Brain-Derived Neurotrophic Factor (BDNF) Is Associated with Platelet Activity and Bleeding Tendency in Patients with Gaucher Disease
Abstract
1. Introduction
2. Results
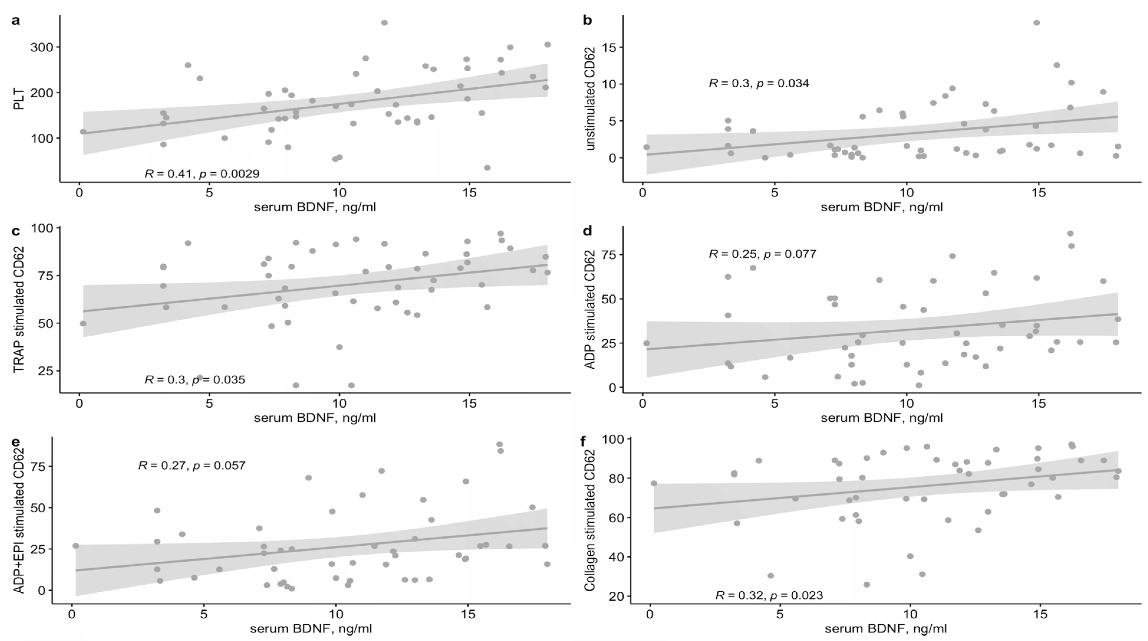
2.1. Serum BDNF Levels Positively Correlate with Platelet Count and Unstimulated and Stimulated Platelet P-Selectin Expression
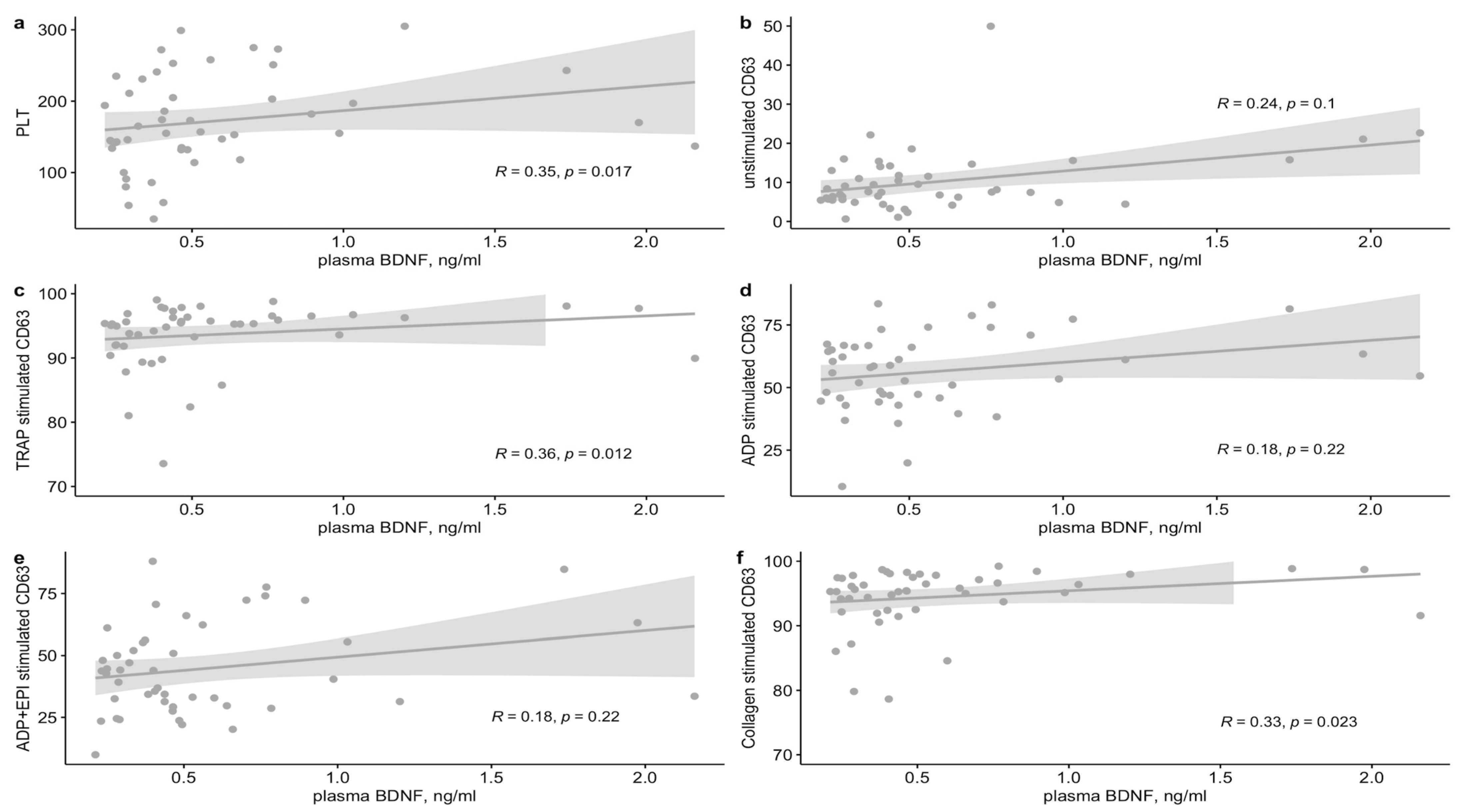
2.2. Plasma BDNF Levels Are Increased in Splenectomized Patients and Positively Correlated with Stimulated Platelet CD63 Expression in Patients with an Intact Spleen
2.3. Patients with More Than One Bleeding Manifestation Show Lower Serum BDNF Levels, Albeit Similar Platelet Counts
3. Discussion
4. Materials and Methods
4.1. Study Population
4.2. Detection of BDNF Protein Levels in Patient Serum and Platelet-Poor Plasma
4.3. Data Analysis
5. Conclusions
Author Contributions
Funding
Institutional Review Board Statement
Informed Consent Statement
Data Availability Statement
Conflicts of Interest
References
- Revel-Vilk, S.; Szer, J.; Zimran, A. Gaucher disease and related lysosomal storage diseases. In Williams Hematology, 10th ed.; Kaushansky, K., Lichtman, M., Prchal, J., Levi, M., Press, O., Burns, L., Caligiuri, M., Eds.; McGraw-Hill: New York, NY, USA, 2021; pp. 1189–1202. [Google Scholar]
- Patient Centered Guidelines for the Laboratory Diagnosis of Gaucher Disease (GD) Type 1. Available online: https://www.ewggd.com/wp-content/uploads/2022/09/Laboratory-diagnosis-of-Gaucher-disease-GD-type-1-.pdf (accessed on 19 October 2022).
