Mutations in Rht-B1 Locus May Negatively Affect Frost Tolerance in Bread Wheat
Abstract
:1. Introduction
2. Results
2.1. Rht-B1b and Rht-B1c Alleles Reduced the Freezing Tolerance of Wheat
2.2. Polyamines, Ascorbate Peroxidase and Flavonols in ‘April Bearded’ near Isogenic Lines (NILs)
2.3. Expression of Certain Stress-Related Genes
2.4. Untargeted Metabolomics Analyses Using GCxGC-TOFMS
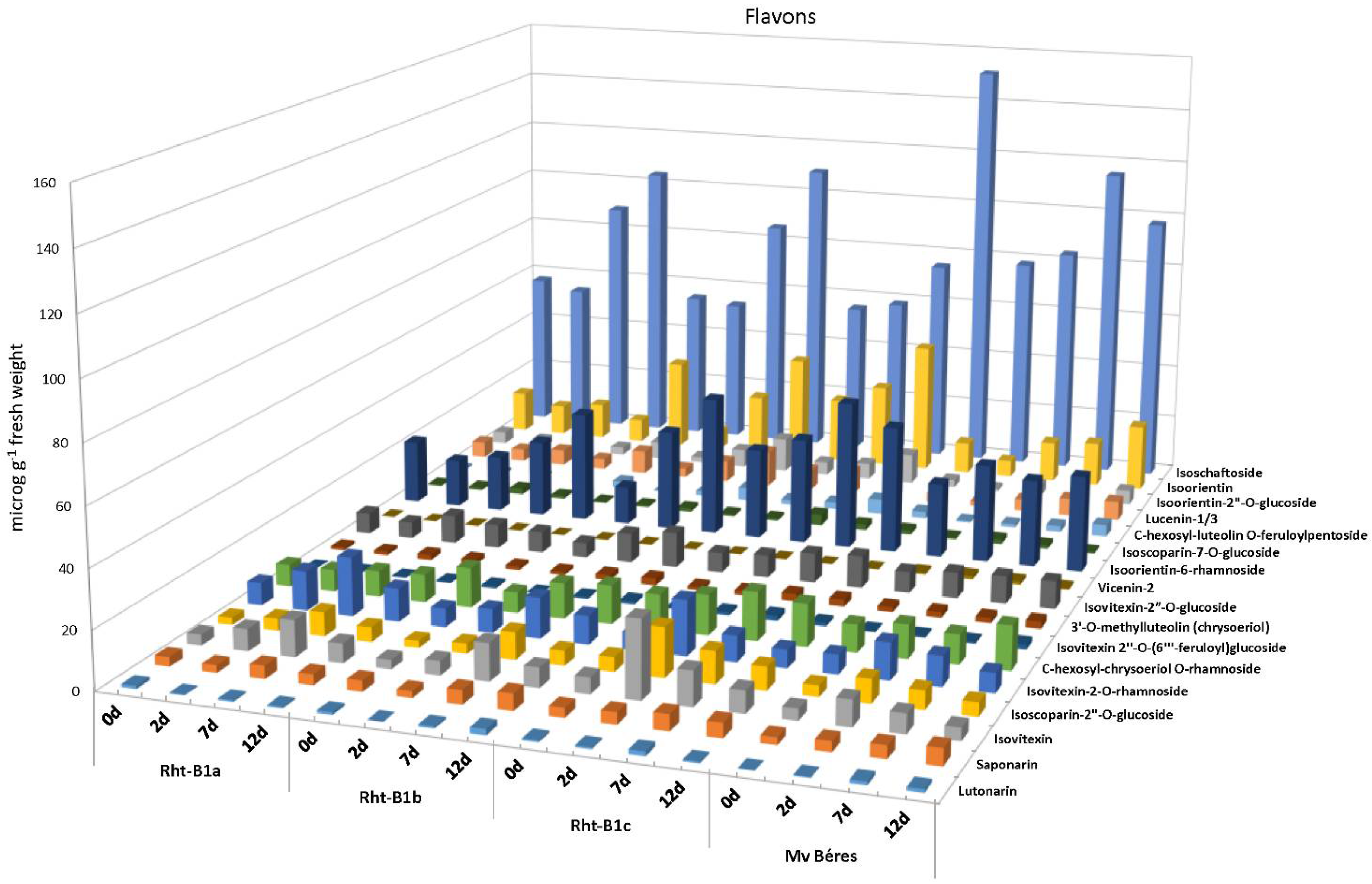
2.5. Untargeted Metabolomics Analyses Using LC-TOF/MS
3. Discussion
4. Materials and Methods
4.1. Plant Materials, Growth Conditions and Freezing Test
4.2. Determination of Free Polyamine and 1,3-Diaminopropane (DAP)
4.3. Determination of Ascorbate Peroxidase Activity
4.4. Quantification of Selected Flavonols
4.5. Gene Expression Analysis
4.6. Metabolomics Analyses
4.6.1. Sample Preparation
4.6.2. Untargeted Gas Chromatography-Mass Spectrometry (GC-MS) Analysis
4.6.3. Untargeted Liquid Chromatography-Mass Spectrometry (LC-MS) Analysis
4.6.4. Multivariate Statistical Analysis of LC-MS Data
4.7. Statistical Analysis
5. Conclusions
Supplementary Materials
Author Contributions
Funding
Institutional Review Board Statement
Informed Consent Statement
Data Availability Statement
Acknowledgments
Conflicts of Interest
References
- Evans, L.T. Crop evolution, adaptation and yield. Photosynthetica 1998, 34, 56–60. [Google Scholar] [CrossRef]
- Tian, X.; Wen, W.; Xie, L.; Fu, L.; Xu, D.; Fu, C.; Wang, D.; Chen, X.; Xia, X.; Chen, Q. Molecular mapping of reduced plant height gene Rht24 in bread wheat. Front. Plant Sci. 2017, 8, 1379. [Google Scholar] [CrossRef] [PubMed] [Green Version]
- Kocheva, K.V.; Landjeva, S.P.; Georgiev, G.I. Variation in ion leakage parameters of two wheat genotypes with different Rht-B1 alleles in response to drought. J. Biosci. 2014, 39, 753–759. [Google Scholar] [CrossRef]
- Kocheva, K.; Nenova, V.; Karceva, T.; Petrov, P.; Georgiev, G.I.; Börner, A.; Landjeva, S. Changes in water status, membrane stability and antioxidant capacity of wheat seedlings carrying different Rht-B1 dwarfing alleles under drought stress. J. Agron. Crop Sci. 2014, 200, 83–91. [Google Scholar] [CrossRef]
- Chen, S.; Gao, R.; Wang, H.; Wen, M.; Xiao, J.; Bian, N.; Zhang, R.; Hu, W.; Cheng, S.; Bie, T.; et al. Characterization of a novel reduced height gene (Rht23) regulating panicle morphology and plant architecture in bread wheat. Euphytica 2015, 203, 583–594. [Google Scholar] [CrossRef]
- Pearce, S.; Saville, R.; Vaughan, S.P.; Chandler, P.M.; Wilhelm, E.P.; Sparks, C.A.; Al-Kaff, N.; Korolev, A.; Boulton, M.I.; Phillips, A.L.; et al. Molecular characterization of Rht-1 dwarfing genes in hexaploid wheat. Plant Physiol. 2011, 157, 1820–1831. [Google Scholar] [CrossRef] [PubMed] [Green Version]
- Wilhelm, E.P.; Howells, R.M.; Al-Kaff, N.; Jia, J.; Baker, C.; Leverington-Waite, M.A.; Griffiths, S.; Greenland, A.J.; Boulton, M.I.; Powell, W. Genetic characterization and mapping of the Rht-1 homoeologs and flanking sequences in wheat. Theor. Appl. Genet. 2013, 126, 1321–1336. [Google Scholar] [CrossRef]
- Nenova, V.R.; Kocheva, K.V.; Petrov, P.I.; Georgiev, G.I.; Karceva, T.V.; Börner, A.; Landjeva, S.P. Wheat Rht-B1 dwarfs exhibit better photosynthetic response to water deficit at seedling stage compared to the wild type. J. Agric. Crop Sci. 2014, 200, 434–443. [Google Scholar] [CrossRef]
