Next Article in Journal
Dosimetry Effects Due to the Presence of Fe Nanoparticles for Potential Combination of Hyperthermic Cancer Treatment with MRI-Based Image-Guided Radiotherapy
Next Article in Special Issue
Contributing to Biochemistry and Optoelectronics: Pyrrolo[1′,2′:2,3]imidazo[1,5-a]indoles and Cyclohepta[4,5]pyrrolo[1,2-c]pyrrolo[1,2-a]imidazoles via [3+2] Annulation of Acylethynylcycloalka[b]pyrroles with Δ1-Pyrrolines
Previous Article in Journal
Evaluation of Preparation and Detoxification of Hemicellulose Hydrolysate for Improved Xylitol Production from Quinoa Straw
 
 
Font Type:
Arial Georgia Verdana
Font Size:
Aa Aa Aa
Line Spacing:
Column Width:
Background:
Article

The Synthesis and Absolute Configuration of Enantiomeric Pure (R)- and (S)-3-(piperidin-3-yl)-1H-Indole Derivatives

1
Department of Drug Technology and Pharmaceutical Biotechnology, Faculty of Pharmacy, Medical University of Warsaw, 1, Banacha Street, 02-097 Warsaw, Poland
2
Faculty of Chemistry, Maria Curie-Skłodowska University, 3, M. Curie-Skłodowskiej Sq., 20-031 Lublin, Poland
*
Author to whom correspondence should be addressed.
Int. J. Mol. Sci. 2023, 24(1), 517; https://doi.org/10.3390/ijms24010517
Submission received: 7 November 2022 / Revised: 5 December 2022 / Accepted: 12 December 2022 / Published: 28 December 2022

Abstract

This article describes the synthesis of new chiral 3-(piperidin-3-yl)-1H-indole derivatives (R)-10a-c and (S)-11a-c from the corresponding diastereomers: (3R, 2R) and (3S, 2R)-2-[3-(1H-indol-3-yl)-1-piperidyl]-2-phenyl-acetamides (3R, 2R)-4a, (3R, 2R)-6b, (3R, 2R)-8c and (3S, 2R)-5a, (3S, 2R)-7b, (3S, 2R)-9c. Diastereomers were obtained by N-alkylation of derivatives of racemic 3-(piperidin-3-yl)-1H-indoles 1a-c using (S)-2-(4-toluenesulfonyloxy)-phenylacetic amide (S)–II. The same method was applied to obtain (3R, 2S)-methyl-2-[3-(1H-indole-3-yl)-1-piperidyl]-2-phenylacetate (3R, 2S)-2a and (3S, 2S)-methyl-2-[3-(1H-indole-3-yl)-1-piperidyl]-2-phenylacetate (3S, 2S)-3a diastereomers by treating amine 1a with (R)-2-(4-toluenesulfonyloxy)-phenylacetic acid methylester (R)-I. Systematic studies via single crystal X-ray crystallography were used to determine the molecular structure of the racemates 1a-c and the absolute configuration of the enantiomers. The solid racemates 1b and 1c were “true racemates” crystallizing in a centrosymmetric space group, while 1a formed a racemic conglomerate of homoenantiomeric crystals. The absolute configuration was determined for the enantiomeric pairs (R)-10a/(S)-11a, (R)-10b/(S)-11b, and (R)-12c/(S)-13c, as well as for (3S,2S)-3a. Spectra of 1H, 13CNMR, HPLC, and HRMS for diastereomers and enantiomers were consistent with the determined structures.

1. Introduction

Analogs of 5-hydroxytryptamine and homotryptamine are a subject of research for new drugs that affect the central nervous system through the serotoninergic mechanism and that show multidirectional pharmacological activity [1,2,3,4]. Of particular interest are derivatives with a conformationally limited aminoethyl residue at the 3 position of the indole ring that also exhibit chiral centers in their structures, e.g., I–V, VII (Figure 1). The conformational constraints of the side chain have been shown to be an effective tool to optimize both the activity and selectivity of numerous SERT serotonin transporter protein inhibitor compounds and the 5-HT1A receptor [5,6].
The search for new and more effective drugs for the pharmacotherapy of migraine in the form of sumatriptan analogs (agonists of 5-HT1A receptor) has yielded an analog with reduced conformational aminoethyl portion and an R-configuration, which has exhibited analgesic activity 104 times greater than sumatriptan (Figure 2) [7].
An additional advantage of derivatives with a conformationally constrained amino-ethyl constituent, in addition to their greater biological activity, is their higher stability in the first-pass phase of metabolic biotransformation processes [7,8]. Recently, there has been a significant increase in interest in new ligands with high binding to the 5-HT6 receptor, due to the role of this receptor in patho-mechanisms of depression, schizophrenia, Alzheimer’s disease, and Parkinson’s disease [9]. There are particularly high expectations for these molecules due to their influence on improving cognitive processes and memory [10].
A number of 5-hydroxytryptamine derivatives with constrained conformation of N-arylsulfonyl constituent derivatives that show very high affinity to this receptor have been described (Figure 3) [11,12,13,14,15,16].
The aim of this study was to synthesize and determine the absolute configuration for a number of chiral derivatives of (R)-3-(piperidin-3-yl)-1H-indole (R)-10a-c and (S)-3-(piperidin-3-yl)-1H-indole (S)-11a-c. Diastereomers used as substrates for their synthesis were obtained by the N-alkylation of racemic derivatives of 3-(piperidin-3-yl)-1H-indole 1a-c with the aid of a chiral reagent, (S)-2-(4-toluenesulfonyloxy)-phenylacetic amide S-II. The obtained mixture of diastereomers was chromatographically separated into analytically pure compounds: (3R,2R)-2-[3-(1H-indole-3-yl)-1-piperidyl]-2-phenylacetamide (3R,2R)-4a; (3R,2R)-2-[3-(5-fluoro-1H-indol-3-yl)-1-piperidyl]-2-phenylacetamide (3R,2R)-6b; (3R,2R)-2-[3-(5-methoxy-1H-indol-3-yl)-1-piperidyl]-2-phenylacet-amide (3R,2R)-8c; and the series (3S,2R)-2-[3-(1H-indole-3-yl)-1-piperidyl]-2-phenylacetamide (3S,2R)-5a; (3S,2R)-2-[3-(5-fluoro-1H-indol-3-yl)-1-piperidyl]-2-phenylacetamide (3S,2R)-7b; (3S,2R)-2-[3-(5-methoxy-1H-indol-3-yl)-1-piperidyl]-2-phenylacetamide (3S,2R)-9c.
The hydrogenolysis of the diastereomers obtained above led to the pure enantiomers (R)-3-(piperidin-3-yl)-1H-indole (R)-10a, (R)-5-fluoro-3-(piperidin-3-yl)-1H-indole (R)-10b, (R)-5-methoxy-3-(piperidin-3-yl)-1H-indole (R)-10c, and the series (S)-3-(piperidin-3-yl)-1H-indole (S)-11a, (S)-5-fluoro-3-(piperidin-3-yl)-1H-indole (S)-11b, (S)-5-methoxy-3-(piperidin-3-yl)-1H-indole (S)-11c.
Finally, the absolute configuration was determined for representative compounds. This was preceded by a structural analysis of the solid-phase racemates 1a-c. Structural X-ray studies have shown that racemate 1b (Figure 4), as previously analyzed for 1c, are racemic compounds (“true racemates”) crystallizing in a centrosymmetric space group [17,18].
These results are in contrast to racemate 1a, which was a racemic conglomerate; i.e., as a result of crystallization from methanol, the enantiomers spontaneously separated and produced a phase of a 1:1 mixture of homoenantiomeric crystals. Hence, compound 1a is a mixture of the crystalline compounds (R)-10a and (S)-11a. This was confirmed during measurements performed for a dozen or so crystals from mixture 1a. The absolute configuration was also determined for the pure enantiomers (R)-10a and (S)-11a obtained by applying the procedures described above (Figure 5).
The obtained (R)-10a-c and (S)-11a-c compounds were chiral substrates for the synthesis of ligands with double-binding to the 5-HT1A receptor and the SERT transporter protein as part of the search for new SSRI+ antidepressants within our research.

2. Results and Discussion

2.1. Synthesis

The synthesis of title compounds in the form of pure enantiomers ((R)-3-(piperidin-3-yl)-1H-indole (R)-10a, (R)-5-fluoro-3-(piperidin-3-yl)-1H-indole (R)-10b, (R)-5-methoxy-3-(piperidin-3-yl)-1H-indole (R)-10c and (S)-3-(piperidin-3-yl)-1H-indole (S)-11a, (S)-5-fluoro-3-(piperidin-3-yl)-1H-indole (S)-11b, (S)-5-methoxy-3-(piperidin-3-yl)-1H-indole (S)-11c) within the study was performed according to Scheme 1 and Scheme 2.
Substrates for the synthesis were racemic 3-(piperidin-3-yl)-1H-indole 1a, 5-fluoro-3-(piperidin-3-yl)-1H-indole 1b and 5-methoxy-3-(piperidin-3-yl)-1H-indole 1c, which were obtained according to the formula provided by Gharagozloo [19] and the modifications introduced by prior work [17,18]. The chiral (R)-2-(4-toluenesulfonyloxy)-phenylacetic acid methylester (R)-I, which is essential as a reagent for the reaction, was obtained according to the formulation described by us earlier [20]. The obtained amine 1a was subjected to an N-alkylation reaction with a chiral (R)-I reagent to give a mixture of diastereomers: (3R,2S)-methyl-2-[3-(1H-indole-3-yl)-1-piperidil]-2-phenylacetate (3R,2S)-2a and (3S,2S)-methyl-2-[3-(1H-indole-3-yl)-1-piperidil]-2-phenylacetate (3S,2S)-3a. The content of diastereomers (dr) in the product obtained from the post-reaction mixture was determined by the HPLC method. Separation into analytically pure diastereomers (3R,2S)-2a and (3S,2S)-3a was carried out using a semi-preparative HPLC method. The structure and composition of both diastereomers was confirmed by 1H and 13C NMR, HRMS, and the absolute configuration of (3S, 2S)-3a was determined (Section 3).
To obtain a mixture of diastereomers with higher yields and stability, and which would be easier to separate, an alternative method was applied, where the chiral reagent, (S)-2-(4-toluenesulfonyloxy)-phenylacetic amide (S)-II, was used in the N-alkylation reaction of amines 1a-c; this process being described elsewhere in our paper. The (S)-II compound has been mentioned in prior works, but the respective authors did not provide important physicochemical data, such as melting point and optical rotation [21,22,23]. The reaction of N-alkylation of amines 1a-c with (S)-II led to a mixture of diastereomers in high yield, and the value of dr for these compounds was determined by HPLC method; results are given in Table 1. The obtained diastereomer mixtures were separated by flash chromatography into analytically pure compounds: (3R,2R)-4a, (3R,2R)-6b, (3R,2R)-8c and (3S, 2R)-5a, (3S, 2R)-7b, (3S, 2R)-9c. For individual analytical diastereomer samples, 1H, 13C NMR and HRMS tests were performed, as well as dr value tests by HPLC method as described in Section 3. In both reactions of the formation of diastereomers of the R- (3R, 2S)-2a, (3R, 2R)-4a series and (3R, 2R)-6b, (3R, 2R)-8c and S-(3S, 2S)-3a, (3S, 2R)-5a, (3S, 2R)-7b, (3S, 2R)-9c, a small excess of the S-series diastereomers was been observed, which was probably the result of the stereo induction of the chiral center with (R)-1 or (S)-2 (Table 1).
The obtained analytically pure diastereomers of the series R—(3R,2S)-2a, (3R,2R)-4a, (3R,2R)-6b, (3R,2R)-8c and S—(3S,2S)-3a, (3S,2R)-5a, (3S,2R)-7b, (3S,2R)-9c were subjected to hydrogenation reaction to remove residues of the chiral auxiliary bonded to the nitrogen of the piperidine ring.
The chiral amines of the series (R)-10a-c and (S)-11a-c were obtained with good yields and their structure and purity were confirmed by 1H i 13C NMR, HRMS, HPLC, and X-ray structural analysis for (R)-10a, (R)-10b, (S)-11a, and (S)-11b.
After the isolation of amine (R)-10c and (S)-11c via concentration of the methanol solution, hydrogenolysis and acidification with methanolic HCl resulted in new compounds, in addition to amines (R)-10c and (S)-11c, that were observed in the TLC test. These compounds were isolated, and their structures were proposed via 1H, 13C NMR, HRMS, and ER using HPLC (Scheme 3). X-ray crystallography showed that tetracyclic structures (R)-12c and (S)-13c were formed as a result of intramolecular cyclocondensation reactions of starting compounds. Their absolute structure was then determined (Section 3).
TLC tests related to concentration of solution before addition of HCl/MeOH did not show creation of those new structures, nor did they when a weak acid, e.g., tartaric acid, had been used for acidification. Optical rotation measurements for these compounds showed a reverse polarity rotation with respect to the starting amines (R)-10c and (S)-11c. In the literature, one can find a description of obtaining 11-substituted teracycles of this type, which were obtained by the Pictet–Spengler reaction, where racemic amine 1a condensed with selected aldehydes was a substrate [24,25].