- Serratrice, C.; Cherin, P.; Lidove, O.; Noel, E.; Masseau, A.; Leguy-Seguin, V.; Jaussaud, R.; Marie, I.; Lavigne, C.; Maillot, F. Coagulation Parameters in Adult Patients With Type-1 Gaucher Disease. J. Hematol. 2019, 8, 121–124. [Google Scholar] [CrossRef]
- Revel-Vilk, S.; Szer, J.; Zimran, A. Hematological manifestations and complications of Gaucher disease. Expert Rev. Hematol. 2021, 14, 347–354. [Google Scholar] [CrossRef]
- Simchen, M.J.; Oz, R.; Shenkman, B.; Zimran, A.; Elstein, D.; Kenet, G. Impaired platelet function and peripartum bleeding in women with Gaucher disease. Thromb. Haemost. 2011, 105, 509–514. [Google Scholar] [CrossRef]
- Spectre, G.; Roth, B.; Ronen, G.; Rosengarten, D.; Elstein, D.; Zimran, A.; Varon, D.; Revel-Vilk, S. Platelet adhesion defect in type I Gaucher Disease is associated with a risk of mucosal bleeding. Br. J. Haematol. 2011, 153, 372–378. [Google Scholar] [CrossRef] [PubMed]
- Giona, F.; Palumbo, G.; Amendola, A.; Santoro, C.; Mazzuconi, M.G. Platelet function and coagulation abnormalities in type 1 Gaucher disease patients: Effects of enzyme replacement therapy (ERT). J. Thromb. Haemost. 2006, 4, 1831–1833. [Google Scholar] [CrossRef]
- Ramstrom, S.; Sodergren, A.L.; Tynngard, N.; Lindahl, T.L. Platelet Function Determined by Flow Cytometry: New Perspectives? Semin. Thromb. Hemost. 2016, 42, 268–281. [Google Scholar] [PubMed]
- Boknas, N.; Macwan, A.S.; Sodergren, A.L.; Ramstrom, S. Platelet function testing at low platelet counts: When can you trust your analysis? Res. Pract. Thromb. Haemost. 2019, 3, 285–290. [Google Scholar] [CrossRef] [PubMed]
- Revel-Vilk, S.; Naamad, M.; Frydman, D.; Freund, M.R.; Dinur, T.; Istaiti, M.; Becker-Cohen, M.; Falk, R.; Broide, E.; Michelson, A.D.; et al. Platelet Activation and Reactivity in a Large Cohort of Patients with Gaucher Disease. Thromb. Haemost. 2022, 122, 951–960. [Google Scholar] [CrossRef] [PubMed]
- Skaper, S.D. The neurotrophin family of neurotrophic factors: An overview. Methods Mol. Biol. 2012, 846, 1–12. [Google Scholar]
- Fujimura, H.; Altar, C.A.; Chen, R.; Nakamura, T.; Nakahashi, T.; Kambayashi, J.; Sun, B.; Tandon, N.N. Brain-derived neurotrophic factor is stored in human platelets and released by agonist stimulation. Thromb. Haemost. 2002, 87, 728–734. [Google Scholar] [CrossRef]
- Azoulay, D.; Vachapova, V.; Shihman, B.; Miler, A.; Karni, A. Lower brain-derived neurotrophic factor in serum of relapsing remitting MS: Reversal by glatiramer acetate. J. Neuroimmunol. 2005, 167, 215–218. [Google Scholar] [CrossRef] [PubMed]
- Azoulay, D.; Urshansky, N.; Karni, A. Low and dysregulated BDNF secretion from immune cells of MS patients is related to reduced neuroprotection. J. Neuroimmunol. 2008, 195, 186–193. [Google Scholar] [CrossRef] [PubMed]
