Biocompatibility and Mechanical Stability of Nanopatterned Titanium Films on Stainless Steel Vascular Stents
Abstract
1. Introduction
2. Results
- Step #1: Titanium coating on SS (pTi).
- Step #2: Partial anodization of titanium-coated SS (aTiO2).
- Step #3: Removal of anodic porous anodic oxide with ultrasonication, leaving behind a thin nanopatterned Ti layer on SS (cTi).
- Step #4: Brief oxygen plasma treatment (cTi+P).
2.1. Optimization of Anodization Duration
2.2. Morphological Characterizations
2.3. Response of aTiO2 and cTi Surfaces to Plastic Deformation
2.4. Surface Analysis by XPS
2.5. Surface Wettability
2.6. Biological Response of the Nanopatterned Surfaces
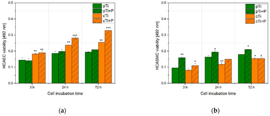
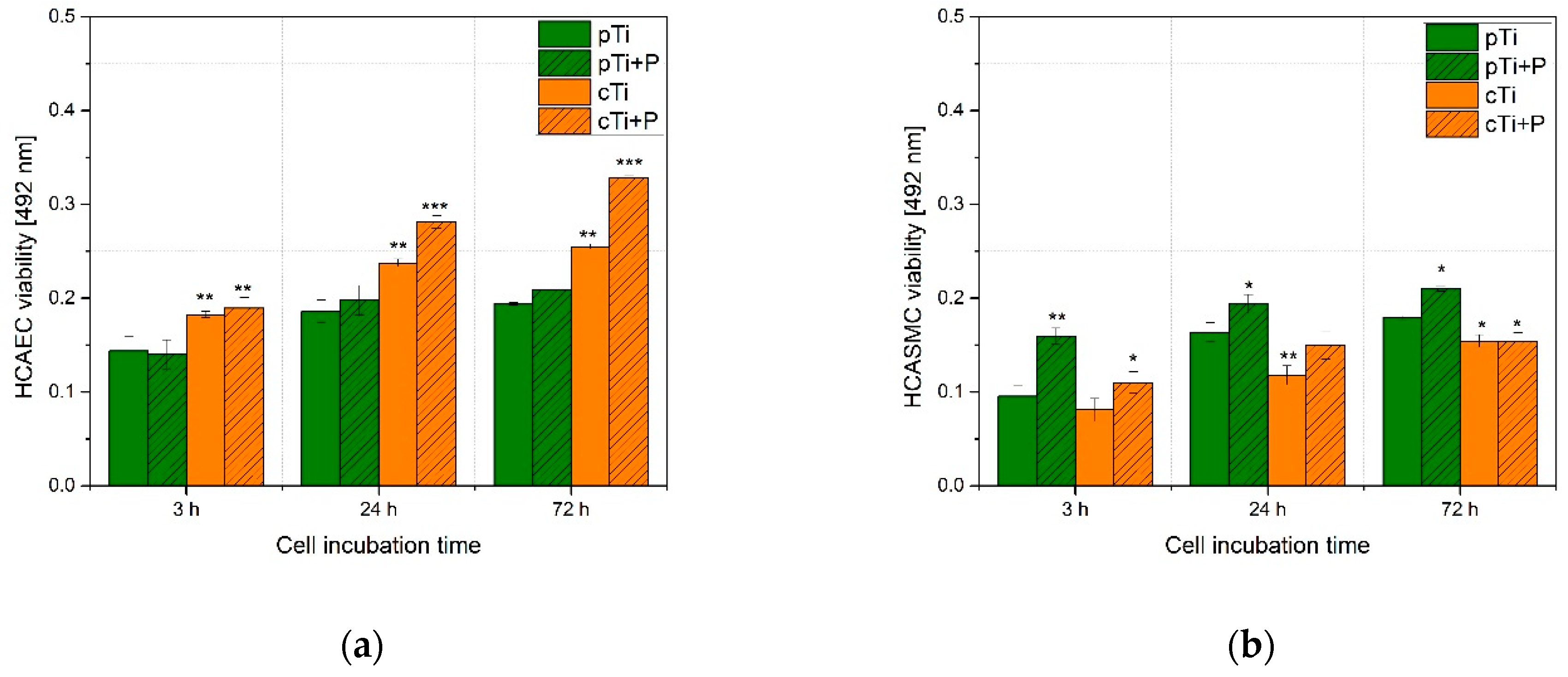
2.6.1. In Vitro Cell Viability Studies
2.6.2. Platelet Adhesion
3. Discussion
4. Materials and Methods
4.1. Sample Preparation
4.1.1. (STEP #1) Ti Coating
4.1.2. (STEP #2) Anodization
4.1.3. (STEP #3) Ultrasonication (US)
4.1.4. (STEP #4) Plasma Treatment
4.2. Sample Characterization
4.2.1. Surface Morphology and Coating Thickness Determination
4.2.2. XPS Analysis
4.2.3. Bending Tests
4.2.4. Surface Wettability
4.3. In Vitro Biological Response
4.3.1. Cell Viability Studies—MTT Assay
4.3.2. Platelet Adhesion
5. Conclusions
Author Contributions
Funding
Institutional Review Board Statement
Data Availability Statement
Acknowledgments
Conflicts of Interest
References
- World Health Organization. Global Action Plan for the Prevention and Control of Noncommunicable Diseases 2013–2020; World Health Organization: Geneva, Switzerland, 2013. [Google Scholar]
- Santos, M.; Waterhouse, A.; Lee, B.S.L.; Chan, A.H.P.; Tan, R.P.; Michael, P.L.; Filipe, E.C.; Hung, J.; Wise, S.G.; Bilek, M.M.M. Simple one-step covalent immobilization of bioactive agents without use of chemicals on plasma-activated low thrombogenic stent coatings. In Functionalised Cardiovascular Stents; Elsevier: Amsterdam, The Netherlands, 2018; pp. 211–228. [Google Scholar]
- Beshchasna, N.; Saqib, M.; Kraskiewicz, H.; Wasyluk, Ł.; Kuzmin, O.; Duta, O.C.; Ficai, D.; Ghizdavet, Z.; Marin, A.; Ficai, A.; et al. Recent advances in manufacturing innovative stents. Pharmaceutics 2020, 12, 349. [Google Scholar] [CrossRef] [PubMed]
- Walimbe, S. Innovations in Cardiovascular Disease Treatment and the Rising Demand for Stents. Available online: https://www.dicardiology.com/article/innovations-cardiovascular-disease-treatment-and-rising-demand-stents (accessed on 19 April 2021).