2.2. NMR Spectroscopy Study

Obtained spectra of 1H and 13C-NMR diastereomers of the compounds (3R,2S)-2a, (3S,2S)-3a, (3R,2R)-4a, (3S,2R)-5a, (3R,2R)-6b, (3S,2R)-7b, (3R,2R)-8c, (3S,2R)-9c are consistent with the determined absolute structures. Differences in chemical signal shifts and their appearance indicate stereoisomers. The biggest differences in both proton and carbon spectra were found for C2 and C6 carbons from the C2H2 and C6H2 piperidine rings, which would indicate the essential role of the nitrogen atom in the spatial configuration.
For example, for compounds (3R,2R)-4a and (3S,2R)-5a, chemical shifts were obtained as follows: 13C: (3R,2R)-4a: C2 = 60.353 ppm, (3S,2R)-5a: C2 = 56.959 ppm, Δδ = 3.394; (3R,2R)-4a: C6 = 50.628 ppm, (3S,2R)-5a: C6 = 53.962 ppm, Δδ = 3.334. For other carbons, Δδ did not exceed 0.03 ppm.
We found the following for protons 1H: (3R,2R)-4a: C2Hax = 2.255, (3S,2R)-5a: C2Hax = 1.70–1.92, average 1.81, Δδ ~0.45, (3R,2R)-4a: C2Heq = 3.339 ppm, (3S,2R)-5a: C2Heq = 3.085 ppm, Δδ ~0.25, (3R,2R)-4a: C6Hax = 1.848 ppm, (3S, 2R)-5a: C6Hax = 2.249 ppm, Δδ ~0.40, (3R, 2R)-4a: C6Heq = 2.783 ppm, (3S, 2R)-5a: C6Heq = 3.085 ppm, Δδ ~0.30.
For other protons, Δδ did not exceed 0.1 ppm.
A similar dependency was found for diastereomer ester derivatives (3R, 2S)-2a and (3S, 2S)-3a. For example, the chemical shifts for carbons at the 2- and 6-piperidine positions were as follows: 13C: (3R, 2S)-2a: C2 = 58.050 ppm, (3S, 2S)-3a: C2 = 58.941 ppm, Δδ = 0.891, (3R, 2S)-2a: C6 = 52.167 ppm, (3S, 2S)-3a: C6 = 51.615 ppm, Δδ = 0.552; for other carbons, Δδ did not exceed 0.19 ppm.
We found the following for protons 1H: (3R, 2S)-2a: C2Hax = 2.057 ppm, (3S, 2S)-3a: C2Hax = 2.256 ppm, Δδ = 0.2, (3R, 2S)-2a: C2Heq = 3.086 ppm, (3S, 2S)-3a: C2Heq~3.27 ppm, Δδ~0.2, (3R, 2S)-2a: C6Hax = 2.273 ppm, (3S, 2S)-3a: C6Hax = 1.978 ppm, Δδ = 0.3, (3R, 2S)-2a: C6Hex = 2.928 ppm, (3S, 2S)-3a: C6Heq = 2.828 ppm, Δδ = 0.1.
For other protons, Δδ did not exceed 0.045 ppm (except for C4”H, where Δδ = 0.1).
The configuration of the diastereomeric molecule was similar to the previous structures.
In turn, the proton and carbon spectra of amine hydrochlorides (R)-10a and (S)-11a, (R)-10b and (S)-11b, (R)-10c and (S)-11c, respectively, had the same spectra of enantiomers identical with the spectra of racemic amine hydrochlorides 1a, 1b, 1c.
In turn, the proton and carbon spectra for the (R)-12c and (S)-13c enantiomers were the same and confirmed their structure.

3. Materials and Methods

3.1. General Remarks

Melting points were determined on an Electrothermal iA9200 apparatus with open capillary tubes and are uncorrected. The hydrogenolysis reactions were carried out in a Roth autoclave type 50 S. TLC was performed on 0.25 mm E. Merck silica gel 60 F 254 plates and visualized under UV light (λ = 254 nM) or by staining with p-chloranil ethylacetate solution. Flash chromatography was performed on E Merck 250–400 mesh silica gel 60. The HPLC analyses were performed on a Shimadzu Prominence Preparative Liquid Chromatograph under control of CBM 20A, UV–VIS detector SPD-20A, binary pump LC-20AP, and Fraction Collector FRC-10A apparatus. Chiral HPLC was performed on chiralpak IA 4.6 × 250 mm (Daicel Chemical Industries LTD, Osaka, Japan) column with 225 nm detector.
The NMR spectra were recorded on Varian Unity Plus 500 MHz using CDCl3, D2O or CD3OD as solvents. NMR data are reported as follows: chemical shift (δ) (parts per million, ppm relative to tetramethylsilane used as the internal references), multiplicity; s (singlet), d (doublet), t (triplet), q (quartet), and br (broad); coupling constants (J) are given in Hertz (Hz). All NMR spectra can be found in Supplementary Materials. The HRMS spectra were obtained on a Thermo Q-Exactive mass spectrometer. The optical rotation was performed on a Perkin-Elmer 241 polarimeter at 20 °C. (R)-(-) methyl mandelate and (S)-(+)-mandelate amides were high-grade commercial products purchased from Aldrich and used without further purification.

3.2. X-ray Crystallography

The single crystal X-ray diffraction data were collected at either 293 K or 120 K on a SuperNova diffractometer with CuKα radiation. Some crystals disintegrated on cooling; therefore, their structural analysis was based on measurements at room temperature. The exception was crystal 10a, which underwent a phase transition to give a second polymorph at low temperature. Cell refinement and data collection as well as data reduction and analysis were performed with the CrysAlisPro [26]. Structures were solved with the use of SHELXS program and refined with the SHELXL−2018/3 [27]. All non-hydrogen atoms were refined with anisotropic displacement parameters. The hydrogen atoms were positioned either on the electron difference maps or were calculated from the geometry at idealized positions, depending on the quality of the crystal and diffraction data. The absolute configuration was determined using the Flack method [28,29]. The experimental details and final atomic parameters for all crystal structures have been deposited with the Cambridge Crystallographic Data Centre as supplementary material (ID CCDC No.: 2085100-2085108).

3.3. Synthesis of Compounds

3.3.1. S-(+)-2-(4-toluenesulfonyloxy)-phenylacetic amide (S)-II

To a stirred, cooled (−15 °C) solution of 4-toluenesulfonyl chloride (2.5 g, 13.2 mmol) in dry dichloromethane (20 mL), (S)-(+)-mandelamide (0.5 g, 3.3 mmol) and triethylamine (0.46 mL, 3.3 mmol) were added in one portion. The solution was stirred at −5 to +5 °C for 5 h. The mixture was then filtered and concentrated under reduced pressure. The crude product was purified by flash chromatography (dichloromethane/methanol 98:2, then dichloromethane/ethylacetate 98:2, v/v) to yield the title compound. Yield: 70.6%, M.P. 143.2–143.7 °C, [α] = +29.99°.
1H NMR (500 MHz, CDCl3): δ 7.65 (C2′H,C6′H, [2H], d, 3J = 8.0), 7.2–7.3 (C2H-C6H,C3′H,C5′H, [7H], m), 6.50 (N8H(2), [1H], bs), 6.10 (N8H(1), [1H], bs), 5.72 (C7H, [1H], s), 2.39 (C7′H3, [3H], s).
13C NMR (125 MHz, CDCl3): δ 169.6 (C9, s), 145.4 (C4′, s), 133.6 (C1, s), 132.9 (C1′, s), 129.8 (C3′,C5′, s), 129.4 (C4, s), 128.7 (C3, C5, s), 127.9 (C2′, C6′, s), 127.5 (C2, C6, s), 81.0 (C7, s), 21.6 (C7′, s).
ESI-HRMS m/z: Calcd for C15H16NO4S [M+H]+ 306.08000. Found: 306.07950

3.3.2. General Procedure for the Synthesis of Diasteromers (3R,2S)-2a, (3S,2S)-3a, (3R,2R)-4a, (3S,2R)-5a, (3R,2R)-6b, (3S,2R)-7b, (3R,2R)-8c and (3S,2R)-9c

