A Curcumin-BODIPY Dyad and Its Silica Hybrid as NIR Bioimaging Probes
Abstract
:1. Introduction
2. Results and Discussion
2.1. Synthesis of Dyad CB-Green
2.2. Photochemical Characterization of Dyad CB-Green
2.3. Synthesis of Dye-Loaded Silica Nanoparticles
2.4. Photochemical Characterization of the Dye-Loaded Silica Nanoparticles
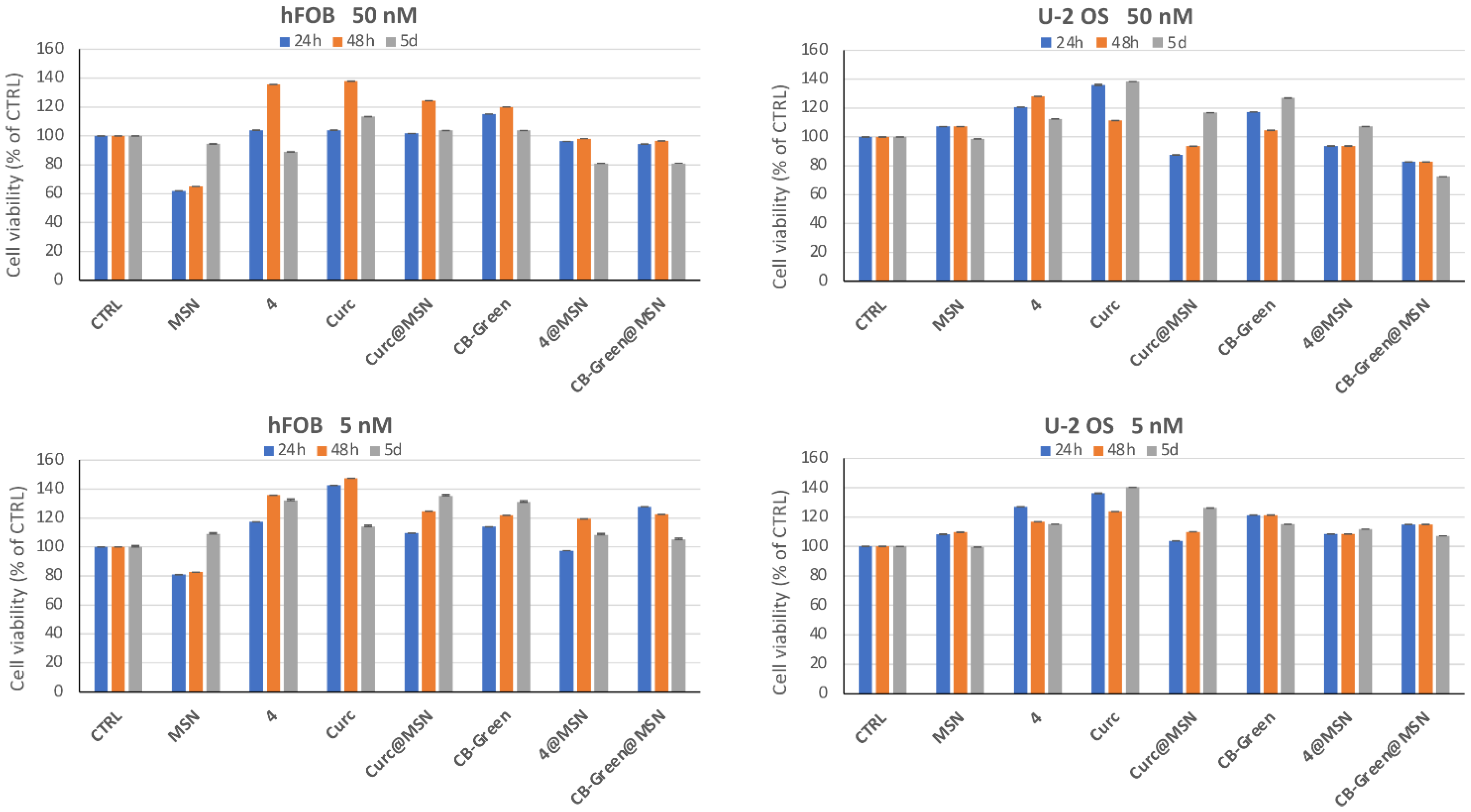
2.5. Biocompatibility and Cellular Uptake Evaluations
3. Material and Methods
3.1. Chemicals
3.2. Instrumentation
3.3. Synthesis
3.4. Cell Culture and Cell Viability Assay
4. Conclusions
Supplementary Materials
Author Contributions
Funding
Institutional Review Board Statement
Informed Consent Statement
Data Availability Statement
Acknowledgments
Conflicts of Interest
References
- Vahrmeijer, A.L.; Hutteman, M.; van der Vorst, J.R.; van de Velde, C.J.; Frangioni, J.V. Image-guided cancer surgery using near-infrared fluorescence. Nat. Rev. Clin. Oncol. 2013, 10, 507–518. [Google Scholar] [CrossRef] [PubMed] [Green Version]
- Xie, D.; Gu, D.; Lei, M.; Cai, C.; Zhong, W.; Qi, D.; Wu, W.; Zeng, G.; Liu, Y. The application of indocyanine green in guiding prostate cancer treatment. Asian J. Urol. 2022. [Google Scholar] [CrossRef]
- Han, M.; Kang, R.; Zhang, C. Lymph Node Mapping for Tumor Micrometastasis. ACS Biomater. Sci. Eng. 2022, 8, 2307–2320. [Google Scholar] [CrossRef] [PubMed]
- Li, X.; Zhu, J.; Mao, F.; Li, X.; Xia, C.; Jiang, B.; Guo, Y.; Li, J. Curcumin-based polarity fluorescent probes: Design strategy and biological applications. Dye. Pigm. 2020, 177, 108320. [Google Scholar]
- Nocito, M.C.; De Luca, A.; Prestia, F.; Avena, P.; La Padula, D.; Zavaglia, L.; Sirianni, R.; Casaburi, I.; Puoci, F.; Chimento, A.; et al. Antitumoral Activities of Curcumin and Recent Advances to ImProve Its Oral Bioavailability. Biomedicines 2021, 9, 1476. [Google Scholar] [CrossRef]
- Li, J.-B.; Liu, H.-W.; Fu, T.; Wang, R.; Zhang, X.-B.; Tan, W. Recent Progress in Small-Molecule Near-IR Probes for Bioimaging. Trends Chem. 2019, 1, 224–234. [Google Scholar] [CrossRef]
- Boens, N.; Leen, V.; Dehaen, W. Fluorescent indicators based on BODIPY. Chem. Soc. Rev. 2012, 41, 1130–1172. [Google Scholar] [CrossRef]
