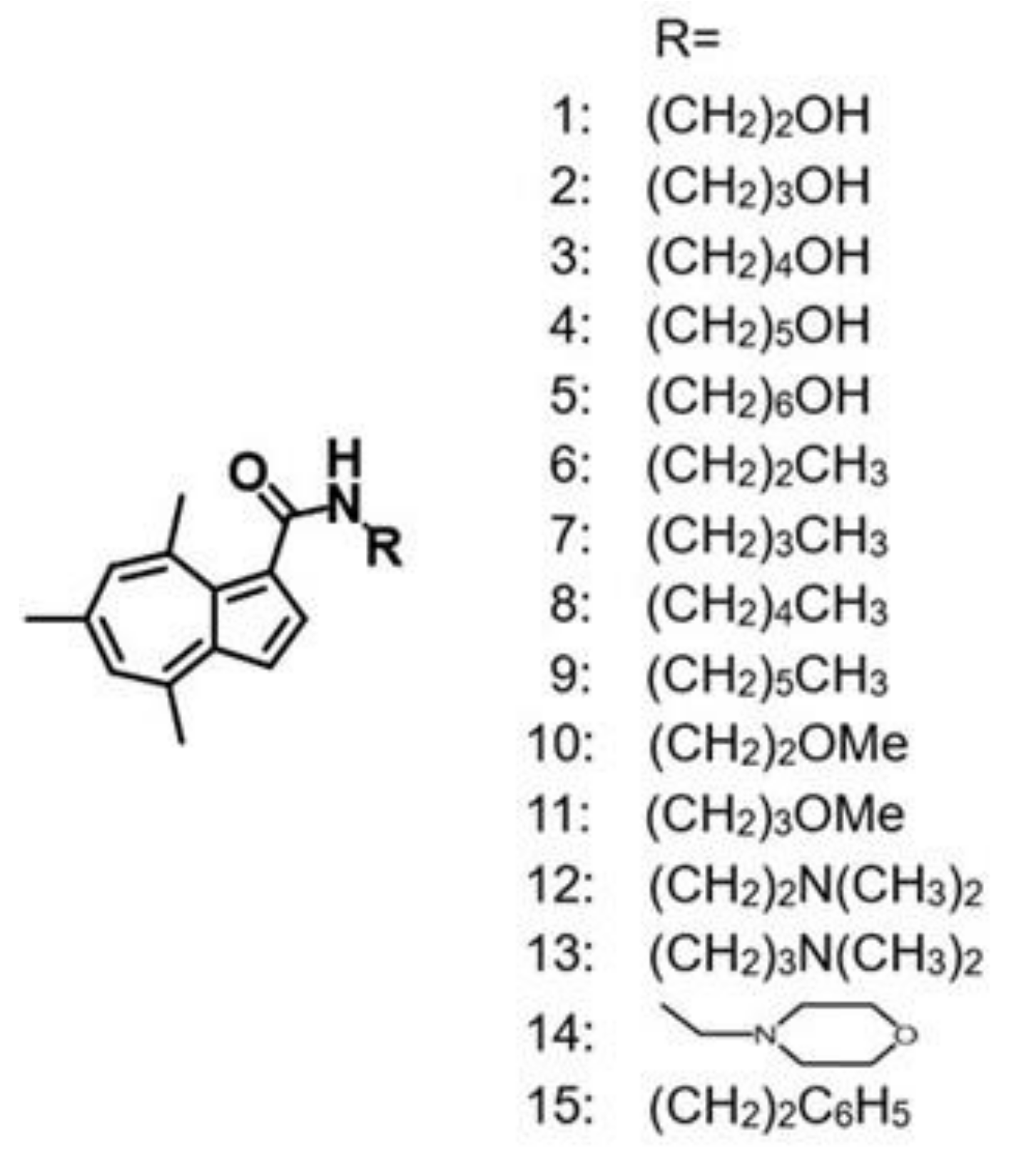
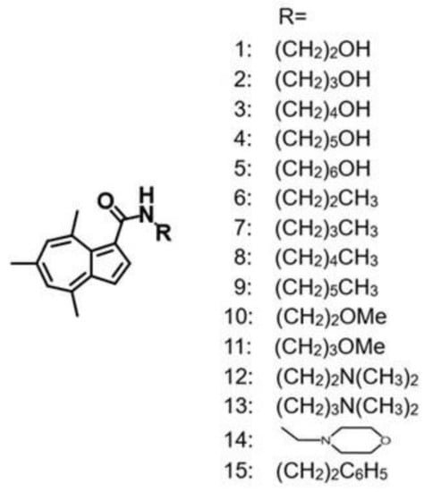
Tumor-Specificity, Neurotoxicity, and Possible Involvement of the Nuclear Receptor Response Pathway of 4,6,8-Trimethyl Azulene Amide Derivatives
Abstract
:1. Introduction
2. Results
2.1. Tumor-Specificity
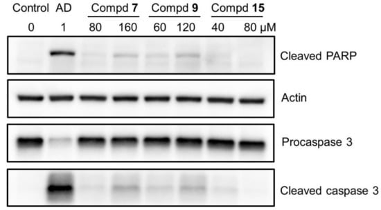
2.2. Apoptosis-Inducing Activity
2.3. Neurotoxicity
2.4. Computational Analysis
2.5. Possible Nuclear Receptor/Stress Response Pathways
3. Discussion
4. Materials and Methods
4.1. Materials
4.2. Synthesis of Alkylamidoazulene Groups
4.3. Cell Culture
4.4. Synthesis Assay for Cytotoxic Activity
4.5. Calculation of Tumor-Selectivity Index (TS)
4.6. Calculation of Potency-Selectivity Expression (PSE)
4.7. Western Blot Analysis
4.8. Cell Cycle Analysis
4.9. Calculation of Chemical Descriptors
4.10. Calculation of Chemical Descriptors
4.11. Statistical Analysis
5. Conclusions
Supplementary Materials
Author Contributions
Funding
Institutional Review Board Statement
Informed Consent Statement
Data Availability Statement
Acknowledgments
Conflicts of Interest
References
- Shoji, T.; Ito, S.; Yasunami, M. Synthesis of Azulene Derivatives from 2H-Cyclohepta[b]furan-2-ones as Starting Materials: Their Reactivity and Properties. Int. J. Mol. Sci. 2021, 22, 10686. [Google Scholar] [CrossRef]
- Shoji, T.; Okujima, T.; Ito, S. Development of Heterocycle-Substituted and Fused Azulenes in the Last Decade (2010–2020). Int. J. Mol. Sci. 2020, 21, 7087. [Google Scholar] [CrossRef] [PubMed]
- Murfin, L.C.; Lewis, S.E. Azulene-A Bright Core for Sensing and Imaging. Molecules 2021, 26, 353. [Google Scholar] [CrossRef] [PubMed]
- Bakun, P.; Czarczynska-Goslinska, B.; Goslinski, T.; Lijewski, S. In vitro and in vivo biological activities of azulene derivatives with potential applications in medicine. Med. Chem. Res. 2021, 30, 834–846. [Google Scholar] [CrossRef] [PubMed]
- Okajima, M.; Miura, S.; Watanabe, S.; Tanaka, H.; Ito, K.; Ishida, T.; Makino, M.; Iwashima, A.; Matsumoto, N.; Sato, K.; et al. A prospective phase II study of multimodal prophylactic treatment for afatinib-induced adverse events in advanced non-small cell lung cancer (Niigata Lung Cancer Treatment Group 1401). Transl. Lung Cancer Res. 2021, 10, 252–260. [Google Scholar] [CrossRef]
- Riley, P.; Glenny, A.M.; Hua, F.; Worthington, H.V. Pharmacological interventions for preventing dry mouth and salivary gland dysfunction following radiotherapy. Cochrane Database Syst. Rev. 2017, 7, Cd012744. [Google Scholar] [CrossRef] [Green Version]
