1,2,3-Triazole Derivatives as Novel Antifibrinolytic Drugs
Abstract
1. Introduction
2. Results
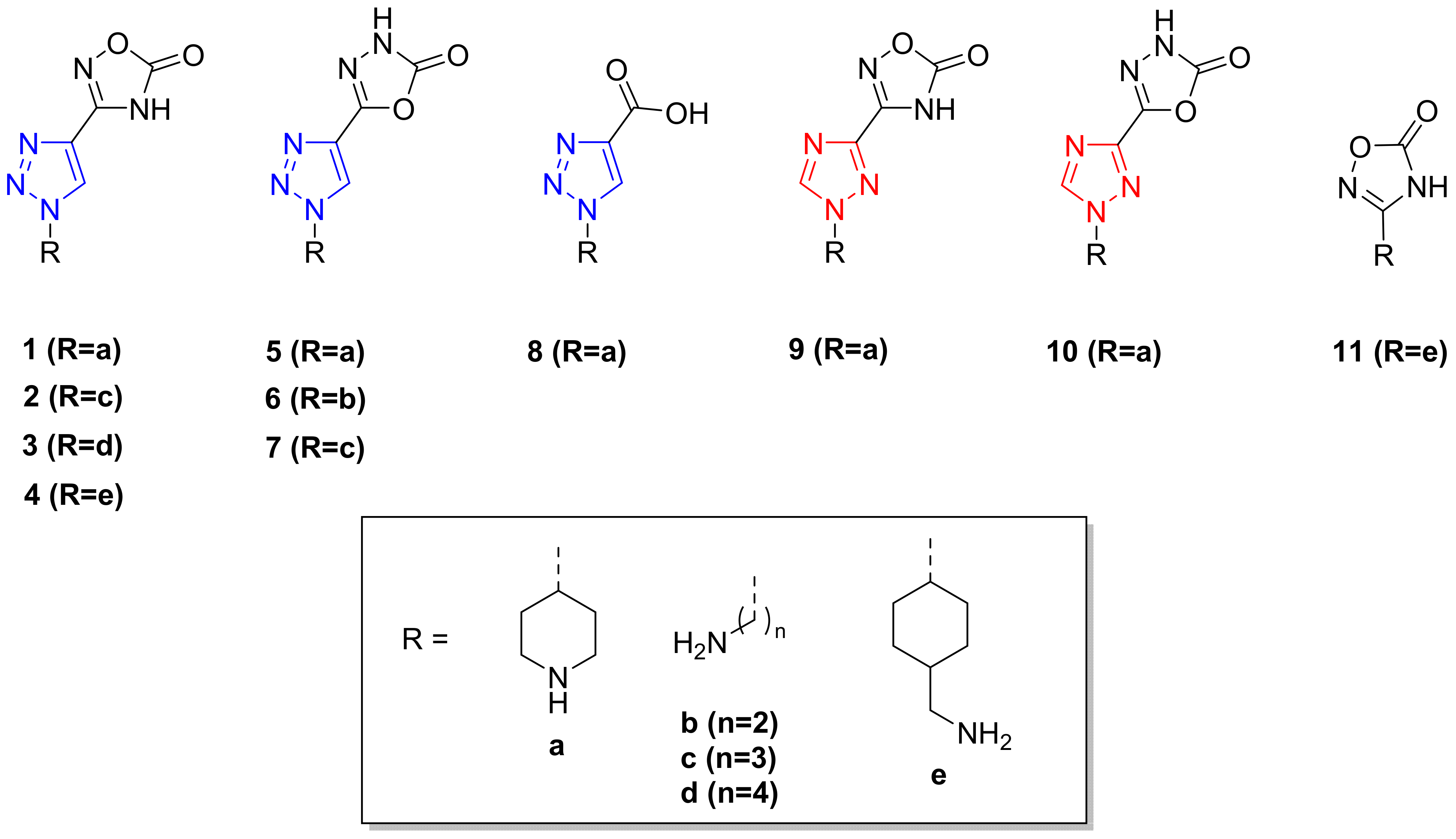
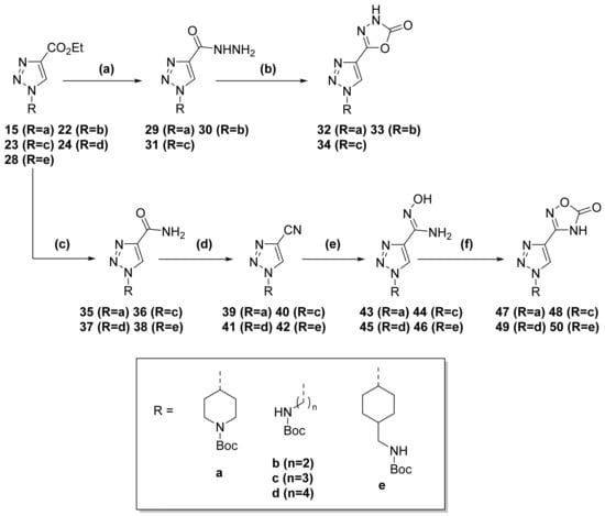
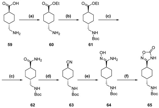
2.1. Synthesis
2.2. Clot Lysis Assays
2.3. Computational Analysis
3. Discussion
4. Materials and Methods
4.1. Synthesis
4.2. Clot Lysis Assay
4.3. Docking Studies
4.4. Molecular Dynamics Studies
4.5. Molecular Surface Determination
5. Conclusions
Supplementary Materials
Author Contributions
Funding
Institutional Review Board Statement
Informed Consent Statement
Data Availability Statement
Acknowledgments
Conflicts of Interest
Abbreviations
References
- Cesarman-Maus, G.; Hajjar, K.A. Molecular mechanisms of fibrinolysis. Br. J. Haematol. 2005, 129, 307–321. [Google Scholar] [CrossRef]
- Medved, L.; Nieuwenhuizen, W. Molecular mechanisms of initiation of fibrinolysis by fibrin. Thromb. Haemost. 2003, 89, 409–419. [Google Scholar]
- Nesheim, M. Thrombin and fibrinolysis. Chest 2003, 124, 33S–39S. [Google Scholar] [CrossRef]
- Kolev, K.; Machovich, R. Molecular and cellular modulation of fibrinolysis. Thromb. Haemost. 2003, 89, 610–621. [Google Scholar] [CrossRef]
- Gale, A.J. Current understanding of hemostasis. Toxicol. Pathol. 2011, 39, 237–280. [Google Scholar] [CrossRef]
- Chapin, J.C.; Hajjar, K.A. Fibrinolysis and the control of blood coagulation. Blood Rev. 2015, 29, 17–24. [Google Scholar] [CrossRef]
- U.S. Food and Drug Administration. Lysteda—Prescribing Information. Available online: http://www.ferringusa.com/wp-content/uploads/2016/07/LystedaPI_3.2016.pdf (accessed on 17 January 2022).
