Role of Bile-Derived Extracellular Vesicles in Hepatocellular Proliferation after Partial Hepatectomy in Rats
Abstract
1. Introduction
2. Results
2.1. Extraction of Rat Bile-Derived EVs
2.2. Examination of the Number of EVs
2.3. Verification of Bile EV Migration to Hepatocytes
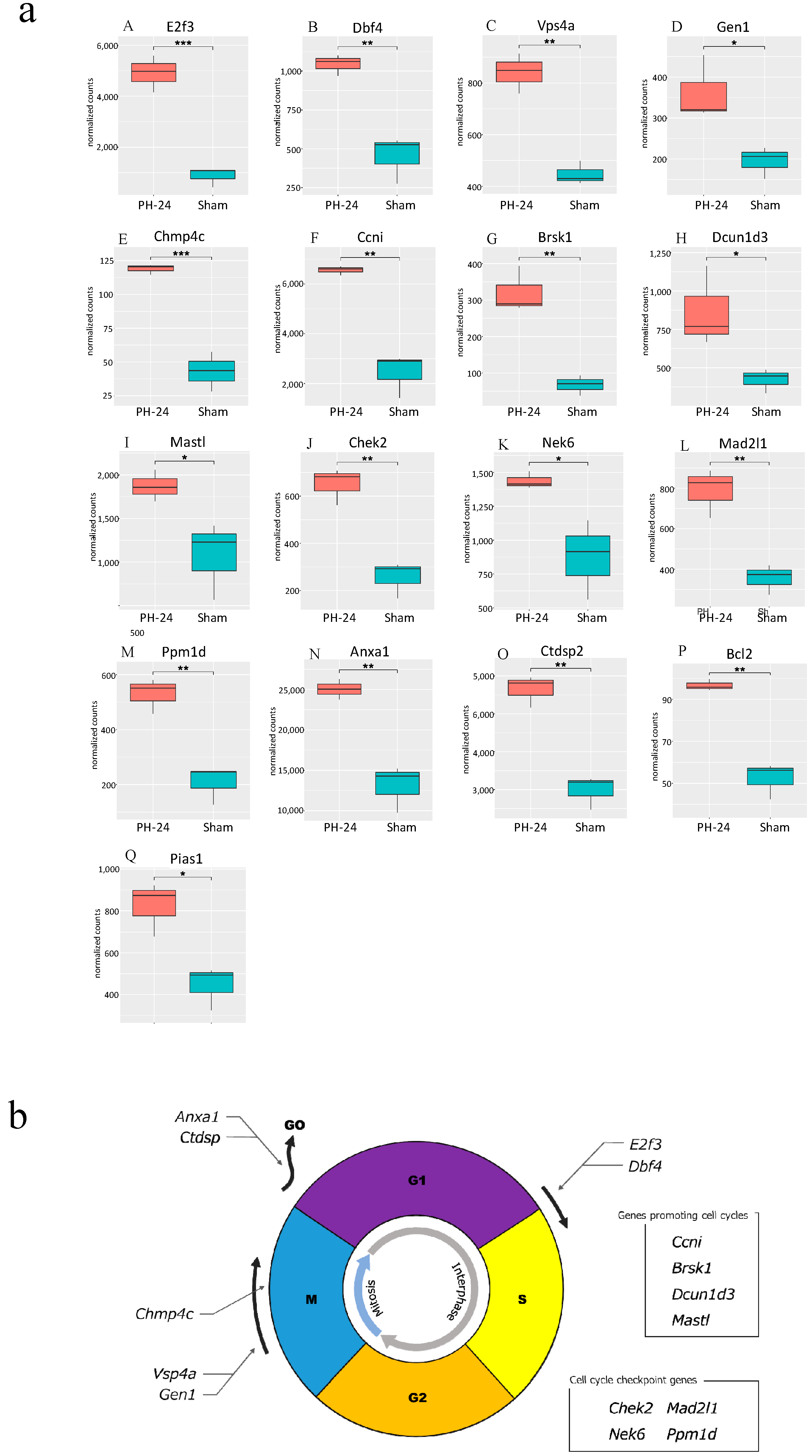
2.4. Transcriptome Analysis
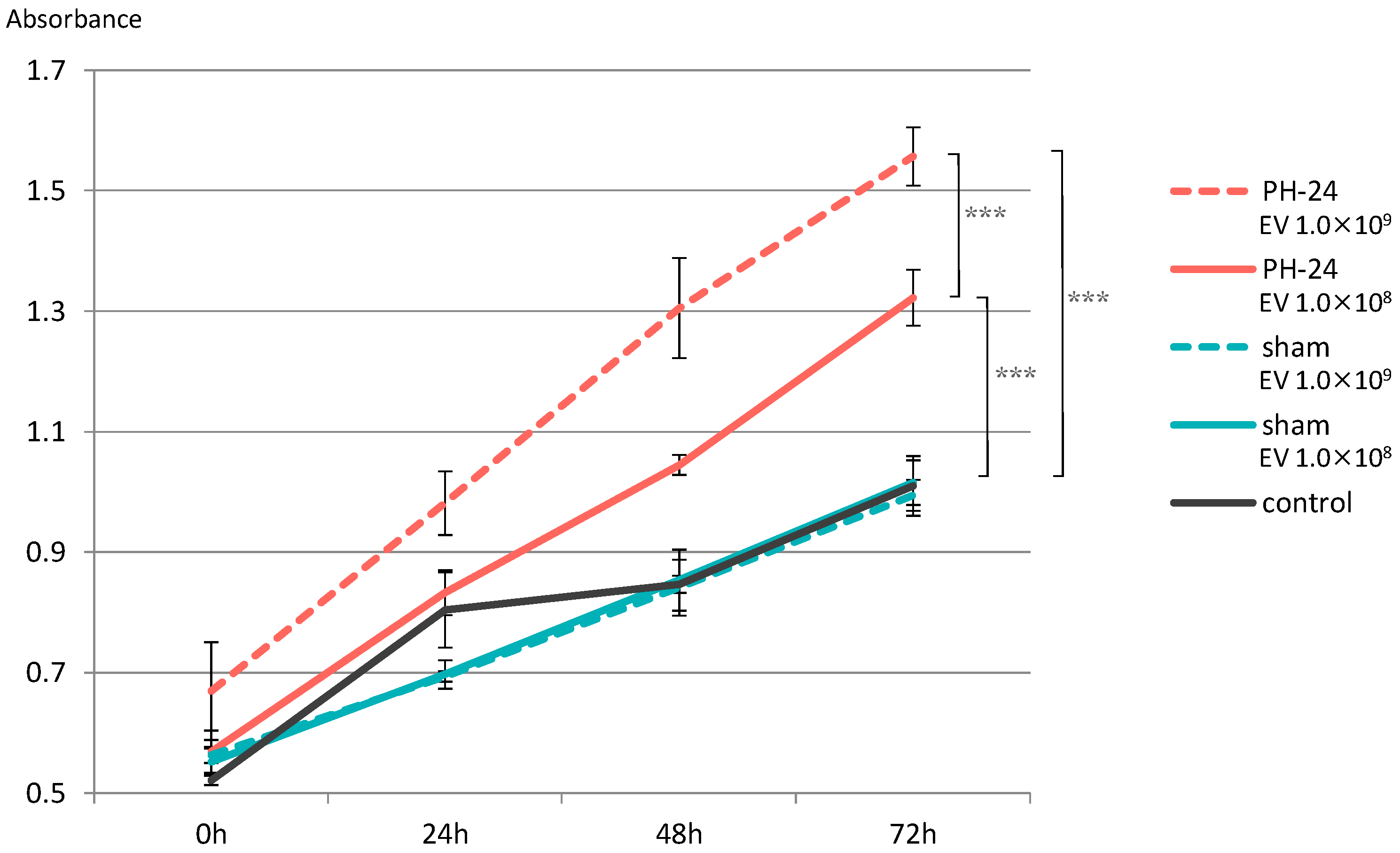
2.5. Examination of Cell Proliferative Ability
3. Discussion
4. Materials and Methods
4.1. Preparation of the Bile Duct Cannulated Rat Model
4.2. Bile Collection 70% Partial Hepatectomy
4.3. EV Extraction from Bile
4.4. Evaluation of EVs
4.4.1. Transmission Electron Microscope (TEM)
4.4.2. Nano Tracking Analysis (NTA)
4.5. Verification of Bile EV Migration to Hepatocytes
4.6. Transcriptome Analysis of Hepatocytes after Bile EV Addition
4.6.1. Addition of EVs to the Hepatocyte Cell Line
4.6.2. RNA Extraction of Cultured Cells
4.6.3. RNA Fragmentation and Purification
4.6.4. Construction of Whole Transcriptome Library and Reverse Transcription Reaction
4.6.5. cDNA Purification
4.6.6. cDNA Amplification, Purification and Library Quantification
- Ion Total RNA-Seq Kit v2 (Thermo Fisher Scientific, USA: 4475936);
- IonXpress RNA-Seq Barcode 1–16 Kit (Thermo Fisher Scientific, USA: 4475485);
- D1000 ScreenTape (Agilent Technologies, USA: 5067–5582);
- D1000 Reagents (Agilent Technologies, USA: 5067–5583).
