The Effect of the BCO2 Genotype on the Expression of Genes Related to Carotenoid, Retinol, and α-Tocopherol Metabolism in Rabbits Fed a Diet with Aztec Marigold Flower Extract
Abstract
:1. Introduction
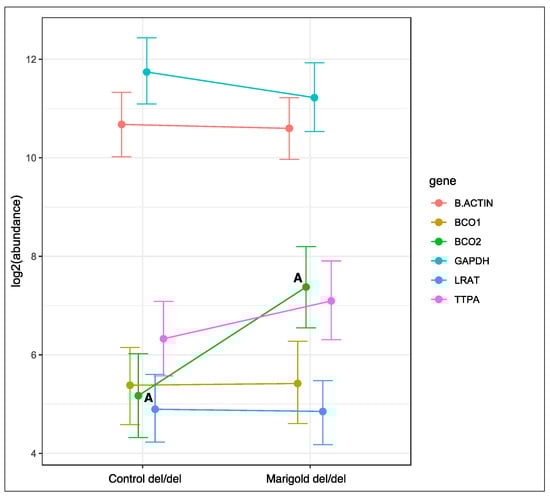
2. Results
3. Discussion
4. Materials and Methods
4.1. Animals and Diets
4.2. Genotyping
4.3. RNA Expression
4.4. Blood Plasma Biochemical Parameters and Serum Antioxidant Enzyme Activities
4.5. Chemical Analyses
4.5.1. Proximate Chemical Composition and Energy Content of Feed
4.5.2. Content of Retinol, α-Tocopherol and Carotenoids in Feed and in the Liver and Blood Serum of Rabbits
4.6. Statistical Analysis
Supplementary Materials
Author Contributions
Funding
Institutional Review Board Statement
Informed Consent Statement
Data Availability Statement
Conflicts of Interest
References
- Fiedor, J.; Burda, K. Potential role of carotenoids as antioxidants in human health and disease. Nutrients 2014, 6, 466–488. [Google Scholar] [CrossRef] [PubMed]
- Ruiz-Sola, M.A.; Rodríguez-Concepción, M. Carotenoid biosynthesis in arabidopsis: A colorful pathway. Arab. Book 2012, 10, e0158. [Google Scholar] [CrossRef] [PubMed]
- Shabbir, U.; Nuzhat, N. Natural carotenoids a weapon to fight against life style related disorders. J. Food Nutr. Popul. Health 2018, 2, 1–7. [Google Scholar] [CrossRef]
- Milani, A.; Basirnejad, M.; Shahbazi, S.; Bolhassani, A. Carotenoids: Biochemistry, pharmacology and treatment. Br. J. Pharmacol. 2017, 174, 1290–1324. [Google Scholar] [CrossRef]
- Stahl, W.; Sies, H. Bioactivity and protective effects of natural carotenoids. Biochim. Biophys. Acta 2005, 1740, 101–107. [Google Scholar] [CrossRef]
- Liaaen-Jensen, S. Basic carotenoid chemistry. In Carotenoids in Health and Disease, 1st ed.; Krinsky, N.I., Mayne, S.T., Sies, H., Eds.; Marcel Dekker: New York, NY, USA, 2004; pp. 1–30. [Google Scholar]
- Olson, J.A. Benefits and liabilities of vitamin A and carotenoids. Rev. J. Nutr. 1996, 126, 1208S–1212S. [Google Scholar] [CrossRef]
- Coyne, T.; Ibiebele, T.I.; Baade, P.D.; McClintock, C.S.; Shaw, J.E. Metabolic syndrome and serum carotenoids: Findings of a cross-sectional study in Queensland, Australia. Br. J. Nutr. 2009, 102, 1668–1677. [Google Scholar] [CrossRef]
- Mikolasevic, I.; Milic, S.; Turk Wensveen, T.; Grgic, I.; Jakopcic, I.; Stimac, D.; Orlic, L. Nonalcoholic fatty liver disease—A multisystem disease? World J. Gastroenterol. 2016, 22, 9488–9505. [Google Scholar] [CrossRef]
- Ota, T.; Takamura, T.; Kurita, S.; Matsuzawa, N.; Kita, Y.; Uno, M.; Nakanuma, Y. Insulin resistance accelerates a dietary rat model of nonalcoholic steatohepatitis. Gastroenterology 2007, 132, 282–293. [Google Scholar] [CrossRef]
- Harari, A.; Harats, D.; Marko, D.; Cohen, H.; Barshack, I.; Kamari, Y.; Shaish, A. A9-cis beta-carotene-enriched diet inhibits atherogenesis and fatty liver formation in LDL receptor knockout mice. J. Nutr. 2008, 138, 1923–1930. [Google Scholar] [CrossRef] [Green Version]
- Yadav, D.; Hertan, H.I.; Schweitzer, P.; Norkus, E.P.; Pitchumoni, C.S. Serum and liver micronutrient antioxidants and serum oxidative stress in patients with chronic hepatitis C. Am. J. Gastroenterol. 2002, 97, 2634–2639. [Google Scholar] [CrossRef] [PubMed]
