Exploring the Antitumor Potential of Copper Complexes Based on Ester Derivatives of Bis(pyrazol-1-yl)acetate Ligands
Abstract
:1. Introduction
2. Results and Discussion
2.1. Synthesis and Characterization
2.2. Molecular and Electronic Structure in Solid State: XPS
2.3. Near Edge X-ray Absorption Fine Structure Studies: Functional Groups
2.4. Coordination Geometry at the Copper Ion Site: XAS

2.5. Stability Studies
2.6. Cytotoxicity Studies
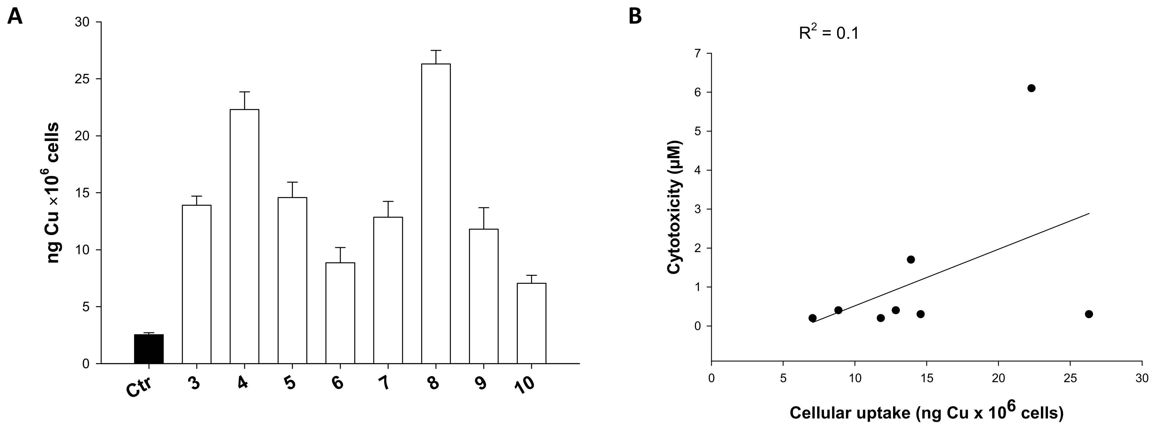
2.7. Cellular Uptake
2.8. Mechanistic Studies
3. Materials and Methods
3.1. Chemistry
3.1.1. Materials and General Methods
3.1.2. Synthesis of [(PTA)Cu(LOMe)]PF6 (3)
3.1.3. Synthesis of [(PPh3)Cu(LOMe)]PF6 (4)
3.1.4. Synthesis of [(LOMe)CuCl2] (5)
3.1.5. Synthesis of [(LOMe)CuBr2] (6)
3.1.6. Synthesis of [(PTA)Cu(L2OMe)]PF6 (7)
3.1.7. Synthesis of [(PPh3)Cu(L2OMe)]PF6 (8)
3.1.8. Synthesis of [(L2OMe)CuCl2] (9)
3.1.9. Synthesis of [(L2OMe)CuBr2] (10)
3.1.10. Stability Studies in DMSO/RPMI
3.2. Spectroscopic Methods
3.2.1. Synchrotron Radiation (SR)-Induced X-ray Photoelectron Spectroscopy (SR-XPS)
3.2.2. Near Edge X-ray Absorption Fine Structure (NEXAFS)
3.2.3. The Cu K Edge X-ray Absorption Spectroscopy (XAS)
3.2.4. Density Functional Theory (DFT) Calculations
3.3. Experiments with Cultured Human Cancer Cells
3.3.1. Cell Cultures
3.3.2. MTT Assay
3.3.3. Spheroid Cultures
3.3.4. Acid Phosphatase (APH) Assay
3.3.5. Cellular Uptake
3.3.6. PDI Inhibition
3.3.7. Quantification of Thiols
3.3.8. TEM Analysis
3.3.9. Cell Death Induction
3.3.10. Statistical Analysis
4. Conclusions
Supplementary Materials
Author Contributions
Funding
Institutional Review Board Statement
Conflicts of Interest
References
- Tisato, F.; Marzano, C.; Porchia, M.; Pellei, M.; Santini, C. Copper in Diseases and Treatments, and Copper-Based Anticancer Strategies. Med. Res. Rev. 2010, 30, 708–749. [Google Scholar] [CrossRef]
- Medici, S.; Peana, M.; Nurchi, V.M.; Lachowicz, J.I.; Crisponi, G.; Zoroddu, M.A. Noble metals in medicine: Latest advances. Coord. Chem. Rev. 2015, 284, 329–350. [Google Scholar] [CrossRef]
- Wang, N.; Ferhan, A.R.; Yoon, B.K.; Jackman, J.A.; Cho, N.J.; Majima, T. Chemical design principles of next-generation antiviral surface coatings. Chem. Soc. Rev. 2021, 50, 9741–9765. [Google Scholar] [CrossRef] [PubMed]
- Denoyer, D.; Masaldan, S.; La Fontaine, S.; Cater, M.A. Targeting copper in cancer therapy: ‘Copper That Cancer’. Metallomics 2015, 7, 1459–1476. [Google Scholar] [CrossRef] [PubMed]
