Transcriptome Analysis Revealing the Interaction of Abscisic Acid and Cell Wall Modifications during the Flower Opening and Closing Process of Nymphaea lotus
Abstract
1. Introduction
2. Results
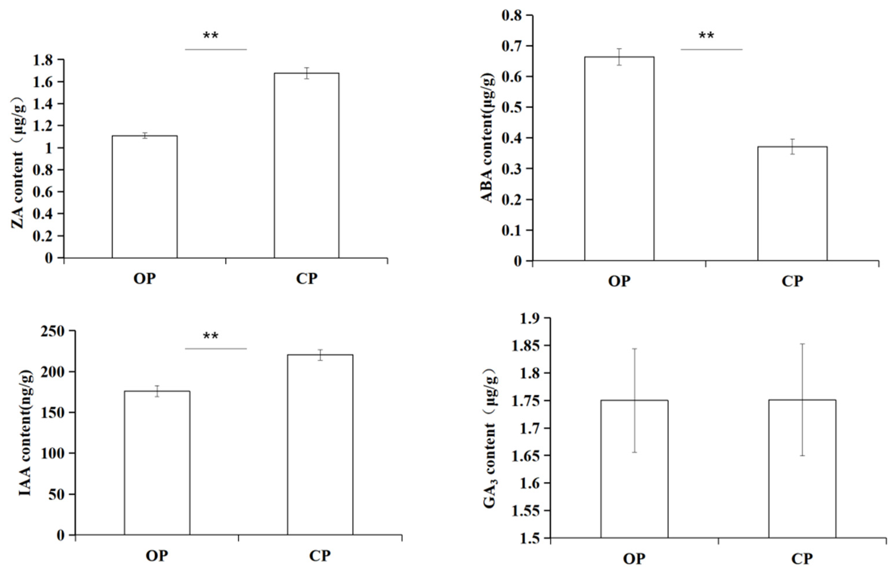
2.1. Changes in Endogenous Hormone Content in N. lotus during Opening and Closing of the Flower
2.2. Transcriptome Profiling of the Waterlily Flower at Open and Closed Periods
2.2.1. Gene Regulation Involved in Cell Signal Transduction of Waterlily Petals
- Ca2+ Signaling
- ROS Signaling
- Light Signaling
- Hormone Coordination
2.2.2. Gene Regulation Involved in the Cell Metabolism of Waterlily Petals
- Water Transportation
- Cell Wall Modification
2.3. qRT-PCR Analysis
3. Discussion
3.1. Similarities and Differences in Flower Opening and Closing Mechanism between N. ‘Blue Bird’ and N. lotus
3.2. The Interaction between ABA Hormone and Cell Wall Modification Affected the Opening of N. lotus
4. Materials and Methods
4.1. Plant Materials and Growth Conditions
4.2. Determination of Endogenous Hormone Content during the Flower Opening and Closing Process of N. lotus
4.3. RNA-Seq, Expression Annotation, GO and KEGG Pathway Enrichment and Gene Expression Patterns
4.4. qRT-PCR Assay
4.5. Statistical Analysis
5. Conclusions
Supplementary Materials
Author Contributions
Funding
Institutional Review Board Statement
Informed Consent Statement
Data Availability Statement
Conflicts of Interest
References
- Conard, H.S. The Waterlilies: A Monograph of the Genus Nymphaea; Carnegie Institution of Washington: Washington, DC, USA, 1905; Volume 4. [Google Scholar]
- Friis, E.M.; Pedersen, K.R.; Crane, P.R. Fossil evidence of waterlilies (Nymphaeales) in the Early Cretaceous. Nature 2001, 410, 357–360. [Google Scholar] [CrossRef] [PubMed]
- Zhang, L.S.; Chen, F.; Zhang, X.T.; Li, Z.; Zhao, Y.Y.; Lohaus, R.; Chang, X.J.; Dong, W.; Ho, S.Y.; Liu, X.; et al. The waterlily genome and the early evolution of flowering plants. Nature 2020, 577, 79–84. [Google Scholar] [CrossRef] [PubMed]
- Wasagu, R.; Lawal, M.; Galadima, L.; Aliero, A.A. Nutritional composition, antinutritional factors and elemental analysis of Nymphaea lotus (waterlily). Bayero J. Pure Appl. Sci. 2015, 8, 1–5. [Google Scholar] [CrossRef]
- Yin, D.D.; Yuan, R.Y.; Wu, Q.; Li, S.S.; Shao, S.; Xu, Y.J.; Hao, X.H.; Wang, L.S. Assessment of flavonoids and volatile compounds in tea infusions of waterlily flowers and their antioxidant activities. Food Chem. 2015, 187, 20–28. [Google Scholar] [CrossRef]
- Zhao, Y.; Fan, Y.Y.; Yu, W.G.; Wang, J.; Lu, W.J.; Song, X.Q. Ultrasound-enhanced subcritical fluid extraction of essential oil from Nymphaea alba var and its antioxidant activity. J. ACAO Int. 2019, 102, 1448–1454. [Google Scholar] [CrossRef]
- Zhao, Y.; Zhou, W.J.; Chen, Y.; Li, Z.J.; Song, X.Q.; Wang, J.; Tian, D.K.; Niu, J. Metabolite analysis in Nymphaea ‘Blue Bird’ petals reveal the roles of flavonoids in color formation, stress amelioration, and bee orientation. Plant Sci. 2021, 312, 111025. [Google Scholar] [CrossRef]