- Harrison, E.H. Mechanisms of intestinal absorption of carotenoids: Insights from in vitro systems. In Carotenoids: Physical, Chemical, and Biological Functions and Properties; Landrum, J.T., Ed.; CRC Press, Taylor & Francis Group: Boca Raton, FL, USA, 2010; pp. 367–381. [Google Scholar]
- Periago, M.J.; García-Alonso, J. Biodisponibilidad de antioxidantes en la dieta. In Antioxidantes en Alimentos y Salud, 1st ed.; Álvarez-Parilla, E., González-Aguilar, A., De la Rosa, L.A., Ayala-Zavala, J.F., Eds.; AM-Editores: Ciudad de Mexico, Mexico, 2012; pp. 257–291. [Google Scholar]
- Bhosale, P.; Larson, A.J.; Frederick, J.M.; Southwick, K.; Thulin, C.D.; Bernstein, P.S. Identification and characterization of a Pi isoform of glutathione S-transferase (GSTP1) as a zeaxanthinbinding protein in the macula of the human eye. J. Biol. Chem. 2004, 279, 49447–49454. [Google Scholar] [CrossRef] [PubMed]
- Li, B.; Vachali, P.; Frederick, J.M.; Bernstein, P.S. Identification of StARD3 as a lutein-binding protein in the macula of the primate retina. Biochemistry 2011, 50, 2541–2549. [Google Scholar] [CrossRef] [PubMed]
- Niu, Y.; Jin, M.; Li, Y.; Li, P.; Zhou, J.; Wang, X.; Chen, Y. Biallelic β-carotene oxygenase 2 knockout results in yellow fat in sheep via CRISPR/Cas9. Anim. Gen. 2017, 48, 242–244. [Google Scholar] [CrossRef]
- Borel, P. Genetic variations involved in interindividual variability in carotenoid status. Mol. Nutr. Food Res. 2012, 56, 228–240. [Google Scholar] [CrossRef]
- Kiefer, C.; Hessel, S.; Lampert, J.M.; Vogt, K.; Lederer, M.O.; Breithaupt, D.E.; von Lintig, J. Identification and characterization of a mammalian enzyme catalyzing the asymmetric oxidative cleavage of provitamin A. J. Biol. Chem. 2001, 276, 14110–14116. [Google Scholar] [CrossRef]
- Lietz, G.; Lange, J.; Rimbach, G. Molecular and dietary regulation of beta, beta-carotene 15,15-monooxygenase 1 (BCMO1). Arch. Biochem. Biophys. 2010, 502, 8–16. [Google Scholar] [CrossRef]
- von Lintig, J.; Vogt, K. Filling the gap in vitamin A research. Molecular identification of an enzyme cleaving betacarotene to retinal. J. Biol. Chem. 2000, 275, 11915–11920. [Google Scholar] [CrossRef]
- Wyss, A.; Wirtz, G.; Woggon, W.; Brugger, R.; Wyss, M.; Friedlein, A.; Bachmann, H.; Hunziker, W. Cloning and expression of beta, beta-carotene 15,15′-dioxygenase. Biochem. Biophys. Res. Commun. 2000, 271, 334–336. [Google Scholar] [CrossRef]
- Redmond, T.M.; Gentleman, S.; Duncan, T.; Yu, S.; Wiggert, B.; Gantt, E.; Cunningham, F.X., Jr. Identification, expression, and substrate specificity of a mammalian beta-carotene 15,15′-dioxygenase. J. Biol. Chem. 2001, 276, 6560–6565. [Google Scholar] [CrossRef] [Green Version]
- Lindqvist, A.; Andersson, S. Biochemical properties of purified recombinant human beta-carotene 15,15′-monooxygenase. J. Biol. Chem. 2002, 277, 23942–23948. [Google Scholar] [CrossRef] [PubMed]
- Våge, D.I.; Boman, I.A. A nonsense mutation in the beta-carotene oxygenase 2 (BCO2) gene is tightly associated with accumulation of carotenoids in adipose tissue in sheep (Ovis aries). BMC Genet. 2010, 11, 10. [Google Scholar] [CrossRef] [PubMed]
- Strychalski, J.; Brym, P.; Czarnik, U.; Gugołek, A. A novel AAT-deletion mutation in the coding sequence of the BCO2 gene in yellow-fat rabbits. J. Appl. Genet. 2015, 56, 535–537. [Google Scholar] [CrossRef]
- Tian, R.; Cullen, N.G.; Morris, C.A.; Fisher, P.J.; Pitchford, W.S.; Bottema, C.D.K. Major effect of retinal short-chain dehydrogenase reductase (RDHE2) on bovine fat colour. Mamm. Genome 2012, 23, 378–386. [Google Scholar] [CrossRef] [PubMed]