4.6.7. Sequencing
4.6.8. Expression Analysis
4.7. Examination of Cell Proliferative Ability
4.8. Statistical Methods
- ontology = Biological Process;
- p-value cutoff = 0.5;
- p.adjust.method = FDR.
4.9. Ethical Considerations
5. Conclusions
Author Contributions
Funding
Institutional Review Board Statement
Informed Consent Statement
Data Availability Statement
Conflicts of Interest
References
- Higgins, G.M.; Anderson, R.M. Experimental Pathology of Liver: Restoration of Liver of White Rat Following Partial Surgical Removal. Arch. Pathol. 1931, 12, 186–202. [Google Scholar]
- Miyaoka, Y.; Ebato, K.; Kato, H.; Arakawa, S.; Shimizu, S.; Miyajima, A. Hypertrophy and Unconventional Cell Division of Hepatocytes Underlie Liver Regeneration. Curr. Biol. 2012, 22, 1166–1175. [Google Scholar] [CrossRef] [PubMed]
- Kiso, S.; Kawata, S.; Tamura, S.; Higashiyama, S.; Ito, N.; Tsushima, H.; Taniguchi, N.; Matsuzawa, Y. Role of Heparin-Binding Epidermal Growth Factor-Like Growth Factor as a Hepatotrophic Factor in Rat Liver Regeneration after Partial Hepatectomy. Hepatology 1995, 22, 1584–1590. [Google Scholar] [CrossRef] [PubMed]
- Fausto, N.; Campbell, J.S. The Role of Hepatocytes and Oval Cells in Liver Regeneration and Repopulation. Mech. Dev. 2003, 120, 117–130. [Google Scholar] [CrossRef]
- Shneider, B.L. Intestinal Bile Acid Transport: Biology, Physiology, and Pathophysiology. J. Pediatr. Gastroenterol. Nutr. 2001, 32, 407–417. [Google Scholar] [CrossRef]
- Stieger, B.; Meier, Y.; Meier, P.J. The Bile Salt Export Pump. Pflugers Arch. 2007, 453, 611–620. [Google Scholar] [CrossRef]
- Dawson, P.A.; Lan, T.; Rao, A. Bile Acid Transporters. J. Lipid Res. 2009, 50, 2340–2357. [Google Scholar] [CrossRef]
- Chen, F.; Ma, L.; Dawson, P.A.; Sinal, C.J.; Sehayek, E.; Gonzalez, F.J.; Breslow, J.; Ananthanarayanan, M.; Shneider, B.L. Liver Receptor Homologue-1 Mediates Species- and Cell Line-Specific Bile Acid-Dependent Negative Feedback Regulation of the Apical Sodium-Dependent Bile Acid Transporter. J. Biol. Chem. 2003, 278, 19909–19916. [Google Scholar] [CrossRef]
- Pérez-Barriocanal, F.; González, J.; Esteller, A. Evolution of Biliary Secretion during Bile Diversion in Normal and Two-Thirds Hepatectomized Rats. Digestion 1986, 35, 143–150. [Google Scholar] [CrossRef]
- Zhang, L.; Huang, X.; Meng, Z.; Dong, B.; Shiah, S.; Moore, D.D.; Huang, W. Significance and Mechanism of CYP7a1 Gene Regulation during the Acute Phase of Liver Regeneration. Mol. Endocrinol. 2009, 23, 137–145. [Google Scholar] [CrossRef]
- Huang, W.; Ma, K.; Zhang, J.; Qatanani, M.; Cuvillier, J.; Liu, J.; Dong, B.; Huang, X.; Moore, D.D. Nuclear Receptor–Dependent Bile Acid Signaling Is Required for Normal Liver Regeneration. Science 2006, 312, 233–236. [Google Scholar] [CrossRef]
- Valadi, H.; Ekström, K.; Bossios, A.; Sjöstrand, M.; Lee, J.J.; Lötvall, J.O. Exosome-Mediated Transfer of mRNAs and microRNAs Is a Novel Mechanism of Genetic Exchange between Cells. Nat. Cell Biol. 2007, 9, 654–659. [Google Scholar] [CrossRef]
