Substance GP-2250 as a New Therapeutic Agent for Malignant Peritoneal Mesothelioma—A 3-D In Vitro Study
Abstract
1. Introduction
2. Results
2.1. Microscopic Effect of GP-2250 on Mesothelioma Spheroids
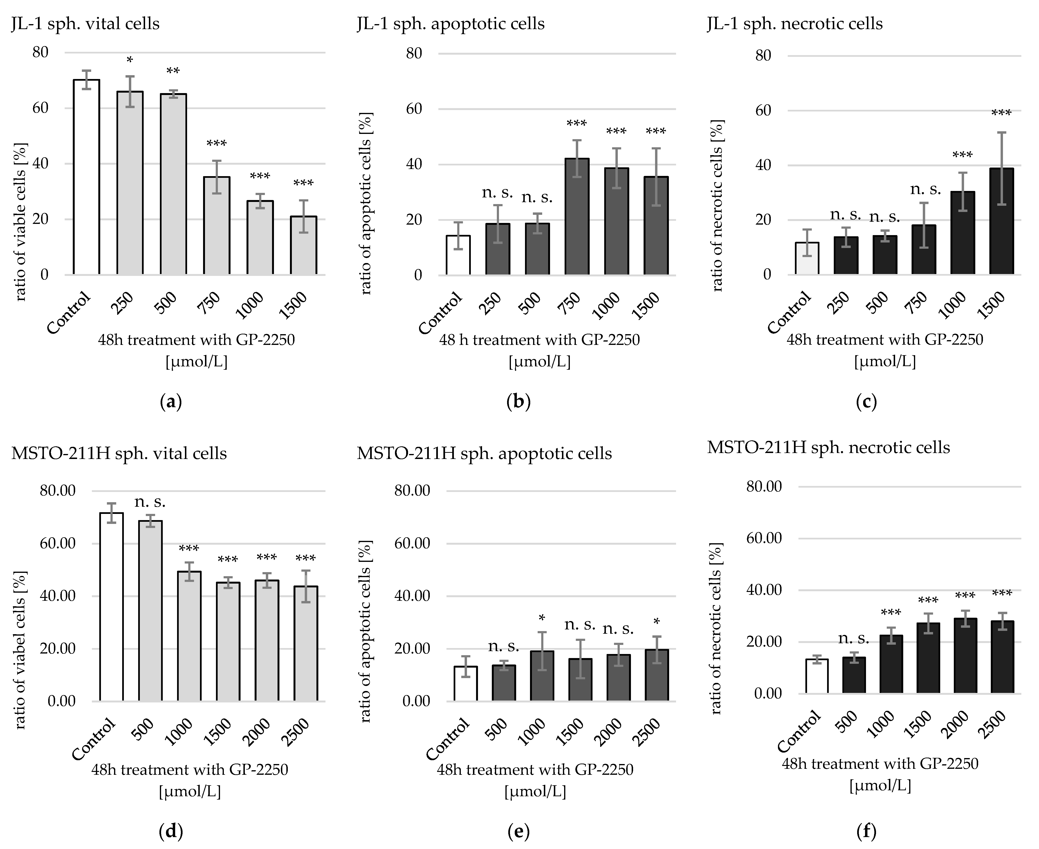
2.2. 48 h Treatment with GP-2250 Monotherapy Had a Cytotoxic Effect on Both MM Cell Lines
2.3. 48 h Combination Treatment of GP-2250 + MMC on MM Spheroids Showed Synergistic Cytotoxic Effects
2.4. 48 h Combination Treatment of GP-2250 + CP on MM-Spheroids Shows Synergistic Cytotoxic Effects
3. Discussion
4. Materials and Methods
5. Conclusions
Author Contributions
Funding
Institutional Review Board Statement
Informed Consent Statement
Data Availability Statement
Acknowledgments
Conflicts of Interest
Abbreviations
| ATP | adenosine triphosphate |
| CSC | cancer stem cells |
| CI | combination index |
| CRS | cytoreductive surgery |
| CP | cisplatin |
| DMSO | dimethyl sulfoxide |
| DNA | desoxyribonucleic acid |
| ED | effective dose |
| EDTA | ethylenediaminetetraacetic acid |
| FITC | fluorescein isothiocyante conjugated |
| GP-2250 | tetrahydro-1,4,5-oxathiazin-4,4-dioxide |
| HIPEC | hyperthermic intraperitoneal chemotherapy |
| mg | milligrams |
| mg/kg BW | milligrams per kilogram bodyweight |
| MM | malignant mesothelioma |
| MMC | mitomycin c |
| mnl. | monolayer |
| µL | microliters |
| µmol/L | micromoles per liter |
| PBS | phosphate-buffered saline |
| PI | propidium iodide |
| ROS | reactive oxygen species |
| SD | standard deviation |
| sph. | stable spheroids |
| 3-D | three-dimensional |
References
- Tischoff, I.; Tannapfel, A. Mesotheliom. Pathologe 2017, 38, 547–560. [Google Scholar] [CrossRef] [PubMed]
- Hiriart, E.; Deepe, R.; Wessels, A. Mesothelium and Malignant Mesothelioma. JDB 2019, 7, 7. [Google Scholar] [CrossRef] [PubMed]
- Mutsaers, S.E. Mesothelial cells: Their structure, function and role in serosal repair. Respirology 2002, 7, 171–191. [Google Scholar] [CrossRef] [PubMed]
- Chew, S.H.; Toyokuni, S. Malignant mesothelioma as an oxidative stress-induced cancer: An update. Free Radic. Biol. Med. 2015, 86, 166–178. [Google Scholar] [CrossRef]
- Boussios, S. Malignant peritoneal mesothelioma: Clinical aspects, and therapeutic perspectives. AOG 2018, 31, 659. [Google Scholar] [CrossRef]
- Amin, W.; Linkov, F.; Landsittel, D.P.; Silverstein, J.C.; Bshara, W.; Gaudioso, C.; Feldman, M.D.; Pass, H.I.; Melamed, J.; Friedberg, J.S.; et al. Factors influencing malignant mesothelioma survival: A retrospective review of the National Mesothelioma Virtual Bank cohort. F1000Research 2018, 7, 1184. [Google Scholar] [CrossRef]
