Sparking Nano-Metals on a Surface of Polyethylene Terephthalate and Its Application: Anti-Coronavirus and Anti-Fogging Properties
Abstract
:1. Introduction
2. Results and Discussion
2.1. Morphology of the Nano-Metal Treated PET Film Surface
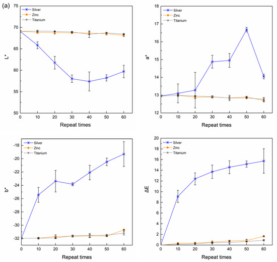
2.2. Colors and Visual Images of the Nano-Metal Treated PET Films
2.3. Surface Tension of the Nano-Metal Treated PET Films
2.4. In Vivo and In Vitro Antivirus Property of the Nano-Metal Treated PET Films
2.5. Face Shield Preparation and Observation of Properties
3. Materials and Methods
3.1. Materials
3.2. Sample Preparation
3.3. Morphology Analysis
3.4. Color Measurement
3.5. Dynamic Water Contact Angle Measurement
3.6. Antivirus Test on the PET Film Surface
3.7. Surface Analysis
3.8. Anti-Fogging Analysis
3.9. Tensile Test
3.10. Statistical Analysis
4. Conclusions
Author Contributions
Funding
Institutional Review Board Statement
Informed Consent Statement
Data Availability Statement
Acknowledgments
Conflicts of Interest
References
- McNeil, S.E. Nanotechnology for the biologist. J. Leukoc. Biol. 2005, 78, 585–594. [Google Scholar] [CrossRef] [PubMed]
- Chauhan, I.; Verma, M.; Yasir, M. Nanoethics and nanotechnology. In Nanotechnology in Medicine: Toxicity and Safety; Rai, M., Patel, M., Patel, R., Eds.; John Wiley & Sons: Haboken, NJ, USA, 2021; pp. 349–372. [Google Scholar]
- Nicolae-Maranciuc, A.; Chicea, D.; Chicea, L.M. Ag nanoparticles for biomedical applications—Synthesis and characterization—A review. Int. J. Mol. Sci. 2022, 23, 5778. [Google Scholar] [CrossRef] [PubMed]
- Santos, C.S.; Gabriel, B.; Blanchy, M.; Menes, O.; García, D.; Blanco, M.; Arconada, N.; Neto, V. Industrial applications of nanoparticles—A prospective overview. Mater. Today Proc. 2015, 2, 456–465. [Google Scholar] [CrossRef]
- Jeremiah, S.S.; Miyakawa, K.; Morita, T.; Yamaoka, Y.; Ryo, A. Potent antiviral effect of silver nanoparticles on SARS-CoV-2. Biochem. Biophys. Res. Commun. 2020, 533, 195–200. [Google Scholar] [CrossRef]
- Huo, C.; Xiao, J.; Xiao, K.; Zou, S.; Wang, M.; Qi, P.; Liu, T.; Hu, Y. Pre-treatment with zirconia nanoparticles reduces inflammation induced by the pathogenic H5N1 influenza virus. Int. J. Nanomed. 2020, 15, 661–674. [Google Scholar] [CrossRef] [PubMed]
- Chen, Y.N.; Hsueh, Y.H.; Hsieh, C.T.; Tzou, D.Y.; Chang, P.L. Antiviral activity of graphene silver nanocomposite against non-enveloped and enveloped viruses. Int. J. Environ. Res. Public Health 2016, 13, 430. [Google Scholar] [CrossRef]
- Viswanathan, K.; Kim, I.; Kasi, G.; Sadeghi, K.; Thanakkasaranee, S.; Seo, J. Facile approach to enhance the antibacterial activity of ZnO nanoparticles. Adv. Appl. Ceram. 2020, 119, 414–422. [Google Scholar] [CrossRef]
- Othman, S.H.; Abd Salam, N.R.; Zainal, N.; Kadir Basha, R.; Talib, R.A. Antimicrobial activity of TiO2 nanoparticle-coated film for potential food packaging applications. Int. J. Photoenergy 2014, 2014, 945930. [Google Scholar] [CrossRef]
- Sadeghi, K.; Thanakkasaranee, S.; Lim, I.J.; Seo, J. Calcined marine coral powders as a novel ecofriendly antimicrobial agent. Mater. Sci. Eng. C 2020, 107, 110193. [Google Scholar] [CrossRef]