- Zernecke, A.; Bidzhekov, K.; Noels, H.; Shagdarsuren, E.; Gan, L.; Denecke, B.; Hristov, M.; Köppel, T.; Jahantigh, M.N.; Lutgens, E.; et al. Delivery of microRNA-126 by Apoptotic Bodies Induces CXCL12-Dependent Vascular Protection. Sci. Signal. 2009, 2, ra81. [Google Scholar] [CrossRef]
- Kosaka, N.; Iguchi, H.; Yoshioka, Y.; Takeshita, F.; Matsuki, Y.; Ochiya, T. Secretory Mechanisms and Intercellular Transfer of microRNAs in Living Cells. J. Biol. Chem. 2010, 285, 17442–17452. [Google Scholar] [CrossRef]
- Masyuk, A.I.; Huang, B.Q.; Ward, C.J.; Gradilone, S.A.; Banales, J.M.; Masyuk, T.V.; Radtke, B.; Splinter, P.L.; LaRusso, N.F. Biliary Exosomes Influence Cholangiocyte Regulatory Mechanisms and Proliferation through Interaction with Primary Cilia. Am. J. Physiol. Gastrointest. Liver Physiol. 2010, 299, G990–G999. [Google Scholar] [CrossRef]
- Nojima, H.; Freeman, C.M.; Schuster, R.M.; Japtok, L.; Kleuser, B.; Edwards, M.J.; Gulbins, E.; Lentsch, A.B. Hepatocyte Exosomes Mediate Liver Repair and Regeneration via Sphingosine-1-Phosphate. J. Hepatol. 2016, 64, 60–68. [Google Scholar] [CrossRef]
- Luo, L.; Yu, Z.P.; Qin, H.; Zhu, Z.X.; Liao, M.H.; Liao, H.T.; Yuan, K.F.; Zeng, Y. Exosomal MicroRNA-10a is Associated with Liver Regeneration in Rats Through Downregulation of EphA4. Chin. Med. J. 2018, 131, 454–460. [Google Scholar] [CrossRef]
- Leone, G.; DeGregori, J.; Yan, Z.; Jakoi, L.; Ishida, S.; Williams, R.S.; Nevins, J.R. E2F3 Activity Is Regulated during the Cell Cycle and Is Required for the Induction of S Phase. Genes Dev. 1998, 12, 2120–2130. [Google Scholar] [CrossRef]
- Humbert, P.O.; Verona, R.; Trimarchi, J.M.; Rogers, C.; Dandapani, S.; Lees, J.A. E2F3 Is Critical for Normal Cellular Proliferation. Genes Dev. 2000, 14, 690–703. [Google Scholar] [CrossRef]
- Jackson, A.L.; Pahl, P.M.; Harrison, K.; Rosamond, J.; Sclafani, R.A. Cell Cycle Regulation of the Yeast Cdc7 Protein Kinase by Association with the Dbf4 Protein. Mol. Cell. Biol. 1993, 13, 2899–2908. [Google Scholar] [CrossRef]
- Morita, E.; Colf, L.A.; Karren, M.A.; Sandrin, V.; Rodesch, C.K.; Sundquist, W.I. Human ESCRT-III and VPS4 Proteins Are Required for Centrosome and Spindle Maintenance. Proc. Natl. Acad. Sci. USA 2010, 107, 12889–12894. [Google Scholar] [CrossRef] [PubMed]
- Gao, M.; Rendtlew Danielsen, J.; Wei, L.Z.; Zhou, D.P.; Xu, Q.; Li, M.M.; Wang, Z.Q.; Tong, W.M.; Yang, Y.G. A Novel Role of Human Holliday Junction Resolvase GEN1 in the Maintenance of Centrosome Integrity. PLoS ONE 2012, 7, e49687. [Google Scholar] [CrossRef] [PubMed]
- Petsalaki, E.; Dandoulaki, M.; Zachos, G. Chmp4c Is Required for Stable Kinetochore-Microtubule Attachments. Chromosoma 2018, 127, 461–473. [Google Scholar] [CrossRef] [PubMed]