- Van Doorn, W.G.; Kamdee, C. Flower opening and closure: An update. J. Exp. Bot. 2014, 65, 5749–5757. [Google Scholar] [CrossRef]
- Van Doorn, W.G.; Van Meeteren, U. Flower opening and closure: A review. J. Exp. Bot. 2003, 54, 1801–1812. [Google Scholar] [CrossRef]
- Ke, M.Y.; Gao, Z.; Chen, J.Q.; Qiu, Y.T.; Zhang, L.S.; Chen, X. Auxin controls circadian flower opening and closure in the waterlily. BMC Plant Biol. 2018, 18, 143. [Google Scholar] [CrossRef]
- Cheng, C.X.; Yu, Q.; Wang, Y.R.; Wang, H.; Dong, Y.H.; Ji, Y.Q.; Zhou, X.F.; Li, Y.H.; Jiang, C.Z.; Gan, S.S.; et al. Ethylene-regulated asymmetric growth of the petal base promotes flower opening in rose (Rosa hybrida). Plant Cell 2021, 33, 1229–1251. [Google Scholar] [CrossRef]
- Sun, X.M.; Qin, M.Z.; Yu, Q.; Huang, Z.W.; Xiao, Y.; Li, Y.; Ma, N.; Gao, J.P. Molecular understanding of postharvest flower opening and senescence. Mol. Hortic. 2021, 1, 7. [Google Scholar] [CrossRef]
- Rohde, A.; Kurup, S.; Holdsworth, M. ABI3 emerges from the seed. Trends Plant Sci. 2000, 5, 418–419. [Google Scholar] [CrossRef]
- Ishiguro, S.; Kawai-Oda, A.; Ueda, J.; Nishida, I.; Okada, K. The DEFECTIVE IN ANTHER DEHISCENCE1 gene encodes a novel phospholipase A1 catalyzing the initial step of jasmonic acid biosynthesis, which synchronizes pollen maturation, anther dehiscence, and flower opening in Arabidopsis. Plant Cell 2001, 13, 2191–2209. [Google Scholar] [CrossRef]
- Cosgrove, D.J. Plant expansins: Diversity and interactions with plant cell walls. Curr. Opin. Plant Biol. 2015, 25, 162–172. [Google Scholar] [CrossRef]
- Harada, T.; Torii, Y.; Morita, S.; Onodera, R.; Hara, Y.; Yokoyama, R.; Nishitani, K.; Satoh, S. Cloning, characterization, and expression of xyloglucan endotransglucosylase/hydrolase and expansin genes associated with petal growth and development during carnation flower opening. J. Exp. Bot. 2011, 62, 815–823. [Google Scholar] [CrossRef]
- Park, Y.B.; Cosgrove, D.J. Xyloglucan and its interactions with other components of the growing cell wall. Plant Cell Physiol. 2015, 56, 180–194. [Google Scholar] [CrossRef]
- Lehman, T.A.; Smertenko, A.; Sanguinet, K.A. Auxin, microtubules, and vesicle trafficking: Conspirators behind the cell wall. J. Exp. Bot. 2017, 68, 3321–3329. [Google Scholar] [CrossRef] [PubMed]
- Nishiyama, K.; Guis, M.; Rose, J.K.; Kubo, Y.; Bennett, K.A.; Wangjin, L.; Kato, K.; Ushijima, K.; Nakano, R.; Inaba, A.; et al. Ethylene regulation of fruit softening and cell wall disassembly in Charentais melon. J. Exp. Bot. 2007, 58, 1281–1290. [Google Scholar] [CrossRef]
- Ochiai, M.; Matsumoto, S.; Yamada, K. Methyl jasmonate treatment promotes flower opening of cut eustoma by inducing cell wall loosening proteins in petals. Postharvest Biol. Technol. 2013, 82, 1–5. [Google Scholar] [CrossRef]