A suitable 3- (piperidin-3-yl) -1H-indole 1a-c (0.01 m) derivative, chiral reagent (R)-I or (S)-II (0.01 m), and potassium carbonate (0.011 m) were added to 100 mL of acetonitrile. The mixture was stirred at 45 °C; reaction times are given in Table 2. The post-reaction mixture was concentrated dry at 45 °C under vacuum. The residue was pre-purified on a silica gel column using an eluent CH2Cl2/MeOH/TEA 98:2:0.1. A mixture of (3R,2S)-2a and (3S,2S)-3a diastereomers was separated by semipreparative HPLC. The remaining diastereomers were separated on a silica gel column using 50:50 acetone/cyclohexane eluent. Table 1 lists dr for mixtures; in Table 2, m.p., [α] and dr for diastereomers are given. Numbering system, which was used in NMR spectra interpretation of compounds (3R,2S)-2a and (3S, 2S)-3a is shown in Figure 6.
Methyl (2S)-2-[(3R)-3-(1H-indol-3-yl)piperidin-1-yl-2-phenylacetate (3R,2S)-2a
1H NMR (500 MHz, CDCl3): δ 8.00 (NH, [1H], bs), 7.52 (C4″H, [1H], dd, 3J = 8.0, 4J = 1.0), 7.45 (C2′H,C6′H, [2H], dt, 3J = 7.0, 4J = 1.5), 7.22–7.33 (C3′H,C4′H,C5′H,C7″H, [4H], m), 7.13 (C6″H, [1H], m, 3J1 = 8.0, 3J2 = 7.0, 4J = 1.0), 7.05 (C5″H, [1H], m, 3J1 = 8.0, 3J2 = 7.0, 4J = 1.0), 6.98 (C2″H, [1H], bs), 410 (C1H, [1H], s), 3.68 (OCH3, [3H], s), 3.22 (CbH(A), [1H], tt, 3JA-A = 11.0, 3JA-E = 3.5), 3.09 (CaH(E),[1H], m), 2.93 (CeH(E), [1H], pd), 2.27 (CeH(A), [1H], td), 2.06 (CaH(A), CcH(E), [2H], m), 1.73–1.90 (CdH2, [2H], m) 1.55 (CcH(A), [1H], m).
13C NMR (125 MHz, CDCl3): δ 172.4 (C2, s), 136.1 (C7″a, s), 136.1 (C1′, s), 128.8 (C2′,C6′, s), 128.2 (C3′,C5′, s), 128.2 (C4′, s), 126.7 (C3″a, s), 121.8 (C6″, s), 120.4 (C2″, s), 119.5 (C3″, s), 119.1 (C5″, s), 119.0 (C4″, s), 111.1 (C7″, s),74.5 (C1, s), 58.1 (Ca, s), 52.2 (Ce, s), 52.0 (OC3H3, s), 33.8 (Cb, s), 31.1 (Cc, s), 25.4 (Cd, s).
ESI-HRMS m/z: Calcd for C22H25N2O2 [M+H]+ 349.19160. Found: 349.19136
Methyl (2S)-2-[(3S)-3-(1H-indol-3-yl)piperidin-1-yl]-2-phenylacetate (3S,2S)-3a (Figure 7)
1H NMR (500 MHz, CDCl3): δ 8.00 (NH, [1H], bs), 7.63 (C4″H, [1H], d, 3J = 8.0), 7.46 (C2′H,C6′H, [2H], dt, 3J = 8.0, 4J = 2.0), 7.28–7.38 (C3′H, C4′H, C5′H, C7″H, [4H], m), 7.17 (C6″H, [1H], m, 3J1 = 8.5, 3J2 = 7.0, 4J = 1.0), 7.09 (C5″H, [1H], m, 3J1 = 7.5, 3J2 = 7.0, 4J = 1.0), 7.00 (C2″H, [1H], d, 3J = 2.5), 4.09 (C1H, [1H], s), 3.66 (OCH3, [3H], s), 3.22–3.32 (CbH (A), CaH(E), [2H], m, 3JA-A = 11.0), 2.83 (CeH(E), [1H], pd), 2.26 (CaH(A), [1H], t, 2J = 3JA-A = 10.5), 2.07 (CcH(E), [1H], m), 1.98 (CeH(A), [1H], td), 1.68–1.86 (CdH(A),CdH(E), [2H], m), 1.53 (CcH(A), [1H], m).
13C NMR (125 MHz, CDCl3): δ 172.4 (C2, s), 136.2 (C7″a, s), 136.1 (C1′, s), 128.9 (C2′,C6′, s), 128.5 (C3′,C5′, s), 128.2 (C4′, s), 126.7 (C3″a, s), 121.9 (C6″, s), 120.3 (C2″, s), 119.6 (C3″, s), 119.2 (C5″, s), 119.2 (C4″, s), 111.1 (C7″, s), 74.6 (C1, s), 58.9 (Ca, s), 52.0 (OCH3, s), 51.6 (Ce, s), 33.9 (Cb, s), 31.3 (Cc, s), 25.5 (Cd, s).
ESI-HRMS m/z: Calcd for C22H25N2O2 [M+H]+ 349.19160. Found: 349.19136
Crystal data for (3S,2S)-3a. Formula C22H24N2O2; Mw 348.43. Crystal system orthorhombic, space group P212121, unit cell dimensions a = 9.023(2) Å, b = 11.615(3) Å, c = 18.937(4) Å, V = 1984.6(8) Å3, Z = 4, Dcalc = 1.166 g/cm3, μ = 0.594 mm−1, F(000) = 744. θ range 4.66 to 73.946°; reflections collected/independent 7902/3718 [R(int) = 0.0203]. Goodness-of-fit on F2 1.046; final R indices [I > 2σ(I)]: R1 = 0.0356, wR2 = 0.0866; R indices (all data) R1 = 0.0422, wR2 = 0.0950, GOOF = 1.046. CCDC No 2085108.
Figure 7. Perspective drawing of the molecule (3S,2S)-3a.
Figure 7. Perspective drawing of the molecule (3S,2S)-3a.
Ijms 24 00517 g007
Numbering system, which was used in NMR spectra interpretation of compounds (3R,2R)-4a, (3S,2R)-5a, (3R,2R)-6b, (3S,2R)-7b, (3R,2R)-8c and (3S,2R)-9c is shown in Figure 8.
(2R)-2-[(3R)-3-(1H-indol-3-yl)piperidin-1-yl]-2-phenylacetamide (3R,2R)-4a
1H NMR (500 MHz, CDCl3): δ 8.11 (N1″H, [1H], bs), 7.59 (C4″H, [1H], 4d, 3J = 8.0), 7.28–7.36 (C2′-6′H,C7″H, [6H], m), 7.21 (N3H(2), [1H], d, 2J = 4.5), 7.17 (C6″H, [1H], m, 3J1 = 8.0, 3J2 = 7.0, 4J = 1.0), 7.09 (C5″H, [1H], m, 3J1 = 7.5, 3J2 = 7.0, 4J = 1.0), 6.91 (C2″H, [1H], d, 3J = 2.0), 5.83 (N3H(1), [1H], d, 2J = 4.0), 3.97 (C1H, [1H], s), 3.34 (CaH(E), [1H], pd), 3.20 (CbH, [1H], tt, 3JA-A = 11.0, 3JA-E = 5.0), 2.78 (CeH(E), [1H], pd), 2.26 (CaH(A), [1H], t, 2J = 3JA-A = 11.0), 2.09 (CcH(E), [1H], m), 1.85 (CeH(A), [1H], td, 2J = 3JA-A = 11.0, 3JA-E = 3.0), 1.66–1.77 (CdH(E),CdH(A), [2H], m), 1.47 (CcH(A), [1H], kd, 2J = 3JA-A = 11.0, 3JA-E = 5.0).
13C-NMR (125 MHz, CDCl3): δ 174.8 (C2, s), 136.2 (C7″a, s), 135.3 (C1′, s), 129.2 (C2′,C6′, s), 128.4 (C3′,C5′, s), 128.1 (C4′, s), 126.6 (C3″a, s), 122.0 (C6″, s), 120.1 (C2″, s), 119.2 (C5″, s), 119.0 (C3″, s), 118.9 (C4″, s), 111.3 (C7″, s), 75.9 (C1, s), 60.4 (Ca, s), 50.6 (Ce, s), 34.4 (Cb, s), 31.1 (Cc, s), 25.9 (Cd, s).
ESI-HRMS m/z: Calcd for C21H24N3O [M+H]+ 334.19193. Found: 334.19148
(2R)-2-[(3S)-3-(1H-indol-3-yl)piperidin-1-yl]-2-phenylacetamide (3S,2R)-5a
1H-NMR (500 MHz, CDCl3): δ 8.05 (N1″H, [1H], bs), 7.50 (C4″H, [1H], d, 3J = 8.0), 7.26–7.35 (C2′H,C3′H,C5′H,C6′H,C7″H, [5H], m), 7.23 (C4′H, [1H], tt, 3J = 7.0, 4J = 1.5), ~7,14 (N3H(2), [1H] bs*), 7.14 (C6″H, [1H], m, 3J1 = 8.0, 3J2 = 7.0, 4J = 1.0), 7.05 (C5″H, [1H], m, 3J1 = 7.5, 3J2 = 7.5, 4J = 1.0), 6.83 (C2″H, [1H], d, 3J = 2.0), 5.87 (N3H(1), [1H], d, 2J = 2.5), 3.95 (C1H, [1H], s), 3.09 (CaH(E), CbH, CeH(E), [3H], m), 2.25 (CeH(A), [1H], m), 2.08 (CcH(E), [1H], m), 1.70–1.92 (CaH(A), CdH(E), CdH(A), [3H], m), 1.47 (CcH(A), [1H], 4d, 2J = 3JA-A = 11.5, 3JA-E = 5.5).
13C-NMR (125 MHz, CDCl3): δ 174.9 (C2, s), 136.1 (C7″a, s), 135.3 (C1′, s), 129.0 (C2′,C6′, s), 128.5 (C3′, C5′, s), 128.1 (C4′, s), 126.6 (C3″a, s), 121.9 (C6″, s), 120.0 (C2″, s), 119.2 (C3″, s), 119.2 (C5″, s), 118.8 (C4″, s), 111.2 (C7″, s), 76.1 (C1, s), 57.0 (Ca, s), 54.0 (Ce, s), 34.4 (Cb, s), 31.0 (Cc, s), 26.1 (Cd, s).
ESI-HRMS m/z: Calcd for C21H24N3O [M+H]+ 334.19193. Found: 334.19147
(2R)-2-[(3R)-3-(5-fluoro-1H-indol-3-yl)piperidin-1-yl]-2-phenylacetamide (3R,2R)-6b
1H-NMR (500 MHz, CDCl3): δ 8.13 (N1″H, [1H], bs), 7.28–7.38 (C2′-6′H, [5H], m), 7.24 (C7″H, [1H], dd, 3J = 8.5, 4JH-F = 4.5), 7.20 (C4″H, [1H], dd, 3JH-F = 9.5, 4J = 2.5), ~7.18 (N3H(2), [1H], bs), 6.97 (C2″H, [1H], d, 3J = 2.5), 6.92 (C6″H, [1H], td, 3J = 9.0, 4J = 2.5), 5.72 (N3H(1), [1H], d 3J = 4.5), 3.97 (C1H, [1H], s), 3.30 (CaH(E), [1H], pd), 3.12 (CbH, [1H], tt, 3JA-A = 11.5, 3JA-E = 3.5), 2.79 (CeH(E), [1H], pd), 2.24 (CaH(A), [1H], t, 2J = 3JA-A = 11.5), 2.07 (CcH(E), [1H], m), 1.86 (CeH(A), [1H], td, 2J = 3JA-A = 11.0, 3JA-E = 3.0), 1.66–1.78 (CdH2, [2H], m), 1.43 (CcH(A), [1H], kd, 2J = 3JA-A = 11.5, 3JA-E = 5.0).
13C-NMR (125 MHz, CDCl3): δ 174.6 (C2, s), 157.6 (C5″, d, 1J = 234.5), 135.3 (C1′, s), 132.7 (C7″a, s), 129.2 (C2′, C6′, s), 128.5 (C3′, C5′, s), 128.2 (C4′, s), 127.0 (C3″a, d, 3J = 9.6), 121.9 (C2″, s), 119.2 (C3″, d, 4J = 4.6), 111.9 (C7″, d, 3J = 9.6), 110.4 (C6″, d, 2J = 26.4), 103.8 (C4″, d, 2J = 23.4), 75.9 (C1, s), 60.1 (Ca, s), 50.7 (Ce, s), 34.4 (Cb, s), 31.1 (Cc,s), 25.8 (Cd, s).
ESI-HRMS m/z: Calcd for C21H23FN3O [M+H]+ 352.18251. Found: 352.18202
(2R)-2-[(3S)-3-(5-fluoro-1H-indol-3-yl)piperidin-1-yl]-2-phenylacetamide (3S, 2R)-7b
1H-NMR (500 MHz, CDCl3): δ 8.07 (N1″H, [1H], bs), 7.28–7.35 (C2′, 3′, 5′, 6′H, [4H], m), 7.25 (C4′H, [1H], tt, 3J = 8.5), 7.19 (C7″H, [1H], dd, 3J = 9.0, 4JH-F = 4.5), ~7.12 (N3H(2), [1H], bs), 7.11 (C4″H, [1H], dd, 3JH-F = 9.5, 4J = 2.5), 6.88 (C2″H, C6″H, [2H], m), 5.75 (N3H(1), [1H], d, 3J = 3.0), 3.94 (C1H, [1H], s), 3.09 (CaH(E), [1H], pd), 2.98–3.07 (CbF, CeH(E), [2H], m), 2.24 (CeH(A), [1H], td, 2J = 3JA-A = 11.5, 3JA-E = 3.5), 2.07 (CcH(E), [1H], m), 1.76–1.90 (CaH(A), CdH2, [3H], m), 1.46 (CcH(A), [1H], kd, 2J = 3JA-A = 11.5, 3JA-E = 5.0).
13C-NMR (125 MHz, CDCl3): δ 174.8 (C2, s), 157.5 (C5″, d, 1J = 234.3), 135.4 (C1′, s), 132.6 (C7″a, s), 128.9 (C2′, C6′, s), 128.5 (C3′, C5′, s), 128.2 (C4′, s), 126.9 (C3″a, d, 3J = 9.6), 121.9 (C2″, s), 119.3 (C3″, d, 4J = 4.8), 111.8 (C7″, d, 3J = 9.8), 110.3 (C6″, d, 2J = 26.3), 103.7 (C4″, d, 2J = 23.5), 76.1 (C1, s), 56.8 (Ca, s), 54.0 (Ce, s), 34.4 (Cb, s), 31.0 (Cc, s), 26.1 (Cd, s).
ESI-HRMS m/z: Calcd for C21H23FN3O [M+H]+ 352.18251. Found: 352.18197
(2R)-2-[(3R)-3-(5-methoxy-1H-indol-3-yl)piperidin-1-yl]-2-phenylacetamide (3R,2R)-8c
1H-NMR (500 MHz, CDCl3): δ 7.98 (N1″H, [1H], bs), 7.29–7.39 (C2′-6′H, [5H], m), 7.24 (C7″H, [1H], d, 3J = 9.0), 7.19 (N3H(2), [1H], bs), 7.04 (C4″H, [1H], d, 4J = 2.5), 6.93 (C2″H, [1H], d, 3J = 2.5), 6.86 (C6″H, [1H], dd, 3J = 9.0, 4J = 2.5), 5.75 (N3H(1), [1H], d, 2J = 4.0), 3.97 (C1H, [1H], s), 3.86 (OCH3, [3H], s), 3.53 (CaH(E), [1H], pd), 3.15 (CbH, [1H], tt, 2J = 3JA-A = 15.0), 2.79 (CeH(E), [1H], pd), 2.25 (CaH(A), [1H], t, 2J = 3JA-A = 11.0), 2.09 (CcH(E), [1H],m), 1.85 (CeH(A), [1H], m), 1.65–1.80 (CdH, [2H], m), 1.44 (CcH(A), [1H], kd, 2J = 3JA-A = 11.5, 3JA-E = 5.0).
13C-NMR (125 MHz, CDCl3): δ 174.5 (C2, s), 153.9 (C5″, s), 135.3 (C1′, s), 131.4 (C7″a, s), 129.2 (C2′, C6′, s), 128.5 (C3′, C5′, s), 128.1 (C4′, s), 127.0 (C3″a, s), 120.9 (C2″, s), 119.0 (C3″, s), 112.1 (C7″, s), 112.0 (C6″, s), 101.1 (C4″, s), 75.9 (C1, s), 60.2 (Ca, s), 56.1 (OCH3, s), 50.7 (Ce, s), 34.5 (Cb, s), 31.1 (Cc, s), 26.0 (Cd, s).
ESI-HRMS m/z: Calcd for C22H26N3O2 [M+H]+ 364.20250. Found: 364.20180
(2R)-2-[(3S)-3-(5-methoxy-1H-indol-3-yl)piperidin-1-yl]-2-phenylacetamide (3S,2R)-9c
1H-NMR(500 MHz, CDCl3): δ 7.84 (N1″H, [1H], bs), 7.36 (C2′H, C6′H, [2H], dt, 3J = 7.0, 4J = 1.5), 7.30 (C3′H, C5′H, [2H], tt, 3J = 7.0, 4J = 1.5), 7.26 (C4′H, [1H], tt, 3J = 7.0, 4J = 1.5), 7.19 (C7″H, [1H], dd, 3J = 8.5, 5J = 0.5), 7.09 (N3H(2), [1H], bs), 6.89 (C4″H, [1H], d, 4J = 2.5), 6.85 (C2′H, [1H], d, 3J = 2.5), 6.81 (C6″H, [1H], dd, 3J = 8.5, 4J = 2.5), 5.55 (N3H(1), [1H], bs), 3.93 (C1H, [1H], s), 3.81 (OCH3), [3H], s), 3.03–3.16 (CaH(E),CeH(E),CbH, [3H], m), 2.24 (CeH(A), [1H], td, 2J = 3JA-A = 11.0, 3JA-E = 3.5), 2.06–2.14 (Cc(E), [1H], m), 1.78–1.91 (CaH(A), CdH2, [3H], m), 1.50 (CcH(A), [1H], kd, 2J = 3JA-A = 11.5, 3JA-E = 5.0).
13C-NMR (125 MHz, CDCl3): δ 175.0 (C2, s), 153.7 (C5″, s), 135.6 (C1′, s), 131.2 (C7″a, s), 128.9 (C2′, C6′, s), 128.5 (C3′, C5′, s), 128.1 (C4′, s), 126.9 (C3″a, s), 120.9 (C2″, s), 118.7 (C3″, s), 112.2 (C7″, s), 111.9 (C6″, s), 100.6 (C4″, s), 76.2 (C1, s), 57.0 (Ca, s), 55.9 (OCH3, s), 54.0 (Ce, s), 34.3 (Cb, s), 30.8 (Cc, s), 26.0 (Cd, s).
ESI-HRMS m/z: Calcd for C22H26N3O2 [M+H]+ 364.20250. Found: 364.20188