- Kowada, T.; Maeda, H.; Kikuchi, K. BODIPY-based probes for the fluorescence imaging of biomolecules in living cells. Chem. Soc. Rev. 2015, 44, 4953–4972. [Google Scholar] [CrossRef]
- Bassan, E.; Gualandi, A.; Cozzi, P.G.; Ceroni, P. Design of BODIPY dyes as triplet photosensitizers: Electronic properties tailored for solar energy conversion, photoredox catalysis and photodynamic therapy. Chem. Sci. 2021, 12, 6607–6628. [Google Scholar] [CrossRef]
- NI, Y.; Wu, J. Far-red and near infrared BODIPY dyes: Synthesis and applications for fluorescent pH probes and bio-imaging. Org. Biomol. Chem. 2014, 12, 3774–3791. [Google Scholar] [CrossRef]
- Kamkaew, A.; Lim, S.H.; Lee, H.B.; Kiew, L.V.; Chung, L.Y.; Burgess, K. BODIPY dyes in photodynamic therapy. Chem. Soc. Rev. 2013, 42, 77. [Google Scholar] [CrossRef] [PubMed]
- Myochin, T.; Hanaoka, K.; Komatsu, T.; Terai, T.; Nagano, T. Design Strategy for a Near-Infrared Fluorescence Probe for Matrix Metalloproteinase Utilizing Highly Cell Permeable Boron Dipyrromethene. J. Am. Chem. Soc. 2012, 134, 13730–13737. [Google Scholar] [CrossRef]
- Sansalone, L.; Tang, S.; Garcia-Amorós, J.; Zhang, Y.; Nonell, S.; Baker, J.D.; Captain, B.; Raymo, F.M. A Photoactivatable Far-Red/Near-Infrared BODIPY To Monitor Cellular Dynamics in Vivo. ACS Sens. 2018, 3, 1347–1353. [Google Scholar] [CrossRef] [PubMed] [Green Version]
- Chen, C.; Fang, C. Devising Efficient Red-Shifting Strategies for Bioimaging: A Generalizable Donor-Acceptor Fluorophore Prototype. Chem. Asian J. 2020, 15, 1514–1523. [Google Scholar] [CrossRef] [PubMed]
- Barattucci, A.; Campagna, S.; Papalia, T.; Galletta, M.; Santoro, A.; Puntoriero, F.; Bonaccorsi, P. BODIPY on Board of Sugars: A Short Enlightened Journey up to the Cells. ChemPhotoChem 2020, 4, 647–658. [Google Scholar] [CrossRef]
- Barattucci, A.; Gangemi, C.M.A.; Santoro, A.; Campagna, S.; Puntoriero, F.; Bonaccorsi, P. Bodipy-carbohydrate systems: Synthesis and bio- applications. Org. Biomol. Chem. 2022, 20, 2742–2763. [Google Scholar] [CrossRef]
- Riela, S.; Barattucci, A.; Barreca, D.; Campagna, S.; Cavallaro, G.; Lazzara, G.; Massaro, M.; Pizzolanti, G.; Salerno, T.M.G.; Bonaccorsi, P.; et al. Boosting the Properties of a Fluorescent Dye by Encapsulation into Halloysite Nanotubes. Dye. Pigm. 2021, 187, 109094. [Google Scholar] [CrossRef]