- Hirasawa, R.; Tatsuta, M.; Iishi, H.; Baba, M. Effect of marzulene on the restitution of rat gastric mucosa after NaOH-induced injury. Hepatogastroenterology 1998, 45, 293–296. [Google Scholar]
- Kourounakis, A.P.; Rekka, E.A.; Kourounakis, P.N. Antioxidant activity of guaiazulene and protection against paracetamol hepatotoxicity in rats. J. Pharm. Pharmacol. 1997, 49, 938–942. [Google Scholar] [CrossRef]
- Phutim-Mangkhalthon, A.; Teerakapong, A.; Tippayawat, P.; Morales, N.P.; Morkmued, S.; Puasiri, S.; Priprem, A.; Damrongrungruang, T. Anti-inflammatory effect of photodynamic therapy using guaiazulene and red lasers on peripheral blood mononuclear cells. Photodiag. Photodyn. Ther. 2020, 31, 101747. [Google Scholar] [CrossRef]
- Ayaz, F.; Yuzer, A.; Ince, T.; Ince, M. Anti-Cancer and Anti-Inflammatory Activities of Bromo- and Cyano-Substituted Azulene Derivatives. Inflammation 2020, 43, 1009–1018. [Google Scholar] [CrossRef]
- Sibanda, T.; Selvarajan, R.; Tekere, M.; Nyoni, H.; Meddows-Taylor, S. Potential biotechnological capabilities of cultivable mycobiota from carwash effluents. Microbiologyopen 2017, 6, e00498. [Google Scholar] [CrossRef]
- Li, H.; Hu, Y.; Wang, X.; He, G.; Xu, Y.; Zhu, Q. Novel tricyclic poly (ADP-ribose) polymerase-1/2 inhibitors with potent anticancer chemopotentiating activity: Design, synthesis and biological evaluation. Bioorg. Med. Chem. 2016, 24, 4731–4740. [Google Scholar] [CrossRef]
- Sakagami, H.; Okudaira, N.; Masuda, Y.; Amano, O.; Yokose, S.; Kanda, Y.; Suguro, M.; Natori, T.; Oizumi, H.; Oizumi, T. Induction of Apoptosis in Human Oral Keratinocyte by Doxorubicin. Anticancer Res. 2017, 37, 1023–1029. [Google Scholar] [CrossRef] [Green Version]
- Uehara, M.; Minemura, H.; Ohno, T.; Hashimoto, M.; Wakabayashi, H.; Okudaira, N.; Sakagami, H. In Vitro Antitumor Activity of Alkylaminoguaiazulenes. In Vivo 2018, 32, 541–547. [Google Scholar] [CrossRef]
- Wada, T.; Maruyama, R.; Irie, Y.; Hashimoto, M.; Wakabayashi, H.; Okudaira, N.; Uesawa, Y.; Kagaya, H.; Sakagami, H. In Vitro Anti-tumor Activity of Azulene Amide Derivatives. In Vivo 2018, 32, 479–486. [Google Scholar] [CrossRef] [Green Version]
- Imanari, K.; Hashimoto, M.; Wakabayashi, H.; Okudaira, N.; Bandow, K.; Nagai, J.; Tomomura, M.; Tomomura, A.; Uesawa, Y.; Sakagami, H. Quantitative Structure-Cytotoxicity Relationship of Azulene Amide Derivatives. Anticancer Res. 2019, 39, 3507–3518. [Google Scholar] [CrossRef] [Green Version]
