Adipokines as New Biomarkers of Immune Recovery: Apelin Receptor, RBP4 and ZAG Are Related to CD4+ T-Cell Reconstitution in PLHIV on Suppressive Antiretroviral Therapy
Abstract
:1. Introduction
2. Results
2.1. Patient Characteristics
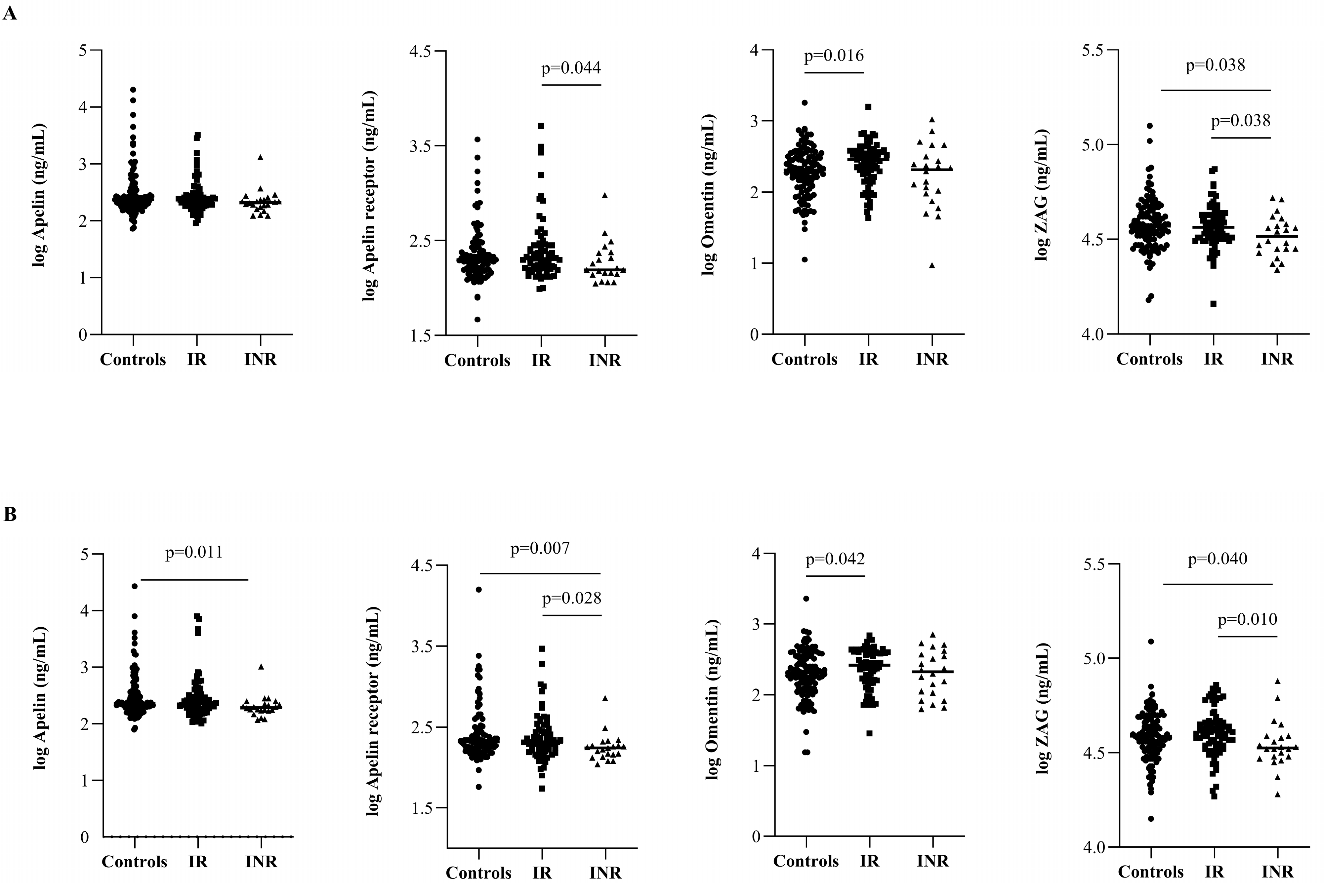
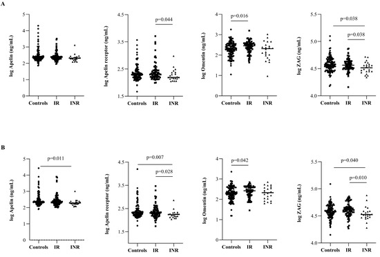
2.2. Low APLNR and ZAG Concentrations Predicted Discordant Responses to ART
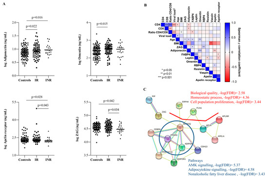
2.3. APLNR and ZAG Concentrations Were Related to Poor Immune Progression
2.4. APLNR and RBP4 Were Validated as Predictive Biomarkers of a Discordant Response
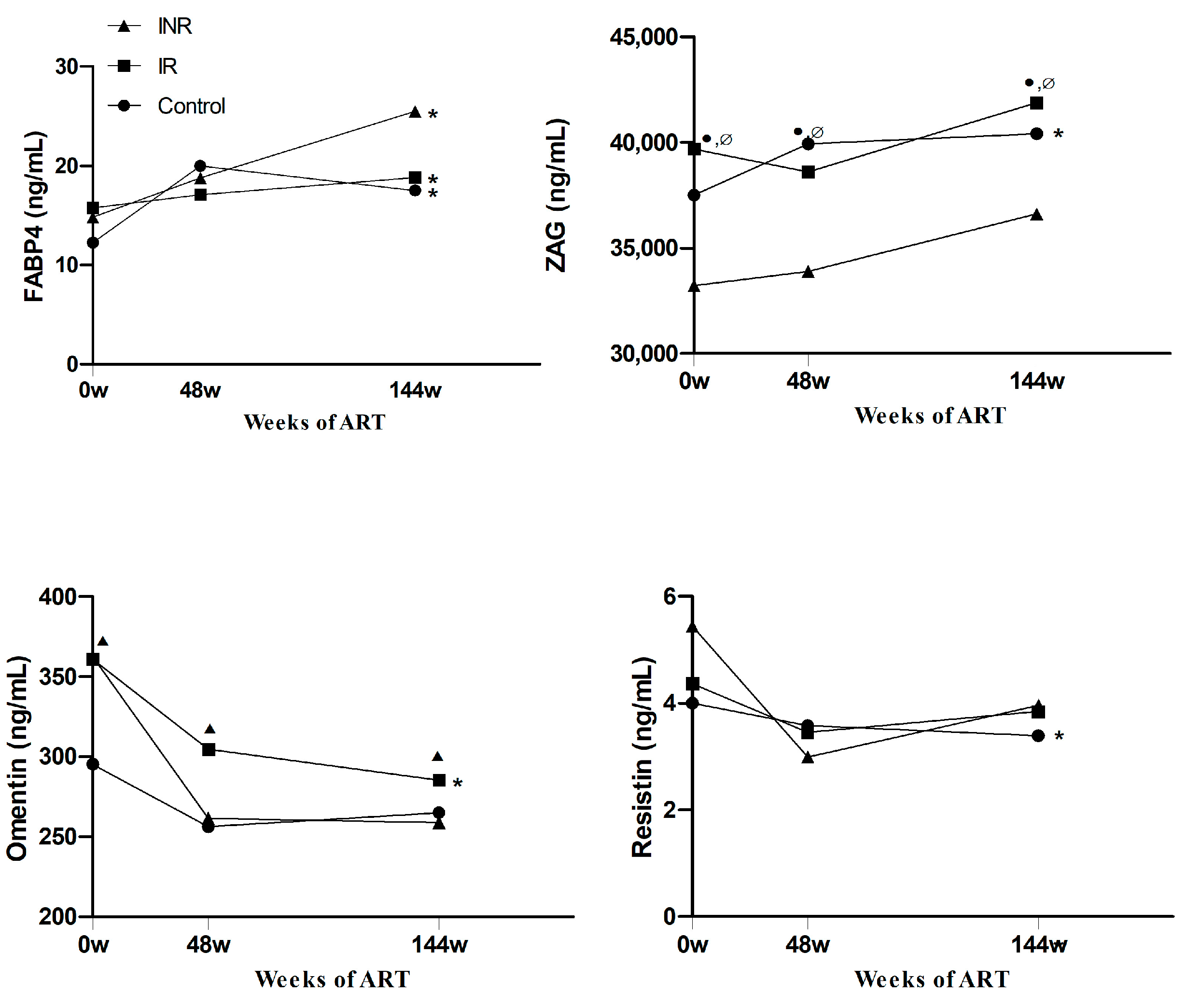
2.5. ART Affected FABP4, Omentin, and Resistin Concentrations
2.6. The Potential Effects of Different Antiretroviral Drugs on Adipokine Concentrations
3. Discussion
4. Materials and Methods
4.1. Study Design and Participants
4.2. General Laboratory Measurements
4.3. Adipokine Measurements
4.4. Statistical Analyses
5. Conclusions
Supplementary Materials
Author Contributions
Funding
Institutional Review Board Statement
Informed Consent Statement
Data Availability Statement
Acknowledgments
Conflicts of Interest
References
- Horta, A.; Nobrega, C.; Amorim-Machado, P.; Coutinho-Teixeira, V.; Barreira-Silva, P.; Boavida, S.; Costa, P.; Sarmento-Castro, R.; Castro, A.G.; Correia-Neves, M. Poor Immune Reconstitution in HIV-Infected Patients Associates with High Percentage of Regulatory CD4+ T Cells. PLoS ONE 2013, 8, e57336. [Google Scholar] [CrossRef] [Green Version]
- Yang, X.; Su, B.; Zhang, X.; Liu, Y.; Wu, H.; Zhang, T. Incomplete immune reconstitution in HIV/AIDS patients on antiretroviral therapy: Challenges of immunological non-responders. J. Leukoc. Biol. 2020, 107, 597–612. [Google Scholar] [CrossRef]
- Massanella, M.; Negredo, E.; Clotet, B.; Blanco, J. Immunodiscordant responses to HAART—mechanisms and consequences. Expert Rev. Anti Infect. Ther. 2013, 9, 1135–1149. [Google Scholar] [CrossRef] [PubMed]
- Hocqueloux, L.; Avettand-fènoël, V.; Jacquot, S.; Prazuck, T.; Legac, E.; Mélard, A.; Niang, M.; Mille, C.; Le moal, G.; Viard, J.P.; et al. Long-term antiretroviral therapy initiated during primary HIV-1 infection is key to achieving both low HIV reservoirs and normal T cell counts. J. Antimicrob. Chemother. 2013, 68, 1169–1178. [Google Scholar] [CrossRef] [Green Version]
- Cenderello, G.; De Maria, A. Discordant responses to cART in HIV-1 patients in the era of high potency antiretroviral drugs: Clinical evaluation, classification, management prospects. Expert Rev. Anti. Infect. Ther. 2016, 14, 29–40. [Google Scholar] [CrossRef]