- Eriksson, J.; Larson, G.; Gunnarsson, U.; Bed’hom, B.; Tixier-Boichard, M.; Strömstedt, L.; Wright, D.; Jungerius, A.; Vereijken, A.; Randi, E.; et al. Identification of the yellow skin gene reveals a hybrid origin of the domestic chicken. PLoS Genet. 2008, 4, e1000010. [Google Scholar] [CrossRef]
- Strychalski, J.; Gugołek, A.; Brym, P.; Antoszkiewicz, Z.; Chwastowska-Siwiecka, I. Polymorphism of the BCO2 gene and the content of carotenoids, retinol and α-tocopherol in the liver and fat of rabbits. Braz. J. Anim. Sci. 2019, 48, e20180243. [Google Scholar] [CrossRef]
- Strychalski, J.; Gugołek, A.; Brym, P.; Antoszkiewicz, Z. Effect of the β-carotene oxygenase 2 genotype on the content of carotenoids, retinol and α-tocopherol in the liver, fat and milk of rabbit does, reproduction parameters and kitten growth. J. Anim. Phys. Anim. Nutr. 2019, 103, 1585–1593. [Google Scholar] [CrossRef]
- Asrar, A.-W.A.; Elhindi, K.M. Alleviation of drought stress of marigold (Tagetes erecta) plants by using arbuscular mycorrhizal fungi. Saudi J. Biol. Sci. 2011, 18, 93–98. [Google Scholar] [CrossRef]
- Piccaglia, R.; Marotti, M.; Grandi, S. Lutein and lutein ester content in different types of Tagetes patula and T. erecta. Ind. Crops Prod. 1998, 8, 45–51. [Google Scholar] [CrossRef]
- Tanaka, Y.; Sasaki, N.; Ohmiya, A. Biosynthesis of plant pigments: Anthocyanins, betalains and carotenoids. Plant J. 2008, 54, 733–749. [Google Scholar] [CrossRef]
- Kotake-Nara, E.; Nagao, A. Absorption and metabolism of xanthophylls. Mar. Drugs 2011, 9, 1024–1037. [Google Scholar] [CrossRef] [PubMed]
- Bonet, M.L.; Canas, J.A.; Ribot, J.; Palou, A. Carotenoids in adipose tissue biology and obesity. In Carotenoids in Nature; Stange, C., Ed.; Springer: Cham, Switzerland, 2016; pp. 377–414. [Google Scholar] [CrossRef]
- Gao, Y.Y.; Ji, J.; Jin, L.; Sun, B.L.; Xu, L.H.; Wang, C.K.; Bi, Y.Z. Xanthophyll supplementation regulates carotenoid and retinoid metabolism in hens and chicks. Poult. Sci. 2016, 95, 541–549. [Google Scholar] [CrossRef] [PubMed]
- Perez-Galvez, A.; Viera, I.; Roca, M. Carotenoids and chlorophylls as antioxidants. Antioxidants 2020, 9, 505. [Google Scholar] [CrossRef] [PubMed]
- Buscemi, S.; Corleo, D.; Di Pace, F.; Petroni, M.L.; Satriano, A.; Marchesini, G. The effect of lutein on eye and extra-eye health. Nutrients 2018, 10, 1321. [Google Scholar] [CrossRef]
- Ávila-Román, J.; García-Gil, S.; Rodríguez-Luna, A.; Motilva, V.; Talero, E. Anti-Inflammatory and anticancer effects of microalgal carotenoids. Mar. Drugs 2021, 19, 531. [Google Scholar] [CrossRef]
- Kiplimo, J.J.; Everia, C.A.; Koorbanally, N.A. Novel polyene from Vernonia urticifolia (Asteraceae). J. Med. Plants Res. 2011, 5, 4202–4211. [Google Scholar] [CrossRef]
- Chew, B.P.; Wong, M.W.; Wong, T.S. Effects of lutein from marigold extract on immunity and growth of mammary tumors in mice. Anticancer Res. 1996, 16, 3689–3694. [Google Scholar]
- Park, J.S.; Chew, B.P.; Wong, T.S. Dietary lutein absorption from marigold extract is rapid in BALB/c mice. J. Nutr. 1998, 128, 1802–1806. [Google Scholar] [CrossRef]
- Gonzalez Gil, A.; Illera, J.C.; Silvan, G.; Illera, M. Effects of the anaesthetic/tranquillizer treatments on selected plasma biochemical parameters in NZW rabbits. Lab. Anim. 2003, 37, 155–161. [Google Scholar] [CrossRef]