- Fumagalli, G.; Monza, L.; Cavaletti, G.; Rigolio, R.; Meregalli, C. Neuroinflammatory Process Involved in Different Preclinical Models of Chemotherapy-Induced Peripheral Neuropathy. Front. Immunol. 2020, 11, 626687. [Google Scholar] [CrossRef]
- Sałat, K. Chemotherapy-induced peripheral neuropathy-part 2: Focus on the prevention of oxaliplatin-induced neurotoxicity. Pharmacol. Rep. 2020, 72, 508–527. [Google Scholar] [CrossRef]
- Iijima, Y.; Bandow, K.; Amano, S.; Sano, M.; Hino, S.; Kaneko, T.; Horie, N.; Sakagami, H. Protection of Bortezomib-induced Neurotoxicity by Antioxidants. Anticancer Res. 2020, 40, 3685–3696. [Google Scholar] [CrossRef]
- Magori, N.; Fujita, T.; Kumamoto, E. Hinokitiol inhibits compound action potentials in the frog sciatic nerve. Eur. J. Pharmacol. 2018, 819, 254–260. [Google Scholar] [CrossRef]
- Cao, T.; Li, Y.; Yang, Z.; Yuan, M.; Li, Y.; Yang, H.; Feng, Y.; Yin, S. Synthesis and Biological Evaluation of 3, 8-dimethyl-5-isopropylazulene Derivatives as Anti-gastric Ulcer Agent. Chem. Biol. Drug Des. 2016, 88, 264–271. [Google Scholar] [CrossRef]
- Ortiz, M.I.; Fernández-Martínez, E.; Soria-Jasso, L.E.; Lucas-Gómez, I.; Villagómez-Ibarra, R.; González-García, M.P.; Castañeda-Hernández, G.; Salinas-Caballero, M. Isolation, identification and molecular docking as cyclooxygenase (COX) inhibitors of the main constituents of Matricaria chamomilla L. extract and its synergistic interaction with diclofenac on nociception and gastric damage in rats. Biomed. Pharmacother. 2016, 78, 248–256. [Google Scholar] [CrossRef] [PubMed]
- Anderson, A.G.; Anderson, R.G.; Fujita, T.S. Displacement reactions on 1-azulylmethyltrimethylammonium iodide. J. Org. Chem. 1962, 27, 4535–4539. [Google Scholar] [CrossRef]
- Mathias, L.J.; Overberger, C.G. Simple syntheses of 1,3-bis(perfluoroacethyl)azulene and 1,3-azulenedicarboxylic acid. J. Org. Chem. 1980, 45, 1701–1703. [Google Scholar] [CrossRef]
- Toyama, Y.; Miyazawa, S.; Yokota, M. Azulenes, their preparation, and antibacterial agents containing them. Jpn. Kokai Tokkyo Koho 2014, JP 2004217602 A 2020040805. [Google Scholar]
- Kantoh, K.; Ono, M.; Nakamura, Y.; Nakamura, Y.; Hashimoto, K.; Sakagami, H.; Wakabayashi, H. Hormetic and anti-radiation effects of tropolone-related compounds. In Vivo 2010, 24, 843–851. [Google Scholar] [PubMed]
- Horikoshi, M.; Kimura, Y.; Nagura, H.; Ono, T.; Ito, H. A new human cell line derived from human carcinoma of the gingiva. I. Its establishment and morphological studies. Nihon Koku Geka Gakkai Zasshi 1974, 20, 100–106. [Google Scholar] [PubMed] [Green Version]