- Van Lelyveld, S.F.L.; Gras, L.; Kesselring, A.; Zhang, S.; De Wolf, F.; Wensing, A.M.J.; Hoepelman, A.I.M. Long-Term Complications in Patients with Poor Immunological Recovery despite Virological Successful HAART in Dutch ATHENA Cohort. AIDS 2012, 26, 465–474. [Google Scholar] [CrossRef]
- Pacheco, Y.M.; Jarrin, I.; Rosado, I.; Campins, A.A.; Berenguer, J.; Iribarren, J.A.; Rivero, M.; Muñoz-Medina, L.; Bernal-Morell, E.; Gutiérrez, F.; et al. Increased risk of non-AIDS-related events in HIV subjects with persistent low CD4 counts despite cART in the CoRIS cohort. Antivir. Res. 2015, 117, 69–74. [Google Scholar] [CrossRef]
- Engsig, F.N.; Zangerle, R.; Katsarou, O.; Dabis, F.; Reiss, P.; Gill, J.; Porter, K.; Sabin, C.; Riordan, A.; Fätkenheuer, G.; et al. Long-term mortality in HIV-positive individuals virally suppressed for >3 years with incomplete CD4 recovery. Clin. Infect. Dis. 2014, 58, 1312–1321. [Google Scholar] [CrossRef] [PubMed]
- Blüher, M.; Mantzoros, C.S. From leptin to other adipokines in health and disease: Facts and expectations at the beginning of the 21st century. Metab. Clin. Exp. 2015, 64, 131–145. [Google Scholar] [CrossRef]
- Francisco, V.; Pino, J.; Gonzalez-Gay, M.A.; Mera, A.; Lago, F.; Gómez, R.; Mobasheri, A.; Gualillo, O. Adipokines and inflammation: Is it a question of weight? Br. J. Pharmacol. 2018, 175, 1569–1579. [Google Scholar] [CrossRef] [PubMed]
- Maximus, P.S.; Al Achkar, Z.; Hamid, P.F.; Hasnain, S.S.; Peralta, C.A. Adipocytokines: Are They the Theory of Everything? Cytokine 2020, 133. [Google Scholar] [CrossRef]
- Koethe, J.R.; Hulgan, T.; Niswender, K. Adipose tissue and immune function: A review of evidence relevant to HIV infection. J. Infect. Dis. 2013, 208, 1194–1201. [Google Scholar] [CrossRef] [Green Version]
- Escoté, X.; Megia, A.; López-Dupla, M.; Miranda, M.; Veloso, S.; Alba, V.; Domingo, P.; Pardo, P.; Viladés, C.; Peraire, J.; et al. A study of fatty acid binding protein 4 in HIV-1 infection and in combination antiretroviral therapy-related metabolic disturbances and lipodystrophy. HIV Med. 2011, 12, 428–437. [Google Scholar] [CrossRef]
- Ceperuelo-Mallafré, V.; Escoté, X.; Viladés, C.; Peraire, J.; Domingo, P.; Solano, E.; Sirvent, J.J.; Pastor, R.; Tinahones, F.; Leal, M.; et al. Zinc alpha-2 glycoprotein is implicated in dyslipidaemia in HIV-1-infected patients treated with antiretroviral drugs. HIV Med. 2012, 13, 297–303. [Google Scholar] [CrossRef] [PubMed]
- Peraire, J.; López-Dupla, M.; Alba, V.; Beltrán-Debón, R.; Martinez, E.; Domingo, P.; Asensi, V.; Leal, M.; Viladés, C.; Inza, M.I.; et al. HIV/antiretroviral therapy-related lipodystrophy syndrome (HALS) is associated with higher RBP4 and lower omentin in plasma. Clin. Microbiol. Infect. 2015, 21, 711.e1–711.e8. [Google Scholar] [CrossRef] [Green Version]