- Broeckx, G.; Pauwels, P. Malignant peritoneal mesothelioma: A review. Transl. Lung Cancer Res. 2018, 7, 537–542. [Google Scholar] [CrossRef]
- Enomoto, L.M.; Shen, P.; Levine, E.A.; Votanopoulos, K.I. Cytoreductive surgery with hyperthermic intraperitoneal chemotherapy for peritoneal mesothelioma: Patient selection and special considerations. Cancer Manag. Res. 2019, 11, 4231–4241. [Google Scholar] [CrossRef]
- Sugarbaker, P.H. Update on the management of malignant peritoneal mesothelioma. Transl. Lung Cancer Res. 2018, 7, 599–608. [Google Scholar] [CrossRef]
- Baratti, D.; Kusamura, S.; Cabras, A.D.; Dileo, P.; Laterza, B.; Deraco, M. Diffuse malignant peritoneal mesothelioma: Failure analysis following cytoreduction and hyperthermic intraperitoneal chemotherapy (HIPEC). Ann. Surg. Oncol. 2009, 16, 463–472. [Google Scholar] [CrossRef]
- Rau, B.; Piso, P.; Königsrainer, A. Peritoneale Tumoren und Metastasen; Springer: Berlin/Heidelberg, Germany, 2018; ISBN 978-3-662-54499-0. [Google Scholar]
- Sugarbaker, P.H.; van der Speeten, K. Surgical technology and pharmacology of hyperthermic perioperative chemotherapy. J. Gastrointest. Oncol. 2016, 7, 29–44. [Google Scholar] [CrossRef]
- Cao, S.; Jin, S.; Cao, J.; Shen, J.; Hu, J.; Che, D.; Pan, B.; Zhang, J.; He, X.; Ding, D.; et al. Advances in malignant peritoneal mesothelioma. Int. J. Colorectal. Dis. 2015, 30, 1–10. [Google Scholar] [CrossRef]
- Malgras, B.; Gayat, E.; Aoun, O.; Lo Dico, R.; Eveno, C.; Pautrat, K.; Delhorme, J.-B.; Passot, G.; Marchal, F.; Sgarbura, O.; et al. Impact of Combination Chemotherapy in Peritoneal Mesothelioma Hyperthermic Intraperitoneal Chemotherapy (HIPEC): The RENAPE Study. Ann. Surg. Oncol. 2018, 25, 3271–3279. [Google Scholar] [CrossRef]
- Buchholz, M.; Majchrzak-Stiller, B.; Hahn, S.; Vangala, D.; Pfirrmann, R.W.; Uhl, W.; Braumann, C.; Chromik, A.M. Innovative substance 2250 as a highly promising anti-neoplastic agent in malignant pancreatic carcinoma—In vitro and in vivo. BMC Cancer 2017, 17, 216. [Google Scholar] [CrossRef]
- Geistlich Pharma, A.G. Translational Drug Development. A Phase 1/2 Trial of GP-2250 in Combination with Gemcitabine in Pancreatic Adenocarcinoma after FOLFIRINOX Chemotherapy: NCT03854110, GP-2250-1001. Available online: https://clinicaltrials.gov/ct2/show/NCT03854110 (accessed on 8 December 2020).
