The Identification and Expression Analysis of the Nitraria sibirica Pall. Auxin-Response Factor (ARF) Gene Family
Abstract
1. Introduction
2. Results
2.1. Genome-Wide Identification of NsARFs in the N. Sibirica Genome
2.2. Phylogenetic Analysis of NsARFs
2.3. Chromosome Distribution and Synteny Analysis of the NsARF Family
2.4. Analysis of the NsARF Family Gene Structure
2.5. Prediction of Cis-Acting Elements in NsARF Family Promoter Sequences
2.6. Tissue-Specific Expression Analysis of the NsARF Family
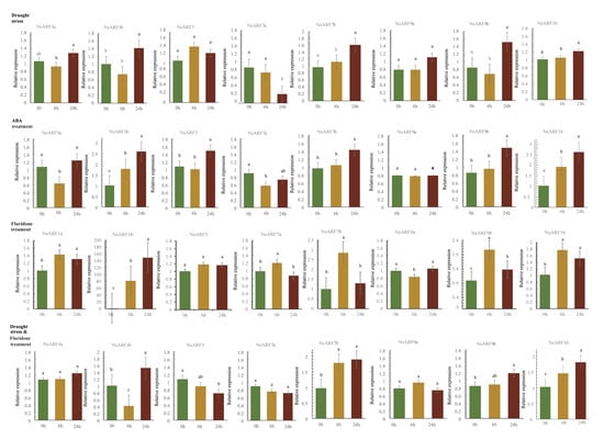
2.7. Expression Analysis of the NsARF Family under Abiotic Stress
3. Discussion
4. Materials and Methods
4.1. Plant Materials and Abiotic Stress Treatment
4.2. Identification of ARF Genes in N. sibirica
4.3. Phylogenetic Analysis of ARF Proteins in N. sibirica
4.4. Gene Structure, Cis-Acting Element Prediction, and Chromosomal Localization Analysis of NsARFs
4.5. Expression Analysis of ARF Genes in N. sibirica
Supplementary Materials
Author Contributions
Funding
Institutional Review Board Statement
Informed Consent Statement
Data Availability Statement
Conflicts of Interest
References
- Abel, S.P.G.E.; Theologis, A. Early genes and auxin action. Plant Physiol. 1996, 111, 9–17. [Google Scholar] [CrossRef] [PubMed]
- Luo, J.; Zhou, J.; Zhang, J. Aux/IAA Gene Family in Plants: Molecular Structure, Regulation, and Function. Int. J. Mol. Sci. 2018, 19, 259. [Google Scholar] [CrossRef] [PubMed]
- Shiv, B.; Hagen, G.; Guilfoyle, T. The Roles of Auxin Response Factor Domains in Auxin-Responsive Transcription. Plant Cell 2003, 15, 533–543. Available online: http://www.jstor.org/stable/3871883 (accessed on 23 June 2016).
- Liscum, E.; Reed, J.W. Genetics of Aux/IAA and ARF action in plant growth and development. Plant Mol. Biol. 2002, 49, 387–400. [Google Scholar] [CrossRef]
- Woodward, A.W. Auxin: Regulation, Action, and Interaction. Ann. Bot. 2005, 95, 707–735. [Google Scholar] [CrossRef]
- Die, J.V.; Gil, J.; Millan, T. Genome-wide identification of the auxin response factor gene family in Cicer arietinum. BMC Genom. 2018, 19, 301. [Google Scholar] [CrossRef]
- Vernoux, T.; Brunoud, G.; Farcot, E.; Morin, V.; Van den Daele, H.; Legrand, J.; Oliva, M.; Das, P.; Larrieu, A.; Wells, D.; et al. The auxin signalling network translates dynamic input into robust patterning at the shoot apex. Mol. Syst. Biol. 2011, 7, 508. [Google Scholar] [CrossRef]
- Ulmasov, T.; Hagen, G.; Guilfoyle, T.J. Activation and Repression of Transcription by Auxin-Response Factors. Proc. Natl. Acad. Sci. USA 1999, 96, 5844–5849. [Google Scholar] [CrossRef]
- Finet, C.; Berne-Dedieu, A.; Scutt, C.P.; Marlétaz, F. Evolution of the ARF Gene Family in Land Plants: Old Domains, New Tricks. Mol. Biol. Evol. 2013, 30, 45–56. [Google Scholar] [CrossRef]