- Veloso, S.; Escoté, X.; Ceperuelo-Mallafré, V.; López-Dupla, M.; Peraire, J.; Viladés, C.; Domingo, P.; Castro, A.; Olona, M.; Sirvent, J.-J.; et al. Leptin and adiponectin, but not IL18, are related with insulin resistance in treated HIV-1-infected patients with lipodystrophy. Cytokine 2012, 58, 253–260. [Google Scholar] [CrossRef]
- Tien, P.C.; Benson, C.; Zolopa, A.R.; Sidney, S.; Osmond, D.; Grunfeld, C. The Study of Fat Redistribution and Metabolic Change in HIV Infection (FRAM): Methods, Design, and Sample Characteristics. Am. J. Epidemiol. 2006, 163, 860. [Google Scholar] [CrossRef]
- Bourgeois, C.; Gorwood, J.; Olivo, A.; Le Pelletier, L.; Capeau, J.; Lambotte, O.; Béréziat, V.; Lagathu, C. Contribution of Adipose Tissue to the Chronic Immune Activation and Inflammation Associated With HIV Infection and Its Treatment. Front. immunol. 2021, 12, 1–22. [Google Scholar] [CrossRef]
- Conley, L.J.; Bush, T.J.; Rupert, A.W.; Sereti, I.; Patel, P.; Brooks, J.T.; Baker, J.V. Obesity is associated with greater inflammation and monocyte activation among HIV-infected adults receiving antiretroviral therapy. AIDS 2015, 29, 2201–2207. [Google Scholar] [CrossRef] [PubMed]
- Shikuma, C.M.; Gangcuangco, L.M.A.; Killebrew, D.A.; LiButti, D.E.; Chow, D.C.; Nakamoto, B.K.; Liang, C.Y.; Milne, C.I.P.; Ndhlovu, L.C.; Barbour, J.D.; et al. The role of HIV and monocytes/macrophages in adipose tissue biology. J. Acquir. Immune Defic. Syndr. 2014, 65, 151–159. [Google Scholar] [CrossRef] [PubMed] [Green Version]
- Carr, A.; Samaras, K.; Burton, S.; Law, M.; Freund, J.; Chisholm, D.J.; Cooper, D.A. A syndrome of peripheral lipodystrophy, hyperlipidaemia and insulin resistance in patients receiving HIV protease inhibitors. AIDS 1998, 12. [Google Scholar] [CrossRef]
- Couturier, J.; Suliburk, J.W.; Brown, J.M.; Luke, D.J.; Agarwal, N.; Yu, X.; Nguyen, C.; Lyer, N.; Kozinetz, C.A.; Overbeek, P.A.; et al. Human adipose tissue as a reservoir for memory CD4+ T cells and HIV. AIDS 2015, 29, 667–674. [Google Scholar] [CrossRef] [Green Version]
- Damouche, A.; Lazure, T.; Avettand-Fènoël, V.; Huot, N.; Dejucq-Rainsford, N.; Satie, A.P.; Mélard, A.; David, L.; Gommet, C.; Ghosn, J.; et al. Adipose Tissue Is a Neglected Viral Reservoir and an Inflammatory Site during Chronic HIV and SIV Infection. PLoS Pathog. 2015, 11, e1005153. [Google Scholar] [CrossRef] [Green Version]
- Richert, Q.; Trajtman, A.; Arroyave, L.; Toews, J.; Becker, M.; Kasper, K.; McLaren, P.; Rueda, Z.; Keynan, Y. Systemic Inflammation before and after Antiretroviral Therapy Initiation as a Predictor of Immune Response among HIV-Infected Individuals in Manitoba. Cytokine 2017, 91, 74–81. [Google Scholar] [CrossRef] [PubMed]