- Forbes, C.D.; Barr, R.D.; Reid, G.; Thomson, C.; Prentice, C.R.M.; Mcnicol, G.P.; Douglas, A.S. Tranexamic acid in control of Haemorrhage after dental extraction in Haemophilia and Christmas disease. Br. Med. J. 1972, 2, 311–313. [Google Scholar] [CrossRef]
- Hibbs, S.P.; Roberts, I.; Shakur-Still, H.; Hunt, B.J. Post-partum Haemorrhage and tranexamic acid: A global issue. Br. J. Haematol. 2018, 180, 799–807. [Google Scholar] [CrossRef]
- Benoni, G.; Lethagen, S.; Fredin, H. The effect of tranexamic acid on local and plasma fibrinolysis during total knee arthroplasty. Thromb. Res. 1997, 85, 195–206. [Google Scholar] [CrossRef]
- Veien, M.; Sørensen, J.V.; Madsen, F.; Juelsgaard, P. Tranexamic acid given intraoperatively reduces blood loss after total knee replacement: A randomized, controlled study. Acta Anaesthesiol. Scand. 2002, 46, 1206–1211. [Google Scholar] [CrossRef]
- Raza, I.; Davenport, R.; Rourke, C.; Platton, S.; Manson, J.; Spoors, C.; Khan, S.; De’Ath, H.D.; Allard, S.; Hart, D.P.; et al. The incidence and magnitude of fibrinolytic activation in trauma patients. J. Thromb. Haemost. 2013, 11, 307–314. [Google Scholar] [CrossRef]
- Davis, J.S.; Satahoo, S.S.; Butler, F.K.; Dermer, H.; Naranjo, D.; Julien, K.; van Haren, R.M.; Namias, N.; Blackbourne, L.H.; Schulman, C.I. An analysis of prehospital deaths: Who can we save? J. Trauma Acute Care Surg. 2014, 77, 213–218. [Google Scholar] [CrossRef]
- Olldashi, F.; Kerçi, M.; Zhurda, T.; Ruçi, K.; Banushi, A.; Traverso, M.S.; Jiménez, J.; Balbi, J.; Dellera, C.; Svampa, S.; et al. Effects of tranexamic acid on death, vascular occlusive events, and blood transfusion in trauma patients with significant Haemorrhage (CRASH-2): A randomised, placebo-controlled trial. Lancet 2010, 376, 23–32. [Google Scholar] [CrossRef]
- Rossaint, R.; Bouillon, B.; Cerny, V.; Coats, T.J.; Duranteau, J.; Fernández-Mondéjar, E.; Filipescu, D.; Hunt, B.J.; Komadina, R.; Nardi, G.; et al. The European guideline on management of major bleeding and coagulopathy following trauma: Fourth edition. Crit. Care 2016, 20, 100. [Google Scholar] [CrossRef]
- Alkjaersig, N.; Fletcher, A.P.; Sherry, S. The mechanism of clot dissolution by plasmin. J. Clin. Invest. 1959, 38, 1086–1095. [Google Scholar] [CrossRef]
- Dunn, C.J.; Goa, K.L. Tranexamic acid: A review of its use in surgery and other indications. Drugs 1999, 57, 1005–1032. [Google Scholar] [CrossRef]
- Hunt, B.J. The current place of tranexamic acid in the management of bleeding. Anaesthesia 2015, 70, e18-53. [Google Scholar] [CrossRef]
- Wafaisade, A.; Lefering, R.; Bouillon, B.; Böhmer, A.B.; Gäßler, M.; Ruppert, M. Prehospital administration of tranexamic acid in trauma patients. Crit. Care 2016, 20, 143. [Google Scholar] [CrossRef]
- Dalmau, A.; Sabaté, A.; Acosta, F.; Garcia-Huete, L.; Koo, M.; Sansano, T.; Rafecas, A.; Figueras, J.; Jaurrieta, E.; Parrilla, P. Tranexamic acid reduces red cell transfusion better than ε-aminocaproic acid or placebo in liver transplantation. Anesth. Analg. 2000, 91, 29–34. [Google Scholar] [CrossRef]
- Verma, K.; Errico, T.; Diefenbach, C.; Hoelscher, C.; Peters, A.; Dryer, J.; Huncke, T.; Boenigk, K.; Lonner, B.S. The relative efficacy of antifibrinolytics in adolescent idiopathic scoliosis: A prospective randomized trial. J. Bone Joint. Surg. Am. 2014, 96, e80. [Google Scholar] [CrossRef]
- Markus, G.; Priore, R.L.; Wissler, F.C. The binding of tranexamic acid to native (Glu) and modified (Lys) human plasminogen and its effect on conformation. J. Biol. Chem. 1979, 254, 1211–1216. [Google Scholar] [CrossRef]
- Mathews, I.I.; Vanderhoff-Hanaver, P.; Castellino, F.J.; Tulinsky, A. Crystal structures of the recombinant kringle 1 domain of human plasminogen in complexes with the ligands ε-aminocaproic acid and trans-4-(aminomethyl)cyclohexane-1-carboxylic acid. Biochemistry 1996, 35, 2567–2576. [Google Scholar] [CrossRef]
- Winn, E.S.; Hu, S.-P.; Hochschwender, S.M.; Laursen, R.A. Studies on the lysine-binding sites of human plasminogen: The effect of ligand structure on the binding of lysine analogs to plasminogen. Eur. J. Biochem. 1980, 104, 579–586. [Google Scholar] [CrossRef]
- Lucas, M.A.; Fretto, L.J.; McKee, P.A. The binding of human plasminogen to fibrin and fibrinogen. J. Biol. Chem. 1983, 258, 4249–4256. [Google Scholar] [CrossRef]
- U.S. Food and Drug Administration. AMICAR ® (Aminocaproic Acid). Available online: https://www.accessdata.fda.gov/drugsatfda_docs/label/2009/015230s037lbl.pdf (accessed on 20 January 2022).