- Saleh, Y.E.; Gepreel, M.A.; Allam, N.K. Functional Nanoarchitectures For Enhanced Drug Eluting Stents. Sci. Rep. 2017, 7, 40291. [Google Scholar] [CrossRef] [PubMed]
- Zain, M.; Jamil, R.; Siddiqui, W. Neointimal hyperplasia. Curr. Opin. Lipidol. 2019, 30, 377–382. [Google Scholar] [CrossRef]
- Kiramijyan, S.; Liu, M. The benefits of drug-eluting stents in the treatment of coronary artery disease. Res. Rep. Clin. Cardiol. 2016, 9, 9–25. [Google Scholar] [CrossRef][Green Version]
- Sojitra, P. Chemical vapor deposition of cardiac stents. In Functionalised Cardiovascular Stents; Elsevier: Amsterdam, The Netherlands, 2018; pp. 149–154. [Google Scholar]
- Soares, J.S.; Moore, J.E. Biomechanical Challenges to Polymeric Biodegradable Stents. Ann. Biomed. Eng. 2016, 44, 560–579. [Google Scholar] [CrossRef]
- Tsujino, I.; Ako, J.; Honda, Y.; Fitzgerald, P.J. Drug delivery via nano-, micro and macroporous coronary stent surfaces. Expert Opin. Drug Deliv. 2007, 4, 287–295. [Google Scholar] [CrossRef]
- Wiemer, M.; Butz, T.; Schmidt, W.; Schmitz, K.P.; Horstkotte, D.; Langer, C. Scanning electron microscopic analysis of different drug eluting stents after failed implantation: From nearly undamaged to major damaged polymers. Catheter. Cardiovasc. Interv. 2010, 75, 905–911. [Google Scholar] [CrossRef]
- Cassese, S.; Byrne, R.A.; Tada, T.; Pinieck, S.; Joner, M.; Ibrahim, T.; King, L.A.; Fusaro, M.; Laugwitz, K.L.; Kastrati, A. Incidence and predictors of restenosis after coronary stenting in 10,004 patients with surveillance angiography. Heart 2014, 100, 153–159. [Google Scholar] [CrossRef]
- Torii, S.; Jinnouchi, H.; Sakamoto, A.; Kutyna, M.; Cornelissen, A.; Kuntz, S.; Guo, L.; Mori, H.; Harari, E.; Paek, K.H.; et al. Drug-eluting coronary stents: Insights from preclinical and pathology studies. Nat. Rev. Cardiol. 2020, 17, 37–51. [Google Scholar] [CrossRef]
- Borhani, S.; Hassanajili, S.; Ahmadi Tafti, S.H.; Rabbani, S. Cardiovascular stents: Overview, evolution, and next generation. Prog. Biomater. 2018, 7, 175–205. [Google Scholar] [CrossRef]
- Nuhn, H.; Blanco, C.E.; Desai, T.A. Nanoengineered Stent Surface to Reduce In-Stent Restenosis In Vivo. ACS Appl. Mater. Interfaces 2017, 9, 19677–19686. [Google Scholar] [CrossRef] [PubMed]
- Rani, V.V.D.; Manzoor, K.; Menon, D.; Selvamurugan, N.; Nair, S.V. The design of novel nanostructures on titanium by solution chemistry for an improved osteoblast response. Nanotechnology 2009, 20, 195101. [Google Scholar] [CrossRef] [PubMed]
- Choudhary, S.; Haberstroh, K.M.; Webster, T.J. Enhanced functions of vascular cells on nanostructured Ti for improved stent applications. Tissue Eng. 2007, 13, 1421–1430. [Google Scholar] [CrossRef] [PubMed]