- Kerschensteiner, M.; Gallmeier, E.; Behrens, L.; Leal, V.V.; Misgeld, T.; Klinkert, W.E.; Kolbeck, R.; Hoppe, E.; Oropeza-Wekerle, R.L.; Bartke, I.; et al. Activated human T cells, B cells, and monocytes produce brain-derived neurotrophic factor in vitro and in inflammatory brain lesions: A neuroprotective role of inflammation? J. Exp. Med. 1999, 189, 865–870. [Google Scholar] [CrossRef] [PubMed]
- Gejl, A.K.; Enevold, C.; Bugge, A.; Andersen, M.S.; Nielsen, C.H.; Andersen, L.B. Associations between serum and plasma brain-derived neurotrophic factor and influence of storage time and centrifugation strategy. Sci. Rep. 2019, 9, 9655. [Google Scholar] [CrossRef] [PubMed]
- Nettiksimmons, J.; Simonsick, E.M.; Harris, T.; Satterfield, S.; Rosano, C.; Yaffe, K.; Health, A.B.C.S. The associations between serum brain-derived neurotrophic factor, potential confounders, and cognitive decline: A longitudinal study. PLoS ONE 2014, 9, e91339. [Google Scholar] [CrossRef]
- Azoulay, D.; Horowitz, N.A. Brain-derived neurotrophic factor in hematological malignancies: From detrimental to potentially beneficial. Blood Rev. 2022, 51, 100871. [Google Scholar] [CrossRef]
- Serra-Millas, M. Are the changes in the peripheral brain-derived neurotrophic factor levels due to platelet activation? World J. Psychiatry 2016, 6, 84–101. [Google Scholar] [CrossRef]
- De Mello, A.S.; da Silva, I.R.; Reinaldo, G.P.; Dorneles, G.P.; Ce, J.; Lago, P.D.; Peres, A.; Elsner, V.R.; Coelho, J.C. The modulation of inflammatory parameters, Brain-derived neurotrophic factor levels and global histone H4 acetylation status in peripheral blood of patients with Gaucher disease type 1. Clin. Biochem. 2017, 50, 228–233. [Google Scholar] [CrossRef]
- Vairo, F.; Sperb-Ludwig, F.; Wilke, M.; Michellin-Tirelli, K.; Netto, C.; Neto, E.C.; Doederlein Schwartz, I.V. Brain-derived neurotrophic factor expression increases after enzyme replacement therapy in Gaucher disease. J. Neuroimmunol. 2015, 278, 190–193. [Google Scholar] [CrossRef]
- Amadio, P.; Porro, B.; Sandrini, L.; Fiorelli, S.; Bonomi, A.; Cavalca, V.; Brambilla, M.; Camera, M.; Veglia, F.; Tremoli, E.; et al. Patho- physiological role of BDNF in fibrin clotting. Sci. Rep. 2019, 9, 389. [Google Scholar] [CrossRef]
- Doyle, E.L.; Ridger, V.; Ferraro, F.; Turmaine, M.; Saftig, P.; Cutler, D.F. CD63 is an essential cofactor to leukocyte recruitment by endothelial P-selectin. Blood 2011, 118, 4265–4273. [Google Scholar] [CrossRef] [PubMed]
- Im, Y.; Yoo, H.; Ko, R.E.; Lee, J.Y.; Park, J.; Jeon, K. Exosomal CD63 in critically ill patients with sepsis. Sci. Rep. 2021, 11, 20300. [Google Scholar] [CrossRef] [PubMed]