- Dizaj, S.M.; Lotfipour, F.; Barzegar-Jalali, M.; Zarrintan, M.H.; Adibkia, K. Antimicrobial activity of the metals and metal oxide nanoparticles. Mater. Sci. Eng. C 2014, 44, 278–284. [Google Scholar] [CrossRef]
- Brandelli, A.; Ritter, A.C.; Veras, F.F. Antimicrobial activities of metal nanoparticles. In Metal Nanoparticles in Pharma; Rai, M., Shegokar, R., Eds.; Springer: Cham, Switzerland, 2017; pp. 337–363. [Google Scholar]
- Morozova, O.V. Silver nanostructures: Limited sensitivity of detection, toxicity and anti-inflammation effects. Int. J. Mol. Sci. 2021, 22, 9928. [Google Scholar] [CrossRef] [PubMed]
- Thanakkasaranee, S.; Sadeghi, K.; Lim, I.J.; Seo, J. Effects of incorporating calcined corals as natural antimicrobial agent into active packaging system for milk storage. Mater. Sci. Eng. C 2020, 111, 110781. [Google Scholar] [CrossRef]
- Arroyo, G.V.; Madrid, A.T.; Gavilanes, A.F.; Naranjo, B.; Debut, A.; Arias, M.T.; Angulo, Y. Green synthesis of silver nanoparticles for application in cosmetics. J. Environ. Sci. Health A 2020, 55, 1304–1320. [Google Scholar] [CrossRef] [PubMed]
- Cui, H.; Jiang, J.; Gu, W.; Sun, C.; Wu, D.; Yang, T.; Yang, G. Photocatalytic inactivation efficiency of anatase nano TiO2 sol on the H9N2 avian influenza virus. J. PhotoChem. Photobiol. 2010, 86, 1135–1139. [Google Scholar] [CrossRef] [PubMed]
- Mori, Y.; Ono, T.; Miyahira, Y.; Nguyen, V.Q.; Matsui, T.; Ishihara, M. Antiviral activity of silver nanoparticles/chitosan composites against H1N1 influenza A virus. Nanoscale Res. Lett. 2013, 8, 93. [Google Scholar] [CrossRef]
- Surnar, B.; Kamran, M.Z.; Shah, A.S.; Basu, U.; Kolishetti, N.; Deo, S.; Jayaweera, D.T.; Daunert, S.; Dhar, S. Orally administrable therapeutic synthetic nanoparticle for Zika virus. ACS Nano. 2019, 13, 11034–11048. [Google Scholar] [CrossRef]
- Ball, F. How nano can fight the virus. Nat. Mater. 2021, 20, 126. [Google Scholar] [CrossRef]
- Wieczorek, K.; Szutkowska, B.; Kierzek, E. Anti-influenza strategies based on nanoparticle applications. Pathogens 2020, 9, 1020. [Google Scholar] [CrossRef]
- Vines, J.B.; Yoon, J.H.; Ryu, N.E.; Lim, D.J.; Park, H. Gold nanoparticles for photothermal cancer therapy. Front. Chem. 2019, 7, 167. [Google Scholar] [CrossRef]
- Gaikwad, S.; Ingle, A.; Gade, A.; Rai, M.; Falanga, A.; Incoronato, N.; Russo, L.; Galdiero, S.; Galdiero, M. Antiviral activity of mycosynthesized silver nanoparticles against herpes simplex virus and human parainfluenza virus type 3. Int. J. Nanomed. 2013, 8, 4303–4314. [Google Scholar]
- Mazurkova, N.A.; Spitsyna, Y.E.; Shikina, N.V.; Ismagilov, Z.R.; Zagrebel’Nyi, S.N.; Ryabchikova, E.I. Interaction of titanium dioxide nanoparticles with influenzavirus. Nanotechnol. Russ. 2010, 5, 417–420. [Google Scholar] [CrossRef]
- Park, S.; Park, H.H.; Kim, S.Y.; Kim, S.J.; Woo, K.; Ko, G. Antiviral properties of silver nanoparticles on a magnetic hybrid colloid. Appl. Environ. Microbiol. 2014, 80, 2343–2350. [Google Scholar] [CrossRef] [PubMed]
- Huy, T.Q.; Thanh, N.T.H.; Thuy, N.T.; Van Chung, P.; Hung, P.N.; Le, A.T.; Hanh, N.T.H. Cytotoxicity and antiviral activity of electrochemical-synthesized silver nanoparticles against poliovirus. J. Virol. Methods 2017, 241, 52–57. [Google Scholar] [CrossRef]