- Barisam, M.; Saidi, M.; Kashaninejad, N.; Nguyen, N.-T. Prediction of Necrotic Core and Hypoxic Zone of Multicellular Spheroids in a Microbioreactor with a U-Shaped Barrier. Micromachines 2018, 9, 94. [Google Scholar] [CrossRef]
- Bates, R.C.; Edwards, N.S.; Yates, J.D. Spheroids and cell survival. Crit. Rev. Oncol. Hematol. 2000, 36, 61–74. [Google Scholar] [CrossRef]
- Bielecka, Z.F.; Maliszewska-Olejniczak, K.; Safir, I.J.; Szczylik, C.; Czarnecka, A.M. Three-dimensional cell culture model utilization in cancer stem cell research. Biol. Rev. 2017, 92, 1505–1520. [Google Scholar] [CrossRef]
- Desmaison, A.; Frongia, C.; Grenier, K.; Ducommun, B.; Lobjois, V. Mechanical stress impairs mitosis progression in multi-cellular tumor spheroids. PLoS ONE 2013, 8, e80447. [Google Scholar] [CrossRef]
- Ishiguro, T.; Ohata, H.; Sato, A.; Yamawaki, K.; Enomoto, T.; Okamoto, K. Tumor-derived spheroids: Relevance to cancer stem cells and clinical applications. Cancer Sci. 2017, 108, 283–289. [Google Scholar] [CrossRef]
- Friedrich, J.; Ebner, R.; Kunz-Schughart, L.A. Experimental anti-tumor therapy in 3-D: Spheroids--old hat or new challenge? Int. J. Radiat. Biol. 2007, 83, 849–871. [Google Scholar] [CrossRef]
- Riffle, S.; Hegde, R.S. Modeling tumor cell adaptations to hypoxia in multicellular tumor spheroids. J. Exp. Clin. Cancer Res. 2017, 36, 102. [Google Scholar] [CrossRef] [PubMed]
- Zhou, Q.-M.; Wang, X.-F.; Liu, X.-J.; Zhang, H.; Lu, Y.-Y.; Huang, S.; Su, S.-B. Curcumin improves MMC-based chemotherapy by simultaneously sensitising cancer cells to MMC and reducing MMC-associated side-effects. Eur. J. Cancer 2011, 47, 2240–2247. [Google Scholar] [CrossRef] [PubMed]
- Cortes-Dericks, L.; Froment, L.; Boesch, R.; Schmid, R.A.; Karoubi, G. Cisplatin-resistant cells in malignant pleural mesothelioma cell lines show ALDHhighCD44+ phenotype and sphere-forming capacity. BMC Cancer 2014, 14, 304. [Google Scholar] [CrossRef] [PubMed]
- Buchholz, M. Vergleichende Anti-Neoplastische Charakterisierung der Substanz 2250 mit ihrer Muttersubstanz Taurolidin—In Vitro und In Vivo. Dissertation, Ruhr-Universität Bochum, Bochum, Germany, 2016. [Google Scholar]
- Fennema, E.; Rivron, N.; Rouwkema, J.; van Blitterswijk, C.; de Boer, J. Spheroid culture as a tool for creating 3D complex tissues. Trends Biotechnol. 2013, 31, 108–115. [Google Scholar] [CrossRef]
- Ryu, N.-E.; Lee, S.-H.; Park, H. Spheroid Culture System Methods and Applications for Mesenchymal Stem Cells. Cells 2019, 8, 1620. [Google Scholar] [CrossRef]
- Ouyang, L.; Shi, Z.; Zhao, S.; Wang, F.-T.; Zhou, T.-T.; Liu, B.; Bao, J.-K. Programmed cell death pathways in cancer: A review of apoptosis, autophagy and programmed necrosis. Cell Prolif. 2012, 45, 487–498. [Google Scholar] [CrossRef]