3.3.3. General Procedure for the Synthesis of Chiral (R) and (S) 3-(piperidin-3-yl) -1H-indol derivatives (R)-10a-c and (S)-11a-c

An ampoule with the appropriate diastereomer (0.014m), Pd/C 10% 0.3 g catalyst, and 180 mL methanol were placed in the autoclave. The hydrogenolysis process was carried out at 30 °C under the pressure of 1–3 atm. The mixture was blended for 8 h. The catalyst was filtered off from the postreaction mixture and the filtrate was cooled down; after that, it was acidified with a methanolic HCl solution to a pH of about 2 and concentrated at 45 °C under vacuum until dry. After concentrating solutions of (R)-10a or (S)-11a compounds to dryness, 5 mL of absolute EtOH and Et2O were added to the remaining part to obtain a cloudy structure in the solutions, which were then placed in a refrigerator. As for the (R)-10-b, (S)-11-b enantiomers, after concentration to dryness, 10 mL of acetone was added to the residue, which was then placed in the refrigerator. In the case of (R)-10c and (S)-11c compounds, the solutions were concentrated to a volume of 10 mL and placed in a refrigerator, and the isolated crystals (R)-12-c or (S)-13c were filtered off. Then, 20 mL of acetone was added to the filtrate and placed in a refrigerator to obtain salt (R)-10c and (S)-11c. The reaction yield, melting temp, er, and [α] are given in Table 3. Numbering system, which was used in NMR spectra interpretation of compounds (R)-10a-c and (S)-11a-c is shown in Figure 9.
(3R)-3-(piperidin-3-yl)-1H-indole hydrochloride (R)-10a (Figure 10)
1H-NMR (500 MHz, D2O): δ 7.70 (C4″H, [1H], dd, 3J = 8.0), 7.53 (C7″H, [1H], m, 3J = 7.0, 4J = 0.5), 7.27 (C6″H, [1H], m), 7.21 (C2″H, [1H], s), 7.18 (C5″H, [1H], m), 3.57 (CaH(E), [1H], m), 3.47 (CeH(E), [1H], m), 3.29 (CbH(A), [1H], tt, 3JA-A = 12.0, 3JA-E = 4.0), 2.98 (CaH(A), CeH(A), [2H], m), 2.14 (CcH(E), [1H], m), 2.04 (CdH(E), [1H], m), 1.89 (CdH(A), [1H], m), 1.74 (CcH(A), [1H], m).
13C-NMR (125 MHz, D2O): δ 135.7 (C7″a, s), 124.9 (C3″a, s), 121.8 (C6″, s), 121.6 (C2″, s), 119.0 (C5″, s), 118.0 (C4″, s), 114.4 (C3″, s), 111.7 (C7″, s), 48.3 (Ca,s), 43.7 (Ce, s), 30.6 (Cb,s), 28.3 (Cc, s), 21.9 (Cd, s).
ESI-HRMS m/z: Calcd for C13H17N2 [M+H]+ 201.13917. Found: 201.13874
HPLC separation method: LUX Cellulose-3 5 µm, 250 × 4.6 mm column; T = 35 °C; phase A: 0.05% diisopropylamine in ethanol; phase B: hexane; flow: 1 mL/min, 40% of phase B, isocratic elution; detection at 220 nm.
Crystal data for orthorhombic polymorph of (R)-10a. Formula C13H17N2Cl, Mw = 236.74. Crystal system orthorhombic at 293 K, space group P212121, unit cell dimensions a = 6.173(2) Å, b = 10.788(3) Å, c = 18.982(4) Å, V = 1264.1(6) Å3, Z = 4, Dcalc = 1.244 g/cm3, μ = 2.457 mm−1, F(000) = 504. θ range for data collection 4.66 to 76.14; reflections collected/independent 8343/2605 [R(int) = 0.0285]. Goodness-of-fit on F2 1.266, final R indices [I > 2σ(I)] R1 = 0.0346, wR2 = 0.0882; R indices (all data) R1 = 0.0415, wR2 = 0.0939. CCDC No. 2085101.
Crystal data for monoclinic polymorph of (R)-10a. Formula C13H17N2Cl, Mw = 236.74. Crystal system monoclinic at 120K, space group P21, unit cell dimensions a = 6.091(1) Å, b = 18.884(3) Å, c = 10.795(2) Å, β = 90.57(2)°, V = 1241.6(4) Å3, Z = 4, Dcalc = 1.266 g/cm3, μ = 2.502 mm−1, F(000) = 504. θ range for data collection 4.66 to 73.28°; reflections collected/independent 3220/2645 [R(int) = 0.019]. Goodness-of-fit on F2 1.202; final R indices [I > 2σ(I)] R1 = 0.0416, wR2 = 0.0891, R indices (all data) R1 = 0.0503, wR2 = 0.1111. CCDC No. 2085100.
Figure 10. Perspective view of molecules: (R)-10a in orthorhombic (a) and monoclinic (b) polymorph.
Figure 10. Perspective view of molecules: (R)-10a in orthorhombic (a) and monoclinic (b) polymorph.
Ijms 24 00517 g010
(3S)-3-(piperidin-3-yl)-1H-indole hydrochloride (S)-11a (Figure 11)
1H-NMR (500 MHz, D2O): δ 7.70 (C4″H, [1H], dd, 3J = 8.0), 7.53 (C7″H, [1H], m, 3J = 7.0, 4J = 0.5), 7.27 (C6″H, [1H], m), 7.20 (C2″H, [1H], s), 7.18 (C5″H, [1H], m), 3.57 (CaH(E), [1H], m), 3.47 (CeH(E), [1H], m), 3.28 (CbH(A), [1H], tt, 3JA-A = 12.0, 3JA-E = 4.0), 2.99 (CaH(A), CeH(A), [2H], m), 2.14 (CcH(E), [1H], m), 2.05 (CdH(E), [1H], m), 1.89 (CdH(A), [1H], m), 1.76 (CcH(A), [1H], m).
13C-NMR (125 MHz, D2O): δ 135.7 (C7″a, s), 124.9 (C3″a, s), 121.8 (C6″, s), 121.6 (C2″, s), 119.0 (C5″, s), 118.0 (C4″, s), 114.4 (C3″, s), 111.7 (C7″, s), 48.3 (Ca,s), 43.7 (Ce, s), 30.6 (Cb,s), 28.3 (Cc, s), 21.9 (Cd, s).
ESI-HRMS m/z: Calcd for C13H17N2 [M+H]+ 201.13917. Found: 201.13874
HPLC separation method: LUX Cellulose-3 5 µm, 250 × 4.6 mm column; T = 35 °C; phase A: 0.05% diisopropylamine in ethanol; phase B: hexane; flow: 1 mL/min, 40% of phase B, isocratic elution; detection at 220 nm.
Crystal data for (S)-11a. Formula C13H17N2Cl, Mw = 236.74. Crystal system orthorhombic, space group P212121, unit cell dimensions a = 6.181(1) Å, b = 10.795(2) Å, c = 18.967(3) Å, V = 1265.6(4) Å3, Z = 4, Dcalc = 1.242 g/cm3, μ = 2.455 mm−1, F(000) = 504. θ range for data collection 4.66 to 73.28°; reflections collected/independent 3248/2162 [R(int) = 0.0263]. Goodness-of-fit on F2 1.116; final R indices [I > 2σ(I)] R1 = 0.0427, wR2 = 0.0878; R indices (all data) R1 = 0.0576, wR2 = 0.1138. CCDC No. 2085102.
Figure 11. Perspective view of molecule (S)-11a.
Figure 11. Perspective view of molecule (S)-11a.
Ijms 24 00517 g011
(3R)-5-fluoro-3-(piperidin-3-yl)-1H-indole hydrochloride (R)-10b (Figure 12)
1H-NMR (500 MHz, D2O): δ 7.43 (C7″H, [1H], 4d, 3J = 9.0, 4JH-F = 5.0, 5J = 0.5), 7.34 (C4″H, [1H], 4d, 3JH-F = 10.0, 4J = 2.5, 5J = 0.5), 7.24 (C2″H, [1H], s), 7.02 (C6″H, [1H], 8d, 3J = 9.5, 3JH-F = 8.0, 4J = 2.5, 5J = 0.5), 3.56 (CaH(E). [1H], m), 3.49 (CeH(E), [1H], m), 3.22 (CbH, [1H], tt, 3JA-A = 12.0, 3JA-E = 3.5), 3.01 (CeH(A), [1H], td, 2J = 3JA-A = 13.0, 3JA-E = 3.5), 2.98 (CaH(A), [1H], t, 2J = 3JA-A = 12.5), 2.01–2.14 (CcH(E),CdH(E), [2H], m), 1.83–1.95 (CdH(A), [1H], m), 1.72 (CcH(A), [1H], kd, 2J = 3JA-A = 12.0, 3JA-E = 4.0).
13C-NMR (125 MHz, D2O): δ 156.9 (C5″, d, 1J = 231.9), 132.3 (C3″, s), 125.1 (C3″a, d, 3J = 9.9), 123.3 (C2″, s), 114.6 (C7″a, d, 4J = 4.8), 112.6 (C7″, d, 3J = 9.9), 109.8 (C6″, d, 2J = 26.4), 102.5 (C4″, d, 2J = 23.8), 48.2 (Ca, s), 43.7 (Ce, s), 30.6 (Cb, s), 28.2 (Cc, s), 21.9 (Cd, s).
ESI-HRMS m/z: Calcd for C13H16FN2 [M+H]+ 219.12975. Found: 219.12935
HPLC separation method: LUX Cellulose-3 5 µm, 250 × 4.6 mm column; T = 35 °C; phase A: 0.05% diisopropylamine in ethanol/methanol 80/20; phase B: hexane; flow: 0.5 mL/min, 92% of phase B, isocratic elution; detection at 220 nm.
Crystal data for (R)-10b. Formula C13H16FN2Cl; Mw 254.73. Crystal system orthorhombic, space group P212121, unit cell dimensions a = 5.510(1) Å, b = 11.905(2) Å, c = 19.148(3) Å, V = 1256.0(4) Å3, Z = 4, Dcalc = 1.347 g/cm3, μ = 2.631 mm−1, F(000) = 536. θ range for data collection 4.37 to 76.33°; reflections collected/independent 8559/2577 [R(int) = 0.0341]. Goodness-of-fit on F2 1.156; final R indices [I > 2σ(I)] R1 = 0.0308, wR2 = 0.0715, R indices (all data) R1 = 0.0385, wR2 = 0.0964. CCDC No. 2085104.
Crystal data for racemic 1b. Formula C13H16FN2Cl; Mw 254.73. Crystal system monoclinic, space group P21/c, unit cell dimensions a = 10.736(3) Å, b = 6.117(2) Å, c = 20.151(4) Å, β = 97.84(3)°, V = 1311.0(6) Å3, Z = 4, Dcalc = 1.291 g/cm3, μ = 2.521 mm−1, F(000) = 536. θ range 4.16 to 73.53°; reflections collected/independent 4524/2572 [R(int) = 0.0244]. Goodness-of-fit on F2 1.067; final R indices [I > 2σ(I)]: R1 = 0.0456, wR2 = 0.1161; R indices (all data) R1 = 0.0536, wR2 = 0.1254. CCDC No. 2085103. See Figure 4, Perspective view of molecule 1b in racemic crystal.