- Dobrikova, A.G.; Yotsova, E.K.; Borner, A.; Landjeva, S.P.; Apostolova, E.L. The wheat mutant DELLA-encoding gene (Rht-B1c) affects plant photosynthetic responses to cadmium stress. Plant Physiol. Biochem. 2017, 114, 10–18. [Google Scholar] [CrossRef]
- Szalai, G.; Tajti, J.; Hamow, K.Á.; Denyicska, I.; Khalil, R.; Vanková, R.; Dobrev, P.; Misheva, S.P.; Janda, T.; Pál, M. Molecular background of cadmium tolerance in Rht dwarf wheat mutant is related to a metabolic shift from proline and polyamine to phytochelatin synthesis. Environ. Sci. Pol. Res. 2020, 27, 23664–23676. [Google Scholar] [CrossRef] [Green Version]
- Zentella, R.; Zhang, Z.L.; Park, M.; Thomas, S.G.; Endo, A.; Murase, K.; Fleet, C.M.; Jikumaru, Y.; Nambara, E.; Kamiya, Y.; et al. Global analysis of DELLA direct targets in early gibberellin signaling in Arabidopsis. Plant Cell 2007, 19, 3037–3057. [Google Scholar] [CrossRef] [PubMed]
- Van De Velde, K.; Thomas, S.G.; Heyse, F.; Kaspar, R.; Van Der Straeten, D.; Rohde, A. N-terminal truncated RHT-1 proteins generated by translational reinitiation cause semi-dwarfing of wheat Green Revolution alleles. Mol. Plant 2021, 14, 679–687. [Google Scholar] [CrossRef] [PubMed]
- Van De Velde, K.; Chandler, P.M.; Van Der Straeten, D.; Rohde, A. Differential coupling of gibberellin responses by Rht-B1c suppressor alleles and Rht-B1b in wheat highlights a unique role for the DELLA N-terminus in dormancy. J. Exp. Bot. 2017, 68, 443–455. [Google Scholar] [CrossRef] [PubMed] [Green Version]
- Boldizsár, Á.; Carrera, D.Á.; Gulyás, Z.; Vashegyi, I.; Novák, A.; Kalapos, B.; Pál, M.; Galiba, G.; Kocsy, G. Comparison of redox and gene expression changes during the vegetative/generative transition in crowns and leaves of wheat chromosome 5A substitution lines at low temperature. J. Appl. Gen. 2016, 57, 1–13. [Google Scholar] [CrossRef] [Green Version]
- Georgieva, K.; Mihailova, G.; Velitchkova, M.; Popova, A. Recovery of photosynthetic activity of resurrection plant Haberlea rhodopensis from drought- and freezing-induced desiccation. Photosynthetica 2020, 58, 911–921. [Google Scholar] [CrossRef]
- Kalapos, B.; Dobrev, P.; Nagy, T.; Vítámvás, P.; Györgyey, J.; Kocsy, G.; Marincs, F.; Galiba, G. Transcript and hormone analyses reveal the involvement of ABA signalling, hormone cross talk and genotype specific biological processes in cold shock response in wheat. Plant Sci. 2016, 253, 86–97. [Google Scholar] [CrossRef] [Green Version]
- Pál, M.; Szalai, G.; Janda, T. Speculation: Polyamines are important in abiotic stress signaling. Plant Sci. 2015, 237, 16–23. [Google Scholar] [CrossRef] [Green Version]
- Dhillon, T.; Pearce, S.P.; Stockinger, E.J.; Distelfeld, A.; Li, C.; Knox, A.K.; Vashegyi, I.; Vágújfalvi, A.; Galiba, G.; Dubcovsky, J. Regulation of freezing tolerance and flowering in temperate cereals: The VRN-1 connection. Plant Physiol. 2010, 153, 1846–1858. [Google Scholar] [CrossRef] [Green Version]
- Achard, P.; Gong, F.; Cheminant, S.; Alioua, M.; Hedden, P.; Genschik, P. The cold-inducible CBF1 factor-dependent signalling pathway modulates the accumulation of the growth-repressing DELLA proteins via its effect on gibberellin metabolism. Plant Cell 2008, 20, 2117–2129. [Google Scholar] [CrossRef] [Green Version]
- Zhou, M.; Chen, H.; Wei, D.; Ma, H.; Lin, J. Arabidopsis CBF3 and DELLAs positively regulate each other in response to low temperature. Sci. Rep. 2017, 7, 39819. [Google Scholar] [CrossRef] [Green Version]