- Gandin, V.; Trenti, A.; Porchia, M.; Tisato, F.; Giorgetti, M.; Zanusso, I.; Trevisi, L.; Marzano, C. Homoleptic phosphino copper(i) complexes with in vitro and in vivo dual cytotoxic and anti-angiogenic activity. Metallomics 2015, 7, 1497–1507. [Google Scholar] [CrossRef]
- Silva-Platas, C.; Guerrero-Beltrán, C.E.; Carrancá, M.; Castillo, E.C.; Bernal-Ramírez, J.; Oropeza-Almazán, Y.; González, L.N.; Rojo, R.; Martínez, L.E.; Valiente-Banuet, J.; et al. Antineoplastic copper coordinated complexes (Casiopeinas) uncouple oxidative phosphorylation and induce mitochondrial permeability transition in cardiac mitochondria and cardiomyocytes. J. Bioenerg. Biomembr. 2016, 48, 43–54. [Google Scholar] [CrossRef]
- Gandin, V.; Ceresa, C.; Esposito, G.; Indraccolo, S.; Porchia, M.; Tisato, F.; Santini, C.; Pellei, M.; Marzano, C. Therapeutic potential of the phosphino Cu(I) complex (HydroCuP) in the treatment of solid tumors. Sci. Rep. 2017, 7, 13936. [Google Scholar] [CrossRef]
- Weekley, C.M.; He, C. Developing drugs targeting transition metal homeostasis. Curr. Opin. Chem. Biol. 2017, 37, 26–32. [Google Scholar] [CrossRef]
- Wehbe, M.; Leung, A.W.Y.; Abrams, M.J.; Orvig, C.; Bally, M.B. A Perspective—Can copper complexes be developed as a novel class of therapeutics? Dalton Trans. 2017, 46, 10758–10773. [Google Scholar] [CrossRef]
- Ren, F.; Logeman, B.L.; Zhang, X.; Liu, Y.; Thiele, D.J.; Yuan, P. X-ray structures of the high-affinity copper transporter Ctr1. Nat. Commun. 2019, 10, 1386. [Google Scholar] [CrossRef] [Green Version]
- Santini, C.; Pellei, M.; Gandin, V.; Porchia, M.; Tisato, F.; Marzano, C. Advances in Copper Complexes as Anticancer Agents. Chem. Rev. 2014, 114, 815–862. [Google Scholar] [CrossRef] [PubMed]
- Erxleben, A. Interactions of copper complexes with nucleic acids. Coord. Chem. Rev. 2018, 360, 92–121. [Google Scholar] [CrossRef]
- Kellett, A.; Molphy, Z.; McKee, V.; Slator, C. Chapter 4. Recent Advances in Anticancer Copper Compounds. In Metal-Based Anticancer Agents; Casini, A., Vessières, A., Meier-Menches, S.M., Eds.; The Royal Society of Chemistry: London, UK, 2019; pp. 91–119. [Google Scholar]
- Krasnovskaya, O.; Naumov, A.; Guk, D.; Gorelkin, P.; Erofeev, A.; Beloglazkina, E.; Majouga, A. Copper Coordination Compounds as Biologically Active Agents. Int. J. Mol. Sci. 2020, 21, 3965. [Google Scholar] [CrossRef] [PubMed]
- Singh, N.K.; Kumbhar, A.A.; Pokharel, Y.R.; Yadav, P.N. Anticancer potency of copper(II) complexes of thiosemicarbazones. J. Inorg. Biochem. 2020, 210, 111134. [Google Scholar] [CrossRef]