- Murillo, A.G.; Hu, S.; Fernandez, M.L. Zeaxanthin: Metabolism, properties, and antioxidant protection of eyes, heart, liver, and skin. Antioxidants 2019, 8, 390. [Google Scholar] [CrossRef] [Green Version]
- Breithaupt, D.E.; Weller, P.; Wolters, M.; Hahn, A. Comparison of plasma responses in human subjects after the ingestion of 3R,3R’-zeaxanthin dipalmitate from wolfberry (Lycium barbarum) and non-esterified 3R,3R’-zeaxanthin using chiral high-performance liquid chromatography. Br. J. Nutr. 2004, 91, 707–713. [Google Scholar] [CrossRef] [PubMed]
- Shyam, R.; Gorusupudi, A.; Nelson, K.; Hoevath, M.P.; Bernstein, P.S. RPE65 has an additional function as the lutein to meso-zeaxanthin isomerase in the vertebrate eye. Proc. Natl. Acad. Sci. USA 2017, 114, 10882–10887. [Google Scholar] [CrossRef] [PubMed]
- Jeon, S.; Li, Q.; Rubakhin, S.S.; Sweedleer, J.V.; Smith, J.W.; Neuringer, M.; Kuchan, M.; Erdman, J.W., Jr. 13C-lutein is differentially distributed in tissues of an adult female rhesus macaque following a single oral administration: A pilot study. Nutr. Res. 2019, 61, 102–108. [Google Scholar] [CrossRef] [PubMed]
- Gil, A.G.; Silvan, G.; Illera, M.; Illera, J.C. The effects of anesthesia on the clinical chemistry of New Zealand White rabbits. J. Am. Assoc. Lab. Anim. Sci. 2004, 43, 25–29. [Google Scholar]
- Melillo, A. Rabbit clinical pathology. J. Exot. Pet Med. 2007, 16, 135–145. [Google Scholar] [CrossRef]
- Prache, S.; Priolo, A.; Grolier, P. Persistence of carotenoid pigments in the blood of concentrate-finished grazing sheep: Its significance for the traceability of grass-feeding. J. Anim. Sci. 2003, 81, 360–367. [Google Scholar] [CrossRef]
- Wilson, W.K.; Dudley, F.J. Fat colour and fur colour in different varieties of rabbit. J. Genet. 1946, 47, 290–294. [Google Scholar] [CrossRef]
- Strychalski, J.; Gugołek, A.; Antoszkiewicz, Z.; Kowalska, D.; Konstantynowicz, M. Biologically active compounds in selected tissues of white-fat and yellow-fat rabbits and their production performance parameters. Livest. Sci. 2016, 183, 92–97. [Google Scholar] [CrossRef]
- AOAC International. Official Methods of Analysis, 18th ed.; Association of Analytical Communities: Arlington, VA, USA, 2006. [Google Scholar]
- Van Soest, P.J.; Robertson, J.B.; Lewis, B.A. Methods for dietary fibre, neutral detergent fibre and non-starch polysaccharides in relation to animal nutrition. J. Dairy Sci. 1991, 74, 3583–3597. [Google Scholar] [CrossRef]
- Högberg, A.; Pickova, J.; Babol, J.; Andersson, K.; Dutta, P.C. Muscle lipids, vitamins E and A, and lipid oxidation as affected by diet and RN genotype in female and castrated male Hampshire crossbreed pigs. Meat Sci. 2002, 60, 411–420. [Google Scholar] [CrossRef]
- Xu, Z. Comparison of extraction methods for quantifying vitamin E from animal tissues. Bioresour. Technol. 2008, 99, 8705–8709. [Google Scholar] [CrossRef] [PubMed]
- Rodriguez-Bernaldo de Quirós, A.; Costa, H.S. Analysis of carotenoids in vegetable and plasma samples: A review. J. Food Compos. Anal. 2006, 19, 97–111. [Google Scholar] [CrossRef]
- R Core Team. R: A Language and Environment for Statistical Computing; R Foundation for Statistical Computing: Vienna, Austria, 2021; Available online: https://www.R-project.org/ (accessed on 10 December 2021).