- Broglie, J.J.; Alston, B.; Yang, C.; Ma, L.; Adcock, A.F.; Chen, W.; Yang, L. Antiviral activity of gold/copper sulfide core/shell nanoparticles against human norovirus virus-like particles. PLoS ONE 2015, 10, e0141050. [Google Scholar] [CrossRef] [PubMed]
- Nakano, R.; Ishiguro, H.; Yao, Y.; Kajioka, J.; Fujishima, A.; Sunada, K.; Minoshima, M.; Hashimoto, K.; Kubota, Y. Photocatalytic inactivation of influenza virus by titanium dioxide thin film. Photochem. Photobiol. Sci. 2012, 11, 1293–1298. [Google Scholar] [CrossRef] [PubMed]
- Syngouna, V.I.; Chrysikopoulos, C.V. Inactivation of MS2 bacteriophage by titanium dioxide nanoparticles in the presence of quartz sand with and without ambient light. J. Colloid Interface Sci. 2017, 497, 117–125. [Google Scholar] [CrossRef]
- Prakash, J.; Cho, J.; Mishra, Y.K. Photocatalytic TiO2 nanomaterials as potential antimicrobial and antiviral agents: Scope against blocking the SARS-COV-2 spread. Micro Nano Eng. 2021, 14, 100100. [Google Scholar] [CrossRef]
- Nakano, R.; Yamaguchi, A.; Sunada, K.; Nagai, T.; Nakano, A.; Suzuki, Y.; Yano, H.; Ishiguro, H.; Miyauchi, M. Inactivation of various variant types of SARS-CoV-2 by indoor-light-sensitive TiO2-based photocatalyst. Sci. Rep. 2022, 12, 5804. [Google Scholar] [CrossRef]
- Upadhyay, A.K.; Shukla, S. Correlation study to identify the factors affecting COVID-19 case fatality rates in India. Diabetes Metab. Syndr. 2021, 15, 993–999. [Google Scholar] [CrossRef]
- Šícha, J.; Musil, J.; Meissner, M.; Čerstvý, R. Nanostructure of photocatalytic TiO2 films sputtered at temperatures below 200 degrees C. Appl. Surf. Sci. 2008, 254, 3793–3800. [Google Scholar] [CrossRef]
- Gao, Y.; Masuda, Y.; Peng, Z.; Yonezawa, T.; Koumoto, K. Room temperature deposition of TiO2 thin films from aqueous peroxotitanate solution. J. Mater. Chem. 2003, 13, 608–613. [Google Scholar] [CrossRef]
- Falaras, P.; Xagas, A.P. Roughness and fractality of nanostructured TiO2 films prepared via sol-gel technique. J. Mater. Sci. 2002, 37, 3855–3860. [Google Scholar] [CrossRef]
- Khorsand, S.; Raeissi, K.; Ashrafizadeh, F. Corrosion resistance and longterm durability of super-hydrophobic nickel film prepared by electrodeposition process. Appl. Surf. Sci. 2014, 305, 498–505. [Google Scholar] [CrossRef]
- Zhao, Y.; Xie, S.; Jiang, Y. The superhydrophobic properties of ZrO2 induced by laser irradiation. Surf. Interface Anal. 2012, 44, 1360–1363. [Google Scholar] [CrossRef]
- Acik, I.O.; Junolainen, A.; Mikli, V.; Danilson, M.; Krunks, M. Growth of ultra-thin TiO2 films by spray pyrolysis on different substrates. Appl. Surf. Sci. 2009, 256, 1391–1394. [Google Scholar] [CrossRef]
- Kumpika, T.; Thongsuwan, W.; Singjai, P. Optical and electrical properties of ZnO nanoparticle thin films deposited on quartz by sparking process. Thin Solid Films 2008, 30, 5640–5644. [Google Scholar] [CrossRef]
- Kumpika, T.; Kantarak, E.; Sroila, W.; Panthawan, A.; Jhuntama, N.; Sanmuangmoon, P.; Thongsuwan, W.; Singjai, P. Superhydrophilic/superhydrophobic surfaces fabricated by spark-coating. Surf. Interface Anal. 2018, 50, 827–834. [Google Scholar] [CrossRef]
- Thongsuwan, W.; Kumpika, T.; Singjai, P. Effect of high roughness on a long aging time of superhydrophilic TiO2 nanoparticle thin films. Curr. Appl. Phys. 2011, 11, 1237–1242. [Google Scholar] [CrossRef]