- Weijers, D.; Benkova, E.; Jager, K.E.; Schlereth, A.; Hamann, T.; Kientz, M.; Wilmoth, J.C.; Reed, J.W.; Jurgens, G. Developmental specificity of auxin response by pairs of ARF and Aux/IAA transcriptional regulators. EMBO J. 2005, 24, 1874–1885. [Google Scholar] [CrossRef]
- De Smet, I.; Lau, S.; Voß, U.; Vanneste, S.; Benjamins, R.; Rademacher, E.H.; Schlereth, A.; De Rybel, B.; Vassileva, V.; Grunewald, W.; et al. Bimodular auxin response controls organogenesis in Arabidopsis. Proc. Natl. Acad. Sci. USA 2010, 107, 2705–2710. [Google Scholar] [CrossRef] [PubMed]
- Fukaki, H.; Taniguchi, N.; Tasaka, M. PICKLE is required for SOLITARY-ROOT/IAA14-mediated repression of ARF7 and ARF19 activity during Arabidopsis lateral root initiation. Plant J. 2006, 48, 380–389. [Google Scholar] [CrossRef] [PubMed]
- Liu, X.; Zhang, H.; Zhao, Y.; Feng, Z.; Li, Q.; Yang, H.; Luan, S.; Li, J.; He, Z. Auxin controls seed dormancy through stimulation of abscisic acid signaling by inducing ARF-mediatedABI3 activation in Arabidopsis. Proc. Natl. Acad. Sci. USA 2013, 110, 15485–15490. [Google Scholar] [CrossRef]
- Wang, L.; Hua, D.; He, J.; Duan, Y.; Chen, Z.; Hong, X.; Gong, Z. Auxin Response Factor2 (ARF2) and its regulated homeodomain gene HB33 mediate abscisic acid response in Arabidopsis. PLoS Genet. 2011, 7, e1002172. [Google Scholar] [CrossRef] [PubMed]
- Wang, D.; Pei, K.; Fu, Y.; Sun, Z.; Li, S.; Liu, H.; Tang, K.; Han, B.; Tao, Y. Genome-wide analysis of the auxin response factors (ARF) gene family in rice (Oryza sativa). Gene 2007, 394, 13–24. [Google Scholar] [CrossRef]
- Peng, Y.; Fang, T.; Zhang, Y.; Zhang, M.; Zeng, L. Genome-Wide Identification and Expression Analysis of Auxin Response Factor (ARF) Gene Family in Longan (Dimocarpus longan L.). Plants 2020, 9, 221. [Google Scholar] [CrossRef]
- Liu, Y.; Jiang, H.; Chen, W.; Qian, Y.; Ma, Q.; Cheng, B.; Zhu, S. Genome-wide analysis of the auxin response factor (ARF) gene family in maize (Zea mays). Plant Growth Regul. 2011, 63, 225–234. [Google Scholar] [CrossRef]
- Tuteja, N. Abscisic Acid and Abiotic Stress Signaling. Plant Signal. Behav. 2007, 2, 135–138. [Google Scholar] [CrossRef]
- Travaglia, C.; Cohen, A.C.; Reinoso, H.; Castillo, C.; Bottini, R. Exogenous Abscisic Acid Increases Carbohydrate Accumulation and Redistribution to the Grains in Wheat Grown Under Field Conditions of Soil Water Restriction. J. Plant Growth Regul. 2007, 26, 285–289. [Google Scholar] [CrossRef]
- Kizis, D.; Pagès, M. Maize DRE-binding proteins DBF1 and DBF2 are involved in rab17 regulation through the drought-responsive element in an ABA-dependent pathway. Plant J. Cell Mol. Biol. 2002, 30, 679–689. [Google Scholar] [CrossRef]