- Das, K.; Bose, S.; Bandyopadhyay, A. TiO2 nanotubes on Ti: Influence of nanoscale morphology on bone cell-materials interaction. J. Biomed. Mater. Res.-Part A 2009, 90, 225–237. [Google Scholar] [CrossRef] [PubMed]
- Flašker, A.; Kulkarni, M.; Mrak-Poljšak, K.; Junkar, I.; Čučnik, S.; Žigon, P.; Mazare, A.; Schmuki, P.; Iglič, A.; Sodin-Semrl, S. Binding of human coronary artery endothelial cells to plasma-treated titanium dioxide nanotubes of different diameters. J. Biomed. Mater. Res.-Part A 2016, 104, 1113–1120. [Google Scholar] [CrossRef]
- Kshitiz; Afzal, J.; Kim, S.-Y.; Kim, D.-H. A nanotopography approach for studying the structure-function relationships of cells and tissues. Cell Adh. Migr. 2014, 9, 300–307. [Google Scholar] [CrossRef]
- Goriainov, V.; Hulsart-Billstrom, G.; Sjostrom, T.; Dunlop, D.G.; Su, B.; Oreffo, R.O.C. Harnessing Nanotopography to Enhance Osseointegration of Clinical Orthopedic Titanium Implants—An In Vitro and In Vivo Analysis. Front. Bioeng. Biotechnol. 2018, 6, 44. [Google Scholar] [CrossRef]
- Dibra, A.; Kastrati, A.; Mehilli, J.; Pache, J.; von Oepen, R.; Dirschinger, J.; Schömig, A. Influence of stent surface topography on the outcomes of patients undergoing coronary stenting: A randomized double-blind controlled trial. Catheter. Cardiovasc. Interv. 2005, 65, 374–380. [Google Scholar] [CrossRef]
- Mohan, C.C.; Cherian, A.M.; Kurup, S.; Joseph, J.; Nair, M.B.; Vijayakumar, M.; Nair, S.V.; Menon, D. Stable Titania Nanostructures on Stainless Steel Coronary Stent Surface for Enhanced Corrosion Resistance and Endothelialization. Adv. Healthc. Mater. 2017, 6, 1–11. [Google Scholar] [CrossRef]
- Lorenzetti, M.; Dogša, I.; Stošicki, T.; Stopar, D.; Kalin, M.; Kobe, S.; Novak, S. The influence of surface modification on bacterial adhesion to titanium-based substrates. ACS Appl. Mater. Interfaces 2015, 7, 1644–1651. [Google Scholar] [CrossRef]
- Jaggessar, A.; Mathew, A.; Tesfamichael, T.; Wang, H.; Yan, C.; Yarlagadda, P.K.D.V. Bacteria death and osteoblast metabolic activity correlated to hydrothermally synthesised TiO2 surface properties. Molecules 2019, 24, 1201. [Google Scholar] [CrossRef] [PubMed]
- Jaggessar, A.; Mathew, A.; Wang, H.; Tesfamichael, T.; Yan, C.; Yarlagadda, P.K. Mechanical, bactericidal and osteogenic behaviours of hydrothermally synthesised TiO2 nanowire arrays. J. Mech. Behav. Biomed. Mater. 2018, 80, 311–319. [Google Scholar] [CrossRef] [PubMed]