- Lago, F.; Dieguez, C.; Gómez-Reino, J.; Gualillo, O. The emerging role of adipokines as mediators of inflammation and immune responses. Cytokine Growth Factor Rev. 2007, 18, 313–325. [Google Scholar] [CrossRef]
- Cao, H. Adipocytokines in obesity and metabolic disease. J. Endocrinol. 2014, 220, T47–T59. [Google Scholar] [CrossRef] [PubMed] [Green Version]
- Maclaren, R.; Cui, W.; Cianflone, K. Adipokines and the Immune System: An Adipocentric View 2 Endocrine Functions of Adipose Tissue in the Immune System. System 2008, 1–21. [Google Scholar] [CrossRef]
- Gaardbo, J.C.; Hartling, H.J.; Gerstoft, J.; Nielsen, S.D. Incomplete Immune Recovery in HIV Infection: Mechanisms, Relevance for Clinical Care, and Possible Solutions. Clin. Dev. Immunol. 2012, 2012, 17. [Google Scholar] [CrossRef] [PubMed]
- Lago, F.; Dieguez, C.; Gómez-Reino, J.; Gualillo, O. Adipokines as emerging mediators of immune response and inflammation. Nat. Clin. Pr. Rheumatol. 2007, 3, 716–724. [Google Scholar] [CrossRef]
- Recinella, L.; Orlando, G.; Ferrante, C.; Chiavaroli, A.; Leone, S. Adipokines: New Potential Therapeutic Target for Obesity and Metabolic, Rheumatic, and Cardiovascular Diseases. Front. physiol. 2020, 11. [Google Scholar] [CrossRef]
- Żelechowska, P.; Brzezińska-Błaszczyk, E.; Kusowska, A.; Kozłowska, E. The role of adipokines in the modulation of lymphoid lineage cell development and activity: An overview. Obes. Rev. 2020, 21. [Google Scholar] [CrossRef] [PubMed]
- Morimoto, H.K.; Simão, A.N.C.; de Almeida, E.R.D.; Ueda, L.T.; Oliveira, S.R.; de Oliveira, N.B.; Petenucci, D.L.; Panis, C.; Cecchini, R.; Dichi, I.; et al. Role of Metabolic Syndrome and Antiretroviral Therapy in Adiponectin Levels and Oxidative Stress in HIV-1 Infected Patients. Nutrition 2014, 30, 1324–1330. [Google Scholar] [CrossRef] [PubMed]
- Ketlogetswe, K.S.; Post, W.S.; Li, X.; Palella, F.J.; Jacobson, L.P.; Margolick, J.B.; Kingsley, L.A.; Witt, M.D.; Dobs, A.S.; Budoff, M.J.; et al. Lower adiponectin is associated with subclinical cardiovascular disease among HIV-infected men. AIDS 2014, 28, 901–909. [Google Scholar] [CrossRef] [PubMed]
- Niersmann, C.; Röhrig, K.; Blüher, M.; Roden, M.; Herder, C.; Carstensen-Kirberg, M. Increased Release of Proinflammatory Proteins in Primary Human Adipocytes and Activation of the Inflammatory NFĸB, p38, and ERK Pathways upon Omentin Treatment. Obes. facts 2020, 13, 221–236. [Google Scholar] [CrossRef]