- Ding, Y.; Shi, Y.; Yang, S. Advances and challenges in uncovering cold tolerance regulatory mechanisms in plants. New Phytol. 2019, 222, 1690–1704. [Google Scholar] [CrossRef] [PubMed] [Green Version]
- Juhász, Z.; Boldizsár, Á.; Nagy, T.; Kocsy, G.; Marincs, F.; Galiba, G.; Bánfalvi, Z. Pleiotropic effect of chromosome 5A and the mvp mutation on the metabolite profile during cold acclimation and the vegetative/generative transition in wheat. BMC Plant Biol. 2015, 15, 57. [Google Scholar] [CrossRef] [Green Version]
- Moheb, A.; Ibrahim, R.K.; Roy, R.; Sarhan, F. Changes in wheat leaf phenolome in response to cold acclimation. Phytochemistry 2011, 72, 2294–2307. [Google Scholar] [CrossRef] [PubMed]
- Piovesana, S.; Cavaliere, C.; Cerrato, A.; Montone, C.M.; Laganà, A.; Capriotti, A.L. Developments and pitfalls in the characterization of phenolic compounds in food: From targeted analysis to metabolomics-based approaches. Trends Anal. Chem. 2020, 133, 116083. [Google Scholar] [CrossRef]
- Righetti, L.; Rubert, J.; Galaverna, G.; Hurkova, K.; Dall’Asta, C.; Hajslova, J.; Stranska-Zachariasova, M. A novel approach based on untargeted lipidomics reveals differences in the lipid pattern among durum and common wheat. Food Chem. 2018, 240, 775–783. [Google Scholar] [CrossRef]
- Ameye, M.; Van Meulebroek, L.; Meuninck, B.; Vanhaecke, L.; Smagghe, G.; Haesaert, G.; Audenaert, K. Metabolomics reveal induction of ros production and glycosylation events in wheat upon exposure to the green leaf volatile z-3-hexenyl acetate. Front. Plant Sci. 2020, 11, 596271. [Google Scholar] [CrossRef]
- Zhang, Y.; Ma, X.M.; Wang, X.C.; Liu, J.H.; Haung, B.Y.; Guo, X.Y.; Xiong, S.P.; La, G.X. UPLC-QTOF analysis reveals metabolomic changes in the flag leaf of wheat (Triticum aestivum L.) under low-nitrogen stress. Plant Physiol. Biochem. 2017, 111, 30–38. [Google Scholar] [CrossRef]
- Miller, A.K.; Galiba, G.; Dubcovsky, J. A cluster of 11 CBF transcription factors is located at the frost tolerance locus Fr-Am2 in Triticum monococcum. Mol. Gen. Genom. 2006, 275, 193–203. [Google Scholar] [CrossRef]
- Du, H.; Liang, Z.; Zhao, S.; Nan, M.G.; Tran, L.S.; Lu, K.; Huang, Y.B.; Li, J.N. The evolutionary history of R2R3-MYB proteins across 50 eukaryotes: New insights into subfamily classification and expansion. Sci. Rep. 2015, 5, 11037. [Google Scholar] [CrossRef] [Green Version]
- Zeng, Y.; Yu, J.; Cang, J.; Liu, L.; Mu, Y.; Wang, J.; Zhang, D. Detection of sugar accumulation and expression levels of correlative key enzymes in winter wheat (Triticum aestivum) at low temperatures. Biosci. Biotechnol. Biochem. 2011, 75, 681–687. [Google Scholar] [CrossRef]
- Liu, J.; Ishitani, M.; Halfter, U.; Kim, C.S.; Zhu, J.K. The Arabidopsis thaliana SOS2 gene encodes a protein kinase that is required for salt tolerance. Proc. Natl. Acad. Sci. USA 2000, 97, 3730–3734. [Google Scholar] [CrossRef] [PubMed]
- Bennett, R.; Olesik, S.V. Enhanced fluidity liquid chromatography of inulin fructans using ternary solvent strength and selectivity gradients. Anal. Chim. Acta 2018, 999, 161–168. [Google Scholar] [CrossRef] [PubMed]
- Alcázar, R.; Cuevas, J.C.; Planas, J.; Zarza, X.; Bortolotti, C.; Carrasco, P.; Salinas, J.; Tiburcio, A.F.; Altabella, T. Integration of polyamines in the cold acclimation response. Plant Sci. 2011, 180, 31–38. [Google Scholar] [CrossRef] [Green Version]