- Li, Y.; Xiao, Y.; Chen, Y.; Huang, K. Nano-based approaches in the development of antiviral agents and vaccines. Life Sci. 2021, 265, 118761. [Google Scholar] [CrossRef]
- Abd El-Aal, M.; Seto, T.; Kumita, M.; Abdelaziz, A.A.; Otani, Y. Synthesis of silver nanoparticles film by spark discharge deposition for surface-enhanced Raman scattering. Opt. Mater. 2018, 83, 263–271. [Google Scholar] [CrossRef]
- Kim, Y.K.; Park, I.S.; Kim, K.S.; Lee, M.H. The effects of adding elements of zinc and magnesium on Ag-Cu eutectic alloy for warming acupuncture. Evid. Based Complement. Altern. Med. 2013, 2013, 532735. [Google Scholar] [CrossRef] [PubMed] [Green Version]
- Aydemir, D.; Gunduz, G.; Ozden, S. The influence of thermal treatment on color response of wood materials. Color Res. Appl. 2012, 37, 148–153. [Google Scholar] [CrossRef]
- Hassan, M.M. Enhanced colour, hydrophobicity, UV radiation absorption and antistatic properties of wool fabric multi-functionalized with silver nanoparticles. Colloid Surf. A Phusicochem. Eng. Asp. 2019, 581, 123819. [Google Scholar] [CrossRef]
- Fayaz, A.M.; Balaji, K.; Kalaichelvan, P.T.; Venkatesan, R. Fungal based synthesis of silver nanoparticles—An effect of temperature on the size of particles. Colloid Surf. B Biointerfaces 2009, 74, 123–126. [Google Scholar] [CrossRef]
- Štruncová, M.; Toma, S.H.; Araki, K.; Bresciani, E.; Rodrigues, F.P.; Medeiros, I.S.; Dutra-Correa, M. Silver nanoparticles added to a commercial adhesive primer: Colour change and resin colour stability with aging. Int. J. Adhes. Adhes. 2020, 102, 102694. [Google Scholar] [CrossRef]
- Shen, T.; Liu, Y.; Zhu, Y.; Yang, D.Q.; Sacher, E. Improved adhesion of Ag NP to the polyethylene terephthalate surface via atmospheric plasma treatment and surface functionalization. Appl. Surf. Sci. 2017, 411, 411–418. [Google Scholar] [CrossRef]
- Wang, T.; Jin, B.; Jiao, Z.; Lu, G.; Ye, J.; Bi, Y. Photo-directed growth of Au nanowires on ZnO arrays for enhancing photoelectrochemical performances. J. Mater. Chem. A 2014, 2, 15553–15559. [Google Scholar] [CrossRef]
- Pandey, S.K.; Pandey, S.K.; Mukherjee, C.; Mishra, P.; Gupta, M.; Barman, S.R.; D’Souza, S.W.; Mukherjee, S. Effect of growth temperature on structural, electrical and optical properties of dual ion beam sputtered ZnO thin films. J. Mater. Sci. Mater. Electron. 2013, 24, 2541–2547. [Google Scholar] [CrossRef]
- Sahai, A.; Goswami, N. Probing the dominance of interstitial oxygen defects in ZnO nanoparticles through structural and optical characterizations. Ceram. Int. 2014, 40, 14569–14578. [Google Scholar] [CrossRef]
- Chang, S.S.; Lee, H.J.; Park, H.J. Photoluminescence properties of spark-processed CuO. Ceram. Int. 2005, 31, 411–415. [Google Scholar] [CrossRef]
- Jiang, X.; Zhang, W.; Zhao, S.; Zhou, S.; Shi, Y.; Xin, Z. Effect of benzoic acid surface modified alumina nanoparticles on the mechanical properties and crystallization behavior of isotactic polypropylene nanocomposites. RSC Adv. 2018, 8, 20790–20800. [Google Scholar] [CrossRef] [PubMed] [Green Version]
- Pohuang, T.; Chansiripornchai, N.; Tawatsin, A.; Sasipreeyajan, J. Detection and molecular characterization of infectious bronchitis virus isolated from recent outbreaks in broiler flocks in Thailand. J. Vet. Sci. 2009, 10, 219–223. [Google Scholar] [CrossRef] [PubMed]