Figure 12. View of molecular structure of enantiomeric fluoro- derivative (R)-10b.
Figure 12. View of molecular structure of enantiomeric fluoro- derivative (R)-10b.
Ijms 24 00517 g012
(3S)-5-fluoro-3-(piperidin-3-yl)-1H-indole hydrochloride (S)-11b (Figure 13)
1H-NMR (500 MHz, D2O): δ 7.44 (C7″H, [1H], 4d, 3J = 9.0, 4JH-F = 5.0, 5J = 0.5), 7.35 (C4″H, [1H], 4d, 3JH-F = 10.0, 4J = 2.5, 5J = 0.5), 7.24 (C2″H, [1H], s), 7.03 (C6″H, [1H], 8d, 3J = 9.5, 3JH-F = 8.0, 4J = 2.5, pJ = 0.5), 3.56 (CaH(E). [1H], m), 3.49 (CeH(E), [1H], m), 3.22 (CbH, [1H], tt, 3JA-A = 12.0, 3JA-E = 3.5), 3.01 (CeH(A), [1H], td, 2J = 3JA-A = 13.0, 3JA-E = 3.5), 2.98 (CaH(A), [1H], t, 2J = 3JA-A = 12.5), 2.01–2.14 (CcH(E),CdH(E), [2H], m), 1.83–1.95 (CdH(A), [1H], m), 1.72 (CcH(A), [1H], kd, 2J = 3JA-A = 12.0, 3JA-E = 4.0).
13C-NMR (125 MHz, D2O): δ 156.9 (C5″, d, 1J = 231.9), 132.3 (C3″, s), 125.1 (C3″a, d, 3J = 9.9), 123.3 (C2″, s), 114.6 (C7″a, d, 4J = 4.8), 112.6 (C7″, d, 3J = 9.9), 109.8 (C6″, d, 2J = 26.4), 102.5 (C4″, d, 2J = 23.8), 48.2 (Ca, s), 43.7 (Ce, s), 30.6 (Cb, s), 28.2 (Cc, s), 21.9 (Cd, s).
ESI-HRMS m/z: Calcd for C13H16FN2 [M+H]+ 219.12975. Found: 219.12936
HPLC separation method: LUX Cellulose-3 5 µm, 250 × 4.6 mm column; T = 35 °C; phase A: 0.05% diisopropylamine in ethanol/methanol 80/20; phase B: hexane; flow: 0.5 mL/min, 92% of phase B, isocratic elution; detection at 220 nm.
Crystal data for (S)-11b. Formula C13H16N2FCl; Mw 254.73. Crystal system orthorhombic, space group P212121, unit cell dimensions a = 5.499(1) Å, b = 11.719(2) Å, c = 19.103(3) Å, V = 1231.1(4) Å3, Z = 4, Dcalc = 1.374 g/cm3, μ = 2.685 mm−1, F(000) = 536. θ range for data collection 4.43 to 76.35; reflections collected/independent 8080/2514 [R(int) = 0.0352]. Goodness-of-fit on F2 1.136; final R indices [I > 2σ(I)] R1 = 0.0277, wR2 = 0.0648, R indices (all data) R1 = 0.0365, wR2 = 0.0764. CCDC No. 2085105.
Figure 13. View of molecular structure of enantiomeric fluoro- derivative (S)-11b.
Figure 13. View of molecular structure of enantiomeric fluoro- derivative (S)-11b.
Ijms 24 00517 g013
(3R)-5-methoxy-3-(piperidin-3-yl)-1H-indole hydrochloride (R)-10c
1H-NMR (500 MHz, D2O): δ 7.43 (C7″H, [1H], dd, 3J = 9.0, 4J = 0.5), 7.23 (C2″H, [1H], s), 7.18 (C4″H, [1H], d, 4J = 2.5), 6.93 (C6″H, [1H], dd, 3J = 9.0, 4J = 2.5), 3.90 (OCH3, [3H], s), 3.63 (CaH(E), [1H], m), 3.51 (CeH(E), [1H], m), 3.32 (CbH, [1H], tt, 3JA-A = 12.0, 3JA-E = 4.0), 3.08 (CaH(A), [1H], t, 2J = 3JA-A = 12.5), 3.06 (CeH(A), [1H], td, 2J = 3JA-A = 13.0, 3JA-E = 3.0), 2.22 (CcH(E), [1H], m), 2.09 (CdH(E), [1H], m), 1.93 (CdH(A), [1H], m), 1.81 (CcH(A), [1H], kd, 2J = 3JA-A = 13.0, 3JA-E = 3.5).
13C-NMR (125 MHz, D2O): δ 153.0 (C5″, s), 131.6 (C7″a, s), 125.7 (C3″a, s), 123.0 (C2″, s), 114.8 (C3″, s), 113.1 (C6″, s), 112.0 (C7″, s), 100.9 (C4″, s), 56.3 (OCH3, 2s), 48.7 (Ca, s), 44.2 (Ce, s), 31.0 (Cb, s), 28.9 (Cc, s), 22.4 (Cd, s).
ESI-HRMS m/z: Calcd for C14H19N2O [M+H]+ 231.14973. Found: 231.14941
HPLC separation method: LUX Cellulose-3 5 µm, 250 × 4.6 mm column; T = 35 °C; phase A: 0.05% diisopropylamine in ethanol; phase B: hexane; flow: 1 mL/min, 80% of phase B, isocratic elution; detection at 220 nm.
(3S)-5-methoxy-3-(piperidin-3-yl)-1H-indole hydrochloride (S)-11c
1H-NMR (500 MHz, D2O): δ 7.46 (C7″H, [1H], d, 3J = 9.0), 7.27 (C2″H, [1H], s), 7.22 (C4″H, [1H], d, 4J = 2.5), 6.96 (C6″H, [1H], dd, 3J = 9.0, 4J = 2.5), 3.90 (OCH3, [3H], s), 3.63 (CaH(E), [1H], m), 3.51 (CeH(E), [1H], m), 3.32 (CbH, [1H], tt, 3JA-A = 12.0, 3JA-E = 4.0), 3.08 (CaH(A), [1H], t, 2J = 3JA-A = 12.5), 3.06 (CeH(A), [1H], td, 2J = 3JA-A = 13.0, 3JA-E = 3.0), 2.22 (CcH(E), [1H], m), 2.09 (CdH(E), [1H], m), 1.93 (CdH(A), [1H], m), 1.81 (CcH(A), [1H], kd, 2J = 3JA-A = 13.0, 3JA-E = 3.5).
13C-NMR (125 MHz, D2O): δ 153.0 (C5″, s), 131.6 (C7″a, s), 125.7 (C3″a, s), 123.0 (C2″, s), 114.8 (C3″, s), 113.1 (C6″, s), 112.0 (C7″, s), 100.9 (C4″, s), 56.3 and 56.3 (OCH3, 2s*), 48.7 (Ca, s), 44.2 (Ce, s), 31.0 (Cb, s), 28.9 (Cc, s), 22.4 (Cd, s).
ESI-HRMS m/z: Calcd for C14H19N2O [M+H]+ 231.14973. Found: 231.14931
HPLC separation method: LUX Cellulose-3 5 µm, 250 × 4.6 mm column; T = 35 °C; phase A: 0.05% diisopropylamine in ethanol; phase B: hexane; flow: 1 mL/min, 80% of phase B, isocratic elution; detection at 220 nm.
Numbering system for NMR spectra interpretation of compounds (R)-12c and (S)-13c is shown in Figure 14.
(R)-5-methoxy-9,12-diazatetracyclo[10.3.1.02,10.03,8]hexadeca-2(10),3(8),4,6-tetraene hydrochloride (R)-12c (Figure 15)
1H-NMR (500 MHz, MeOD): δ 7.27 (C7′H, [1H], dd, 3J = 8.5, 5J = 0.5), 6.99 (C4′H, [1H], d, 4J = 2.5), 6.80 (C6′H, [1H], dd, 3J = 8.5, 4J = 2.5), 4.86 (C7H(2), [1H], d, 2J = 16.5), 4.47 (C7H(1), [1H], 2J = 16.5), 3.81 (OCH3, [3H], s), 3.68 (C2H(2), [1H], dd, 2J = 12.5, 3J = 3.0), 3.49–3.57 (C2H(1),C3H,C6H2, [4H], m), 1.95–2.03 (C4H(2), [1H] m), 1.83–1.90 (C4H(1), [1H], m), 1.60–1.72 (C5H2, [2H], m).
13C-NMR (125MHz, MeOD): δ 155.7 (C5′, s), 133.6 (C7′a, s), 128.0 (C2′, s), 126.5 (C3′a, s), 113.3 (C6′, s), 113.1 (C7′, s), 110.4 (C3′, s), 100.8 (C4′, s), 56.3 (OCH3, s), 55.5 (C6, s), 53.8 (C2, s), 50.5 (C7, s), 26.8 (C4, s), 26.4 (C3, s), 17.5 (C5, s).
ESI-HRMS m/z: Calcd for C15H19N2O [M+H]+ 243,14973. Found: 243,14919
Crystal data for (R)-12c. Formula C15H19N2OCl; Mw 278.77. Crystal system orthorhombic, space group P212121, unit cell dimensions a = 5.670(1) Å, b = 7.534(1) Å, c = 32.732(4) Å, V = 1398.2(4) Å3, Z = 4, Dcalc = 1.324 g/cm3, μ = 2.360 mm−1, F(000) = 592. θ range for data collection 5.41 to 76.46°; reflections collected/independent 9422/2875 [R(int) = 0.0263]. Goodness-of-fit on F2 1.112; final R indices [I > 2σ(I)] R1 = 0.0293, wR2 = 0.0692, R indices (all data) R1 = 0.0357, wR2 = 0.0797. CCDC No. 2085106.
Figure 15. Perspective view of enantiomeric tetracyclic molecules (R)-12c and (S)-13c.
Figure 15. Perspective view of enantiomeric tetracyclic molecules (R)-12c and (S)-13c.
Ijms 24 00517 g015
(S)-5-methoxy-9,12-diazatetracyclo[10.3.1.02,10.03,8]hexadeca-2(10),3(8),4,6-tetraene hydrochloride (S)-13c (Figure 15)
1H-NMR (500 MHz, MeOD): δ 7.26 (C7′H, [1H], dd, 3J = 8.5, 5J = 0.5), 7.07 (C4′H, [1H], dd, 3J = 2.5, 4J = 0.5), 6.79 (C6′H, [1H], 4d, 3J = 8.5, 4J = 2.5, 5J = 0.5), 3.81 (OCH3, [3H], s), 3.58 (C7H(2), [1H], m), 3.43–3.60 (C7H(1), [1H], m), 3.26–3.35 (C2H(2), [1H], m), 2.57–3.09 (C2H(1),,C6H(1), [2H], m), 2.20 (C6(1), [1H], m, 2.05–2.11 (C4H(2), [1H], m), 1.91–2.02 (C4H(1), [1H], m), 1.81–1.92 (C5H2, [2H], m).
13C-NMR (125MHz, MeOD): δ 155.7 (C5′, s), 133.6 (C7′a, s), 128.0 (C2′, s), 126.5 (C3′a, s), 113.3 (C6′, s), 113.1 (C7′, s), 110.4 (C3′, s), 100.8 (C4′, s), 56.3 (OCH3, s), 55.5 (C6, s), 53.8 (C2, s), 50.5 (C7, s), 26.8 (C4, s), 26.4 (C3, s), 17.5 (C5, s).
ESI-HRMS m/z: Calcd for C15H19N2O [M+H]+ 243.14973. Found: 243.14708
Crystal data for (S)-13c. Formula C15H19N2OCl; Mw 278.77. Crystal system orthorhombic, space group P212121, unit cell dimensions a = 5.583(1) Å, b = 7.486(1) Å, c = 32.589(3) Å,V = 1362.0(3) Å3, Z = 4, Dcalc = 1.359 g/cm3, μ = 2.423 mm−1, F(000) = 592. θ range for data collection 5.43 to 76.64°; reflections collected/independent 19,347/2830 [R(int) = 0.0507]. Goodness-of-fit on F2 1.078; final R indices [I > 2σ(I)] R1 = 0.0269, wR2 = 0.0609, R indices (all data) R1 = 0.0285, wR2 = 0.0621. CCDC No. 2085107.