- Lee, Y.P.; Babakov, A.; de Boer, B.; Zuther, E.; Hincha, D.K. Comparison of freezing tolerance, compatible solutes and polyamines in geographically diverse collections of Thellungiella sp. and Arabidopsis thaliana accessions. BMC Plant Biol. 2012, 12, 131. [Google Scholar] [CrossRef] [Green Version]
- Gondor, O.K.; Szalai, G.; Kovács, V.; Janda, T.; Pál, M. Relationship between polyamines and other cold-induced response mechanisms in different cereal species. J. Agron. Crop Sci. 2016, 202, 217–230. [Google Scholar] [CrossRef] [Green Version]
- Cai, M.L.; Zhang, Q.L.; Zheng, X.T.; Zhai, J.J.; Peng, C.L. Comparison of leaves and stems of Paederia scandens (Lour.) Merr. in tolerance to low temperature. Photosynthetica 2020, 58, 846–852. [Google Scholar] [CrossRef]
- Saleem, M.; Fariduddin, Q.; Janda, T. Multifaceted role of salicylic acid in combating cold stress in plants: A review. J. Plant Growth Regul. 2020, 40, 464–485. [Google Scholar] [CrossRef]
- Janda, T.; Szalai, G.; Rios-Gonzalez, K.; Veisz, O.; Páldi, E. Comparative study of frost tolerance and antioxidant activity in cereals. Plant Sci. 2003, 164, 301–306. [Google Scholar] [CrossRef]
- Zhao, J.; Shi, M.; Yu, J.; Guo, C. SPL9 mediates freezing tolerance by directly regulating the expression of CBF2 in Arabidopsis thaliana. BMC Plant Biol. 2022, 22, 59. [Google Scholar] [CrossRef]
- Li, X.Y.; Lin, E.P.; Huang, H.H.; Niu, M.Y.; Tong, Z.K.; Zhang, J.H. Molecular Characterization of SQUAMOSA PROMOTER BINDING PROTEIN-LIKE (SPL) Gene Family in Betula luminifera. Front. Plant Sci. 2018, 9, 608. [Google Scholar] [CrossRef] [Green Version]
- Igamberdiev, A.U.; Eprintsev, A.T. Organic acids: The pools of fixed carbon involved in redox regulation and energy balance in higher plants. Front. Plant Sci. 2016, 7, 1042. [Google Scholar] [CrossRef] [PubMed] [Green Version]
- Schulz, E.; Tohge, T.; Zuther, E.; Fernie, A.R.; Hincha, D.K. Flavonoids are determinants of freezing tolerance and cold acclimation in Arabidopsis thaliana. Sci. Rep. 2016, 6, 34027. [Google Scholar] [CrossRef] [PubMed]
- Hostetler, G.I.; Ralston, R.A.; Schwartz, S.J. Flavones: Food sources, bioavailability, metabolism, and bioactivity. Adv. Nutr. 2017, 8, 423–435. [Google Scholar] [CrossRef] [PubMed] [Green Version]
- Yan, J.; Wang, B.; Jiang, Y.; Cheng, L.; Wu, T. GmFNSII-Controlled soybean flavone metabolism responds to abiotic stresses and regulates plant salt tolerance. Plant Cell Physiol. 2014, 55, 74–86. [Google Scholar] [CrossRef] [Green Version]
- Zeiss, D.R.; Piater, L.A.; Dubery, I.A. Hydroxycinnamate amides: Intriguing conjugates of plant protective metabolites. Trends Plant Sci. 2021, 26, 184–195. [Google Scholar] [CrossRef]
- Macoy, D.M.; Kim, W.; Lee, S.Y.; Kim, M.G. Biosynthesis, physiology, and functions of hydroxycinnamic acid amides in plants. Plant Biotechnol. Rep. 2015, 9, 269–278. [Google Scholar] [CrossRef]
- Valette, M.; Rey, M.; Gerin, F.; Comte, G.; Wisniewski-Dyé, F. A common metabolomic signature is observed upon inoculation of rice roots with various rhizobacteria. J. Integr. Plant Biol. 2020, 62, 228–246. [Google Scholar] [CrossRef]
- Macoy, D.M.; Kim, W.; Lee, S.Y.; Kim, M.G. Biotic stress related functions of hydroxycinnamic acid amide in plants. J. Plant Biol. 2015, 58, 156–163. [Google Scholar] [CrossRef]
- Torras-Claveria, L.; Jáuregui, O.; Codina, C.; Tiburcio, A.F.; Bastida, J.; Viladomat, F. Analysis of phenolic compounds by high-performance liquid chromatography coupled to electrospray ionization tandem mass spectrometry in senescent and water-stressed tobacco. Plant Sci. 2012, 182, 71–78. [Google Scholar] [CrossRef]