- Liu, C.; Zhai, X.; Zhao, B.; Wang, Y.; Xu, Z. Cyclin I-Like (CCNI2) Is a Cyclin-Dependent Kinase 5 (CDK5) Activator and Is Involved in Cell Cycle Regulation. Sci. Rep. 2017, 7, 40979. [Google Scholar] [CrossRef] [PubMed]
- Petrochilos, D.; Shojaie, A.; Gennari, J.; Abernethy, N. Using Random Walks to Identify Cancer-Associated Modules in Expression Data. BioData Min. 2013, 6, 17. [Google Scholar] [CrossRef]
- Ma, T.; Shi, T.; Huang, J.; Wu, L.; Hu, F.; He, P.; Deng, W.; Gao, P.; Zhang, Y.; Song, Q.; et al. DCUN1D3, a Novel UVC-Responsive Gene That is Involved in Cell Cycle Progression and Cell Growth. Cancer Sci. 2008, 99, 2128–2135. [Google Scholar] [CrossRef]
- Hermida, D.; Mortuza, G.B.; Pedersen, A.K.; Pozdnyakova, I.; Nguyen, T.T.T.N.; Maroto, M.; Williamson, M.; Ebersole, T.; Cazzamali, G.; Rand, K.; et al. Molecular Basis of the Mechanisms Controlling MASTL. Mol. Cell. Proteom. 2020, 19, 326–343. [Google Scholar] [CrossRef]
- Castedo, M.; Perfettini, J.L.; Roumier, T.; Yakushijin, K.; Horne, D.; Medema, R.; Kroemer, G. The Cell Cycle Checkpoint Kinase Chk2 Is a Negative Regulator of Mitotic Catastrophe. Oncogene 2004, 23, 4353–4361. [Google Scholar] [CrossRef]
- Reinhardt, H.C.; Yaffe, M.B. Kinases That Control the Cell Cycle in Response to DNA Damage: Chk1, Chk2, and MK2. Curr. Opin. Cell Biol. 2009, 21, 245–255. [Google Scholar] [CrossRef]
- Lee, M.Y.; Kim, H.J.; Kim, M.A.; Jee, H.J.; Kim, A.J.; Bae, Y.S.; Park, J.I.; Chung, J.H.; Yun, J. Nek6 Is Involved in G2/M Phase Cell Cycle Arrest through DNA Damage-Induced Phosphorylation. Cell Cycle 2008, 7, 2705–2709. [Google Scholar] [CrossRef]
- Fry, A.M.; O’Regan, L.; Sabir, S.R.; Bayliss, R. Cell Cycle Regulation by the NEK Family of Protein Kinases. J. Cell Sci. 2012, 125, 4423–4433. [Google Scholar] [CrossRef]
- Faesen, A.C.; Thanasoula, M.; Maffini, S.; Breit, C.; Müller, F.; van Gerwen, S.; Bange, T.; Musacchio, A. Basis of Catalytic Assembly of the Mitotic Checkpoint Complex. Nature 2017, 542, 498–502. [Google Scholar] [CrossRef]
- Lindqvist, A.; de Bruijn, M.; Macurek, L.; Brás, A.; Mensinga, A.; Bruinsma, W.; Voets, O.; Kranenburg, O.; Medema, R.H. Wip1 Confers G2 Checkpoint Recovery Competence by Counteracting p53-Dependent Transcriptional Repression. EMBO J. 2009, 28, 3196–3206. [Google Scholar] [CrossRef]
- Park, H.K.; Panneerselvam, J.; Dudimah, F.D.; Dong, G.; Sebastian, S.; Zhang, J.; Fei, P. Wip1 Contributes to Cell Homeostasis Maintained by the Steady-State Level of Wtp53. Cell Cycle 2011, 10, 2574–2582. [Google Scholar] [CrossRef]
- Kozakai, Y.; Kamada, R.; Furuta, J.; Kiyota, Y.; Chuman, Y.; Sakaguchi, K. PPM1D Controls Nucleolar Formation by Up-Regulating Phosphorylation of Nucleophosmin. Sci. Rep. 2016, 6, 33272. [Google Scholar] [CrossRef]
- Sabran, A.; Kumolosasi, E.; Jantan, I. Effects of Annexin A1 on Apoptosis and Cell Cycle Arrest in Human Leukemic Cell Lines. Acta Pharm. 2019, 69, 75–86. [Google Scholar] [CrossRef]