4. Conclusions

N-alkylation reactions of 3-(piperidin-3-yl)-1H-indole 1a with (R)-2-(4-toluenesulfonyloxy)-phenyl acetic acid methyl ester (R)-I led to the formation of a mixture of diastereomers (3R, 2S)-methyl-2-[3-(1H-indol-3-yl)-1-piperidyl}-2-phenyl-acetamide (3R,2S)-2a and diastereomer (3S,2S)-3a. In the next step, to improve their purity (dr) and their easier separation into the N-alkylation reaction of the 1a-c derivatives, (S)-(+)-2-(4-toluenesulfonyloxy)-phenylacetic amide (S)-II was used. Mixtures of the diastereomers of the series (3R,2R)-2-[3-(1H-indol-3-yl)-1-piperidyl]-2-phenyl acetamides (3R,2R)-4a, (3R,2R)-6b, (3R,2R)-8c and of the series (3S,2R)-2-[3-(1H-indol-3-yl)-1-piperidyl]-2-phenyl acetamides (3S,2R)-5a, (3S,2R)-7b, (3S,2R)-9c were obtained. Column chromatography was used to separate the diastereomers, and analytically pure compounds were obtained and subjected to hydrogenolysis to give the final (R)-3-(piperidin-3-yl)-1H-indole (R)-10 a-c and a series of (S)-3-(piperidine)-3-yl)-1H-indole (S)-11a-c. During isolation, after the hydrogenolysis of (3R,2R)-8c and (3S,2R)-9c diastereomers, new (R)-12c and (S)-13c compounds were obtained in addition to amines (R)-10c and (S)-11c, the structures of which have been confirmed. The structure of the compounds was tetracyclic. The structure of all the new compounds obtained was confirmed by spectroscopy tests 1H and 13C NMR, HRMS, HPLC, dr, ee.
Finally, the absolute configuration for the enantiomeric pairs (R)-10a/(S)-11a, (R)-10b/(S)-11b and (R)-12c/(S)-13c, as well for (3S,2S)-3a was determined using anomalous dispersion effect observed in X-ray crystallography.

Supplementary Materials

The supporting information can be downloaded at: https://www.mdpi.com/article/10.3390/ijms24010517/s1.

Author Contributions

Conceptualization, M.K.; synthesis of compounds M.K., G.Ś. and F.H.; methodology, investigation, and data analysis, M.K., G.Ś., J.K., P.P., I.M., A.E.K. and F.H.; writing—original draft preparation, M.K.; writing—review and editing, F.H. and G.Ś. All authors have read and agreed to the published version of the manuscript.

Funding

This research was funded by the Polish National Science Center, grant OPUS 6, No. UMO-2013/11/B/NZ7/01638.

Institutional Review Board Statement

Not applicable.

Informed Consent Statement

Not applicable.

Data Availability Statement

Data are contained within the article or supplementary material.

Conflicts of Interest

The authors declare no conflict of interest.