- Luo, J.; Liu, Y.; Zhang, H.; Wang, J.; Chen, Z.; Luo, L.; Liu, G.; Liu, P. Metabolic alterations provide insights into Stylosanthes roots responding to phosphorus deficiency. BMC Plant Biol. 2020, 20, 85. [Google Scholar] [CrossRef] [Green Version]
- Jin, S.; Yoshida, M. Antifungal compound, feruloylagmatine, induced in winter wheat exposed to a low temperature. Biosci. Biotechnol. Biochem. 2000, 64, 1614–1617. [Google Scholar] [CrossRef] [PubMed]
- Langebartels, C.; Kerner, K.; Leonardi, S.; Schraudner, M.; Trost, M.; Heller, W.; Sandermann, H., Jr. Biochemical plant responses to ozone. 1. Differential induction of polyamine and ethylene biosynthesis in tobacco. Plant Physiol. 1991, 95, 882–889. [Google Scholar] [CrossRef] [PubMed]
- Tognetti, J.A.; Salerno, G.L.; Crespi, M.D.; Pontis, H.G. Sucrose and fructan metabolism of different wheat cultivars at chilling temperatures. Physiol. Plant. 1990, 78, 554–559. [Google Scholar] [CrossRef]
- Yoshida, M.; Tamura, K. Research on fructan in wheat and temperate forage grasses in Japan. Jpn. Agric. Res. Q. 2011, 45, 9–14. [Google Scholar] [CrossRef] [Green Version]
- Suzuki, M.; Nass, H.G. Fructan in winter wheat, triticale, and fall rye cultivars of varying cold hardiness. Can. J. Bot. 1988, 66, 1723–1728. [Google Scholar] [CrossRef]
- Mathieu, N.G.; Patti, G.J. Systems-level annotation of a metabolomics data set reduces 25,000 features to fewer than 1000 unique metabolites. Anal. Chem. 2017, 89, 10397–10406. [Google Scholar] [CrossRef]
- Flintham, J.E.; Börner, A.; Worland, A.J.; Gale, M.D. Optimizing wheat grain yield: Effects of Rht (gibberellin-insensitive) dwarfing genes. J. Agric. Sci. 1997, 128, 11–25. [Google Scholar] [CrossRef]
- Kuti, C.; Láng, L.; Gulyás, G.; Karsai, I.; Mészáros, K.; Vida, G.; Bedő, Z. Bioinformatics tool for handling molecular data in wheat breeding. Cereal Res. Commun. 2012, 40, 573–582. [Google Scholar] [CrossRef]
- Szalai, G.; Pap, M.; Janda, T. Light-induced frost tolerance differs in winter and spring wheat plants. J. Plant Physiol. 2009, 166, 1826–1831. [Google Scholar] [CrossRef]
- Smith, M.A.; Davies, P.J. Separation and quantitationof polyamines in plant tissue by high performance liquidchromatography of their dansyl derivatives. Plant Physiol. 1985, 78, 89–91. [Google Scholar] [CrossRef] [Green Version]
- Szalai, G.; Janda, T.; Bartók, T.; Páldi, E. Role of light in changes in free amino acid and polyamine contents at chilling temperature in maize (Zea mays). Physiol. Plant. 1997, 101, 434–438. [Google Scholar] [CrossRef]
- Janda, T.; Cséplő, M.; Németh, C.; Vida, G.; Pogany, M.; Szalai, G.; Veisz, O. Combined effect of water stress and infection with the necrotrophic fungal pathogen Drechslera tritici-repentis on growth and antioxidant activity in wheat. Cereal Res. Commun. 2008, 36, 53–64. [Google Scholar] [CrossRef]
- Gondor, O.K.; Janda, T.; Soós, V.; Pál, M.; Majláth, I.; Adak, M.K.; Balázs, E.; Szalai, G. Salicylic acid induction of flavonoid biosynthesis pathways in wheat varies by treatment. Front. Plant Sci. 2016, 7, 1447. [Google Scholar] [CrossRef] [PubMed] [Green Version]
- Tajti, J.; Hamow, K.Á.; Majláth, I.; Gierczik, K.; Németh, E.; Janda, T.; Pál, M. Polyamine-induced hormonal changes in eds5 and sid2 mutant Arabidopsis plants. Int. J. Mol. Sci. 2019, 20, 5746. [Google Scholar] [CrossRef] [PubMed] [Green Version]