- Huttly, A.K.; Phillips, A.L. Gibberellin-regulated plant genes. Physiol. Plant. 1995, 95, 310–317. [Google Scholar] [CrossRef]
- Sun, T.P. Gibberellin metabolism, perception and signaling pathways in Arabidopsis. Arab. Book 2008, 6, e0103. [Google Scholar] [CrossRef] [PubMed]
- Liu, C.; Yu, H.S.; Rao, X.L.; Li, L.G.; Dixon, R.A. Abscisic acid regulates secondary cell-wall formation and lignin deposition in Arabidopsis thaliana through phosphorylation of NST1. Proc. Natl. Acad. Sci. USA 2021, 118, e2010911118. [Google Scholar] [CrossRef]
- Li, Z.J.; Zhou, W.J.; Wang, P.; Chen, Y.F.; Huo, S.J.; Wang, J.; Tian, D.K.; Niu, J.; Zhao, Y.; Song, X.Q. Transcriptome analysis reveals the senescence process controlling the flower opening and closure rhythm in the Waterlilies (Nymphaea L.). Front. Plant. Sci. 2021, 12, 701633. [Google Scholar] [CrossRef] [PubMed]
- Tuteja, N.; Mahajan, S. Calcium signaling network in plants: An overview. Plant Signal. Behav. 2007, 2, 79–85. [Google Scholar] [CrossRef] [PubMed]
- Mhamdi, A.; Van Breusegem, F. Reactive oxygen species in plant development. Development 2018, 145, dev164376. [Google Scholar] [CrossRef] [PubMed]
- Singh, R.; Singh, S.; Parihar, P.; Mishra, R.K.; Tripathi, D.K.; Singh, V.P.; Chauhan, D.K.; Prasad, S.M. Reactive oxygen species (ROS): Beneficial companions of plants’ developmental processes. Front. Plant Sci. 2016, 7, 1299. [Google Scholar] [CrossRef] [PubMed]
- Thomas, B. Light signals and flowering. J. Exp. Bot. 2006, 57, 3387–3393. [Google Scholar] [CrossRef]
- Stortenbeker, N.; Bemer, M. The SAUR gene family: The plant’s toolbox for adaptation of growth and development. J. Exp. Bot. 2019, 70, 17–27. [Google Scholar] [CrossRef]
- Holland, C.K.; Jez, J.M. Structural Biology of Jasmonic Acid Metabolism and Responses in Plants. In Plant Structural Biology: Hormonal Regulations; Springer: Cham, Switzerland, 2018; pp. 67–82. [Google Scholar] [CrossRef]
- Wang, M.; Le Gourrierec, J.; Jiao, F.C.; Demotes-Mainard, S.; Perez-Garcia, M.D.; Oge, L.; Hamama, L.; Crespel, L.; Bertheloot, J.; Chen, J.T.; et al. Convergence and divergence of sugar and cytokinin signaling in plant development. Int. J. Mol. Sci. 2021, 22, 1282. [Google Scholar] [CrossRef]
- Ho, L.; Nichols, R. Translocation of 14C-sucrose in relation to changes in carbohydrate content in rose corollas cut at different stages of development. Ann. Bot. 1977, 41, 227–242. [Google Scholar] [CrossRef]
- Tyerman, S.D.; Niemietz, C.M.; Bramley, H. Plant aquaporins: Multifunctional water and solute channels with expanding roles. Plant Cell Environ. 2002, 25, 173–194. [Google Scholar] [CrossRef] [PubMed]
- Varner, J.E.; Lin, L.S. Plant cell wall architecture. Cell 1989, 56, 231–239. [Google Scholar] [CrossRef]