- Israels, S.J.; McMillan-Ward, E.M. CD63 modulates spreading and tyrosine phosphorylation of platelets on immobilized fibrinogen. Thromb. Haemost. 2005, 93, 311–318. [Google Scholar] [CrossRef] [PubMed]
- Carmo, L.A.; Bonjour, K.; Ueki, S.; Neves, J.S.; Liu, L.; Spencer, L.A.; Dvorak, A.M.; Weller, P.F.; Melo, R.C. CD63 is tightly associated with intracellular, secretory events chaperoning piecemeal degranulation and compound exocytosis in human eosinophils. J. Leukoc. Biol. 2016, 100, 391–401. [Google Scholar] [CrossRef]
- Horowitz, M.; Braunstein, H.; Zimran, A.; Revel-Vilk, S.; Goker-Alpan, O. Lysosomal functions and dysfunctions: Molecular and cellular mechanisms underlying Gaucher disease and its association with Parkinson disease. Adv. Drug Deliv. Rev. 2022, 187, 114402. [Google Scholar] [CrossRef]
- Chen, A.; Xiong, L.J.; Tong, Y.; Mao, M. The neuroprotective roles of BDNF in hypoxic ischemic brain injury. Biomed. Rep. 2013, 1, 167–176. [Google Scholar] [CrossRef]
- Almeida, R.D.; Manadas, B.J.; Melo, C.V.; Gomes, J.R.; Mendes, C.S.; Graos, M.M.; Carvalho, R.F.; Carvalho, A.P.; Duarte, C.B. Neuroprotection by BDNF against glutamate-induced apoptotic cell death is mediated by ERK and PI3-kinase pathways. Cell Death Differ. 2005, 12, 1329–1343. [Google Scholar] [CrossRef]
- Jiang, L.; Zhang, H.; Wang, C.; Ming, F.; Shi, X.; Yang, M. Serum level of brain-derived neurotrophic factor in Parkinson’s disease: A meta-analysis. Prog. Neuropsychopharmacol. Biol. Psychiatry 2019, 88, 168–174. [Google Scholar] [CrossRef]
- Leiter, O.; Walker, T.L. Platelets in Neurodegenerative Conditions-Friend or Foe? Front. Immunol. 2020, 11, 747. [Google Scholar] [CrossRef]
- Azoulay, D.; Naamad, M.; Frydman, D.; Broide, E.; Zimran, A.; Stemer, G.; Revel-Vilk, S. P1633: Low serum BDNF levels are associated with lower platelet CD62P reactivity and increased bleeding tendency in patients with Gaucher disease. Hemasphere 2022, 6, 1514–1515. [Google Scholar] [CrossRef]
- Rodeghiero, F.; Tosetto, A.; Abshire, T.; Arnold, D.M.; Coller, B.; James, P.; Neunert, C.; Lillicrap, D.; ISTH/SSC joint VWF and Perinatal/Pediatric Hemostasis Subcommittees Working Group. ISTH/SSC bleeding assessment tool: A standardized questionnaire and a proposal for a new bleeding score for inherited bleeding disorders. J. Thromb. Haemost. 2010, 8, 2063–2065. [Google Scholar] [CrossRef] [PubMed]
- Rolfs, A.; Giese, A.K.; Grittner, U.; Mascher, D.; Elstein, D.; Zimran, A.; Bottcher, T.; Lukas, J.; Hubner, R.; Golnitz, U.; et al. Glucosylsphingosine is a highly sensitive and specific biomarker for primary diagnostic and follow-up monitoring in Gaucher disease in a non-Jewish, Caucasian cohort of Gaucher disease patients. PLoS ONE 2013, 8, e79732. [Google Scholar] [CrossRef] [PubMed]