- Pharmacia & Upjohn Company. CYKLOKAPRON ® Tranexamic Acid Injection Antifibrinolytic Agent. Available online: https://www.accessdata.fda.gov/drugsatfda_docs/label/2011/019281s030lbl.pdf (accessed on 20 January 2022).
- Nilsson, I.M.; Andersson, L.; Björkman, S.E. Epsilon-Aminocaproic Acid (E-ACA) as a therapeutic agent based on 5 year’s clinical experience. Acta Med. Scand. Suppl. 1966, 448, 1–46. [Google Scholar]
- Andersson, L.; Nilsson, I.M.; Niléhn, J.-E.; Hedner, U.; Granstrand, B.; Melander, B. Experimental and clinical studies on AMCA, the antifibrinolytically active isomer of P-aminomethyl cyclohexane carboxylic acid. Scand. J. Haematol. 1965, 2, 230–247. [Google Scholar] [CrossRef]
- Tranexamic Acid Side Effects. Available online: https://www.drugs.com/sfx/tranexamic-acid-side-effects.html (accessed on 23 March 2022).
- Tranexamic Acid 100 mg/mL Solution for Injection. Available online: https://www.medicines.org.uk/emc/product/1220/smpc (accessed on 23 March 2022).
- Fergusson, D.A.; Hébert, P.C.; Mazer, C.D.; Fremes, S.; MacAdams, C.; Murkin, J.M.; Teoh, K.; Duke, P.C.; Arellano, R.; Blajchman, M.A.; et al. A comparison of aprotinin and lysine analogues in high-risk cardiac surgery. N. Engl. J. Med. 2008, 358, 2319–2331. [Google Scholar] [CrossRef]
- Mangano, D.T.; Miao, Y.; Vuylsteke, A.; Tudor, I.C.; Juneja, R.; Filipescu, D.; Hoeft, A.; Fontes, M.L.; Hillel, Z.; Ott, E.; et al. Mortality associated with aprotinin during 5 years following coronary artery bypass graft surgery. J. Am. Med. Assoc. 2007, 297, 471–479. [Google Scholar] [CrossRef]
- Boström, J.; Grant, J.A.; Fjellström, O.; Thelin, A.; Gustafsson, D. Potent fibrinolysis inhibitor discovered by shape and electrostatic complementarity to the drug tranexamic acid. J. Med. Chem. 2013, 56, 3273–3280. [Google Scholar] [CrossRef]
- Lambert, J.J.; Belelli, D.; Hill-Venning, C.; Peters, J.A. Neurosteroids and GABAA receptor function. Trends Pharmacol. Sci. 1995, 16, 295–303. [Google Scholar] [CrossRef]
- Jansen, M.; Rabe, H.; Strehle, A.; Dieler, S.; Debus, F.; Dannhardt, G.; Akabas, M.H.; Lüddens, H. Synthesis of GABAA receptor agonists and evaluation of their α-subunit selectivity and orientation in the GABA binding site. J. Med. Chem. 2008, 51, 4430–4448. [Google Scholar] [CrossRef]
- Cheng, L.; Pettersen, D.; Ohlsson, B.; Schell, P.; Karle, M.; Evertsson, E.; Pahlén, S.; Jonforsen, M.; Plowright, A.T.; Boström, J.; et al. Discovery of the fibrinolysis inhibitor AZD6564, acting via interference of a protein-protein interaction. ACS Med. Chem. Lett. 2014, 5, 538–543. [Google Scholar] [CrossRef]