- Battal, P.; Erez, M.E.; Turker, M.; Berber, I. Molecular and Physiological Changes in Maize (Zea mays) Induced by Exogenous NAA, ABA and MeJa during Cold Stress. Ann. Bot. Fenn. 2008, 45, 173–185. [Google Scholar] [CrossRef]
- Luo, X.; Bai, X.; Sun, X.; Zhu, D.; Liu, B.; Ji, W.; Cai, H.; Cao, L.; Wu, J.; Hu, M.; et al. Expression of wild soybean WRKY20 in Arabidopsis enhances drought tolerance and regulates ABA signalling. J. Exp. Bot. 2013, 64, 2155–2169. [Google Scholar] [CrossRef] [PubMed]
- Garcia-Moreno, B. Adaptations of proteins to cellular and subcellular pH. J. Biol. 2009, 8, 98. [Google Scholar] [CrossRef] [PubMed]
- Tang, Y.; Bao, X.; Liu, K.; Wang, J.; Zhang, J.; Feng, Y.; Wang, Y.; Lin, L.; Feng, J.; Li, C. Genome-wide identification and expression profiling of the auxin response factor (ARF) gene family in physic nut. PLoS ONE 2018, 13, e201024. [Google Scholar] [CrossRef]
- Jain, M.; Khurana, J.P. Transcript profiling reveals diverse roles of auxin-responsive genes during reproductive development and abiotic stress in rice. FEBS J. 2009, 276, 3148–3162. [Google Scholar] [CrossRef]
- Li, S.; Xie, Z.; Hu, C.; Zhang, J. A Review of Auxin Response Factors (ARFs) in Plants. Front. Plant Sci. 2016, 7, 47. [Google Scholar] [CrossRef]
- Chapman, E.J.; Estelle, M. Mechanism of Auxin-Regulated Gene Expression in Plants. Annu. Rev. Genet. 2009, 43, 265–285. [Google Scholar] [CrossRef]
- Bargmann, B.O.R.; Vanneste, S.; Krouk, G.; Nawy, T.; Efroni, I.; Shani, E.; Choe, G.; Friml, J.; Bergmann, D.C.; Estelle, M.; et al. A map of cell type-specific auxin responses. Mol. Syst. Biol. 2013, 9, 688. [Google Scholar] [CrossRef]
- Ding, T.; Zhang, F.; Wang, J.; Wang, F.; Liu, J.; Xie, C.; Hu, Y.; Shani, E.; Kong, X.; Ding, Z.; et al. Cell-type action specificity of auxin on Arabidopsis root growth. Plant J. 2021, 106, 928–941. [Google Scholar] [CrossRef]
- Procko, C.; Burko, Y.; Jaillais, Y.; Ljung, K.; Long, J.A.; Chory, J. The epidermis coordinates auxin-induced stem growth in response to shade. Genes Dev. 2016, 30, 1529–1541. [Google Scholar] [CrossRef]
- Swarup, R.; Kramer, E.M.; Perry, P.; Knox, K.; Leyser, H.M.O.; Haseloff, J.; Beemster, G.T.S.; Bhalerao, R.; Bennett, M.J. Root gravitropism requires lateral root cap and epidermal cells for transport and response to a mobile auxin signal. Nat. Cell Biol. 2005, 7, 1057–1065. [Google Scholar] [CrossRef] [PubMed]
- Daszkowska-Golec, A. The Role of Abscisic Acid in Drought Stress: How ABA Helps Plants to Cope with Drought Stress; Springer International Publishing: Cham, Switerland, 2016; pp. 123–151. [Google Scholar]