- Lelievre, P.; Sancey, L.; Coll, J.L.; Deniaud, A.; Busser, B. The Multifaceted Roles of Copper in Cancer: A Trace Metal Element with Dysregulated Metabolism, but Also a Target or a Bullet for Therapy. Cancers 2020, 12, 3594. [Google Scholar] [CrossRef]
- Allardyce, C.S.; Dyson, P.J. Metal-based drugs that break the rules. Dalton Trans. 2016, 45, 3201–3209. [Google Scholar] [CrossRef] [Green Version]
- Spreckelmeyer, S.; Orvig, C.; Casini, A. Cellular Transport Mechanisms of Cytotoxic Metallodrugs: An Overview beyond Cisplatin. Molecules 2014, 19, 15584–15610. [Google Scholar] [CrossRef] [Green Version]
- Zaki, M.; Arjmand, F.; Tabassum, S. Current and future potential of metallo drugs: Revisiting DNA-binding of metal containing molecules and their diverse mechanism of action. Inorg. Chim. Acta 2016, 444, 1–22. [Google Scholar] [CrossRef]
- Molinaro, C.; Martoriati, A.; Pelinski, L.; Cailliau, K. Copper Complexes as Anticancer Agents Targeting Topoisomerases I and II. Cancers 2020, 12, 2863. [Google Scholar] [CrossRef]
- Pellei, M.; Papini, G.; Trasatti, A.; Giorgetti, M.; Tonelli, D.; Minicucci, M.; Marzano, C.; Gandin, V.; Aquilanti, G.; Dolmella, A.; et al. Nitroimidazole and glucosamine conjugated heteroscorpionate ligands and related copper(II) complexes. Syntheses, biological activity and XAS studies. Dalton Trans. 2011, 40, 9877–9888. [Google Scholar] [CrossRef]
- Giorgetti, M.; Tonelli, S.; Zanelli, A.; Aquilanti, G.; Pellei, M.; Santini, C. Synchrotron radiation X-ray absorption spectroscopic studies in solution and electrochemistry of a nitroimidazole conjugated heteroscorpionate copper(II) complex. Polyhedron 2012, 48, 174–180. [Google Scholar] [CrossRef]
- Morelli, M.B.; Amantini, C.; Santoni, G.; Pellei, M.; Santini, C.; Cimarelli, C.; Marcantoni, E.; Petrini, M.; Del Bello, F.; Giorgioni, G.; et al. Novel antitumor copper(ii) complexes designed to act through synergistic mechanisms of action, due to the presence of an NMDA receptor ligand and copper in the same chemical entity. N. J. Chem. 2018, 42, 11878–11887. [Google Scholar] [CrossRef]
- Pellei, M.; Bagnarelli, L.; Luciani, L.; Del Bello, F.; Giorgioni, G.; Piergentili, A.; Quaglia, W.; De Franco, M.; Gandin, V.; Marzano, C.; et al. Synthesis and Cytotoxic Activity Evaluation of New Cu(I) Complexes of Bis(pyrazol-1-yl) Acetate Ligands Functionalized with an NMDA Receptor Antagonist. Int. J. Mol. Sci. 2020, 21, 2616. [Google Scholar] [CrossRef] [Green Version]
- Del Bello, F.; Pellei, M.; Bagnarelli, L.; Santini, C.; Giorgioni, G.; Piergentili, A.; Quaglia, W.; Battocchio, C.; Iucci, G.; Schiesaro, I.; et al. Cu(I) and Cu(II) Complexes Based on Lonidamine-Conjugated Ligands Designed to Promote Synergistic Antitumor Effects. Inorg. Chem. 2022, 61, 4919–4937. [Google Scholar] [CrossRef] [PubMed]