- Kloet, D.E.; Polderman, P.E.; Eijkelenboom, A.; Smits, L.M.; van Triest, M.H.; van den Berg, M.C.; Groot Koerkamp, M.J.; van Leenen, D.; Lijnzaad, P.; Holstege, F.C.; et al. FOXO Target Gene CTDSP2 Regulates Cell Cycle Progression through Ras and p21(Cip1/Waf1). Biochem. J. 2015, 469, 289–298. [Google Scholar] [CrossRef]
- Takushi, Y.; Shiraishi, M.; Nozato, E.; Toyoda, A.; Nishimaki, T. Expression of Anti-apoptotic Protein, Bcl-2, in Liver Regeneration after a Partial Hepatectomy. J. Surg. Res. 2006, 134, 93–101. [Google Scholar] [CrossRef]
- Bilodeau, S.; Caron, V.; Gagnon, J.; Kuftedjian, A.; Tremblay, A. A CK2-RNF4 Interplay Coordinates Non-canonical SUMOylation and Degradation of Nuclear Receptor FXR. J. Mol. Cell Biol. 2017, 9, 195–208. [Google Scholar] [CrossRef]
- Kawai, S.; Takagi, Y.; Kaneko, S.; Kurosawa, T. Effect of Three Types of Mixed Anesthetic Agents Alternate to Ketamine in Mice. Exp. Anim. 2011, 60, 481–487. [Google Scholar] [CrossRef]
- Lobb, R.J.; Becker, M.; Wen, S.W.; Wong, C.S.; Wiegmans, A.P.; Leimgruber, A.; Möller, A. Optimized Exosome Isolation Protocol for Cell Culture Supernatant and Human Plasma. J. Extracell. Vesicles 2015, 4, 27031. [Google Scholar] [CrossRef] [PubMed]







| ID | Term | GeneRatio | p Value | p Adjusted | Count |
|---|---|---|---|---|---|
| GO:0044772 | mitotic cell cycle phase transition | 122/4596 | 0.0012 ** | 0.0755 | 122 |
| GO:0044770 | cell cycle phase transition | 133/4596 | 0.0015 ** | 0.0823 | 133 |
| GO:0044843 | cell cycle G1/S phase transition | 67/4596 | 0.0041 ** | 0.1334 | 67 |
| Up Regulated | Down Regulated | ||||||
|---|---|---|---|---|---|---|---|
| Gene Symbol | Log2 Fold Change | p Value | Gene Symbol | Log2 Fold Change | p Value | ||
| PH (24 h) | Sham | PH (24 h) | Sham | ||||
| Hacd1 | 1.0618 | −0.5067 | <0.0001 *** | Pidd1 | −7.2416 | 0.0024 | <0.0001 *** |
| Rptor | 1.2947 | 0.1998 | 0.0003 *** | Rcc1 | −1.1955 | −0.1498 | 0.0001 *** |
| Rpl17 | 1.6784 | −0.3205 | 0.0008 *** | Cirbp | −1.0556 | −0.0983 | 0.0015 ** |
| Tmod3 | 1.3730 | 0.1943 | 0.0009 *** | Plcb1 | −6.8962 | 0.2994 | 0.0032 ** |
| Chmp4c | 2.4938 | 1.0174 | 0.0010 ** | Camk2b | −5.5836 | 0.6711 | 0.0055 ** |
| E2f3 | 3.6683 | 1.1763 | 0.0010 ** | LOC102555319 | −6.4815 | −0.0902 | 0.0081 ** |
| Bcl2 | 1.0480 | 0.1521 | 0.0010 ** | Ccnj | −7.3298 | 0.0335 | 0.0099 ** |
| Ccni | 2.3697 | 0.9410 | 0.0013 ** | Inhba | −6.4521 | 0.4295 | 0.0139 * |
| Vps4a | 1.1111 | 0.1982 | 0.0016 ** | Eps8 | −6.2677 | −0.2896 | 0.0204 * |
| Ctdsp2 | 1.3427 | 0.4218 | 0.0016 ** | Hus1 | −6.4833 | −0.0456 | 0.0210 * |
| Anxa1 | 1.4453 | 0.5099 | 0.0028 ** | Trim39 | −6.7484 | −0.2955 | 0.0217 * |
| Brsk1 | 3.3370 | 1.0763 | 0.0031 ** | Fbxl6 | −1.3573 | −0.3980 | 0.0281 * |
| Cit | 2.1396 | 0.6820 | 0.0031 ** | Haspin | −1.0681 | −0.3645 | 0.0318 * |
| Chek2 | 1.8543 | 0.5042 | 0.0034 ** | Eif4e | −1.0115 | −0.3972 | 0.0355 * |