References

  1. King, H.D.; Meng, Z.; Denhart, D.; Mattson, R.; Kimura, R.; Wu, D.; Gao, Q.; Macor, J.E. Enantioselective Synthesis of a Highly Potent Selective Serotonin Reuptake Inhibitor. An Application of Imidazolidinone Catalysis to the Alkylation of Indoles with an Aβ-Disubstituted Aβ-Unsaturated Aldehyde. Org. Lett. 2005, 7, 3437–3440. [Google Scholar] [CrossRef] [PubMed]
  2. Taber, M.T.; Wright, R.N.; Molski, T.F.; Clarke, W.J.; Brassil, P.J.; Denhart, D.J.; Mattson, R.J.; Lodge, N.J. Neurochemical, Pharmacokinetic, and Behavioral Effects of the Novel Selective Serotonin Reuptake Inhibitor BMS-505130. Pharmacol. Biochem. Behav. 2005, 80, 521–528. [Google Scholar] [CrossRef] [PubMed]
  3. Schmitz, W.D.; Denhart, D.J.; Brenner, A.B.; Ditta, J.L.; Mattson, R.J.; Mattson, G.K.; Molski, T.F.; Macor, J.E. Homotryptamines as Potent and Selective Serotonin Reuptake Inhibitors (SSRIs). Bioorg. Med. Chem. Lett. 2005, 15, 1619–1621. [Google Scholar] [CrossRef] [PubMed]
  4. Boy, K.M.; Dee, M.; Yevich, J.; Torrente, J.; Gao, Q.; Iben, L.; Stark, A.; Mattson, R.J. Ligand Conformation Has a Definitive Effect on 5-HT1A and Serotonin Reuptake Affinity. Bioorg. Med. Chem. Lett. 2004, 14, 4467–4470. [Google Scholar] [CrossRef] [PubMed]
  5. Toda, N.; Tago, K.; Marumoto, S.; Takami, K.; Ori, M.; Yamada, N.; Koyama, K.; Naruto, S.; Abe, K.; Yamazaki, R.; et al. A Conformational Restriction Approach to the Development of Dual Inhibitors of Acetylcholinesterase and Serotonin Transporter as Potential Agents for Alzheimer’s Disease. Bioorg. Med. Chem. 2003, 11, 4389–4415. [Google Scholar] [CrossRef]
  6. Denhart, D.; Ditta, J.; King, D.; Macor, J.; Marcin, L.; Mattson, R.; Meng, Z. Compounds for the Treatment of Premature Ejaculation. US20040063768A1, 1 April 2004. [Google Scholar]
  7. Macor, J.E.; Chenard, B.L.; Post, R.J. Use of 2,5-Dimethylpyrrole as an Amino-Protecting Group in an Efficient Synthesis of 5-Amino-3-[(N-Methyl- Pyrrolidin-2(R)-Yl)Methyl]Indole. J. Org. Chem. 1994, 59, 7496–7498. [Google Scholar] [CrossRef]
  8. St. Jean, D.J.; Fotsch, C. Mitigating Heterocycle Metabolism in Drug Discovery. J. Med. Chem. 2012, 55, 6002–6020. [Google Scholar] [CrossRef]
  9. Karila, D.; Freret, T.; Bouet, V.; Boulouard, M.; Dallemagne, P.; Rochais, C. Therapeutic Potential of 5-HT 6 Receptor Agonists. J. Med. Chem. 2015, 58, 7901–7912. [Google Scholar] [CrossRef]
  10. Holenz, J.; Mercè, R.; Díaz, J.L.; Guitart, X.; Codony, X.; Dordal, A.; Romero, G.; Torrens, A.; Mas, J.; Andaluz, B.; et al. Medicinal Chemistry Driven Approaches toward Novel and Selective Serotonin 5-HT6 Receptor Ligands. J. Med. Chem. 2005, 48, 1781–1795. [Google Scholar] [CrossRef]
  11. Mattsson, C.; Svensson, P.; Boettcher, H.; Sonesson, C. Structure–Activity Relationship of 5-Chloro-2-Methyl-3-(1,2,3,6-Tetrahydropyridin-4-Yl)-1H-Indole Analogues as 5-HT6 Receptor Agonists. Eur. J. Med. Chem. 2013, 63, 578–588. [Google Scholar] [CrossRef]
  12. Nirogi, R.; Dwarampudi, A.; Kambhampati, R.; Bhatta, V.; Kota, L.; Shinde, A.; Badange, R.; Jayarajan, P.; Bhyrapuneni, G.; Dubey, P.K. Rigidized 1-Aryl Sulfonyl Tryptamines: Synthesis and Pharmacological Evaluation as 5-HT 6 Receptor Ligands. Bioorg. Med. Chem. Lett. 2011, 21, 4577–4580. [Google Scholar] [CrossRef] [PubMed]
  13. Cole, D.C.; Lennox, W.J.; Lombardi, S.; Ellingboe, J.W.; Bernotas, R.C.; Tawa, G.J.; Mazandarani, H.; Smith, D.L.; Zhang, G.; Coupet, J.; et al. Discovery of 5-Arylsulfonamido-3-(Pyrrolidin-2-Ylmethyl)-1H -Indole Derivatives as Potent, Selective 5-HT6 Receptor Agonists and Antagonists. J. Med. Chem. 2005, 48, 353–356. [Google Scholar] [CrossRef] [PubMed]
  14. Cole, D.C.; Lennox, W.J.; Stock, J.R.; Ellingboe, J.W.; Mazandarani, H.; Smith, D.L.; Zhang, G.; Tawa, G.J.; Schechter, L.E. Conformationally Constrained N1-Arylsulfonyltryptamine Derivatives as 5-HT6 Receptor Antagonists. Bioorg. Med. Chem. Lett. 2005, 15, 4780–4785. [Google Scholar] [CrossRef] [PubMed]
  15. Alcalde, E.; Mesquida, N.; López-Pérez, S.; Frigola, J.; Mercè, R.; Holenz, J.; Pujol, M.; Hernández, E. Indene-Based Frameworks Targeting the 5-HT6 Serotonin Receptor: Ring Constraint in Indenylsulfonamides Using Cyclic Amines and Structurally Abbreviated Counterparts. Bioorg. Med. Chem. 2009, 17, 7387–7397. [Google Scholar] [CrossRef] [PubMed]
  16. Mattsson, C.; Sonesson, C.; Sandahl, A.; Greiner, H.E.; Gassen, M.; Plaschke, J.; Leibrock, J.; Böttcher, H. 2-Alkyl-3-(1,2,3,6-Tetrahydropyridin-4-Yl)-1H-Indoles as Novel 5-HT6 Receptor Agonists. Bioorg. Med. Chem. Lett. 2005, 15, 4230–4234. [Google Scholar] [CrossRef]
  17. Ślifirski, G.; Król, M.; Kleps, J.; Ulenberg, S.; Belka, M.; Bączek, T.; Siwek, A.; Stachowicz, K.; Szewczyk, B.; Nowak, G.; et al. Synthesis of Novel Pyrido[1,2-c]Pyrimidine Derivatives with Rigidized Tryptamine Moiety as Potential SSRI and 5-HT1A Receptor Ligands. Eur. J. Med. Chem. 2019, 166, 144–158. [Google Scholar] [CrossRef]
  18. Ślifirski, G.; Król, M.; Kleps, J.; Podsadni, P.; Belka, M.; Bączek, T.; Siwek, A.; Stachowicz, K.; Szewczyk, B.; Nowak, G.; et al. Synthesis of New 5,6,7,8-Tetrahydropyrido[1,2-c]Pyrimidine Derivatives with Rigidized Tryptamine Moiety as Potential SSRI and 5-HT1A Receptor Ligands. Eur. J. Med. Chem. 2019, 180, 383–397. [Google Scholar] [CrossRef]
  19. Gharagozloo, P.; Miyauchit, M.; Birdsaw, N.J.M. 3-(Tetrahydropyridinyl)Indoles. Tetrahedron 1996, 52, 10185–10192. [Google Scholar] [CrossRef]
  20. Herold, F.; Dawidowski, M.; Wolska, I.; Chodkowski, A.; Kleps, J.; Turło, J.; Zimniak, A. The Synthesis of New Diastereomers of (4S,8aS)- and (4R,8aS)-4-Phenyl-Perhydropyrrole[1,2-a]Pyrazine-1,3-Dione. Tetrahedron Asymmetry 2007, 18, 2091–2098. [Google Scholar] [CrossRef]
  21. Aissaoui, H.; Clozel, M.; Weller, T.; Koberstein, R.; Sifferlen, T.; Fischli, W. Tetrahydroisoquinolyl Acetamide Derivatives for Use as Orexin Receptor Antagonists. US20060178515A1, 10 August 2006. [Google Scholar]
  22. Onomura, O.; Mitsuda, M.; Nguyen, M.T.T.; Demizu, Y. Asymmetric Tosylation of Racemic 2-Hydroxyalkanamides with Chiral Copper Catalyst. Tetrahedron Lett. 2007, 48, 9080–9084. [Google Scholar] [CrossRef]
  23. Onomura, O.; Izumi, Y. Preparation of Optically Active α-Sulfonyloxycarboxamides. 2009. [Google Scholar]
  24. Gremmen, C.; Burm, B.E.A.; Wanner, M.J.; Koomen, G.-J. The Synthesis of New Heterocyclic Bridged Ring Systems. Analogs of Tetrahydro-P-Carbolines. Tetrahedron Lett. 1998, 39, 1441–1444. [Google Scholar] [CrossRef]
  25. Burm, B.E.A.; Gremmen, C.; Wanner, M.J.; Koomen, G.-J. Synthesis of New Bridged Tetrahydro-β-Carbolines and Spiro-Fused Quinuclidines. Tetrahedron 2001, 57, 2039–2049. [Google Scholar] [CrossRef]
  26. CrysAlisPro 1.171.38.46; Rigaku OD: The Woodlands, TX, USA, 2015.
  27. Sheldrick, G.M. Crystal Structure Refinement with SHELXL. Acta Crystallogr. Sect. C Struct. Chem. 2015, 71, 3–8. [Google Scholar] [CrossRef] [PubMed]
  28. Parsons, S.; Flack, H.D.; Wagner, T. Use of Intensity Quotients and Differences in Absolute Structure Refinement. Acta Crystallogr. Sect. B Struct. Sci. Cryst. Eng. Mater. 2013, 69, 249–259. [Google Scholar] [CrossRef] [PubMed]
  29. Watkin, D.J.; Cooper, R.I. Howard Flack and the Flack Parameter. Chemistry (Easton) 2020, 2, 796–804. [Google Scholar] [CrossRef]
Figure 1. 5-hydroxytryptamine and its selected rigidized analogs I–VII.
Figure 1. 5-hydroxytryptamine and its selected rigidized analogs I–VII.
Ijms 24 00517 g001
Figure 2. Chemical structures of sumatriptan and its analog.
Figure 2. Chemical structures of sumatriptan and its analog.
Ijms 24 00517 g002
Figure 3. 5-HT6 binding affinity of constrained N1-arylsulfonyltryptamine derivatives [14,15].
Figure 3. 5-HT6 binding affinity of constrained N1-arylsulfonyltryptamine derivatives [14,15].
Ijms 24 00517 g003
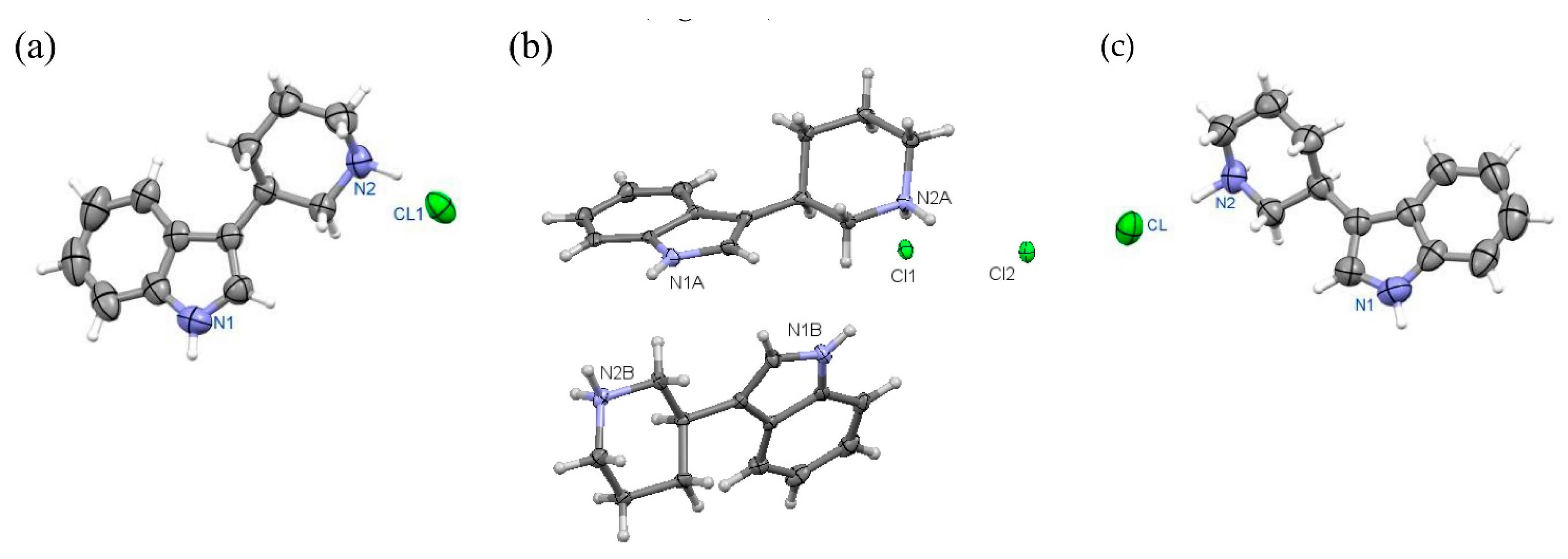
Figure 4. Perspective view of molecule 1b and 1c in racemic crystal [17,18] and view of molecular structure of enantiomeric fluoro-derivatives.
Figure 4. Perspective view of molecule 1b and 1c in racemic crystal [17,18] and view of molecular structure of enantiomeric fluoro-derivatives.
Ijms 24 00517 g004
Figure 5. Perspective view of molecules: (R)-10a in orthorhombic (a) and monoclinic (b) polymorph and (c) molecule (S)-11a.
Figure 5. Perspective view of molecules: (R)-10a in orthorhombic (a) and monoclinic (b) polymorph and (c) molecule (S)-11a.
Ijms 24 00517 g005
Scheme 1. Reagents and conditions: (i) TsCl, Et3N, CH2Cl2, 0 °C; (ii) K2CO3, CH3CN, 45 °C.
Scheme 1. Reagents and conditions: (i) TsCl, Et3N, CH2Cl2, 0 °C; (ii) K2CO3, CH3CN, 45 °C.
Ijms 24 00517 sch001
Scheme 2. Reagents and conditions: (ii) K2CO3, CH3CN, 45 °C; (iii) H2, Pd/C 10%, MeOH, r.t. 5 atm.
Scheme 2. Reagents and conditions: (ii) K2CO3, CH3CN, 45 °C; (iii) H2, Pd/C 10%, MeOH, r.t. 5 atm.
Ijms 24 00517 sch002
Scheme 3. Reagents and conditions: (iv) MeOH/HCl g, 40 °C.
Scheme 3. Reagents and conditions: (iv) MeOH/HCl g, 40 °C.
Ijms 24 00517 sch003
Figure 6. Numbering system for NMR spectra interpretation of compounds (3R,2S)-2a and (3S, 2S)-3a.
Figure 6. Numbering system for NMR spectra interpretation of compounds (3R,2S)-2a and (3S, 2S)-3a.
Ijms 24 00517 g006
Figure 8. Numbering system for NMR spectra interpretation of compounds (3R,2R)-4a, (3S,2R)-5a, (3R,2R)-6b, (3S,2R)-7b, (3R,2R)-8c and (3S,2R)-9c.
Figure 8. Numbering system for NMR spectra interpretation of compounds (3R,2R)-4a, (3S,2R)-5a, (3R,2R)-6b, (3S,2R)-7b, (3R,2R)-8c and (3S,2R)-9c.
Ijms 24 00517 g008
Figure 9. Numbering system for NMR spectra interpretation of compounds (R)-10a-c and (S)-11a-c.
Figure 9. Numbering system for NMR spectra interpretation of compounds (R)-10a-c and (S)-11a-c.
Ijms 24 00517 g009
Figure 14. Numbering system for NMR spectra interpretation of compounds (R)-12c and (S)-13c.
Figure 14. Numbering system for NMR spectra interpretation of compounds (R)-12c and (S)-13c.
Ijms 24 00517 g014
Table 1. N-alkylation of 3-(piperidin-3-yl)-1H-indole derivatives 1a-c using (R)-2-(4-toluene-sulfonyloxy)-phenylacetic acid methylester (R)-I and (S)-2-(4-toluenesulfonyloxy)-phenylacetic amide (S)-II.
Table 1. N-alkylation of 3-(piperidin-3-yl)-1H-indole derivatives 1a-c using (R)-2-(4-toluene-sulfonyloxy)-phenylacetic acid methylester (R)-I and (S)-2-(4-toluenesulfonyloxy)-phenylacetic amide (S)-II.
CompoundChiral Substrate (R)-I or (S)-IISubstrate
1a-c
Yield (%) adr b of(3R,2S)-2a:(3S,2S)-3a
(3R,2R)-4a:(3S,2R)-5a
(3R,2R)-6b:(3S,2R)-7b
(3R,2R)-8c:(3S,2R)-9c
1(R)-I1a74 47.6:52.4
2(S)-II1a85 46.6:53.4
3(S)-II1b79 48.3:51.7
4(S)-II1c91 48.1:51.9
For all entries, the reaction was performed by heating the mixture in 45 °C in acetonitrile; a isolated yield; b estimated by means of HPLC.
Table 2. Physico-chemical data of diastereomers 2a, 3a, 4a, 5a, 6b, 7b, 8c, and 9c.
Table 2. Physico-chemical data of diastereomers 2a, 3a, 4a, 5a, 6b, 7b, 8c, and 9c.
CompoundSubstrate 1a-c/Chiral Substrate (R)-I or (S)-IIReaction Time (h)m.p. (°C)Yield (%) adr b[α]
(3R,2S)-2a1a/(R)-I5149–15012.993.9+3.9°
c = 10.0, CHCl3
(3S,2S)-3a1a/(R)-I5140–14312.893.2+19.9°
c = 8.40, CHCl3
(3R,2R)-4a1a/(S)-II14118–12251.2100.0−66.53°
c = 2.40, CHCl3
(3S,2R)-5a1a/(S)-II14103–10848.6100.0+16.63°
c = 2.40, CHCl3
(3R,2R)-6b1b/(S)-II18202–20627.399.9−71.99°
c = 6.00, CHCl3
(3S,2R)-7b1b/(S)-II18124–12621.998.4+20.51°
c = 2.34, CHCl3
(3R,2R)-8c1c/(S)-II20165–16938.699.5−58.99°
c = 1.00, CHCl3
(3S,2R)-9c1c/(S)-II20202–20719.797.3+58.99°
c = 1.00, CHCl3
a isolated yield. b estimated by means of HPLC.
Table 3. Data on chiral (R) and (S) 3-(piperidin-3-yl)-1H-indol derivatives (R)-10a-c, (S)-11a-c and (R)-12c, (S)-13c.
Table 3. Data on chiral (R) and (S) 3-(piperidin-3-yl)-1H-indol derivatives (R)-10a-c, (S)-11a-c and (R)-12c, (S)-13c.
CompoundSubstrateYield (%) am.p. (°C)ee b[α]
(R)-10a(3R,2S)-2a
(3R,2R)-4a
80301–303100.0−30.53°
c = 1.70, MeOH
(S)-11a(3S,2S)-3a
(3S,2R)-5a
82295–29795.9+30.93°
c = 1.00, MeOH
(R)-10b(3R,2R)-6b61287–289100.0−24.79°
c = 0.36, MeOH
(S)-11b(3S,2R)-7b66289–291100.0+28.19°
c = 0.53, MeOH
(R)-10c(3R,2R)-8c70267–26999.2−39.21°
c = 0.19, MeOH
(S)-11c(3S,2R)-9c76280–282100.0+31.69°
c = 0.65, MeOH
(R)-12c(3R,2R)-8c18300–30299.7+95.89°
c = 0.64, MeOH
(S)-13c(3S,2R)-9c15270–27299.7−97.96°
c = 0.35, MeOH
a isolated yield. b estimated by means of chiral HPLC.
Disclaimer/Publisher’s Note: The statements, opinions and data contained in all publications are solely those of the individual author(s) and contributor(s) and not of MDPI and/or the editor(s). MDPI and/or the editor(s) disclaim responsibility for any injury to people or property resulting from any ideas, methods, instructions or products referred to in the content.