- Schiesaro, I.; Venditti, I.; Pellei, M.; Santini, C.; Bagnarelli, L.; Iucci, G.; Battocchio, C.; Meneghini, C. Metal Coordination Core in Copper(II) Complexes Investigated by XAFS. In Synchrotron Radiation Science and Applications; Springer Proceedings in Physics; Springer: Cham, Switzerland, 2021; pp. 169–179. [Google Scholar]
- Gabrielli, S.; Pellei, M.; Venditti, I.; Fratoddi, I.; Battocchio, C.; Iucci, G.; Schiesaro, I.; Meneghini, C.; Palmieri, A.; Marcantoni, E.; et al. Development of new and efficient copper(II) complexes of hexyl bis(pyrazolyl)acetate ligands as catalysts for allylic oxidation. Dalton Trans. 2020, 49, 15622–15632. [Google Scholar] [CrossRef]
- Clark, D.T.; Lilley, D.M.J. Molecular core binding energies for some five membered ring heterocycles as determined by X-ray photoelectron spectroscopy. Chem. Phys. Lett. 1971, 9, 234–237. [Google Scholar] [CrossRef]
- Polzonetti, G.; Battocchio, C.; Goldoni, A.; Larciprete, R.; Carravetta, V.; Paolesse, R.; Russo, M.V. Interface formation between C60 and diethynyl-Zn-porphyrinato investigated by SR-induced photoelectron and near-edge X-ray absorption (NEXAFS) spectroscopies. Chem. Phys. 2004, 297, 307–314. [Google Scholar] [CrossRef]
- Battocchio, C.; Fratoddi, I.; Iucci, G.; Russo, M.V.; Goldoni, A.; Parent, P.; Polzonetti, G. Dinuclear Pt and Pd complexes with metalloporphyrin bridges: A NEXAFS study of the electronic structure and self-assembling properties. Mater. Sci. Eng. C 2007, 27, 1338–1342. [Google Scholar] [CrossRef]
- Mielczarski, J.; Minni, E. The adsorption of diethyldithiophosphate on cuprous sulphide. Surf. Interface Anal. 1984, 6, 221–226. [Google Scholar] [CrossRef]
- Folkesson, B.; Sundberg, P.; Johansson, L.; Larsson, R. An ESCA investigation of some copper complexes. J. Electron. Spectrosc. Relat. Phenom. 1983, 32, 245–256. [Google Scholar] [CrossRef]
- Brand, P.; Freiser, H. Photoelectron spectrometric confirmation of the oxidation state of copper in so-called secondary copper(II) dithizonate. Anal. Chem. 1974, 46, 1147. [Google Scholar] [CrossRef]
- McNeillie, A.; Brown, D.H.; Smith, W.E.; Gibson, M.; Watson, L. X-ray photoelectron spectra of some gold compounds. J. Chem. Soc. Dalton Trans. 1980, 5, 767–770. [Google Scholar] [CrossRef]
- National Institute of Standards and Technology. NIST X-ray Photoelectron Spectroscopy Database, Version 4.1. Available online: http://srdata.nist.gov/xps/ (accessed on 1 March 2022).