- Ellermann, M.; Valot, G.; Cancho Grande, Y.; Hassfeld, J.; Kinzel, T.; Koebberling, J.; Beyer, K.; Roehrig, S.; Sperzel, M.; Stampfuss, J.; et al. Indazolopyrimidinones as Fibrinolysis Inhibitors. WO2016173948A1, 3 November 2016. [Google Scholar]
- Ellermann, M.; Valot, G.; Cancho Grande, Y.; Hassfeld, J.; Kinzel, T.; Koebberling, J.; Beyer, K.; Roehrig, S.; Sperzel, M.; Stampfuss, J.; et al. Piperidinylpyrazolopyrimidinones as Plasminogen Inhibitors and Their Preparation. WO2016071216A1, 12 May 2016. [Google Scholar]
- Steinmetzer, T.; Pilgram, O.; Wenzel, B.M.; Wiedemeyer, S.J.A. Fibrinolysis inhibitors: Potential drugs for the treatment and prevention of bleeding. J. Med. Chem. 2020, 63, 1445–1472. [Google Scholar] [CrossRef]
- Afosah, D.K.; Al-Horani, R.A.; Sankaranarayanan, N.V.; Desai, U.R. Potent, selective, allosteric inhibition of human plasmin by sulfa non-saccharide glycosaminoglycan mimetics. J. Med. Chem. 2017, 60, 641–657. [Google Scholar] [CrossRef]
- Mann, A. Conformational restriction and/or steric hindrance in medicinal chemistry. In The Practice of Medicinal Chemistry; Elsevier: Amsterdam, The Netherlands, 2008. [Google Scholar]
- Chawla, G.; Naaz, B.; Siddiqui, A.A. Exploring 1,3,4-oxadiazole scaffold for anti-inflammatory and analgesic activities: A review of literature from 2005–2016. Mini. Rev. Med. Chem. 2017, 18, 216–233. [Google Scholar] [CrossRef]
- Chawla, G. 1,2,4-oxadiazole as a privileged scaffold for anti-inflammatory and analgesic activities: A review. Mini. Rev. Med. Chem. 2018, 18, 1536–1547. [Google Scholar] [CrossRef]
- Glomb, T.; Szymankiewicz, K.; Świątek, P. Anti-cancer activity of derivatives of 1,3,4-oxadiazole. Molecules 2018, 23, 3361. [Google Scholar] [CrossRef]
- Agalave, S.G.; Maujan, S.R.; Pore, V.S. Click chemistry: 1,2,3-triazoles as pharmacophores. Chem. Asian J. 2011, 6, 2696–2718. [Google Scholar] [CrossRef]
- Xu, Z.; Zhao, S.J.; Liu, Y. 1,2,3-triazole-containing hybrids as potential anticancer agents: Current developments, action mechanisms and structure-activity relationships. Eur. J. Med. Chem. 2019, 183, 111700. [Google Scholar] [CrossRef]
- Bozorov, K.; Zhao, J.; Aisa, H.A. 1,2,3-triazole-containing hybrids as leads in medicinal chemistry: A recent overview. Bioorg. Med. Chem. 2019, 27, 3511–3531. [Google Scholar] [CrossRef]
- Schmidt, T.C.; Eriksson, P.O.; Gustafsson, D.; Cosgrove, D.; Frølund, B.; Boström, J. Discovery and evaluation of anti-fibrinolytic plasmin inhibitors derived from 5-(4-Piperidyl)Isoxazol-3-Ol (4-PIOL). J. Chem. Inf. Model. 2017, 57, 1703–1714. [Google Scholar] [CrossRef] [PubMed]