- Junkar, I.; Kulkarni, M.; Drašler, B.; Rugelj, N.; Recek, N.; Drobne, D.; Kovač, J.; Humpolicek, P.; Iglič, A.; Mozetič, M. Enhanced biocompatibility of TiO 2 surfaces by highly reactive plasma. J. Phys. D Appl. Phys. 2016, 49, 244002. [Google Scholar] [CrossRef]
- Kulkarni, M.; Mazare, A.; Gongadze, E.; Perutkova, S.; Kralj-Iglic, V.; Milosev, I.; Schmuki, P.; Iglic, A.; Mozetic, M. Titanium nanostructures for biomedical applications. Nanotechnology 2015, 26, 62002. [Google Scholar] [CrossRef]
- Karpagavalli, R.; Zhou, A.; Chellamuthu, P.; Nguyen, K. Corrosion behavior and biocompatibility of nanostructured TiO2 film on Ti6Al4V. J. Biomed. Mater. Res. Part A 2007, 83, 1087–1095. [Google Scholar] [CrossRef] [PubMed]
- Nasakina, E.O.; Baikin, A.S.; Sergienko, K.V.; Sevost’yanov, M.A.; Kolmakov, A.G.; Goncharenko, B.A.; Zabolotnyi, V.T.; Fadeev, R.S.; Fadeeva, I.S.; Gudkov, S.V.; et al. Biocompatibility of nanostructured nitinol with titanium or tantalum surface composite layers formed by magnetron sputtering. Dokl. Chem. 2015, 461, 86–88. [Google Scholar] [CrossRef]
- Chen, F.; Lam, W.M.; Lin, C.J.; Qiu, G.X.; Wu, Z.H.; Luk, K.D.K.; Lu, W.W. Biocompatibility of electrophoretical deposition of nanostructured hydroxyapatite coating on roughen titanium surface: In vitro evaluation using mesenchymal stem cells. J. Biomed. Mater. Res.-Part B Appl. Biomater. 2007, 82, 183–191. [Google Scholar] [CrossRef]
- Schettini, N.; Jaroszeski, M.J.; West, L.; Saddow, S.E. Hemocompatibility Assessment of 3C-SiC for Cardiovascular Applications. In Silicon Carbide Biotechnology; Elsevier Inc.: Amsterdam, The Netherlands, 2012; pp. 153–208. ISBN 9780123859068. [Google Scholar]
- Firkowska-Boden, I.; Jandt, K.D.; Helbing, C.; Dauben, T.J.; Pieper, M. How nanotopography-induced conformational changes of fibrinogen affect platelet adhesion and activation. Langmuir 2020, 36, 11573–11580. [Google Scholar] [CrossRef]
- Junkar, I.; Kulkarni, M.; Benčina, M.; Kovač, J.; Mrak-Poljšak, K.; Lakota, K.; Sodin-Šemrl, S.; Mozetič, M.; Iglič, A. Titanium Dioxide Nanotube Arrays for Cardiovascular Stent Applications. ACS Omega 2020, 5, 7280–7289. [Google Scholar] [CrossRef]
- Vesel, A.; Junkar, I.; Cvelbar, U.; Kovac, J.; Mozetic, M. Surface modification of polyester by oxygen- And nitrogen-plasma treatment. Surf. Interface Anal. 2008, 40, 1444–1453. [Google Scholar] [CrossRef]
- Ishizaki, T.; Saito, N.; Takai, O. Correlation of cell adhesive behaviors on superhydrophobic, superhydrophilic, and micropatterned superhydrophobic/superhydrophilic surfaces to their surface chemistry. Langmuir 2010, 26, 8147–8154. [Google Scholar] [CrossRef] [PubMed]