- St Croix, B.; Flørenes, V.A.; Rak, J.W.; Flanagan, M.; Bhattacharya, N.; Slingerland, J.M.; Kerbel, R.S. Impact of the cyclin-dependent kinase inhibitor p27Kip1 on resistance of tumor cells to anticancer agents. Nat. Med. 1996, 2, 1204–1210. [Google Scholar] [CrossRef]
- Graham, C.H.; Kobayashi, H.; Stankiewicz, K.S.; Man, S.; Kapitain, S.J.; Kerbel, R.S. Rapid acquisition of multicellular drug resistance after a single exposure of mammary tumor cells to antitumor alkylating agents. J. Natl. Cancer Inst. 1994, 86, 975–982. [Google Scholar] [CrossRef]
- Kobayashi, H.; Man, S.; Graham, C.H.; Kapitain, S.J.; Teicher, B.A.; Kerbel, R.S. Acquired multicellular-mediated resistance to alkylating agents in cancer. Proc. Natl. Acad. Sci. USA 1993, 90, 3294–3298. [Google Scholar] [CrossRef]
- Sinawe, H.; Casadesus, D. (Eds.) Mitomycin. In StatPearls [Internet]; StatPearls Publishing: Treasure Island, FL, USA, 2021. [Google Scholar]
- Trimmer, E.E.; Essigmann, J.M. Cisplatin. Essays Biochem. 1999, 34, 191–211. [Google Scholar] [CrossRef]
- Ong, S.T.; Vogelzang, N.J. Chemotherapy in malignant pleural mesothelioma. A review. J. Clin. Oncol. 1996, 14, 1007–1017. [Google Scholar] [CrossRef]
- Chahinian, A.P.; Norton, L.; Holland, J.F.; Szrajer, L.; Hart, R.D. Experimental and Clinical Activity of Mitomycin C and c/s- Diamminedichloroplatinum in Malignant Mesothelioma. Cancer Res. 1984, 44, 1688–1692. [Google Scholar]
- Baratti, D.; Kusamura, S.; Deraco, M. Diffuse malignant peritoneal mesothelioma: Systematic review of clinical management and biological research. J. Surg. Oncol. 2011, 103, 822–831. [Google Scholar] [CrossRef]
- Tan, G.H.C.; Shannon, N.B.; Chia, C.S.; Soo, K.C.; Teo, M.C.C. Platinum agents and mitomycin C-specific complications in cytoreductive surgery (CRS) and hyperthermic intraperitoneal chemotherapy (HIPEC). Int. J. Hyperth. 2018, 34, 595–600. [Google Scholar] [CrossRef]
- Fang, Y.-P.; Hu, P.-Y.; Huang, Y.-B. Diminishing the side effect of mitomycin C by using pH-sensitive liposomes: In vitro characterization and in vivo pharmacokinetics. DDDT 2018, 12, 159–169. [Google Scholar] [CrossRef]
- Minchinton, A.I.; Tannock, I.F. Drug penetration in solid tumours. Nat. Rev. Cancer 2006, 6, 583–592. [Google Scholar] [CrossRef]
- Cortes-Dericks, L.; Carboni, G.L.; Schmid, R.A.; Karoubi, G. Putative cancer stem cells in malignant pleural mesothelioma show resistance to cisplatin and pemetrexed. Int. J. Oncol. 2010, 37, 437–444. [Google Scholar] [CrossRef][Green Version]
- Lemoine, L.; Sugarbaker, P.; van der Speeten, K. Drugs, doses, and durations of intraperitoneal chemotherapy: Standardising HIPEC and EPIC for colorectal, appendiceal, gastric, ovarian peritoneal surface malignancies and peritoneal mesothelioma. Int. J. Hyperth. 2017, 33, 582–592. [Google Scholar] [CrossRef]