| Study cohort | 50 |
| Age, mean ± SD (range), years | 42.7 ± 17.93 (8.94–86.55) |
| Mild genotype, n | 24 |
| Receiving GD-specific therapy, n | 40 |
| Splenectomized, n | 3 |
| Platelet count (×103/µL), mean ± SD (range) | 178 ± 70 (35–353) |
| Thrombocytopenia (<50/<100/<150 × 103/µL), n | 1/5/14 |
| LysoGB1 (ng/mL), mean ± SD (range) | 122.71 ± 143.15 (10–787) |
| Serum BDNF (ng/mL), mean ± SD (range) | 10.72 ± 4.17 (3.23–18) |
| Plasma BDNF (ng/mL), mean ± SD (range) | 0.61 ± 0.47 (0.21–2.16) |
| Bleeding symptoms for those who completed the bleeding questionnaire | |
| 0 | 17/36 |
| 1 | 11/36 |
| 2 | 4/36 |
| 3 | 3/36 |
| ≥4 | 1/36 |
| Low Serum BDNF | High Serum BDNF | p–Value | Low Plasma BDNF | High Plasma BDNF | p–Value | |
|---|---|---|---|---|---|---|
| αIIbβ3 integrin (PAC1) | ||||||
| Unstimulated | 5.7 [1.2–8.5] | 5.8 [4.5–9.6] | 0.514 | 4.9 [2.3–8.1] | 5.8 [3–8.8] | 0.624 |
| ADP (0.5 μM) | 75.1 [68.6–85.6] | 82.6 [55.6–89.6] | 0.828 | 69.6 [46.7–86.2] | 74.1 [51.9–80.9] | 0.798 |
| ADP (20 μM) | 95 [75.6–97.3] | 94.4 [91.4–97.3] | 0.744 | 93.6 [74.3–97.7] | 93.6 [77.7–96.9] | 0.654 |
| TRAP (1.5 μM) | 95.2 [83–96.5] | 97.9 [70.6–98.8] | 0.355 | 84.7 [79.3–97.4] | 88.3 [76.4–96.5] | 0.873 |
| TRAP (20 μM) | 97.9 [91.7–98.8] | 99.2 [94.3–99.6] | 0.128 | 98.3 [91.7–99.2] | 97.7 [90.8–99.2] | 0.594 |
| EPI–ADP (0.1–0.25 μM) | 88.5 [58.4–92.9] | 94.2 [85.7–97.6] | 0.073 | 85.1 [75–94.9] | 87.3 [70–93.1] | 0.798 |
| CRP–XL (0.25 μg/mL) | 97.2 [93.8–98.4] | 98.9 [92.5–99.4] | 0.328 | 98.4 [93.9–99.4] | 98.4 [96.2–99.1] | 0.749 |
| P–selectin (CD62) | ||||||
| Unstimulated | 1.2 [0.6–1.7] | 3 [1.5–9.3] | 0.036 | 0.9 [0.4–3.8] | 2.8 [1.1–6.2] | 0.068 |
| ADP (0.5 μM) | 11.6 [3.8–23] | 15.9 [9.2–39.2] | 0.301 | 5.3 [2.8–18.2] | 9 [7.1–22.2] | 0.268 |
| ADP (20 μM) | 24.9 [13.6–50.3] | 33.2 [25.6–60.5] | 0.192 | 25.1 [16.7–50.3] | 30 [14.8–44.4] | 0.609 |
| TRAP (1.5 μM) | 46.9 [28.2–58.2] | 70.7 [55.3–80.8] | 0.073 | 46.9 [28.7–72.3] | 57.22 [23.7–72.3] | 0.932 |
| TRAP (20 μM) | 69.6 [58.3–79.8] | 83.3 [77.4–90.2] | 0.017 | 68.3 [58.4–81] | 75.7 [61–86.4] | 0.509 |
| EPI–ADP (0.1–0.25 μM) | 22.4 [12.7–29.4] | 26.8 [20.8–54.1] | 0.092 | 16.6 [6.6–27.5] | 24.2 [15.7–39.3] | 0.359 |
| CRP–XL (0.25 μg/mL) | 79.6 [68.8–82.6] | 86.9 [80.4–91.2] | 0.022 | 71.8 [61.3–87.4] | 82.9 [73.3–89.8] | 0.141 |
| LAMP (CD63) | ||||||
| Unstimulated | 6.9 [5.6–11] | 6 [4.1–10] | 0.514 | 6.9 [5.6–11] | 8.8 [5.2–15.4] | 0.406 |
| ADP (0.5 μM) | 31.2 [23.6–41.3] | 25.8 [15.9–49.4] | 0.446 | 28.3 [21.4–38.2] | 31.5 [18.7–40.4] | 0.717 |