- Matz, M.V.; Wright, R.M.; Scott, J.G. No control genes required: Bayesian analysis of qRT-PCR data. PLoS ONE 2013, 8, e71448. [Google Scholar] [CrossRef] [PubMed]



| Compound | Diet | BCO2 Genotypes | p-Value | ||
|---|---|---|---|---|---|
| ins/ins | ins/del | del/del | |||
| Lutein | Control | 0.31 ± 0.16 A | 0.40 ± 0.28 B | 1.94 ± 1.49 AB | <0.001 |
| Marigold | 0.42 ± 0.32 A | 0.50 ± 0.32 B | 8.01 ± 6.64 AB | <0.001 | |
| p-value | 0.428 | 0.452 | 0.006 | ||
| Zeaxanthin | Control | 0.13 ± 0.04 | 0.13 ± 0.10 | 0.17 ± 0.09 | 0.393 |
| Marigold | 0.15 ± 0.11 | 0.15 ± 0.12 | 0.20 ± 0.12 | 0.587 | |
| p-value | 0.279 | 0.344 | 0.792 | ||
| β-carotene | Control | 0.25 ± 0.13 a | 0.22 ± 0.11 b | 0.46 ± 0.25 ab | 0.016 |
| Marigold | 0.35 ± 0.20 | 0.32 ± 0.23 a | 0.61 ± 0.43 a | 0.042 | |
| p-value | 0.422 | 0.376 | 0.318 | ||
| Retinol | Control | 95.99 ± 36.00 | 102.22 ± 49.75 | 93.01 ± 63.65 | 0.401 |
| Marigold | 101.93 ± 86.40 | 98.56 ± 57.42 | 97.53 ± 51.42 | 0.988 | |
| p-value | 0.843 | 0.917 | 0.882 | ||
| α-tocopherol | Control | 6.13 ± 4.83 | 6.44 ± 5.77 | 6.97 ± 3.35 | 0.924 |
| Marigold | 5.86 ± 4.50 | 5.67 ± 4.35 | 8.60 ± 7.33 | 0.274 | |
| p-value | 0.879 | 0.729 | 0.529 | ||
| Compound | Diet | BCO2 Genotypes | p-Value | ||
|---|---|---|---|---|---|
| ins/ins | ins/del | del/del | |||
| Lutein | Control | 0.51 ± 0.31 | 0.62 ± 0.47 | 0.92 ± 0.95 | 0.406 |
| Marigold | 0.68 ± 0.36 A | 0.69 ± 0.57 B | 2.01 ± 1.36 AB | <0.001 | |
| p-value | 0.267 | 0.762 | 0.013 | ||
| Zeaxanthin | Control | 0.03 ± 0.02 | 0.03 ± 0.02 | 0.03 ± 0.02 | 0.996 |
| Marigold | 0.04 ± 0.03 | 0.05 ± 0.04 | 0.07 ± 0.05 | 0.255 | |
| p-value | 0.250 | 0.065 | 0.016 | ||
| β-carotene | Control | 0.03 ± 0.02 A | 0.02 ± 0.01 B | 1.40 ± 0.65 AB | <0.001 |
| Marigold | 0.04 ± 0.02 A | 0.05 ± 0.02 B | 1.73 ± 1.50 AB | <0.001 | |
| p-value | 0.846 | 0.020 | 0.523 | ||
| Retinol | Control | 1.41 ± 1.30 | 2.61 ± 1.67 | 2.78 ± 1.03 | 0.066 |
| Marigold | 1.91 ± 1.50 | 3.88 ± 2.50 | 2.29 ± 1.18 | 0.052 | |
| p-value | 0.434 | 0.198 | 0.340 | ||
| α-tocopherol | Control | 2.37 ± 1.35 | 2.36 ± 1.97 | 2.29 ± 1.90 | 0.993 |
| Marigold | 3.03 ± 1.37 | 2.66 ± 1.89 | 2.17 ± 1.34 | 0.389 | |
| p-value | 0.288 | 0.736 | 0.854 | ||
| Compound | Diet | BCO2 genotypes | p-Value | ||
|---|---|---|---|---|---|
| ins/ins | ins/del | del/del | |||
| AST (U/L) | Control | 14.70 ± 5.68 | 15.20 ± 6.94 | 20.10 ± 5.36 | 0.106 |
| Marigold | 20.30 ± 9.25 | 14.10 ± 5.45 | 16.30 ± 8.46 | 0.223 | |
| p-value | 0.120 | 0.698 | 0.246 | ||