- Sugita, Y.; Takao, K.; Uesawa, Y.; Nagai, J.; Iijima, Y.; Sano, M.; Sakagami, H. Development of Newly Synthesized Chromone Derivatives with High Tumor Specificity against Human Oral Squamous Cell Carcinoma. Medicines 2020, 7, 50. [Google Scholar] [CrossRef]
- Sakagami, H.; Furukawa, T.; Satoh, K.; Amano, S.; Iijima, Y.; Koshikawa, T.; Asai, D.; Fukuchi, K.; Takemura, H.; Kanamoto, T.; et al. Re-Evaluation of Chemotherapeutic Potential of Pyoktanin Blue. Medicines 2021, 8, 33. [Google Scholar] [CrossRef]
- Yamali, C.; Sakagami, H.; Uesawa, Y.; Kurosaki, K.; Satoh, K.; Masuda, Y.; Yokose, S.; Ece, A.; Bua, S.; Angeli, A.; et al. Comprehensive study on potent and selective carbonic anhydrase inhibitors: Synthesis, bioactivities and molecular modelling studies of 4-(3-(2-arylidenehydrazine-1-carbonyl)-5-(thiophen-2-yl)-1H-pyrazole-1-yl) benzenesulfonamides. Eur. J. Med. Chem. 2021, 217, 113351. [Google Scholar] [CrossRef]
- Nagai, J.; Shi, H.; Kubota, Y.; Bandow, K.; Okudaira, N.; Uesawa, Y.; Sakagami, H.; Tomomura, M.; Tomomura, A.; Takao, K.; et al. Quantitative Structure-Cytotoxicity Relationship of Pyrano[4,3-b]chromones. Anticancer Res. 2018, 38, 4449–4457. [Google Scholar] [CrossRef] [Green Version]
- Moriwaki, H.; Tian, Y.S.; Kawashita, N.; Takagi, T. Mordred: A molecular descriptor calculator. J. Cheminform. 2018, 10, 4. [Google Scholar] [CrossRef] [Green Version]
- Kurosaki, K.; Wu, R.; Uesawa, Y. A Toxicity Prediction Tool for Potential Agonist/Antagonist Activities in Molecular Initiating Events Based on Chemical Structures. Int. J. Mol. Sci. 2020, 21, 7853. [Google Scholar] [CrossRef]
- Zhang, B.; Zhou, F.; Hong, J.; Ng, D.M.; Yang, T.; Zhou, X.; Jin, J.; Zhou, F.; Chen, P.; Xu, Y. The role of FOLFIRINOX in metastatic pancreatic cancer: A meta-analysis. World J. Surg. Oncol. 2021, 19, 182. [Google Scholar] [CrossRef]







| CC50 (μM) | |||||||||||||
|---|---|---|---|---|---|---|---|---|---|---|---|---|---|
| Human Oral Squamous Cell Carcinoma Cells | Human Normal Oral Cells | ||||||||||||
| Ca9-22 | HSC-2 | HSC-3 | HSC-4 | Mean | HGF | HPLF | HPC | Mean | TS | PSE | |||
| (A) | (B) | (C) | (D) | (D/B) | (C/A) | 100D/B2 | 100C/A2 | ||||||
| 1 | 335.1 | 400.0 | 397.4 | 400.0 | 383.1 | 400.0 | 400.0 | 400.0 | 400.0 | 1.0 | 1.2 | 0.3 | 0.4 |
| 2 | 379.3 | 377.8 | 400.0 | 400.0 | 389.3 | 400.0 | 400.0 | 400.0 | 400.0 | 1.0 | 1.1 | 0.3 | 0.3 |
| 3 | 233.4 | 400.0 | 400.0 | 377.8 | 352.8 | 400.0 | 400.0 | 400.0 | 400.0 | 1.1 | 1.7 | 0.3 | 0.7 |