- Yoshioka, T.T.U.S.; Endo, T.; Satoh, S. Restoration of seed germination at supraoptimal temperatures by fluridone, an inhibitor of abscisic acid biosynthesis. Plant Cell Physiol. 1998, 39, 307–312. [Google Scholar] [CrossRef]
- Muthamilarasan, M.; Mangu, V.R.; Zandkarimi, H.; Prasad, M.; Baisakh, N. Structure, organization and evolution of ADP-ribosylation factors in rice and foxtail millet and their expression in rice. Sci. Rep. 2016, 6, 24008. [Google Scholar] [CrossRef] [PubMed]
- Gamble, P.E.; Mullet, J.E. Inhibition of carotenoid accumulation and abscisic acid biosynthesis in fluridone-treated dark-grown barley. Eur. J. Biochem. 1986, 160, 117–121. [Google Scholar] [CrossRef] [PubMed]
- Chen, C.; Chen, H.; Zhang, Y.; Thomas, H.R.; Frank, M.H.; He, Y.; Xia, R. TBtools: An Integrative Toolkit Developed for Interactive Analyses of Big Biological Data. Mol. Plant 2020, 13, 1194–1202. [Google Scholar] [CrossRef]






| Gene Name | Locus ID | Locus | Protein Length (aa) | MW (kDa) | pI | Homolog in Arabidopsis |
|---|---|---|---|---|---|---|
| NsARF1a | NISI08G0534.1 | Chr8 | 1995 | 665 | 5.81 | AtARF1 |
| NsARF1b | NISI08G0538.1 | Chr8 | 1875 | 624 | 6.17 | AtARF1 |
| NsARF2a | NISI12G1517.1 | Chr12 | 2220 | 739 | 5.87 | AtARF2 |
| NsARF2b | NISI02G2077.1 | Chr2 | 2298 | 765 | 5.61 | AtARF2 |
| NsARF5 | NISI06G1416.1 | Chr6 | 2742 | 913 | 5.57 | AtARF5 |
| NsARF6 | NISI10G0023.1 | Chr10 | 2664 | 887 | 6.12 | AtARF6 |
| NsARF7a | NISI05G1550.1 | Chr5 | 2733 | 910 | 5.92 | AtARF7 |
| NsARF7b | NISI05G0679.1 | Chr5 | 3153 | 1050 | 5.88 | AtARF7 |
| NsARF8 | NISI07G0010.1 | Chr7 | 2418 | 805 | 5.90 | AtARF8 |
| NsARF9a | NISI11G0613.1 | Chr11 | 2046 | 681 | 6.39 | AtARF9 |
| NsARF9b | NISI04G1762.1 | Chr4 | 1860 | 619 | 5.51 | AtARF9 |
| NsARF16 | NISI03G0644.1 | Chr3 | 2115 | 704 | 6.71 | AtARF10 |
| Gene | Gln (Q) | Pro (P) | Gly (G) | Leu (L) | Enrichment * | HMM |
|---|---|---|---|---|---|---|
| NsARF1a | 0.06 | 0.12 | 0.05 | 0.08 | P | DBD-MR-CTD |
| NsARF1b | 0.05 | 0.08 | 0.05 | 0.09 | L | DBD-MR-CTD |
| NsARF2a | 0.06 | 0.06 | 0.06 | 0.08 | L | DBD-MR |
| NsARF2b | 0.04 | 0.10 | 0.07 | 0.06 | P | DBD-MR-CTD |
| NsARF5 | 0.09 | 0.08 | 0.05 | 0.09 | QL | DBD-MR-CTD |
| NsARF6 | 0.12 | 0.11 | 0.06 | 0.09 | Q | DBD-MR-CTD |
| NsARF7a | 0.10 | 0.09 | 0.06 | 0.08 | Q | DBD-MR-CTD |
| NsARF7b | 0.14 | 0.10 | 0.06 | 0.09 | Q | DBD-MR-CTD |
| NsARF8 | 0.15 | 0.08 | 0.06 | 0.12 | Q | DBD-MR-CTD |
| NsARF9a | 0.04 | 0.12 | 0.03 | 0.05 | P | DBD-MR-CTD |
| NsARF9b | 0.05 | 0.07 | 0.04 | 0.05 | P | DBD-MR-CTD |
| NsARF16 | 0.04 | 0.08 | 0.07 | 0.12 | L | DBD-MR |
| Gene ID | Plant Hormones | Environmental Stress | MYB-Binding Site | |||||||
|---|---|---|---|---|---|---|---|---|---|---|
| ABA | MeJA | Aux | GA | SA | Light | Defense | Circadian | Low Temperature | Drought Inducibility | |