| ALT (U/L) | Control | 8.50 ± 1.78 | 7.30 ± 4.57 | 6.10 ± 1.79 | 0.224 |
| Marigold | 7.60 ± 4.48 | 6.20 ± 3.82 | 6.60 ± 2.17 | 0.677 | |
| p-value | 0.562 | 0.567 | 0.581 | ||
| GGT (U/L) | Control | 23.80 ± 10.01 | 24.10 ± 9.48 | 23.50 ± 12.42 | 0.992 |
| Marigold | 22.20 ± 15.08 | 20.90 ± 8.72 | 19.40 ± 6.77 | 0.855 | |
| p-value | 0.770 | 0.442 | 0.371 | ||
| Albumin (g/L) | Control | 33.50 ± 14.50 | 36.94 ± 14.27 | 36.92 ± 16.58 | 0.844 |
| Marigold | 38.98 ± 10.77 | 37.25 ± 13.02 | 37.32 ± 10.67 | 0.931 | |
| p-value | 0.350 | 0.960 | 0.950 | ||
| ALP (U/L) | Control | 6.98 ± 2.77 | 8.00 ± 5.64 | 9.17 ± 5.15 | 0.586 |
| Marigold | 10.20 ± 5.48 | 5.90 ± 1.98 A | 14.82 ± 8.48 A | 0.009 | |
| p-value | 0.115 | 0.281 | 0.088 | ||
| LDH (U/L) | Control | 220.20 ± 55.31 A | 179.70 ± 77.20 | 123.20 ± 40.39 A | 0.004 |
| Marigold | 213.70 ± 93.22 A | 136.30 ± 72.00 | 79.00 ± 45.51 A | 0.001 | |
| p-value | 0.852 | 0.210 | 0.034 | ||
| Total protein (g/L) | Control | 54.60 ± 23.65 | 59.76 ± 29.72 | 55.78 ± 21.58 | 0.892 |
| Marigold | 57.05 ± 17.42 | 57.71 ± 35.66 | 54.19 ± 23.88 | 0.952 | |
| p-value | 0.795 | 0.890 | 0.878 | ||
| Compound | Diet | BCO2 Genotypes | p-Value | ||
|---|---|---|---|---|---|
| ins/ins | ins/del | del/del | |||
| POX | Control | 1065 ± 438 | 1037 ± 451 | 1237 ± 612 | 0.639 |
| Marigold | 996 ± 361 | 1235 ± 580 | 1197 ± 527 | 0.668 | |
| p-value | 0.847 | 0.528 | 0.929 | ||
| SOD | Control | 415.9 ± 149.7 | 342.2 ± 186.5 | 355.1 ± 147.9 | 0.563 |
| Marigold | 393.5 ± 139.5 | 411.0 ± 190.9 | 252.5 ± 145.8 | 0.070 | |
| p-value | 0.733 | 0.426 | 0.136 | ||
| Ingredients (%) | Chemical Composition and Energy Content | ||
|---|---|---|---|
| Dried alfalfa | 33.5 | Dry matter (%) | 89.15 |
| Oat | 17 | Crude protein (%) | 16.68 |
| Wheat bran | 15 | Ether extract (%) | 3.20 |
| Barley | 12.3 | Crude ash (%) | 6.74 |
| Wheat | 9 | Neutral detergent fiber (%) | 26.63 |
| Soyabean meal | 8 | Acid detergent fiber (%) | 18.57 |
| Linseed | 2 | Gross energy (MJ/kg) | 17.65 |
| Mineral supplements a | 1.8 | Lutein (mg/kg) | 21.64 |
| Mineral–vitamin premix b | 1 | Zeaxanthin (mg/kg) | 0.14 |
| NaCl | 0.4 | β-carotene (mg/kg) | 9.97 |
| Total | 100 | Retinol (IU/kg) | 9734 |
| α-tocopherol (mg/kg) | 20.71 | ||
| Gene | Sequence (5′–3′) | Annealing Temperature | Product Length | Amplification Efficiency |
|---|---|---|---|---|
| β-actin | F: CTCCCTGGAGAAGAGCTACG R: TTGAAGGTGGTCTCGTGGAT | 59.18 °C 60.51 °C | 138 bp | 104% |
| GAPDH | F: TCGGAGTGAACGGATTTGGC R: GCCGTGGGTGGAATCATACT | 60.67 °C 59.82 °C | 146 bp | 105% |