- Michalczyk, K.; Niklas, N.; Rychlicka, M.; Cymbaluk-Płoska, A.; Baldassarre, G. diagnostics The Influence of Biologically Active Substances Secreted by the Adipose Tissue on Endometrial Cancer. Diagnostics 2021, 11. [Google Scholar] [CrossRef]
- Tsang, J.Y.S.; Li, D.; Ho, D.; Peng, J.; Xu, A.; Lamb, J.; Chen, Y.; Tam, P.K.H. Novel immunomodulatory effects of adiponectin on dendritic cell functions. Int. Immunopharmacol. 2011, 11, 604–609. [Google Scholar] [CrossRef]
- Zabetian-Targhi, F.; Mirzaei, K.; Keshavarz, S.A.; Hossein-Nezhad, A. Modulatory Role of Omentin-1 in Inflammation: Cytokines and Dietary Intake. J. Am. Coll. Nutr. 2016, 35, 670–678. [Google Scholar] [CrossRef]
- Liu, R.; Zhao, P.; Zhang, Q.; Che, N.; Xu, L.; Qian, J.; Tan, W.; Zhang, M. Adiponectin promotes fibroblast-like synoviocytes producing IL-6 to enhance T follicular helper cells response in rheumatoid arthritis. Clin. Exp. Rheumatol. 2020, 38, 11–18. [Google Scholar]
- Scotece, M.; Pérez, T.; Conde, J.; Abella, V.; López, V.; Pino, J.; Gonzalez-Gay, M.A.; Gomez-Reino, J.J.; Mera, A.; Gomez, R.; et al. Adipokines induce pro-inflammatory factors in activated Cd4+ T cells from osteoarthritis patient. J. Orthop. Res. 2017, 35, 1299–1303. [Google Scholar] [CrossRef]
- Cheng, X.; Folco, E.J.; Shimizu, K.; Libby, P. Adiponectin induces pro-inflammatory programs in human macrophages and CD4+ T cells. J. Biol. Chem. 2012, 287, 36896–36904. [Google Scholar] [CrossRef] [PubMed] [Green Version]
- Choi, H.M.; Doss, H.M.; Kim, K. Multifaceted Physiological Roles of Adiponectin in Inflammation and Diseases. Int. J. Mol. Sci. 2020, 21. [Google Scholar] [CrossRef] [PubMed] [Green Version]
- Lei, L.; Li, K.; Li, L.; Fang, X.; Zhou, T.; Zhang, C.; Luo, Y.; Liu, H.; Li, X.; Zheng, H.; et al. Circulating zinc-α2-glycoprotein levels are low in newly diagnosed patients with metabolic syndrome and correlate with adiponectin. Nutr. Metab. 2017, 14, 53. [Google Scholar] [CrossRef] [PubMed] [Green Version]
- Wang, C. Obesity, Inflammation, and Lung Injury (OILI): The Good. Mediat. Inflamm. 2014, 2014. [Google Scholar] [CrossRef] [Green Version]
- Yang, M.; Liu, R.; Li, S.; Luo, Y.; Zhang, Y.; Zhang, L.; Liu, D.; Wang, Y.; Xiong, Z.; Boden, G.; et al. Zinc-α2-glycoprotein is associated with insulin resistance in humans and is regulated by hyperglycemia, hyperinsulinemia, or liraglutide administration. Diabetes Care 2013, 36, 1074–1082. [Google Scholar] [CrossRef] [Green Version]
- Noh, J.Y.; Shin, J.U.; Kim, J.H.; Kim, S.H.; Kim, B.M.; Kim, Y.H.; Park, S.; Kim, T.G.; Shin, K.O.; Park, K.; et al. ZAG Regulates the Skin Barrier and Immunity in Atopic Dermatitis. J. Investig. Dermatol. 2019, 139, 1648–1657. [Google Scholar] [CrossRef]