| ADP (20 μM) | 62.2 [51.9–66.1] | 57 [45.9–68.5] | 0.786 | 58 [46.9–65] | 57.9 [46.2–73.3] | 0.594 |
| TRAP (1.5 μM) | 80.9 [7–85.9] | 86.6 [74.2–91] | 0.211 | 80.7 [68.3–87.8] | 81.69 [67.7–88.9] | 0.725 |
| TRAP (20 μM) | 93.6 [91.8–95.6] | 96.1 [94.7–97.3] | 0.030 | 94.2 [90.4–95.6] | 95.8 [95.3–96.7] | 0.043 |
| EPI–ADP (0.1–0.25 μM) | 42.7 [32.5–52] | 44.4 [31.4–62] | 0.415 | 43.8 [34.3–50] | 37.00 [29.3–65.3] | 0.865 |
| CRP–XL (0.25 μg/mL) | 95.1 [94.2–96.4] | 95.5 [94.5–98] | 0.384 | 94.8 [91.9–96.3] | 96.6 [95.2–98] | 0.018 |
| >1 Bleeding Symptom | One or No Bleeding Symptom | p-Value | |
|---|---|---|---|
| Number | 8 | 28 | |
| Mild genotype | 6 | 11 | 0.167 |
| Receiving GD-specific therapy | 7 | 26 | 0.99 |
| Platelet count (×103/µL), mean ± SD | 183 ± 57.85 | 171 ± 97.56 | 0.66 |
| Thrombocytopenia (<50/<100/<150 × 103/µL) | 0/2/2 | 0/1/9 | |
| Serum BDNF (ng/mL), mean ± SD | 7.66 ± 3.21 | 10.99 ± 4.0 | 0.039 |
| Plasma BDNF (ng/mL), median, IQR | 0.40 [0.29–0.64] | 0.45 [0.33–0.77] | 0.99 |
Publisher’s Note: MDPI stays neutral with regard to jurisdictional claims in published maps and institutional affiliations. |
© 2022 by the authors. Licensee MDPI, Basel, Switzerland. This article is an open access article distributed under the terms and conditions of the Creative Commons Attribution (CC BY) license (https://creativecommons.org/licenses/by/4.0/).
Share and Cite
Azoulay, D.; Naamad, M.; Frydman, D.; Broide, E.; Zimran, A.; Stemer, G.; Revel-Vilk, S. Brain-Derived Neurotrophic Factor (BDNF) Is Associated with Platelet Activity and Bleeding Tendency in Patients with Gaucher Disease. Int. J. Mol. Sci. 2022, 23, 13982. https://doi.org/10.3390/ijms232213982
Azoulay D, Naamad M, Frydman D, Broide E, Zimran A, Stemer G, Revel-Vilk S. Brain-Derived Neurotrophic Factor (BDNF) Is Associated with Platelet Activity and Bleeding Tendency in Patients with Gaucher Disease. International Journal of Molecular Sciences. 2022; 23(22):13982. https://doi.org/10.3390/ijms232213982
Chicago/Turabian StyleAzoulay, David, Mira Naamad, Dafna Frydman, Ellen Broide, Ari Zimran, Galia Stemer, and Shoshana Revel-Vilk. 2022. "Brain-Derived Neurotrophic Factor (BDNF) Is Associated with Platelet Activity and Bleeding Tendency in Patients with Gaucher Disease" International Journal of Molecular Sciences 23, no. 22: 13982. https://doi.org/10.3390/ijms232213982
APA StyleAzoulay, D., Naamad, M., Frydman, D., Broide, E., Zimran, A., Stemer, G., & Revel-Vilk, S. (2022). Brain-Derived Neurotrophic Factor (BDNF) Is Associated with Platelet Activity and Bleeding Tendency in Patients with Gaucher Disease. International Journal of Molecular Sciences, 23(22), 13982. https://doi.org/10.3390/ijms232213982