- Xiao, R.X.; Zhang, C.; Guo, X.R.; Li, H.; Lu, H. MYB transcription factors and its regulation in secondary cell wall formation and lignin biosynthesis during xylem development. Int. J. Mol. Sci. 2021, 22, 3560. [Google Scholar] [CrossRef] [PubMed]
- Seymour, R.S.; Matthews, P.G. The role of thermogenesis in the pollination biology of the Amazon waterlily Victoria amazonica. Ann. Bot. 2006, 98, 1129–1135. [Google Scholar] [CrossRef] [PubMed]
- Tian, C.E.; Muto, H.; Higuchi, K.; Matamura, T.; Tatematsu, K.; Koshiba, T.; Yamamoto, K.T. Disruption and overexpression of auxin response factor 8 gene of Arabidopsis affect hypocotyl elongation and root growth habit, indicating its possible involvement in auxin homeostasis in light condition. Plant J. 2004, 40, 333–343. [Google Scholar] [CrossRef]
- Fonseca, S.; Fernandez-Calvo, P.; Fernandez, G.M.; Diez-Diaz, M.; Gimenez-Ibanez, S.; Lopez-Vidriero, I.; Godoy, M.; Fernandez-Barbero, G.; Van Leene, J.; De Jaeger, G.; et al. bHLH003, bHLH013 and bHLH017 are new targets of JAZ repressors negatively regulating JA responses. PLoS ONE 2014, 9, e86182. [Google Scholar] [CrossRef]
- Hussain, A.; Peng, J. DELLA proteins and GA signalling in Arabidopsis. J. Plant Growth Regul. 2003, 22, 134–140. [Google Scholar] [CrossRef]
- Zhang, S.C.; Wang, X.J. Expression pattern of GASA, downstream genes of DELLA, in Arabidopsis. Chin. Sci. Bull. 2008, 53, 3839–3846. [Google Scholar] [CrossRef]
- Teshome, S.; Kebede, M. Analysis of regulatory elements in GA2ox, GA3ox and GA20ox gene families in Arabidopsis thaliana: An important trait. Biotechnol. Biotec. Eq. 2021, 35, 1603–1612. [Google Scholar] [CrossRef]
- Kushiro, T.; Okamoto, M.; Nakabayashi, K.; Yamagishi, K.; Kitamura, S.; Asami, T.; Hirai, N.; Koshiba, T.; Kamiya, Y.; Nambara, E. The Arabidopsis cytochrome P450 CYP707A encodes ABA 8’-hydroxylases: Key enzymes in ABA catabolism. EMBO J. 2004, 23, 1647–1656. [Google Scholar] [CrossRef]
- Yu, L.; Wang, W.L.; Zeng, S.; Chen, Z.; Yang, A.M.; Shi, J.; Zhao, X.Z.; Song, B.A. Label-free quantitative proteomics analysis of Cytosinpeptidemycin responses in southern rice black-streaked dwarf virus-infected rice. Pestic. Biochem. Physiol. 2018, 147, 20–26. [Google Scholar] [CrossRef] [PubMed]
- Soon, F.F.; Ng, L.M.; Zhou, X.E.; West, G.M.; Kovach, A.; Tan, M.H.E.; Suino-Powell, K.M.; He, Y.Z.; Xu, Y.; Chalmers, M.J.; et al. Molecular mimicry regulates ABA signaling by SnRK2 kinases and PP2C phosphatases. Science 2012, 335, 85–88. [Google Scholar] [CrossRef] [PubMed]
- Seo, M.; Marion-Poll, A. Abscisic acid metabolism and transport. Adv. Bot. Res. 2019, 92, 1–49. [Google Scholar] [CrossRef]
- Huang, Y.F.; Li, H.; Hutchison, C.E.; Laskey, J.; Kieber, J.J. Biochemical and functional analysis of CTR1, a protein kinase that negatively regulates ethylene signaling in Arabidopsis. Plant J. 2003, 33, 221–233. [Google Scholar] [CrossRef]