- Livak, K.J.; Schmittgen, T.D. Analysis of relative gene expression data using real-time quantitative PCR and the 2-∆∆CT method. Methods 2001, 25, 402–408. [Google Scholar] [CrossRef]
- Paolacci, A.R.; Tanzarella, O.A.; Porceddu, E.; Ciaffi, M. Identification and validation of reference genes for quantitative RT-PCR normalization in wheat. BMC Mol. Biol. 2009, 10, 11. [Google Scholar] [CrossRef] [PubMed] [Green Version]
- Darkó, É.; Gierczik, K.; Hudák, O.; Forgó, P.; Pál, M.; Türkösi, E.; Kovács, V.; Dulai, S.; Majláth, I.; Molnár, I.; et al. Differing metabolic responses to salt stress in wheat-barley addition lines containing different 7H chromosomal fragments. PLoS ONE 2017, 12, e0174170. [Google Scholar] [CrossRef] [Green Version]
- Boldizsár, Á.; Vanková, R.; Novák, A.; Kalapos, B.; Gulyás, Z.; Pál, M.; Floková, K.; Janda, T.; Galiba, G.; Kocsy, G. The mvp2 mutation affects the generative transition through the modification of transcriptome pattern, salicylic acid and cytokinin metabolism in Triticum monococcum. J. Plant Physiol. 2016, 202, 21–33. [Google Scholar] [CrossRef] [Green Version]
- Campoli, C.; Matus-Cádiz, M.A.; Pozniak, C.J.; Cattivelli, L.; Fowler, D.B. Comparative expression of Cbf genes in the Triticeae under different acclimation induction temperatures. Mol. Genet. Genom. 2009, 282, 141–152. [Google Scholar] [CrossRef] [Green Version]
- Knox, A.K.; Li, C.; Vágújfalvi, A.; Galiba, G.; Stockinger, E.J.; Dubcovsky, J. Identification of candidate CBF genes for the frost tolerance locus Fr-Am2 in Triticum monococcum. Plant Mol. Biol. 2008, 67, 257–270. [Google Scholar] [CrossRef]
- Cavaliere, C.; Foglia, P.; Pastorini, E.; Samperi, R.; Laganà, A. Identification and mass spectrometric characterization of glycosylated flavonoids in Triticum durum plants by high-performance liquid chromatography with tandem mass spectrometry. Rapid Commun. Mass Spectrom. 2005, 19, 3143–3158. [Google Scholar] [CrossRef] [PubMed]
- Ferreres, F.; Andrade, P.B.; Valentão, P.; Gil-Izquierdo, A. Further knowledge on barley (Hordeum vulgare L.) leaves O-glycosyl-C-glycosyl flavones by liquid chromatography-UV diode-array detection-electrospray ionisation mass spectrometry. J. Chromatogr. A 2008, 1182, 56–64. [Google Scholar] [CrossRef] [PubMed]
- Shao, S.Y.; Ting, Y.; Wang, J.; Sun, J.; Guo, X.F. Characterization and identification of the major flavonoids in Phyllostachys edulis leaf extract by UPLC-QTOF-MS/MS. Acta Chromatogr. 2020, 32, 228–237. [Google Scholar] [CrossRef]
- Pereira, C.; Yariwake, J.; McCullagh, M. Distinction of the C-glycosylflavone isomer pairs orientin/isoorientin and vitexin/isovitexin using HPLC-MS exact mass measurement and in-source CID. Phytochem. Anal. 2005, 16, 295–301. [Google Scholar] [CrossRef] [PubMed]
- da Silva, M.M.; de Oliveira, R.R. Differentiation of the phenolic chemical profiles of Cecropia pachystachya and Cecropia hololeuca. Phytochem. Anal. 2019, 30, 73–82. [Google Scholar] [CrossRef] [PubMed] [Green Version]
- Nikolić, D.; Gödecke, T.; Chen, S.N.; White, J.; Lankin, D.C.; Pauli, G.F.; van Breemen, R.B. Mass spectrometric dereplication of nitrogen-containing constituents of black cohosh (Cimicifuga racemosa L.). Fitoterapia 2012, 83, 441–460. [Google Scholar] [CrossRef] [Green Version]