| NsARF1a | √ | √ | √ | √ | √ | |||||
| NsARF1b | √ | √ | √ | √ | √ | √ | ||||
| NsARF2a | √ | √ | √ | √ | ||||||
| NsARF2b | √ | √ | ||||||||
| NsARF5 | √ | √ | √ | √ | ||||||
| NsARF6 | √ | √ | √ | √ | √ | √ | √ | |||
| NsARF7a | √ | √ | √ | √ | √ | √ | ||||
| NsARF7b | √ | √ | √ | √ | √ | √ | ||||
| NsARF8 | √ | √ | √ | √ | √ | √ | √ | √ | ||
| NsARF9a | √ | √ | √ | |||||||
| NsARF9b | √ | √ | √ | √ | √ | |||||
| NsARF16 | √ | √ | √ | √ | √ | √ | ||||
| Gene Name | qRT-PCR Primers | |
|---|---|---|
| NsARF1a | R | GGTTGCTCATCCCCTGTTCT |
| F | TCATCAACAGATGGCACCCC→ | |
| NsARF1b | R | CAGAGACAAGTGGCCAGAGA |
| F | GGAAGTGGAGCCAACTGTTG | |
| NsARF5 | R | GGGCGGTTGCATTGCATAAT |
| F | AGCCGGTGAACTCTGAAAGG | |
| NsARF7a | R | ATTACCGTGTCTCCTGCCAA |
| F | CCAAACCGCTTACAGGGATG→ | |
| NsARF7b | R | GCCTTGGATGCTTGGATCTG |
| F | AGGTTGGCTGGGATGAATCA | |
| NsARF9a | R | AATCGGACCTATGCTCGGAG |
| F | CCGACGATGAGGGTGATACA | |
| NsARF9b | R | TCCCATGGATCATCGCCTAC |
| F | GTTGGTCGGGCAGTTGATTT | |
| NsARF16 | R | GGATCCGCCGAGTAATCCAG |
| F | TCCGGTGAGTAACAACGAGC | |
Publisher’s Note: MDPI stays neutral with regard to jurisdictional claims in published maps and institutional affiliations. |
© 2022 by the authors. Licensee MDPI, Basel, Switzerland. This article is an open access article distributed under the terms and conditions of the Creative Commons Attribution (CC BY) license (https://creativecommons.org/licenses/by/4.0/).
Share and Cite
Liu, Y.; Zhang, J.; Li, X.; Zhu, L.; Lian, Z.; Fang, H.; Lu, L.; Lu, Y.; Shi, J.; Chen, J.; et al. The Identification and Expression Analysis of the Nitraria sibirica Pall. Auxin-Response Factor (ARF) Gene Family. Int. J. Mol. Sci. 2022, 23, 11122. https://doi.org/10.3390/ijms231911122
Liu Y, Zhang J, Li X, Zhu L, Lian Z, Fang H, Lu L, Lu Y, Shi J, Chen J, et al. The Identification and Expression Analysis of the Nitraria sibirica Pall. Auxin-Response Factor (ARF) Gene Family. International Journal of Molecular Sciences. 2022; 23(19):11122. https://doi.org/10.3390/ijms231911122
Chicago/Turabian StyleLiu, Yuxin, Jingbo Zhang, Xinle Li, Liming Zhu, Ziming Lian, Hao Fang, Lu Lu, Ye Lu, Jisen Shi, Jinhui Chen, and et al. 2022. "The Identification and Expression Analysis of the Nitraria sibirica Pall. Auxin-Response Factor (ARF) Gene Family" International Journal of Molecular Sciences 23, no. 19: 11122. https://doi.org/10.3390/ijms231911122
APA StyleLiu, Y., Zhang, J., Li, X., Zhu, L., Lian, Z., Fang, H., Lu, L., Lu, Y., Shi, J., Chen, J., Hao, Z., & Cheng, T. (2022). The Identification and Expression Analysis of the Nitraria sibirica Pall. Auxin-Response Factor (ARF) Gene Family. International Journal of Molecular Sciences, 23(19), 11122. https://doi.org/10.3390/ijms231911122