- Thirugnanasambantham, K.; Durairaj, S.; Saravanan, S.; Karikalan, K.; Muralidaran, S.; Islam, V.I.H. Role of ethylene response transcription factor (ERF) and its regulation in response to stress encountered by plants. Plant Mol. Biol. Rep. 2015, 33, 347–357. [Google Scholar] [CrossRef]
- Zhao, W. Cloning and Functional Analysis of Tomato SlEGY2 Gene. Master’s Thesis, Shandong Agricultural University, Tai’an, China, 2018. (In Chinese). [Google Scholar]
- Houben, M.; Van de Poel, B. 1-Aminocyclopropane-1-Carboxylic Acid Oxidase (ACO): The enzyme that makes the plant hormone ethylene. Front. Plant Sci. 2019, 10, 695. [Google Scholar] [CrossRef]
- Campbell, L.; Etchells, J.P.; Cooper, M.; Kumar, M.; Turner, S.R. An essential role for abscisic acid in the regulation of xylem fibre differentiation. Development 2018, 145, dev161992. [Google Scholar] [CrossRef]
- Ma, Z.; Ge, L.Y.; Lee, A.S.A.; Yong, J.W.H.; Tan, S.N.; Ong, E.S. Simultaneous analysis of different classes of phytohormones in coconut (Cocos nucifera L.) water using high-performance liquid chromatography and liquid chromatography–tandem mass spectrometry after solid-phase extraction. Anal. Chim. Acta 2008, 610, 274–281. [Google Scholar] [CrossRef]







| Heatmap Number | Gene ID | Best Homolog | FPKM (Close) | FPKM (Open) |
|---|---|---|---|---|
| 1 | TRINITY_DN33954_c0_g1_i1 | CPK20 | 24.67 | 222.67 |
| 2 | TRINITY_DN43164_c0_g1_i7 | CBL21 | 103.08 | 5.62 |
| cluster_contig14104 | CBL3 | 76.85 | 5.33 | |
| TRINITY_DN43164_c0_g1_i6 | CBL23 | 176.16 | 16.00 | |
| cluster_contig11726 | CBL23 | 193.56 | 21.18 | |
| TRINITY_DN42937_c3_g3_i8 | CBL12 | 1537.17 | 235.54 | |
| TRINITY_DN34147_c0_g1_i1 | CBL5 | 30.33 | 191.67 | |
| cluster_contig33272 | CBL12 | 76.41 | 510.81 | |
| cluster_contig33312 | CBL12 | 28.88 | 238.84 | |
| 3 | TRINITY_DN37281_c0_g1_i1 | CML49 | 25.82 | 96.47 |
| TRINITY_DN43916_c0_g1_i2 | CML38 | 104.05 | 405.90 | |
| cluster_contig32852 | CML50 | 29.45 | 127.22 | |
| cluster_contig17156 | CML11 | 13.06 | 80.58 | |
| TRINITY_DN43916_c0_g1_i1 | CML38 | 84.95 | 503.44 | |
| TRINITY_DN30645_c0_g1_i1 | CML3 | 9.33 | 70.00 | |
| 4 | TRINITY_DN33584_c4_g1_i6 | CAM | 6.04 | 59.63 |
| 5 | TRINITY_DN35826_c0_g2_i1 | GPX | 246.73 | 31.54 |
| 6 | TRINITY_DN38584_c2_g1_i3 | GrxC | 179.65 | 31.69 |
| Heatmap Number | Gene ID | Best Homolog | FPKM (Close) | FPKM (Open) |
|---|---|---|---|---|
| 7 | cluster_contig33844 | PHOT1 | 136.62 | 576.57 |
| TRINITY_DN46984_c2_g2_i1 | Phot1 | 10.07 | 60.37 | |
| TRINITY_DN46984_c2_g2_i3 | PHOT1 | 98.18 | 421.90 | |
| cluster_contig4683 | Phot1 | 0.00 | 35.67 | |
| TRINITY_DN39051_c0_g1_i1 | PHOT1 | 35.71 | 146.36 | |
| 8 | cluster_contig24741 | BLUS1 | 130.88 | 566.19 |
| 9 | TRINITY_DN39859_c1_g2_i5 | PHYB | 2037.26 | 369.42 |
| 10 | cluster_contig16390 | LHY | 9279.65 | 1215.09 |
| TRINITY_DN43711_c0_g2_i1 | LHY | 2875.53 | 464.13 | |
| TRINITY_DN43711_c0_g2_i5 | LHY | 15,407.33 | 2664.26 | |
| 11 | TRINITY_DN45082_c1_g1_i9 | PIF3 | 97.68 | 485.99 |