- Dasari, S.; Bernard Tchounwou, P. Cisplatin in cancer therapy: Molecular mechanisms of action. Eur. J. Pharmacol. 2014, 740, 364–378. [Google Scholar] [CrossRef]
- Chou, T.-C. Theoretical basis, experimental design, and computerized simulation of synergism and antagonism in drug combination studies. Pharmacol. Rev. 2006, 58, 621–681. [Google Scholar] [CrossRef]
- Chang, T.T.; Chou, T.C. Rational approach to the clinical protocol design for drug combinations: A review. Acta Paediatr. Taiwanica Taiwan Er Ke Yi Xue Hui Za Zhi 2000, 41, 294–302. [Google Scholar]







| Culture | Treatment | ≥ED50 [µmol/L] | |
|---|---|---|---|
| Monolayer | JL-1 | MSTO-211H | |
| GP-2250 | 603.7 1 | 1193.04 1 | |
| Spheroids | GP-2250 | 949.64 1 | 2587.99 1 |
| MMC | 10 | 5–10 | |
| CP | 50 | 20 | |
| GP-2250 + MMC | x | 1000 GP-2250 + 0.5–2.5 MMC | |
| GP-2250 + CP | 500 GP-2250 + 30 CP | 1000 GP-2250 + 5–7.5 CP | |
Publisher’s Note: MDPI stays neutral with regard to jurisdictional claims in published maps and institutional affiliations. |
© 2022 by the authors. Licensee MDPI, Basel, Switzerland. This article is an open access article distributed under the terms and conditions of the Creative Commons Attribution (CC BY) license (https://creativecommons.org/licenses/by/4.0/).
Share and Cite
Baron, C.; Buchholz, M.; Majchrzak-Stiller, B.; Peters, I.; Fein, D.; Müller, T.; Uhl, W.; Höhn, P.; Strotmann, J.; Braumann, C. Substance GP-2250 as a New Therapeutic Agent for Malignant Peritoneal Mesothelioma—A 3-D In Vitro Study. Int. J. Mol. Sci. 2022, 23, 7293. https://doi.org/10.3390/ijms23137293
Baron C, Buchholz M, Majchrzak-Stiller B, Peters I, Fein D, Müller T, Uhl W, Höhn P, Strotmann J, Braumann C. Substance GP-2250 as a New Therapeutic Agent for Malignant Peritoneal Mesothelioma—A 3-D In Vitro Study. International Journal of Molecular Sciences. 2022; 23(13):7293. https://doi.org/10.3390/ijms23137293
Chicago/Turabian StyleBaron, Claudia, Marie Buchholz, Britta Majchrzak-Stiller, Ilka Peters, Daniel Fein, Thomas Müller, Waldemar Uhl, Philipp Höhn, Johanna Strotmann, and Chris Braumann. 2022. "Substance GP-2250 as a New Therapeutic Agent for Malignant Peritoneal Mesothelioma—A 3-D In Vitro Study" International Journal of Molecular Sciences 23, no. 13: 7293. https://doi.org/10.3390/ijms23137293
APA StyleBaron, C., Buchholz, M., Majchrzak-Stiller, B., Peters, I., Fein, D., Müller, T., Uhl, W., Höhn, P., Strotmann, J., & Braumann, C. (2022). Substance GP-2250 as a New Therapeutic Agent for Malignant Peritoneal Mesothelioma—A 3-D In Vitro Study. International Journal of Molecular Sciences, 23(13), 7293. https://doi.org/10.3390/ijms23137293