| 4 | 288.1 | 313.8 | 361.0 | 375.6 | 334.6 | 400.0 | 391.6 | 376.9 | 389.5 | 1.2 | 1.4 | 0.3 | 0.5 |
| 5 | 53.5 | 40.8 | 63.2 | 106.5 | 66.0 | 293.3 | 363.9 | 181.9 | 279.7 | 4.2 | 5.5 | 6.4 | 10.2 |
| 6 | 71.1 | 86.9 | 59.0 | 196.9 | 103.5 | 400.0 | 400.0 | 400.0 | 400.0 | 3.9 | 5.6 | 3.7 | 7.9 |
| 7 | 41.6 | 55.1 | 38.9 | 62.9 | 49.6 | 400.0 | 356.9 | 400.0 | 385.6 | 7.8 | 9.6 | 15.7 | 23.1 |
| 8 | 46.7 | 52.4 | 46.3 | 60.1 | 51.4 | 354.9 | 266.8 | 328.0 | 316.6 | 6.2 | 7.6 | 12.0 | 16.2 |
| 9 | 29.3 | 33.9 | 33.8 | 35.2 | 33.0 | 298.2 | 156.1 | 112.5 | 189.0 | 5.7 | 10.2 | 17.3 | 34.8 |
| 10 | 124.2 | 337.0 | 181.3 | 328.7 | 242.8 | 400.0 | 400.0 | 400.0 | 400.0 | 1.7 | 3.2 | 0.7 | 2.6 |
| 11 | 55.9 | 76.5 | 46.3 | 81.6 | 65.1 | 400.0 | 355.6 | 400.0 | 385.2 | 5.9 | 7.2 | 9.1 | 12.8 |
| 12 | 110.7 | 162.7 | 101.3 | 155.6 | 132.6 | 303.2 | 270.7 | 168.0 | 247.3 | 1.9 | 2.7 | 1.4 | 2.5 |
| 13 | 120.5 | 173.1 | 73.6 | 153.6 | 130.2 | 327.7 | 293.0 | 201.6 | 274.1 | 2.1 | 2.7 | 1.6 | 2.3 |
| 14 | 391.1 | 377.8 | 309.4 | 400.0 | 369.6 | 400.0 | 400.0 | 400.0 | 400.0 | 1.1 | 1.0 | 0.3 | 0.3 |
| 15 | 19.9 | 16.8 | 29.4 | 21.5 | 21.9 | 400.0 | 400.0 | 377.8 | 392.6 | 17.9 | 20.1 | 81.7 | 101.0 |
| DOX | 0.4 | 0.2 | 0.4 | 0.1 | 0.3 | 10.0 | 9.0 | 10.0 | 9.7 | 34.5 | 25.1 | 12,325.0 | 6270.0 |
| 5-FU | 191.2 | 703.0 | 673.5 | 33.1 | 400.2 | 1000.0 | 1000.0 | 1000.0 | 1000.0 | 2.5 | 5.2 | 0.6 | 2.7 |
| L-PAM | 34.7 | 11.9 | 20.1 | 6.9 | 18.4 | 200.0 | 200.0 | 173.4 | 191.1 | 10.4 | 5.8 | 56.5 | 16.6 |
| CC50 (μM) | |||||||||||||
|---|---|---|---|---|---|---|---|---|---|---|---|---|---|
| Exp. 1 | Exp. 2 | Exp. 3 | |||||||||||
| PC12 | SH-SY5Y | LYPPB6 | Mean | PC12 | SH-SY5Y | LYPPB6 | Mean | dPC12 | Normal Cells | NT 1 | |||
| (E) | (F) | (G) | (D) | (D/E) | (D/F) | (D/G) | |||||||
| 7 | 59 | 400 | 400 | 286 | 68 | 400 | 400 | 289 | 400 | 386 | 1.4 | 1.3 | 1.0 |
| 9 | 35 | 73 | 56 | 55 | 36 | 63 | 74 | 58 | 19 | 189 | 3.5 | 3.3 | 10.2 |
| 15 | 378 | 42 | 400 | 273 | 400 | 400 | 400 | 400 | 400 | 393 | 1.4 | 1.0 | 1.0 |
| DOX | 0.07 | 0.02 | 0.32 | 0.14 | 0.26 | 0.12 | 0.78 | 0.39 | 0.22 | 10 | 70.6 | 25.0 | 44.9 |
| 5-FU | 14 | 5.85 | 250 | 89.95 | 2 | 1 | 125 | 43 | 297 | 1000 | 11.0 | 23.3 | 3.4 |
| L-PAM | N.D. | N.D. | N.D. | N.D. | 2 | 2 | 25 | 10 | 26 | 191 | N.D. | 19.8 | 7.2 |
| Important Descriptors | Significance of Correlation with T-N | Meanings |
|---|---|---|
| AATSC0v | r2 = 0.707; p = 0.0000853 | Autocorrelation of Topological Structure of lag 0 atoms weighted by van der Waals volume |