- Rehr, J.J.; Albers, R.C. Theoretical approaches to X-ray absorption fine structure. Rev. Mod. Phys. 2000, 72, 621–654. [Google Scholar] [CrossRef]
- Sayers, D.E.; Stern, E.A.; Lytle, F.W. New technique for investigating noncrystalline structures: Fourier analysis of the extended X-ray—Absorption fine structure. Phys. Rev. Lett. 1971, 27, 1204–1207. [Google Scholar] [CrossRef]
- Ankudinov, A.L.; Ravel, B.; Rehr, J.J.; Conradson, S.D. Real-space multiple-scattering calculation and interpretation of X-ray-absorption near-edge structure. Phys. Rev. B 1998, 58, 7565. [Google Scholar] [CrossRef] [Green Version]
- Andrews, P.A.; Albright, K.D. Mitochondrial Defects in cis-Diamminedichloroplatinum(II)-resistant Human Ovarian Carcinoma Cells. Cancer Res. 1992, 52, 1895–1901. [Google Scholar]
- Zanoni, M.; Cortesi, M.; Zamagni, A.; Arienti, C.; Pignatta, S.; Tesei, A. Modeling neoplastic disease with spheroids and organoids. J. Hematol. Oncol. 2020, 13, 97. [Google Scholar] [CrossRef]
- Tisato, F.; Porchia, M.; Santini, C.; Gandin, V.; Marzano, C. Phosphine–copper(I) complexes as anticancer agents: Design, synthesis, and physicochemical characterization. Part I. In Copper(I) Chemistry of Phosphines, Functionalized Phosphines and Phosphorus Heterocycles; Balakrishna, M.S., Ed.; Elsevier: Amsterdam, The Netherlands, 2019; Chapter 3; pp. 61–82. [Google Scholar]
- Marzano, C.; Tisato, F.; Porchia, M.; Pellei, M.; Gandin, V. Phosphine copper(I) complexes as anticancer agents: Biological characterization. Part II. In Copper(I) Chemistry of Phosphines, Functionalized Phosphines and Phosphorus Heterocycles; Balakrishna, M.S., Ed.; Elsevier: Amsterdam, The Netherlands, 2019; Chapter 4; pp. 83–107. [Google Scholar]
- Rogolino, D.; Cavazzoni, A.; Gatti, A.; Tegoni, M.; Pelosi, G.; Verdolino, V.; Fumarola, C.; Cretella, D.; Petronini, P.G.; Carcelli, M. Anti-proliferative effects of copper(II) complexes with hydroxyquinoline-thiosemicarbazone ligands. Eur. J. Med. Chem. 2017, 128, 140–153. [Google Scholar] [CrossRef]
- Hager, S.; Pape, V.F.S.; Pósa, V.; Montsch, B.; Uhlik, L.; Szakács, G.; Tóth, S.; Jabronka, N.; Keppler, B.K.; Kowol, C.R.; et al. High Copper Complex Stability and Slow Reduction Kinetics as Key Parameters for Improved Activity, Paraptosis Induction, and Impact on Drug-Resistant Cells of Anticancer Thiosemicarbazones. Antioxid. Redox Signal. 2020, 33, 395–414. [Google Scholar] [CrossRef]