- Ozaltin, K.; Lehocký, M.; Kuceková, Z.; Humpolíček, P.; Sáha, P. A novel multistep method for chondroitin sulphate immobilization and its interaction with fibroblast cells. Mater. Sci. Eng. C 2017, 70, 94–100. [Google Scholar] [CrossRef] [PubMed]
- Kunrath, M.F.; Vargas, A.L.M.; Sesterheim, P.; Teixeira, E.R.; Hubler, R. Extension of hydrophilicity stability by reactive plasma treatment and wet storage on TiO2 nanotube surfaces for biomedical implant applications. J. R. Soc. Interface 2020, 17, 20200650. [Google Scholar] [CrossRef] [PubMed]
- Benčina, M.; Iglič, A.; Mozetič, M.; Junkar, I. Crystallized TiO2 Nanosurfaces in Biomedical Applications. Nanomaterials 2020, 10, 1121. [Google Scholar] [CrossRef]
- Griesser, H.J.; Chatelier, R.C.; Gengenbach, T.R.; Johnson, G.; Steele, J.G. Growth of Human Cells on Plasma Polymers: Putative Role of Amine and Amide Groups. J. Biomater. Sci. Polym. Ed. 1994, 5, 531–554. [Google Scholar] [CrossRef]
- Kollum, M.; Farb, A.; Schreiber, R.; Terfera, K.; Arab, A.; Geist, A.; Haberstroh, J.J.; Wnendt, S.; Virmani, R.; Hehrlein, C. Particle debris from a nanoporous stent coating obscures potential antiproliferative effects of tacrolimus-eluting stents in a porcine model of restenosis. Catheter. Cardiovasc. Interv. 2005, 64, 85–90. [Google Scholar] [CrossRef]
- Wang, S.; Liu, X.; Wang, L.; Wen, Q.; Du, N.; Huang, J. Formation mechanism and properties of fluoride-phosphate conversion coating on titanium alloy. RSC Adv. 2017, 7, 16078–16086. [Google Scholar] [CrossRef]
- Biesinger, M.C.; Lau, L.W.M.W.; Gerson, A.R.; StC Smart, R.; Smart, R.S.C. Resolving surface chemical states in XPS analysis of first row transition metals, oxides and hydroxides: Sc, Ti, V, Cu and Zn. Appl. Surf. Sci. 2010, 257, 887–898. [Google Scholar] [CrossRef]
- Mani, G.; Feldman, M.D.; Patel, D.; Agrawal, C.M. Coronary stents: A materials perspective. Biomaterials 2007, 28, 1689–1710. [Google Scholar] [CrossRef]
- Sulka, G.D. (Ed.) Nanostructured Anodic Metal Oxides: Synthesis and Applications; Elsevier Inc.: Amsterdam, The Netherlands, 2020; ISBN 978-0-12-816706-9. [Google Scholar]
- Yoo, H.; Kim, M.; Kim, Y.T.; Lee, K.; Choi, J. Catalyst-doped anodic TiO2 nanotubes: Binder-free electrodes for (photo)electrochemical reactions. Catalysts 2018, 8, 555. [Google Scholar] [CrossRef]
- Goodman, S.L. Sheep, pig, and human platelet-material interactions with model cardiovascular biomaterials. J. Biomed. Mater. Res. 1999, 45, 240–250. [Google Scholar] [CrossRef]