| 12 | TRINITY_DN40718_c0_g1_i2 | RHL41 | 2465.50 | 232.00 |
| 13 | cluster_contig33117 | CRY1 | 371.33 | 55.86 |
| TRINITY_DN46110_c0_g1_i11 | CRY1 | 90.27 | 17.33 | |
| cluster_contig19944 | CRY1 | 241.05 | 52.90 | |
| 14 | TRINITY_DN46446_c3_g1_i8 | BIC1 | 7182.97 | 286.44 |
| cluster_contig37221 | BIC1 | 2300.67 | 97.00 | |
| TRINITY_DN46446_c3_g1_i6 | BIC1 | 144.56 | 10.94 | |
| TRINITY_DN46446_c3_g1_i1 | BIC1 | 842.99 | 188.47 | |
| cluster_contig4395 | BIC1 | 37.35 | 0.00 | |
| 15 | TRINITY_DN36278_c0_g1_i4 | HY5 | 534.41 | 107.30 |
| TRINITY_DN36278_c0_g1_i1 | HY5 | 179.11 | 29.05 | |
| 16 | cluster_contig33432 | DET1 | 102.44 | 20.60 |
| 17 | cluster_contig20006 | UVR8 | 166.67 | 12.87 |
| TRINITY_DN41117_c2_g1_i3 | UVR8 | 127.55 | 11.00 | |
| TRINITY_DN41521_c1_g1_i5 | UVR8 | 1277.37 | 284.49 | |
| TRINITY_DN48407_c3_g1_i15 | UVR8 | 2526.64 | 229.06 | |
| cluster_contig7928 | UVR8 | 3819.14 | 796.44 | |
| 18 | cluster_contig31250 | LZF1 | 158.74 | 721.23 |
| TRINITY_DN37789_c5_g1_i1 | LZF1 | 74.08 | 521.48 | |
| TRINITY_DN47837_c0_g1_i8 | LZF1 | 7.85 | 288.19 | |
| cluster_contig27900 | LZF1 | 5.16 | 202.30 | |
| TRINITY_DN47837_c0_g1_i6 | LZF1 | 7.93 | 423.05 | |
| cluster_contig23776 | LZF1 | 10.60 | 566.78 | |
| cluster_contig20252 | LZF1 | 2.79 | 173.56 | |
| TRINITY_DN47837_c0_g1_i7 | LZF1 | 0.00 | 28.78 | |
| 19 | cluster_contig21245 | D14 | 3.75 | 44.71 |
| TRINITY_DN44313_c1_g1_i3 | D14 | 1.73 | 83.11 | |
| 20 | TRINITY_DN32565_c1_g2_i1 | ELIP1 | 14,497.87 | 101.38 |
| TRINITY_DN32565_c1_g2_i3 | ELIP1 | 33,519.13 | 564.96 | |
| 21 | TRINITY_DN45074_c2_g1_i5 | LHCB5 | 827.38 | 156.19 |
| 22 | TRINITY_DN44026_c1_g1_i23 | PHOT2 | 112.08 | 11.49 |
| TRINITY_DN44026_c1_g1_i7 | PHOT2 | 202.36 | 5.67 | |
| TRINITY_DN44026_c1_g1_i1 | PHOT2 | 94.08 | 0.00 |
| Heatmap Number | Gene ID | Best Homolog | FPKM (Close) | FPKM (Open) |
|---|---|---|---|---|
| 23 | cluster_contig16162 | CslC8 | 190.47 | 26.60 |
| cluster_contig34906 | CslC4 | 136.02 | 19.46 | |
| 24 | TRINITY_DN43633_c1_g2_i1 | CslG3 | 1335.50 | 8318.64 |
| TRINITY_DN44782_c0_g1_i6 | CslG2 | 5551.84 | 684.41 | |
| cluster_contig12214 | CslG2 | 538.98 | 32.21 | |
| 25 | TRINITY_DN40931_c0_g2_i2 | XTH-15 | 83.94 | 5911.52 |
| TRINITY_DN41938_c0_g1_i4 | XTH-23 | 64.76 | 496.04 | |
| TRINITY_DN43609_c2_g1_i1 | XTH-3 | 33.90 | 558.46 | |
| TRINITY_DN43609_c2_g1_i8 | XTH-3 | 56.87 | 566.53 | |
| TRINITY_DN47961_c4_g1_i6 | XTH-2 | 378.57 | 1794.97 | |
| cluster_contig5240 | XTH-2 | 179.43 | 2105.00 | |
| cluster_contig32082 | XTH-13 | 9.67 | 188.96 | |
| TRINITY_DN33636_c9_g2_i3 | XTH-9 | 5.86 | 124.60 | |
| 26 | TRINITY_DN32754_c1_g1_i2 | EXPA10 | 280.11 | 39.51 |
| TRINITY_DN32754_c2_g2_i1 | EXPA1 | 19.67 | 123.33 | |
| TRINITY_DN32754_c3_g2_i2 | EXPA1 | 450.23 | 90.96 | |
| 27 | TRINITY_DN36767_c0_g2_i3 | CAD | 519.16 | 3871.91 |
| Comparison | MgPUTs ID | RT-PCR2−ΔΔCT | p-Value | Consistency with RNAseq | Annotation (Blastx) |