- Hager, S.; Korbula, K.; Bielec, B.; Grusch, M.; Pirker, C.; Schosserer, M.; Liendl, L.; Lang, M.; Grillari, J.; Nowikovsky, K.; et al. The thiosemicarbazone Me2NNMe2 induces paraptosis by disrupting the ER thiol redox homeostasis based on protein disulfide isomerase inhibition. Cell Death Dis. 2018, 9, 1052. [Google Scholar] [CrossRef]
- Fu, J.; Gao, J.; Liang, Z.; Yang, D. PDI-Regulated Disulfide Bond Formation in Protein Folding and Biomolecular Assembly. Molecules 2021, 26, 171. [Google Scholar] [CrossRef] [PubMed]
- Corazzari, M.; Gagliardi, M.; Fimia, G.M.; Piacentini, M. Endoplasmic Reticulum Stress, Unfolded Protein Response, and Cancer Cell Fate. Front. Oncol. 2017, 7, 78. [Google Scholar] [CrossRef] [PubMed] [Green Version]
- Burzlaff, N.; Hegelmann, I.; Weibert, B. Bis(pyrazol-1-yl)acetates as tripodal “scorpionate” ligands in transition metal carbonyl chemistry: Syntheses, structures and reactivity of manganese and rhenium carbonyl complexes of the type [LM(CO)3] (L = bpza, bdmpza). J. Organomet. Chem. 2001, 626, 16–23. [Google Scholar] [CrossRef]
- Beck, A.; Weibert, B.; Burzlaff, N. Monoanionic N,N,O-scorpionate ligands and their iron(II) and zinc(II) complexes: Models for mononuclear active sites of non-heme iron oxidases and zinc enzymes. Eur. J. Inorg. Chem. 2001, 2, 521–527. [Google Scholar] [CrossRef]
- Porchia, M.; Papini, G.; Santini, C.; Gioia Lobbia, G.; Pellei, M.; Tisato, F.; Bandoll, G.; Dolmella, A. Novel rhenium(V) oxo complexes containing bis(pyrazol-1-yl)acetate and bis(pyrazol-1-yl) sulfonate as tripodal N,N,O-heteroscorplonate ligands. Inorg. Chem. 2005, 44, 4045–4054. [Google Scholar] [CrossRef]
- Hübner, E.; Haas, T.; Burzlaff, N. Synthesis and transition metal complexes of novel N,N,O scorpionate ligands suitable for solid phase immobilisation. Eur. J. Inorg. Chem. 2006, 24, 4989–4997. [Google Scholar] [CrossRef]
- Moulder, J.F.; Stickle, W.F.; Sobol, P.E.; Bomben, K.D. Handbook of X-ray Photoelectron Spectroscopy; Perkin-Elmer Corporation, Physical Electronics Division: Eden Prairie, MN, USA, 1996. [Google Scholar]
- Stöhr, J. NEXAFS Spectroscopy, 1st ed.; Springer: Berlin/Heidelberg, Germany, 1992; Volume 25. [Google Scholar]
- Di Cicco, A.; Aquilanti, G.; Minicucci, M.; Principi, E.; Novello, N.; Cognigni, A.; Olivi, L. Novel XAFS capabilities at ELETTRA synchrotron light source. J. Phys.: Conf. Ser. 2009, 190, 012043. [Google Scholar] [CrossRef]
- Meneghini, C.; Bardelli, F.; Mobilio, S. ESTRA-FitEXA: A software package for EXAFS data analysis. Nucl. Instrum. Methods Phys. Res. Sect. B Beam Interact. Mater. At. 2012, 285, 153–157. [Google Scholar] [CrossRef]