- Lu, J.; Rao, M.P.; MacDonald, N.C.; Khang, D.; Webster, T.J. Improved endothelial cell adhesion and proliferation on patterned titanium surfaces with rationally designed, micrometer to nanometer features. Acta Biomater. 2008, 4, 192–201. [Google Scholar] [CrossRef] [PubMed]
- Yao, C.; Slamovich, E.B.; Webster, T.J. Enhanced osteoblast functions on anodized titanium with nanotube-like structures. J. Biomed. Mater. Res.-Part A 2008, 85, 157–166. [Google Scholar] [CrossRef] [PubMed]
- Choudhary, S.; Berhe, M.; Haberstroh, K.M.; Webster, T.J. Increased endothelial and vascular smooth muscle cell adhesion on nanostructured titanium and CoCrMo. Int. J. Nanomed. 2006, 1, 41–49. [Google Scholar] [CrossRef]
- Llopis-Grimalt, M.A.; Forteza-Genestra, M.A.; Alcolea-Rodriguez, V.; Ramis, J.M.; Monjo, M. Nanostructured titanium for improved endothelial biocompatibility and reduced platelet adhesion in stent applications. Coatings 2020, 10, 907. [Google Scholar] [CrossRef]
- Webster, T.J.; Ejiofor, J.U. Increased osteoblast adhesion on nanophase metals: Ti, Ti6Al4V, and CoCrMo. Biomaterials 2004, 25, 4731–4739. [Google Scholar] [CrossRef]
- Alpaslan, E.; Ercan, B.; Webster, T.J. Anodized 20 nm diameter nanotubular titanium for improved bladder stent applications. Int. J. Nanomed. 2011, 6, 219–225. [Google Scholar] [CrossRef]
- Su, E.P.; Justin, D.F.; Pratt, C.R.; Sarin, V.K.; Nguyen, V.S.; Oh, S.; Jin, S. Effects of titanium nanotubes on the osseointegration, cell differentiation, mineralisation and antibacterial properties of orthopaedic implant surfaces. Bone Jt. J. 2018, 100B, 9–16. [Google Scholar] [CrossRef]
- Wójciak-Stothard, B.; Curtis, A.; Monaghan, W.; Macdonald, K.; Wilkinson, C. Guidance and activation of murine macrophages by nanometric scale topography. Exp. Cell Res. 1996, 223, 426–435. [Google Scholar] [CrossRef]
- De Oliveira, P.T.; Nanci, A. Nanotexturing of titanium-based surfaces upregulates expression of bone sialoprotein and osteopontin by cultured osteogenic cells. Biomaterials 2004, 25, 403–413. [Google Scholar] [CrossRef]
- Oh, S.; Brammer, K.S.; Li, Y.S.J.; Teng, D.; Engler, A.J.; Chien, S.; Jin, S. Stem cell fate dictated solely by altered nanotube dimension. Proc. Natl. Acad. Sci. USA 2009, 106, 2130–2135. [Google Scholar] [CrossRef] [PubMed]
- Flemming, R.G.; Murphy, C.J.; Abrams, G.A.; Goodman, S.L.; Nealey, P.F. Effects of synthetic micro- and nano-structured surfaces on cell behavior. Biomaterials 1999, 20, 573–588. [Google Scholar] [CrossRef]
- Hong, J.; Andersson, J.; Ekdahl, K.N.; Elgue, G.; Axén, N.; Larsson, R.; Nilsson, B. Titanium is a highly thrombogenic biomaterial: Possible implications for osteogenesis. Thromb. Haemost. 1999, 82, 58–64. [Google Scholar] [CrossRef]