- Cheng, L.; Wang, C.; Feng, L.; Yang, K.; Liu, Z. Functional Nanomaterials for Phototherapies of Cancer. Chem. Rev. 2014, 114, 10869–10939. [Google Scholar] [CrossRef]
- Estevao, B.M.; Miletto, I.; Hioka, N.; Marchese, L.; Gianotti, E. Mesoporous Silica Nanoparticles Functionalized with Amino Groups for Biomedical Applications. ChemistryOpen 2021, 10, 1251–1259. [Google Scholar] [CrossRef]
- Bonaccorsi, P.; Papalia, T.; Barattucci, A.; Salerno, T.M.G.; Rosano, C.; Castagnola, P.; Viale, M.; Monticone, M.; Campagna, S.; Puntoriero, F. Localization-controlled two-color luminescence imaging via environmental modulation of energy transfer in a multichromophoric species. Dalton Trans. 2018, 47, 4733–4738. [Google Scholar] [CrossRef]
- Massaro, M.; Poma, P.; Colletti, C.G.; Barattucci, A.; Bonaccorsi, P.M.; Lazzara, G.; Nicotra, G.; Parisi, F.; Salerno, T.M.G.; Spinella, C.; et al. Chemical and biological evaluation of cross-linked halloysite-curcumin derivatives. Appl. Clay Sci. 2020, 184, 105400. [Google Scholar] [CrossRef]
- Kresge, C.T.; Leonowicz, M.E.; Roth, W.J.; Vartuli, J.C.; Beck, J.S. Ordered mesoporous molecular sieves synthesized by a liquid-crystal template mechanism. Nature 1992, 359, 710–712. [Google Scholar] [CrossRef]
- Michaux, F.; Baccile, N.; Impéror-Clerc, M.; Malfatti, L.; Folliet, N.; Gervais, C.; Manet, S.; Meneau, F.; Pedersen, J.S.; Babonneau, F. In Situ Time-Resolved SAXS Study of the Formation of Mesostructured Organically Modified Silica through Modeling of Micelles Evolution during Surfactant-Templated Self-Assembly. Langmuir 2012, 28, 17477–17493. [Google Scholar] [CrossRef]
- Manzano, H.; Gartzia-Rivero, L.; Bañuelos, J.; López-Arbeloa, I. Ultraviolet–visible dual absorption by single BODIPY dye confined in LTL zeolite nanochannels. J. Phys. Chem. C. 2013, 117, 13331–13336. [Google Scholar] [CrossRef]
- Cucinotta, F.; Jarman, B.P.; Caplan, C.; Cooper, S.J.; Riggs, H.J.; Martinelli, J.; Djanashvili, K.; La Mazza, E.; Puntoriero, F. Light-Harvesting Antennae using the Host–Guest Chemistry of Mesoporous Organosilica. ChemPhotoChem 2018, 2, 196–206. [Google Scholar] [CrossRef]