- Zhou, N.; Zhang, X.; Fan, X.; Argyris, E.; Fang, J.; Acheampong, E.; DuBois, G.C.; Pomerantz, R.J. The N-Terminal Domain of APJ, a CNS-Based Coreceptor for HIV-1, Is Essential for Its Receptor Function and Coreceptor Activity. Virology 2003, 317, 84–94. [Google Scholar] [CrossRef] [PubMed] [Green Version]
- Castan-Laurell, I.; Dray, C.; Attané, C.; Duparc, T.; Knauf, C.; Valet, P. Apelin, diabetes, and obesity. Endocrine 2011, 40, 1–9. [Google Scholar] [CrossRef]
- Kralisch, S.; Fasshauer, M. Adipocyte fatty acid binding protein: A novel adipokine involved in the pathogenesis of metabolic and vascular disease? Diabetologia 2013, 56, 10–21. [Google Scholar] [CrossRef] [Green Version]
- Zou, M.X.; Liu, H.Y.; Haraguchi, Y.; Soda, Y.; Tatemoto, K.; Hoshino, H. Apelin peptides block the entry of human immunodeficiency virus (HIV). FEBS Lett. 2000, 473, 15–18. [Google Scholar] [CrossRef] [Green Version]
- Marchetti, G.; Gori, A.; Casabianca, A.; Magnani, M.; Franzetti, F.; Clerici, M.; Perno, C.F.; Monforte, A.D.A.; Galli, M.; Meroni, L. Comparative Analysis of T-Cell Turnover and Homeostatic Parameters in HIV-Infected Patients with Discordant Immune-Virological Responses to HAART. AIDS 2006, 20, 1727–1736. [Google Scholar] [CrossRef] [PubMed]
- Tincati, C.; Merlini, E.; Braidotti, P.; Ancona, G.; Savi, F.; Tosi, D.; Borghi, E.; Callegari, M.L.; Mangiavillano, B.; Barassi, A.; et al. Impaired gut junctional complexes feature late-treated individuals with suboptimal CD4 + T-cell recovery upon virologically suppressive combination antiretroviral therapy. AIDS 2016, 30, 991–1003. [Google Scholar] [CrossRef] [PubMed]
- Zhang, L.X.; Song, J.W.; Zhang, C.; Fan, X.; Huang, H.H.; Xu, R.N.; Liu, J.Y.; Zhang, J.Y.; Wang, L.F.; Zhou, C.B.; et al. Dynamics of HIV reservoir decay and naïve CD4 T-cell recovery between immune non-responders and complete responders on long-term antiretroviral treatment. Clin. Immunol. 2021, 229, 108773. [Google Scholar] [CrossRef]
- Karamfilova, V.; Gateva, A.; Alexiev, A.; Zheleva, N.; Velikova, T.; Ivanova-Boyanova, R.; Ivanova, R.; Cherkezov, N.; Kamenov, Z.; Mateva, L. The association between retinol-binding protein 4 and prediabetes in obese patients with nonalcoholic fatty liver disease. Arch. Physiol. Biochem. 2019, 128, 217–222. [Google Scholar] [CrossRef]
- Jeong, S.J.; Chin, B.S.; Chae, Y.T.; Jin, S.J.; Ku, N.S.; Baek, J.H.; Han, S.H.; Kim, C.O.; Choi, J.Y.; Song, Y.G.; et al. Serum retinol-binding protein-4 levels are increased in HIV-infected subjects with metabolic syndrome receiving highly active antiretroviral therapy. Yonsei Med. J. 2012, 53, 1211–1215. [Google Scholar] [CrossRef] [PubMed] [Green Version]