- Lee, J.H.; Park, M.J.; Ryu, H.W.; Yuk, H.J.; Choi, S.; Lee, K.; Kim, S.; Seo, W.D. Elucidation of phenolic antioxidants in barley seedlings (Hordeum vulgare L.) by UPLC-PDA-ESI/MS and screening for their contents at different harvest times. J. Function Foods 2016, 26, 667–680. [Google Scholar] [CrossRef]
- Kage, U.; Hukkeri, S.; Kushalappa, A.C. Liquid chromatography and high resolution mass spectrometry-based metabolomics to identify quantitative resistance-related metabolites and genes in wheat QTL-2DL against Fusarium head blight. Eur. J. Plant Pathol. 2018, 151, 125–139. [Google Scholar] [CrossRef]
- Gorzolka, K.; Kölling, J.; Nattkemper, T.W.; Niehaus, K. Spatio-temporal metabolite profiling of the barley germination process by MALDI MS imaging. PLoS ONE 2016, 11, e0150208. [Google Scholar] [CrossRef]
- Dong, X.; Gao, Y.; Chen, W.; Wang, W.; Gong, L.; Liu, X.; Luo, J. Spatiotemporal distribution of phenolamides and the genetics of natural variation of hydroxycinnamoyl spermidine in rice. Mol. Plant 2015, 8, 111–121. [Google Scholar] [CrossRef] [Green Version]








| Retention Time, min | Tentative Identification | Elemental Composition (Neutral) | Theoretical m/z [M + H]+ | Experimental m/z [M + H]+ | Difference, ppm | Theoretical m/z [M − H]− | Experimental m/z [M − H]− | Difference, ppm | Molecule Group |
|---|---|---|---|---|---|---|---|---|---|
| 3.08 | Isoferuloyl putrescine | C14H20N2O3 | 265.15467 | 265.15486 | 0.72 | - | - | - | Polyamine derivative |
| 3.48 | (Iso)feruloyl-2-hydroxyputrescine | C14H20N2O4 | 281.14958 | 281.14955 | −0.11 | - | - | - | |
| 3.49 | p-Coumaroylhydroxyagmatine | C14H20N4O3 | 293.16082 | 293.16071 | −0.38 | - | - | - | |
| 3.96 | Feruloyl putrescine | C14H20N2O3 | 265.15467 | 265.15451 | −0.60 | - | - | - | |
| 4.13 | Isoferuloylagmatine | C15H22N4O3 | 307.17647 | 307.17661 | 0.46 | - | - | - | |
| 4.26 | Feruloylhydroxyagmatine | C15H22N4O4 | 323.17138 | 323.17120 | −0.56 | - | - | - | |
| 4.65 | p-Coumaroylagmatine | C14H20N4O2 | 277.16590 | 277.16578 | −0.43 | - | - | - | |
| 5.41 | Feruloylagmatine | C15H22N4O3 | 307.17647 | 307.17667 | 0.65 | - | - | - | |
| 5.58 | Lutonarin | C27H30O16 | 611.16066 | 611.16099 | 0.54 | 609.14611 | 609.14620 | 0.15 | Luteolin derivative |
| 6.00 | Vicenin-2 | C27H30O15 | 595.16575 | 595.16550 | −0.42 | 593.15119 | 593.15115 | −0.07 | Isovitexin derivative |
| 6.26 | Lucenin-1/3 | C26H28O15 | 581.15010 | 581.15050 | 0.69 | 579.13554 | 579.13497 | −0.98 | Luteolin derivative |
| 6.56 | Isoorientin-2″-O-glucoside | C27H30O16 | 611.16066 | 611.16080 | 0.23 | 609.14611 | 609.14659 | 0.79 | Luteolin derivative |
| 6.65 | Isovitexin-7-O-glucoside (saponarin) | C27H30O15 | 595.16575 | 595.16581 | 0.10 | 593.15119 | 593.15088 | −0.52 | Isovitexin derivative |
| 6.87 | Isoorientin | C21H20O11 | 449.10784 | 449.10758 | −0.58 | 447.09329 | 447.09354 | 0.56 | Luteolin derivative |
| 6.99 | Isoschaftoside | C26H28O14 | 565.15518 | 565.15527 | 0.16 | 563.14063 | 563.14050 | −0.23 | Apigenin derivative |
| 7.04 | Luteolin-6c-rutinoside (Isoorientin-6-rhamnoside) | C27H30O15 | 595.16575 | 595.16599 | 0.40 | 593.15119 | 593.15087 | −0.54 | Luteolin derivative |
| 7.09 | Isoscoparin-7-O-glucoside | C28H32O16 | 625.17631 | 625.17585 | −0.74 | 623.16176 | 623.16144 | −0.51 | Methylluteolin derivative |
| 7.57 | Isovitexin-2″-O-glucoside | C27H30O15 | 595.16575 | 595.16536 | −0.66 | 593.15119 | 593.15155 | 0.61 | Isovitexin derivative |