- Sangshetti, J.N.; Nagawade, R.R.; Shinde, D.B. Synthesis of novel 3-(1-(1-substituted piperidin-4-yl)-1h-1,2,3-triazol-4-yl)-1,2,4-oxadiazol-5(4h)-one as antifungal agents. Bioorg. Med. Chem. Lett. 2009, 19, 3564–3567. [Google Scholar] [CrossRef] [PubMed]
- Humphrey, W.; Dalke, A.; Schulten, K. VMD: Visual molecular dynamics. J. Mol. Graph. 1996, 14, 27–28, 33–38. [Google Scholar] [CrossRef] [PubMed]
- Schüttelkopf, A.W.; van Aalten, D.M.F. PRODRG: A tool for high-throughput crystallography of protein-ligand complexes. Acta Crystallogr. D Biol. Crystallogr. 2004, 60, 1355–1363. [Google Scholar] [CrossRef] [PubMed]
- Varshney, A.; Brooks, F.P.; Wright, W.V. Linearly scalable computation of smooth molecular surfaces. IEEE Comput. Graph. Appl. 1994, 14, 19–25. [Google Scholar] [CrossRef]














| Compound | IC50 (µM) | Compound | IC50 (µM) |
|---|---|---|---|
| TXA | 33.3 | 6 | >1000 |
| EACA | 263 | 7 | 335 |
| 1 | 13.8 | 8 | 27.8 |
| 2 | 138 | 9 | >1000 |
| 3 | >1000 | 10 | >1000 |
| 4 | >1000 | 11 | 60.4 |
| 5 | 36.8 |
| Ligand | Molecular Surface (Å2) |
|---|---|
| GABA | 256.4 |
| TXA | 293.7 |
| 4-PIOL | 310.9 |
| 1 | 374.4 |
Publisher’s Note: MDPI stays neutral with regard to jurisdictional claims in published maps and institutional affiliations. |
© 2022 by the authors. Licensee MDPI, Basel, Switzerland. This article is an open access article distributed under the terms and conditions of the Creative Commons Attribution (CC BY) license (https://creativecommons.org/licenses/by/4.0/).
Share and Cite
Bosch-Sanz, O.; Rabadà, Y.; Biarnés, X.; Pedreño, J.; Caveda, L.; Balcells, M.; Martorell, J.; Sánchez-García, D. 1,2,3-Triazole Derivatives as Novel Antifibrinolytic Drugs. Int. J. Mol. Sci. 2022, 23, 14942. https://doi.org/10.3390/ijms232314942
Bosch-Sanz O, Rabadà Y, Biarnés X, Pedreño J, Caveda L, Balcells M, Martorell J, Sánchez-García D. 1,2,3-Triazole Derivatives as Novel Antifibrinolytic Drugs. International Journal of Molecular Sciences. 2022; 23(23):14942. https://doi.org/10.3390/ijms232314942
Chicago/Turabian StyleBosch-Sanz, Oriol, Yvette Rabadà, Xevi Biarnés, Javier Pedreño, Luis Caveda, Mercedes Balcells, Jordi Martorell, and David Sánchez-García. 2022. "1,2,3-Triazole Derivatives as Novel Antifibrinolytic Drugs" International Journal of Molecular Sciences 23, no. 23: 14942. https://doi.org/10.3390/ijms232314942
APA StyleBosch-Sanz, O., Rabadà, Y., Biarnés, X., Pedreño, J., Caveda, L., Balcells, M., Martorell, J., & Sánchez-García, D. (2022). 1,2,3-Triazole Derivatives as Novel Antifibrinolytic Drugs. International Journal of Molecular Sciences, 23(23), 14942. https://doi.org/10.3390/ijms232314942

