5 ± 0.06ab | 3.06 ± 0.29b |
| 3 | 166.99 ± 86.38a | 109.59 ± 12.06ab | 137.03 ± 66.84a | 0.75 ± 0.11b | 0.34 ± 0.03b | 0.45 ± 0.03c | 5.31 ± 0.66a |
| 5 | 106.94 ± 38.72ab | 104.96 ± 7.63b | 95.91 ± 33.59ab | 1.03 ± 0.26a | 0.38 ± 0.06a | 0.38 ± 0.05d | 3.06 ± 0.38b |
| 7 | 62.50 ± 12.50b | 90.03 ± 9.63c | 64.62 ± 14.17b | 0.50 ± 0.13c | 0.26 ± 0.05d | 0.53 ± 0.05a | 2.19 ± 0.28b |
Disclaimer/Publisher’s Note: The statements, opinions and data contained in all publications are solely those of the individual author(s) and contributor(s) and not of MDPI and/or the editor(s). MDPI and/or the editor(s) disclaim responsibility for any injury to people or property resulting from any ideas, methods, instructions or products referred to in the content. |
© 2023 by the authors. Licensee MDPI, Basel, Switzerland. This article is an open access article distributed under the terms and conditions of the Creative Commons Attribution (CC BY) license (https://creativecommons.org/licenses/by/4.0/).
Share and Cite
Hong, E.; Xia, X.; Ji, W.; Li, T.; Xu, X.; Chen, J.; Chen, X.; Zhu, X. Effects of High Temperature Stress on the Physiological and Biochemical Characteristics of Paeonia ostii. Int. J. Mol. Sci. 2023, 24, 11180. https://doi.org/10.3390/ijms241311180
Hong E, Xia X, Ji W, Li T, Xu X, Chen J, Chen X, Zhu X. Effects of High Temperature Stress on the Physiological and Biochemical Characteristics of Paeonia ostii. International Journal of Molecular Sciences. 2023; 24(13):11180. https://doi.org/10.3390/ijms241311180
Chicago/Turabian StyleHong, Erman, Xuanze Xia, Wen Ji, Tianyao Li, Xianyi Xu, Jingran Chen, Xia Chen, and Xiangtao Zhu. 2023. "Effects of High Temperature Stress on the Physiological and Biochemical Characteristics of Paeonia ostii" International Journal of Molecular Sciences 24, no. 13: 11180. https://doi.org/10.3390/ijms241311180
APA StyleHong, E., Xia, X., Ji, W., Li, T., Xu, X., Chen, J., Chen, X., & Zhu, X. (2023). Effects of High Temperature Stress on the Physiological and Biochemical Characteristics of Paeonia ostii. International Journal of Molecular Sciences, 24(13), 11180. https://doi.org/10.3390/ijms241311180