- Han, S.H.; Chin, B.S.; Lee, H.S.; Jeong, S.J.; Choi, H.K.; Kim, C.O.; Choi, J.Y.; Song, Y.G.; Lee, H.C.; Kim, J.M. Serum retinol-binding protein 4 correlates with obesity, insulin resistance, and dyslipidemia in HIV-infected subjects receiving highly active antiretroviral therapy. Metab. Clin. Exp. 2009, 58, 1523–1529. [Google Scholar] [CrossRef] [PubMed]
- Blanco, J.R.; Romero, L.; Ramalle-Gómara, E.; Metola, L.; Ibarra, V.; Sanz, M.; Oteo, J.A.; Garcia, A.; Pérez-Martínez, L. Retinol-binding protein 4 (RBP4), a potential biomarker of frailty in HIV-infected people on stable antiretroviral therapy. HIV Med. 2020, 21, 358–364. [Google Scholar] [CrossRef]
- Rb-Silva, R.; Goios, A.; Kelly, C.; Teixeira, P.; João, C.; Horta, A.; Correia-Neves, M. Definition of Immunological Nonresponse to Antiretroviral Therapy: A Systematic Review. J. Acquir. Immune Defic. Syndr. 2019, 82, 452–461. [Google Scholar] [CrossRef]






| Controls (n = 120, 53.8%) | Cases (n = 101, 46.2%) | p Value * (Controls vs. Cases) | IR (n = 77, 76.2%) | INR (n = 22, 21.8%) | p Value ** (IR vs. INR) | |
|---|---|---|---|---|---|---|
| Demographic characteristics | ||||||
| Age (years) | 38 (31–45) | 41 (35–51) | 0.009 | 40 (35–50) | 44 (41–56) | 0.063 |
| Male (%) | 101 (84.2) | 80 (79.2) | 0.383 | 61 (79.22) | 16 (72.72) | 0.765 |
| BMI | 24.72 ± 2.93 | 24.07 ± 3.92 | 0.535 | 24.07 ± 3.91 | 24.09 ± 3.85 | 0.615 |
| CD4+ T-cell count (cells/mm3) | 328 (260–465) | 88 (31–169) | <0.001 | 116 (43–174.5) | 38 (12.5–70) | 0.003 |
| CD8+ T-cell count (cells/mm3) | 1069 (780–1341) | 527 (357–1020) | <0.001 | 521 (359–1058) | 436 (222–1015) | 0.536 |
| CD4+/CD8+ ratio | 0.28 (0.21–0.49) | 0.12 (0.06–0.34) | <0.001 | 0.14 (0.08–0.37) | 0.05 (0.028–0.12) | 0.010 |
| Alcohol (%) | 26 (21.7) | 20 (19.8) | 0.746 | 13 (16.88) | 6 (27.27) | 0.345 |
| Tobacco (%) | 51 (42.5) | 33 (32.7) | 0.070 | 28 (36.36) | 5 (22.72) | 0.394 |
| Comorbidities | ||||||
| High blood pressure (%) | 6 (5) | 13 (12.9) | 0.043 | 8 (10.39) | 4 (18.18) | 0.004 |
| Dyslipidaemia (%) | 0 | 1 (1) | 0.484 | 1 (1.29) | 0 | 0.590 |
| Diabetes mellitus (%) | 10 (8.3) | 8 (7.9) | 0.764 | 4 (5.19) | 3 (13.63) | 0.093 |
| HIV-related parameters | ||||||
| Viral Load (log copies/mL) | 4.79 (4.21–5.17) | 5.29 (4.72–5.61) | <0.001 | 5.28 (4.73–5.57) | 5.39 (4.71–5.71) | 0.695 |
| Risk factor | 0.492 | 0.185 | ||||
| Heterosexual (%) | 33 (27.5) | 38 (37.6) | 31 (40.26) | 6 (27.27) | ||
| Homosexual (%) | 58 (48.3) | 45 (44.6) | 35 (45.45) | 9 (40.91) | ||
| IVDU (%) | 9 (7.5) | 8 (7.9) | 7 (9.09) | 1 (4.54) | ||
| Haemophilic (%) | 1 (0.8) | 1 (1) | 0 | 1 (4.54) | ||
| Unknown/others (%) | 19 (15.8) | 10 (9.9) | 4 (5.19) | 5 (22.72) | ||