- Li, N.; Kuang, J.; Ren, Y.; Li, X.; Li, C. Fabrication of transparent super-hydrophilic coatings with self-cleaning and anti-fogging properties by using dendritic nano-silica. Ceram. Int. 2021, 47, 18743–18750. [Google Scholar] [CrossRef]














| Samples | Sparking Times | Roughness (nm) |
|---|---|---|
| Untreated PET | 0 | 0.00 |
| Ag-PET | 10 | 3.58 |
| 20 | 4.88 | |
| 30 | 7.25 | |
| 40 | 8.02 | |
| 50 | 9.42 | |
| 60 | 10.20 | |
| Zn-PET | 10 | 15.95 |
| 20 | 20.84 | |
| 30 | 29.48 | |
| 40 | 32.17 | |
| 50 | 36.87 | |
| 60 | 40.41 | |
| Ti-PET | 10 | 6.35 |
| 20 | 9.62 | |
| 30 | 11.69 | |
| 40 | 14.89 | |
| 50 | 18.51 | |
| 60 | 19.60 |
| Primer Name | Primer Sequence 5′–3′ | Target Gene | Product Length |
|---|---|---|---|
| Outer-F Outer-R | CTT-TTG-TTT-GCA-CTA-TGT-AG TAA-TAA-CCA-CTC-TGA-GCT-GT | S1 | 878 bp |
| Inner-F Inner-R | CAG-TGT-TTG-TCA-CAC-ATT-GT CCA-TCT-GAA-AAA-TTG-CCA-GT | S1 | 400 bp |
Publisher’s Note: MDPI stays neutral with regard to jurisdictional claims in published maps and institutional affiliations. |
© 2022 by the authors. Licensee MDPI, Basel, Switzerland. This article is an open access article distributed under the terms and conditions of the Creative Commons Attribution (CC BY) license (https://creativecommons.org/licenses/by/4.0/).
Share and Cite
Jantanasakulwong, K.; Thanakkasaranee, S.; Seesuriyachan, P.; Singjai, P.; Saenjaiban, A.; Photphroet, S.; Pratinthong, K.; Phimolsiripol, Y.; Leksawasdi, N.; Chaiyaso, T.; et al. Sparking Nano-Metals on a Surface of Polyethylene Terephthalate and Its Application: Anti-Coronavirus and Anti-Fogging Properties. Int. J. Mol. Sci. 2022, 23, 10541. https://doi.org/10.3390/ijms231810541
Jantanasakulwong K, Thanakkasaranee S, Seesuriyachan P, Singjai P, Saenjaiban A, Photphroet S, Pratinthong K, Phimolsiripol Y, Leksawasdi N, Chaiyaso T, et al. Sparking Nano-Metals on a Surface of Polyethylene Terephthalate and Its Application: Anti-Coronavirus and Anti-Fogging Properties. International Journal of Molecular Sciences. 2022; 23(18):10541. https://doi.org/10.3390/ijms231810541
Chicago/Turabian StyleJantanasakulwong, Kittisak, Sarinthip Thanakkasaranee, Phisit Seesuriyachan, Pisith Singjai, Aphisit Saenjaiban, Siriphan Photphroet, Kanticha Pratinthong, Yuthana Phimolsiripol, Noppol Leksawasdi, Thanongsak Chaiyaso, and et al. 2022. "Sparking Nano-Metals on a Surface of Polyethylene Terephthalate and Its Application: Anti-Coronavirus and Anti-Fogging Properties" International Journal of Molecular Sciences 23, no. 18: 10541. https://doi.org/10.3390/ijms231810541
APA StyleJantanasakulwong, K., Thanakkasaranee, S., Seesuriyachan, P., Singjai, P., Saenjaiban, A., Photphroet, S., Pratinthong, K., Phimolsiripol, Y., Leksawasdi, N., Chaiyaso, T., Sommano, S. R., Jantrawut, P., Chomdej, S., Chotinan, S., Barba, F. J., Regenstein, J. M., Reungsang, A., & Rachtanapun, P. (2022). Sparking Nano-Metals on a Surface of Polyethylene Terephthalate and Its Application: Anti-Coronavirus and Anti-Fogging Properties. International Journal of Molecular Sciences, 23(18), 10541. https://doi.org/10.3390/ijms231810541