| Dbf4 | 2.0209 | 0.8112 | 0.0035 ** | Appl2 | −6.8909 | −0.3617 | 0.0366 * |
| Ppm1d | 2.0957 | 0.7411 | 0.0041 ** | Xrcc3 | −6.7349 | −0.4998 | 0.0371 * |
| Mad2l1 | 1.4244 | 0.2698 | 0.0060 ** | Cdk5rap3 | −1.0748 | −0.3954 | 0.0395 * |
| Donson | 1.8242 | 0.6657 | 0.0123 * | Foxm1 | −1.5041 | −0.2065 | 0.0461 * |
| Ddx3x | 1.8009 | 0.9050 | 0.0146 * | Pdpn | −1.7263 | −0.5369 | 0.0473 * |
| Pias1 | 1.4560 | 0.5660 | 0.0163 * | ||||
| Sox4 | 1.6782 | 0.7718 | 0.0217 * | ||||
| Adamts1 | 1.2637 | 0.2707 | 0.0225 * | ||||
| Pten | 1.0504 | 0.5068 | 0.0278 * | ||||
| Gen1 | 1.4655 | 0.5676 | 0.0300 * | ||||
| Nek6 | 1.3541 | 0.6354 | 0.0316 * | ||||
| Mnat1 | 1.1033 | 0.6977 | 0.0347 * | ||||
| Mastl | 1.9228 | 1.1178 | 0.0449 * | ||||
| Dcun1d3 | 1.1699 | 0.1316 | 0.0476 * | ||||
Disclaimer/Publisher’s Note: The statements, opinions and data contained in all publications are solely those of the individual author(s) and contributor(s) and not of MDPI and/or the editor(s). MDPI and/or the editor(s) disclaim responsibility for any injury to people or property resulting from any ideas, methods, instructions or products referred to in the content. |
© 2023 by the authors. Licensee MDPI, Basel, Switzerland. This article is an open access article distributed under the terms and conditions of the Creative Commons Attribution (CC BY) license (https://creativecommons.org/licenses/by/4.0/).
Share and Cite
Sugahara, S.; Haga, H.; Ikeda, C.; Makino, N.; Matsuda, A.; Kakizaki, Y.; Hoshikawa, K.; Katsumi, T.; Ishizawa, T.; Kobayashi, T.; et al. Role of Bile-Derived Extracellular Vesicles in Hepatocellular Proliferation after Partial Hepatectomy in Rats. Int. J. Mol. Sci. 2023, 24, 9230. https://doi.org/10.3390/ijms24119230
Sugahara S, Haga H, Ikeda C, Makino N, Matsuda A, Kakizaki Y, Hoshikawa K, Katsumi T, Ishizawa T, Kobayashi T, et al. Role of Bile-Derived Extracellular Vesicles in Hepatocellular Proliferation after Partial Hepatectomy in Rats. International Journal of Molecular Sciences. 2023; 24(11):9230. https://doi.org/10.3390/ijms24119230
Chicago/Turabian StyleSugahara, Shinpei, Hiroaki Haga, Chisaki Ikeda, Naohiko Makino, Akiko Matsuda, Yasuharu Kakizaki, Kyoko Hoshikawa, Tomohiro Katsumi, Tetsuya Ishizawa, Toshikazu Kobayashi, and et al. 2023. "Role of Bile-Derived Extracellular Vesicles in Hepatocellular Proliferation after Partial Hepatectomy in Rats" International Journal of Molecular Sciences 24, no. 11: 9230. https://doi.org/10.3390/ijms24119230
APA StyleSugahara, S., Haga, H., Ikeda, C., Makino, N., Matsuda, A., Kakizaki, Y., Hoshikawa, K., Katsumi, T., Ishizawa, T., Kobayashi, T., Maki, K., Suzuki, F., Murakami, R., Sato, H., & Ueno, Y. (2023). Role of Bile-Derived Extracellular Vesicles in Hepatocellular Proliferation after Partial Hepatectomy in Rats. International Journal of Molecular Sciences, 24(11), 9230. https://doi.org/10.3390/ijms24119230