| HIV-Coinfections | ||||||
| HBV (%) | 37 (30.8) | 36 (35.6) | 0.778 | 28 (36.36) | 6 (27.27) | 0.601 |
| HCV (%) | 17 (14.2) | 13 (12.9) | 0.938 | 9 (11.69) | 4 (18.18) | 0.343 |
| HAART | ||||||
| NRTI+NNRTI (%) | 54 (45) | 55 (54.5) | 0.225 | 40 (51.95) | 12 (54.54) | 0.830 |
| NRTI+PI (%) | 54 (45) | 37 (36.6) | 0.218 | 29 (37.66) | 8 (36.36) | 0.912 |
| NNRTI+PI (%) | 4 (3.3) | 4 (3.9) | 1 | 3 (3.90) | 1 (4.54) | 0.892 |
| Unknown/other (%) | 8 (6.7) | 6 (5.9) | 1 | 5 (6.49) | 1 (4.54) | 0.222 |
Publisher’s Note: MDPI stays neutral with regard to jurisdictional claims in published maps and institutional affiliations. |
© 2022 by the authors. Licensee MDPI, Basel, Switzerland. This article is an open access article distributed under the terms and conditions of the Creative Commons Attribution (CC BY) license (https://creativecommons.org/licenses/by/4.0/).
Share and Cite
Yeregui, E.; Masip, J.; Viladés, C.; Domingo, P.; Pacheco, Y.M.; Blanco, J.; Mallolas, J.; Alba, V.; Vargas, M.; García-Pardo, G.; et al. Adipokines as New Biomarkers of Immune Recovery: Apelin Receptor, RBP4 and ZAG Are Related to CD4+ T-Cell Reconstitution in PLHIV on Suppressive Antiretroviral Therapy. Int. J. Mol. Sci. 2022, 23, 2202. https://doi.org/10.3390/ijms23042202
Yeregui E, Masip J, Viladés C, Domingo P, Pacheco YM, Blanco J, Mallolas J, Alba V, Vargas M, García-Pardo G, et al. Adipokines as New Biomarkers of Immune Recovery: Apelin Receptor, RBP4 and ZAG Are Related to CD4+ T-Cell Reconstitution in PLHIV on Suppressive Antiretroviral Therapy. International Journal of Molecular Sciences. 2022; 23(4):2202. https://doi.org/10.3390/ijms23042202
Chicago/Turabian StyleYeregui, Elena, Jenifer Masip, Consuelo Viladés, Pere Domingo, Yolanda M. Pacheco, Julià Blanco, Josep Mallolas, Verónica Alba, Montserrat Vargas, Graciano García-Pardo, and et al. 2022. "Adipokines as New Biomarkers of Immune Recovery: Apelin Receptor, RBP4 and ZAG Are Related to CD4+ T-Cell Reconstitution in PLHIV on Suppressive Antiretroviral Therapy" International Journal of Molecular Sciences 23, no. 4: 2202. https://doi.org/10.3390/ijms23042202
APA StyleYeregui, E., Masip, J., Viladés, C., Domingo, P., Pacheco, Y. M., Blanco, J., Mallolas, J., Alba, V., Vargas, M., García-Pardo, G., Negredo, E., Olona, M., Vidal-González, J., Peraire, M., Martí, A., Reverté, L., Gómez-Bertomeu, F., Leal, M., Vidal, F., ... Rull, A. (2022). Adipokines as New Biomarkers of Immune Recovery: Apelin Receptor, RBP4 and ZAG Are Related to CD4+ T-Cell Reconstitution in PLHIV on Suppressive Antiretroviral Therapy. International Journal of Molecular Sciences, 23(4), 2202. https://doi.org/10.3390/ijms23042202