Share and Cite

MDPI and ACS Style

Król, M.; Ślifirski, G.; Kleps, J.; Podsadni, P.; Materek, I.; Kozioł, A.E.; Herold, F. The Synthesis and Absolute Configuration of Enantiomeric Pure (R)- and (S)-3-(piperidin-3-yl)-1H-Indole Derivatives. Int. J. Mol. Sci. 2023, 24, 517. https://doi.org/10.3390/ijms24010517

AMA Style

Król M, Ślifirski G, Kleps J, Podsadni P, Materek I, Kozioł AE, Herold F. The Synthesis and Absolute Configuration of Enantiomeric Pure (R)- and (S)-3-(piperidin-3-yl)-1H-Indole Derivatives. International Journal of Molecular Sciences. 2023; 24(1):517. https://doi.org/10.3390/ijms24010517

Chicago/Turabian Style

Król, Marek, Grzegorz Ślifirski, Jerzy Kleps, Piotr Podsadni, Ilona Materek, Anna E. Kozioł, and Franciszek Herold. 2023. "The Synthesis and Absolute Configuration of Enantiomeric Pure (R)- and (S)-3-(piperidin-3-yl)-1H-Indole Derivatives" International Journal of Molecular Sciences 24, no. 1: 517. https://doi.org/10.3390/ijms24010517

APA Style

Król, M., Ślifirski, G., Kleps, J., Podsadni, P., Materek, I., Kozioł, A. E., & Herold, F. (2023). The Synthesis and Absolute Configuration of Enantiomeric Pure (R)- and (S)-3-(piperidin-3-yl)-1H-Indole Derivatives. International Journal of Molecular Sciences, 24(1), 517. https://doi.org/10.3390/ijms24010517

Note that from the first issue of 2016, this journal uses article numbers instead of page numbers. See further details here.

Article Metrics

Back to TopTop