| GATS1s | r2 = 0.694; p = 0.000114 | Autocorrelation of Topological Structure of lag 1 atoms weighted by Sanderson EN |
| FASA_H | r2 = 0.671; p = 0.000185 | Descriptor related to water accessible surface area of all hydrophobic atoms |
| FASA_P | r2 = 0.671; p = 0.000185 | Descriptor related to water accessible surface area of all polar atoms |
| GATS4s | r2 = 0.669; p = 0.000196 | Autocorrelation of Topological Structure of lag 4 atoms weighted by intrinsic state |
| vsurf_CW5 | r2 = 0.668; p = 0.00020 | Capacity factor |
Publisher’s Note: MDPI stays neutral with regard to jurisdictional claims in published maps and institutional affiliations. |
© 2022 by the authors. Licensee MDPI, Basel, Switzerland. This article is an open access article distributed under the terms and conditions of the Creative Commons Attribution (CC BY) license (https://creativecommons.org/licenses/by/4.0/).
Share and Cite
Naitoh, K.; Orihara, Y.; Sakagami, H.; Miura, T.; Satoh, K.; Amano, S.; Bandow, K.; Iijima, Y.; Kurosaki, K.; Uesawa, Y.; et al. Tumor-Specificity, Neurotoxicity, and Possible Involvement of the Nuclear Receptor Response Pathway of 4,6,8-Trimethyl Azulene Amide Derivatives. Int. J. Mol. Sci. 2022, 23, 2601. https://doi.org/10.3390/ijms23052601
Naitoh K, Orihara Y, Sakagami H, Miura T, Satoh K, Amano S, Bandow K, Iijima Y, Kurosaki K, Uesawa Y, et al. Tumor-Specificity, Neurotoxicity, and Possible Involvement of the Nuclear Receptor Response Pathway of 4,6,8-Trimethyl Azulene Amide Derivatives. International Journal of Molecular Sciences. 2022; 23(5):2601. https://doi.org/10.3390/ijms23052601
Chicago/Turabian StyleNaitoh, Kotone, Yuta Orihara, Hiroshi Sakagami, Takumi Miura, Keitaro Satoh, Shigeru Amano, Kenjiro Bandow, Yosuke Iijima, Kota Kurosaki, Yoshihiro Uesawa, and et al. 2022. "Tumor-Specificity, Neurotoxicity, and Possible Involvement of the Nuclear Receptor Response Pathway of 4,6,8-Trimethyl Azulene Amide Derivatives" International Journal of Molecular Sciences 23, no. 5: 2601. https://doi.org/10.3390/ijms23052601
APA StyleNaitoh, K., Orihara, Y., Sakagami, H., Miura, T., Satoh, K., Amano, S., Bandow, K., Iijima, Y., Kurosaki, K., Uesawa, Y., Hashimoto, M., & Wakabayashi, H. (2022). Tumor-Specificity, Neurotoxicity, and Possible Involvement of the Nuclear Receptor Response Pathway of 4,6,8-Trimethyl Azulene Amide Derivatives. International Journal of Molecular Sciences, 23(5), 2601. https://doi.org/10.3390/ijms23052601