|---|---|---|---|---|---|
| OP vs. CP | cluster_contig33312 | 16.64 ± 2.64 | 2.04 × 10−13 | Y | CBL-interacting serine/threonine-protein kinase 12 |
| TRINITY_DN43916_c0_g1_i1 | 59.44 ± 5.15 | 3.90 × 10−5 | Y | Calcium-binding protein CML38 | |
| TRINITY_DN38584_c2_g1_i3 | 3.00 ± 1.46 | 2.52 × 10−5 | N | Glutaredoxin-C4 | |
| TRINITY_DN46984_c2_g2_i3 | 21.33 ± 2.56 | 1.85 × 10−12 | Y | Phototropin-1 | |
| cluster_contig37221 | 0.41 ± 0.06 | 4.77 × 10−23 | N | Protein BIC1 | |
| TRINITY_DN45074_c2_g1_i5 | 46.21 ± 0.57 | 8.58 × 10−16 | N | Light-harvesting complex II protein 5 | |
| cluster_contig32082 | 1.43 ± 0.17 | 1.54 × 10−11 | Y | Putative xyloglucan endotransglucosylase/hydrolase protein 13 | |
| cluster_contig15073 | 0.84 ± 0.13 | 5.22 × 10−10 | Y | Probable zinc metalloprotease EGY2 | |
| TRINITY_DN44883_c0_g1_i1 | 17.00 ± 3.51 | 1.16 × 10−16 | Y | Jasmonate ZIM domain-containing protein 1 | |
| cluster_contig22354 | 19.61 ± 4.01 | 3.68 × 10−11 | Y | Auxin-responsive GH3-like protein 8 | |
| cluster_contig15994 | 66.56 ± 25.29 | 9.86 × 10−11 | Y | Abscisic acid 8’-hydroxylase 1 |
Publisher’s Note: MDPI stays neutral with regard to jurisdictional claims in published maps and institutional affiliations. |
© 2022 by the authors. Licensee MDPI, Basel, Switzerland. This article is an open access article distributed under the terms and conditions of the Creative Commons Attribution (CC BY) license (https://creativecommons.org/licenses/by/4.0/).
Share and Cite
Zhou, W.; Li, Z.; Wu, W.; Zhao, X.; Wang, E.; Wang, J.; Song, X.; Zhao, Y. Transcriptome Analysis Revealing the Interaction of Abscisic Acid and Cell Wall Modifications during the Flower Opening and Closing Process of Nymphaea lotus. Int. J. Mol. Sci. 2022, 23, 14524. https://doi.org/10.3390/ijms232314524
Zhou W, Li Z, Wu W, Zhao X, Wang E, Wang J, Song X, Zhao Y. Transcriptome Analysis Revealing the Interaction of Abscisic Acid and Cell Wall Modifications during the Flower Opening and Closing Process of Nymphaea lotus. International Journal of Molecular Sciences. 2022; 23(23):14524. https://doi.org/10.3390/ijms232314524
Chicago/Turabian StyleZhou, Weijuan, Zhaoji Li, Wentao Wu, Xia Zhao, Enbo Wang, Jian Wang, Xiqiang Song, and Ying Zhao. 2022. "Transcriptome Analysis Revealing the Interaction of Abscisic Acid and Cell Wall Modifications during the Flower Opening and Closing Process of Nymphaea lotus" International Journal of Molecular Sciences 23, no. 23: 14524. https://doi.org/10.3390/ijms232314524
APA StyleZhou, W., Li, Z., Wu, W., Zhao, X., Wang, E., Wang, J., Song, X., & Zhao, Y. (2022). Transcriptome Analysis Revealing the Interaction of Abscisic Acid and Cell Wall Modifications during the Flower Opening and Closing Process of Nymphaea lotus. International Journal of Molecular Sciences, 23(23), 14524. https://doi.org/10.3390/ijms232314524