| 8.06 | Isovitexin | C21H20O10 | 433.11292 | 433.11284 | −0.18 | 431.09837 | 431.09853 | 0.37 | Isovitexin |
| 8.07 | Isoscoparin-2″-O-glucoside | C28H32O16 | 625.17631 | 625.17628 | −0.05 | 623.16176 | 623.16157 | −0.30 | Methylluteolin derivative |
| 8.10 | Isovitexin-2-O-rhamnoside | C27H30O14 | 579.17083 | 579.17094 | 0.19 | 577.15628 | 577.15639 | 0.19 | Isovitexin derivative |
| 8.62 | C-hexosyl-chrysoeriol O-rhamnoside * | C28H32O15 | 609.18140 | 609.18146 | 0.10 | 607.16684 | 607.16634 | −0.82 | Methylluteolin derivative |
| 9.67 | C-hexosyl-luteolin O-feruloylpentoside * | C36H36O18 | 757.19744 | 757.19699 | −0.59 | 755.18289 | 755.18230 | −0.78 | Luteolin derivative |
| 11.09 | Isovitexin 2″-O-(6‴-feruloyl)glucoside | C37H38O18 | 771.21309 | 771.21326 | 0.22 | 769.19854 | 769.19858 | 0.05 | Isovitexin derivative |
| 13.54 | 3′-O-methylluteolin (chrysoeriol) | C16H12O6 | 301.07066 | 301.07079 | 0.43 | 299.05611 | 299.05627 | 0.54 | Methylluteolin |
| Gene Name | Primer Sequences (5′ → 3′) | Reference | |
|---|---|---|---|
| Ta30797 | Forward | GCCGTGTCCATGCCAGTG | Paolacci et al., 2009 [66] |
| Reverse | TTAGCCTGAACCACCTGTGC | ||
| SOS2 | Forward | GAAAACCTGCTTCTTGATTCACG | Darkó et al., 2017 [67] |
| Reverse | GCTGCAGATCCATCATAGCC | ||
| R2R3MYB | Forward | TTGGTCGTCGATCCTCCACAG | Boldizsár et al., 2016 [68] |
| Reverse | GAGGAGAAGAAGGCGGAGGTG | ||
| COR14 | Forward | GAGAAGGCGAAGCAGGCGAC | Campoli et al., 2009 [69] |
| Reverse | TTGCTCACATCCTCAACCGC | ||
| CBF14 | Forward | CATGGAGTCGCCGGACACCAGACC | Knox et al., 2008 [70] |
| Reverse | GCCCTCCCCAAAAATAGACAGCGGAG | ||
| SS | Forward | CCGACAAGGAGAAGTATG | Zeng et al., 2011 [30] |
| Reverse | CGAGTTCACTAACATTCAC | ||
| wpi6 | Forward | TCTTCCTGCGCTACAAACTC | NCBI Reference Sequence: AB030210.1 |
| Reverse | AACTACCAGCACGTACACCG | ||
Publisher’s Note: MDPI stays neutral with regard to jurisdictional claims in published maps and institutional affiliations. |
© 2022 by the authors. Licensee MDPI, Basel, Switzerland. This article is an open access article distributed under the terms and conditions of the Creative Commons Attribution (CC BY) license (https://creativecommons.org/licenses/by/4.0/).
Share and Cite
Szalai, G.; Dernovics, M.; Gondor, O.K.; Tajti, J.; Molnár, A.B.; Lejmel, M.A.; Misheva, S.; Kovács, V.; Pál, M.; Janda, T. Mutations in Rht-B1 Locus May Negatively Affect Frost Tolerance in Bread Wheat. Int. J. Mol. Sci. 2022, 23, 7969. https://doi.org/10.3390/ijms23147969
Szalai G, Dernovics M, Gondor OK, Tajti J, Molnár AB, Lejmel MA, Misheva S, Kovács V, Pál M, Janda T. Mutations in Rht-B1 Locus May Negatively Affect Frost Tolerance in Bread Wheat. International Journal of Molecular Sciences. 2022; 23(14):7969. https://doi.org/10.3390/ijms23147969
Chicago/Turabian StyleSzalai, Gabriella, Mihály Dernovics, Orsolya Kinga Gondor, Judit Tajti, Anna Borbála Molnár, Magdalena Anna Lejmel, Svetlana Misheva, Viktória Kovács, Magda Pál, and Tibor Janda. 2022. "Mutations in Rht-B1 Locus May Negatively Affect Frost Tolerance in Bread Wheat" International Journal of Molecular Sciences 23, no. 14: 7969. https://doi.org/10.3390/ijms23147969
APA StyleSzalai, G., Dernovics, M., Gondor, O. K., Tajti, J., Molnár, A. B., Lejmel, M. A., Misheva, S., Kovács, V., Pál, M., & Janda, T. (2022). Mutations in Rht-B1 Locus May Negatively Affect Frost Tolerance in Bread Wheat. International Journal of Molecular Sciences, 23(14), 7969. https://doi.org/10.3390/ijms23147969