- Notarbartolo, M.; Cervello, M.; Poma, P.; Dusonchet, L.; Meli, M.; D’Alessandro, N. Expression of the IAPs in multidrug resistant tumor cells. Oncol. Rep. 2004, 11, 133–136. [Google Scholar] [CrossRef]








| Compound | Absorption | Emission | ||
|---|---|---|---|---|
| λmax, nm (ε, M−1 cm−1) | λmax, nm | τ, ns | Φ | |
| CB-Green | 705 (95,000) | 770 | 2.2 | 0.18 |
| Curc | 418 (52,900) | 520 | 0.66 | 0.1 |
| 4 | 423 (116,100) 705 (94,800) | 770 | 2.2 | 0.2 |
Publisher’s Note: MDPI stays neutral with regard to jurisdictional claims in published maps and institutional affiliations. |
© 2022 by the authors. Licensee MDPI, Basel, Switzerland. This article is an open access article distributed under the terms and conditions of the Creative Commons Attribution (CC BY) license (https://creativecommons.org/licenses/by/4.0/).
Share and Cite
Gangemi, C.M.A.; Salerno, T.M.G.; Barattucci, A.; Cucinotta, F.; Bonaccorsi, P.; Calabrese, G.; Poma, P.; Rizzo, M.G.; Campagna, S.; Puntoriero, F. A Curcumin-BODIPY Dyad and Its Silica Hybrid as NIR Bioimaging Probes. Int. J. Mol. Sci. 2022, 23, 9542. https://doi.org/10.3390/ijms23179542
Gangemi CMA, Salerno TMG, Barattucci A, Cucinotta F, Bonaccorsi P, Calabrese G, Poma P, Rizzo MG, Campagna S, Puntoriero F. A Curcumin-BODIPY Dyad and Its Silica Hybrid as NIR Bioimaging Probes. International Journal of Molecular Sciences. 2022; 23(17):9542. https://doi.org/10.3390/ijms23179542
Chicago/Turabian StyleGangemi, Chiara Maria Antonietta, Tania Maria Grazia Salerno, Anna Barattucci, Fabio Cucinotta, Paola Bonaccorsi, Giovanna Calabrese, Paola Poma, Maria Giovanna Rizzo, Sebastiano Campagna, and Fausto Puntoriero. 2022. "A Curcumin-BODIPY Dyad and Its Silica Hybrid as NIR Bioimaging Probes" International Journal of Molecular Sciences 23, no. 17: 9542. https://doi.org/10.3390/ijms23179542
APA StyleGangemi, C. M. A., Salerno, T. M. G., Barattucci, A., Cucinotta, F., Bonaccorsi, P., Calabrese, G., Poma, P., Rizzo, M. G., Campagna, S., & Puntoriero, F. (2022). A Curcumin-BODIPY Dyad and Its Silica Hybrid as NIR Bioimaging Probes. International Journal of Molecular Sciences, 23(17), 9542. https://doi.org/10.3390/ijms23179542