| BCO1 | F: ACGCGACCTCAGAGACAAAT R: TGAAAACGTTTCCAGCAGCG | 59.40 °C 59.97 °C | 141 bp | 102% |
| BCO2 | F: GGCTGTGGTTTTCGGCATTT R: GCTCCTGGTACTGGCACAAA | 59.97 °C 60.25 °C | 128 bp | 89% |
| LRAT | F: ATGGGCCTGGCATCCTATAC R: CACAGTTGACGTGGGGAAAG | 59.00 °C 59.06 °C | 93 bp | 115% |
| TTPA | F: CCCAGACATTCTTCCTCTGG R: ATGAATGGGCTCAGAAATGC | 59.65 °C 60.04 °C | 124 bp | 113% |
Publisher’s Note: MDPI stays neutral with regard to jurisdictional claims in published maps and institutional affiliations. |
© 2022 by the authors. Licensee MDPI, Basel, Switzerland. This article is an open access article distributed under the terms and conditions of the Creative Commons Attribution (CC BY) license (https://creativecommons.org/licenses/by/4.0/).
Share and Cite
Strychalski, J.; Gugołek, A.; Antoszkiewicz, Z.; Fopp-Bayat, D.; Kaczorek-Łukowska, E.; Snarska, A.; Zwierzchowski, G.; Król-Grzymała, A.; Matusevičius, P. The Effect of the BCO2 Genotype on the Expression of Genes Related to Carotenoid, Retinol, and α-Tocopherol Metabolism in Rabbits Fed a Diet with Aztec Marigold Flower Extract. Int. J. Mol. Sci. 2022, 23, 10552. https://doi.org/10.3390/ijms231810552
Strychalski J, Gugołek A, Antoszkiewicz Z, Fopp-Bayat D, Kaczorek-Łukowska E, Snarska A, Zwierzchowski G, Król-Grzymała A, Matusevičius P. The Effect of the BCO2 Genotype on the Expression of Genes Related to Carotenoid, Retinol, and α-Tocopherol Metabolism in Rabbits Fed a Diet with Aztec Marigold Flower Extract. International Journal of Molecular Sciences. 2022; 23(18):10552. https://doi.org/10.3390/ijms231810552
Chicago/Turabian StyleStrychalski, Janusz, Andrzej Gugołek, Zofia Antoszkiewicz, Dorota Fopp-Bayat, Edyta Kaczorek-Łukowska, Anna Snarska, Grzegorz Zwierzchowski, Angelika Król-Grzymała, and Paulius Matusevičius. 2022. "The Effect of the BCO2 Genotype on the Expression of Genes Related to Carotenoid, Retinol, and α-Tocopherol Metabolism in Rabbits Fed a Diet with Aztec Marigold Flower Extract" International Journal of Molecular Sciences 23, no. 18: 10552. https://doi.org/10.3390/ijms231810552
APA StyleStrychalski, J., Gugołek, A., Antoszkiewicz, Z., Fopp-Bayat, D., Kaczorek-Łukowska, E., Snarska, A., Zwierzchowski, G., Król-Grzymała, A., & Matusevičius, P. (2022). The Effect of the BCO2 Genotype on the Expression of Genes Related to Carotenoid, Retinol, and α-Tocopherol Metabolism in Rabbits Fed a Diet with Aztec Marigold Flower Extract. International Journal of Molecular Sciences, 23(18), 10552. https://doi.org/10.3390/ijms231810552