- Pham, M.H.; Reseland, H.J.; Reseland, J.E. Fluoride Modification of Titanium Surfaces Enhance Complement Activation. Materials 2020, 13, 684. [Google Scholar] [CrossRef] [PubMed]
- Azar, G.T.P.; Yelkarasi, C.; Ürgen, M. The role of droplets on the cavitation erosion damage of TiN coatings produced with cathodic arc physical vapor deposition. Surf. Coat. Technol. 2017, 322, 211–217. [Google Scholar] [CrossRef]
- Moulder, J.F.; Stickle, W.F.; Sobol, P.E.; Bomben, K.D. Handbook of X-Ray Photoelectron Spectroscopy; Chastain, J., Ed.; Perkin-Elmer Corporation, Physical Electronics Division: Eden Prairie, MN, USA, 1995. [Google Scholar]
- Kulkarni, M.; Junkar, I.; Puliyalil, H.; Iglic, A. Wettability Switch of Anodic Titanium Dioxide Nanotubes with Various Diameters. Biophys. J. 2016, 110, 339a. [Google Scholar] [CrossRef]














| pTi | cTi | pTi+P | cTi+P |
|---|---|---|---|
| 85 ± 3° | 80 ± 4° | 28 ± 2° | 44 ± 3° |
Publisher’s Note: MDPI stays neutral with regard to jurisdictional claims in published maps and institutional affiliations. |
© 2022 by the authors. Licensee MDPI, Basel, Switzerland. This article is an open access article distributed under the terms and conditions of the Creative Commons Attribution (CC BY) license (https://creativecommons.org/licenses/by/4.0/).
Share and Cite
Yelkarasi, C.; Recek, N.; Kazmanli, K.; Kovač, J.; Mozetič, M.; Urgen, M.; Junkar, I. Biocompatibility and Mechanical Stability of Nanopatterned Titanium Films on Stainless Steel Vascular Stents. Int. J. Mol. Sci. 2022, 23, 4595. https://doi.org/10.3390/ijms23094595
Yelkarasi C, Recek N, Kazmanli K, Kovač J, Mozetič M, Urgen M, Junkar I. Biocompatibility and Mechanical Stability of Nanopatterned Titanium Films on Stainless Steel Vascular Stents. International Journal of Molecular Sciences. 2022; 23(9):4595. https://doi.org/10.3390/ijms23094595
Chicago/Turabian StyleYelkarasi, Cagatay, Nina Recek, Kursat Kazmanli, Janez Kovač, Miran Mozetič, Mustafa Urgen, and Ita Junkar. 2022. "Biocompatibility and Mechanical Stability of Nanopatterned Titanium Films on Stainless Steel Vascular Stents" International Journal of Molecular Sciences 23, no. 9: 4595. https://doi.org/10.3390/ijms23094595
APA StyleYelkarasi, C., Recek, N., Kazmanli, K., Kovač, J., Mozetič, M., Urgen, M., & Junkar, I. (2022). Biocompatibility and Mechanical Stability of Nanopatterned Titanium Films on Stainless Steel Vascular Stents. International Journal of Molecular Sciences, 23(9), 4595. https://doi.org/10.3390/ijms23094595