- Rigobello, M.P.; Gandin, V.; Folda, A.; Rundlöf, A.-K.; Fernandes, A.P.; Bindoli, A.; Marzano, C.; Björnstedt, M. Treatment of human cancer cells with selenite or tellurite in combination with auranofin enhances cell death due to redox shift. Free Radic. Biol. Med. 2009, 47, 710–721. [Google Scholar] [CrossRef]










| Sample | 2 | 5 | 8 | Assignment | 
|---|---|---|---|---|
| C K edge | 284.0 | π*C=C benzene | ||
| 284.5 | 284.5 | 284.5 | π*C=C pyrazole | |
| 286.1 | 286.1 | 286.2 | π*C=N | |
| 288.3 | 288.3 | 288.3 | π*C=O | |
| 295 | 295 | 297 | σ*C-C | |
| 304 | 304 | 303 | σ*C=N, σ*C=C | |
| N K edge | 397.9 | 397.9 | π*1 | |
| 399.5 | 399.5 | π*2 | ||
| 404 | 403 | σ*C=N | ||
| 411.0 | 411.0 | σ*C-N | 
| Cu-N1 | Cu-Cl | Cu-C2 + Cu-N2 | Cu-C4 | Cu-N2-C4 + Cu-C2-C4 | Cu-C2-C4-N1 + Cu-N2-C4-N1 | Cu-Cu | ||||||||||||||||
|---|---|---|---|---|---|---|---|---|---|---|---|---|---|---|---|---|---|---|---|---|---|---|
| Sample | R2w ×102 | N | R(Å) | σ2(Å2) ×10−3 | N | R(Å) | σ2(Å2) ×10−3 | N | R(Å) | σ2(Å2) ×10−3 | N | R(Å) | σ2(Å2) ×10−3 | N | R(Å) | σ2(Å2) ×10−3 | N | R(Å) | σ2(Å2) ×10−3 | N | R(Å) | σ2(Å2) ×10−3 | 
| DFT | 2 | 2.11 | 2 | 2.23 | 4 | 3.09 | 4 | 4.33 | 12 | 4.35 | 8 | 4.42 | 1 | 3.48 | ||||||||
| C5Mon | 1.27 | 2 | 1.991(5) | 5.8 | 2 | 2.26(1) | 5.6 | 4 | 3.00(2) | 7.8 | 4 | 4.26(2) | 2.7 | 12 | 4.33(2) | 6.3 | 8 | 4.68(3) | 10.0 | |||
| C9Mon | 1.35 | 2 | 2.005(5) | 7.1 | 2 | 2.24(1) | 5.2 | 4 | 3.03(2) | 7.5 | 4 | 4.31(2) | 2.7 | 12 | 4.37(3) | 7.3 | 8 | 4.68(3) | 9.9 | |||
| C5Dim | 1.12 | 2 | 1.989(5) | 5.8 | 2 | 2.26(1) | 5.5 | 4 | 3.00(2) | 7.9 | 4 | 4.27(2) | 3.4 | 12 | 4.33(2) | 7.6 | 8 | 4.69(3) | 7.9 | 0.5(1) | 3.53(2) | 8.6 | 
| C9Dim | 1.58 | 2 | 2.072(5) | 13.0 | 2 | 2.22(1) | 8.8 | 4 | 3.01(2) | 7.5 | 4 | 4.29(2) | 2.8 | 12 | 4.35(2) | 6.6 | 8 | 4.67(3) | 15.0 | 0.2(1) | 3.57(3) | 5.5 | 
| IC50 (µM) ± S.D. | |||||||
|---|---|---|---|---|---|---|---|
| PSN-1 | HCT-15 | U1285 | A431 | 2008 | C13* | RF | |
| 1 | >50 | >50 | >50 | >50 | >50 | >50 | - | 
| 2 | >50 | >50 | >50 | >50 | >50 | >50 | - | 
| 3 | 31.7 ± 4.3 | 1.7 ± 0.4 | 11.0 ± 0.3 | 24.6 ± 2.2 | 30.9 ± 3.3 | 5.1 ± 0.3 | 0.2 | 
| 4 | 1.6 ± 0.3 | 6.1 ± 1.6 | 6.4 ± 1.6 | 8.4 ± 1.2 | 3.3 ± 1.4 | 3.1 ± 0.2 | 0.9 | 
| 5 | 1.4 ± 0.2 | 0.30 ± 0.02 | 0.70 ± 0.04 | 1.3 ± 0.4 | 3.5 ± 1.3 | 1.2 ± 0.5 | 0.3 | 
| 6 | 0.7 ± 0.1 | 0.4 ± 0.1 | 0.60 ± 0.01 | 0.5 ± 0.1 | 3.2 ± 0.3 | 0.5 ± 0.2 | 0.2 | 
| 7 | 10.6 ± 0.9 | 0.4 ± 0.1 | 7.3 ± 1.4 | 10.5 ± 0.4 | 4.5 ± 1.2 | 3.3 ± 0.6 | 0.7 | 
| 8 | 11.5 ± 2.1 | 0.3 ± 0.1 | 4.7 ± 1.4 | 10.7 ± 2.1 | 7.3 ± 1.6 | 3.7 ± 0.4 | 0.5 | 
| 9 | 0.20 ± 0.01 | 0.20 ± 0.04 | 0.6 ± 0.1 | 0.20 ± 0.02 | 0.4 ± 0.1 | 0.8 ± 0.01 | 2.0 | 
| 10 | 0.5 ± 0.2 | 0.2 ± 0.1 | 0.5 ± 0.03 | 0.4 ± 0.1 | 1.8 ± 0.2 | 2.6 ± 0.2 | 1.4 | 
| cisplatin | 12.1 ± 2.9 | 15.3 ± 2.6 | 3.3 ± 1.2 | 1.7 ± 0.3 | 2.2 ± 1.0 | 16.3 ± 3.4 | 7.4 | 
| IC50 (µM) ± S.D. | |
|---|---|
| HCT-15 | |
| 3 | 28.2 ± 3.0 | 
| 4 | 10.6 ± 0.4 | 
| 5 | 25.0 ± 1.1 | 
| 6 | 27.7 ± 3.3 | 
| 7 | 42.1 ± 1.6 | 
| 8 | 5.9 ± 1.3 | 
| 9 | 40.7 ± 4.0 | 
| 10 | 13.2 ± 2.8 | 
| cisplatin | 52.6 ± 4.9 | 
| Publisher’s Note: MDPI stays neutral with regard to jurisdictional claims in published maps and institutional affiliations. | 
© 2022 by the authors. Licensee MDPI, Basel, Switzerland. This article is an open access article distributed under the terms and conditions of the Creative Commons Attribution (CC BY) license (https://creativecommons.org/licenses/by/4.0/).
Share and Cite
Pellei, M.; Santini, C.; Bagnarelli, L.; Battocchio, C.; Iucci, G.; Venditti, I.; Meneghini, C.; Amatori, S.; Sgarbossa, P.; Marzano, C.; et al. Exploring the Antitumor Potential of Copper Complexes Based on Ester Derivatives of Bis(pyrazol-1-yl)acetate Ligands. Int. J. Mol. Sci. 2022, 23, 9397. https://doi.org/10.3390/ijms23169397
Pellei M, Santini C, Bagnarelli L, Battocchio C, Iucci G, Venditti I, Meneghini C, Amatori S, Sgarbossa P, Marzano C, et al. Exploring the Antitumor Potential of Copper Complexes Based on Ester Derivatives of Bis(pyrazol-1-yl)acetate Ligands. International Journal of Molecular Sciences. 2022; 23(16):9397. https://doi.org/10.3390/ijms23169397
Chicago/Turabian StylePellei, Maura, Carlo Santini, Luca Bagnarelli, Chiara Battocchio, Giovanna Iucci, Iole Venditti, Carlo Meneghini, Simone Amatori, Paolo Sgarbossa, Cristina Marzano, and et al. 2022. "Exploring the Antitumor Potential of Copper Complexes Based on Ester Derivatives of Bis(pyrazol-1-yl)acetate Ligands" International Journal of Molecular Sciences 23, no. 16: 9397. https://doi.org/10.3390/ijms23169397
APA StylePellei, M., Santini, C., Bagnarelli, L., Battocchio, C., Iucci, G., Venditti, I., Meneghini, C., Amatori, S., Sgarbossa, P., Marzano, C., De Franco, M., & Gandin, V. (2022). Exploring the Antitumor Potential of Copper Complexes Based on Ester Derivatives of Bis(pyrazol-1-yl)acetate Ligands. International Journal of Molecular Sciences, 23(16), 9397. https://doi.org/10.3390/ijms23169397
 
         
                                                









 
       