Potassium Fertilization Stimulates Sucrose-to-Starch Conversion and Root Formation in Sweet Potato (Ipomoea batatas (L.) Lam.)
Abstract
1. Introduction
2. Results
2.1. Photosynthetic Parameters in Sweet Potato Leaves under Different K2O Rates
2.2. Dynamic Accumulation and Simulation of Sweet Potato Biomass
2.3. Distribution of Sweet Potato Biomass
2.4. Yield Components
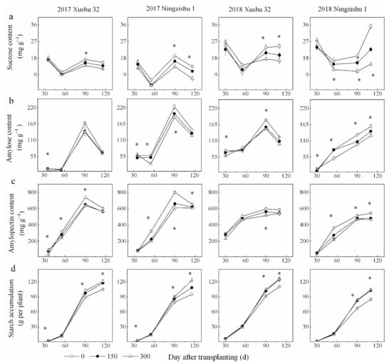
2.5. Changes of Sucrose and Starch Content in SPSR
2.6. Enzyme Activities Involved in the Sucrose–Starch Metabolism in SPSR
2.7. Genes Transcription Involved in the Sucrose–Starch Metabolism in SPSR
2.8. Relationship Between Enzyme Activities Related to Sucrose and Starch with Starch Accumulation and Storage Root Yield
3. Discussion
3.1. Plant Growth, Biomass Accumulation and Distribution in SPSR was Improved by Appropriate K Application
3.2. Appropriate K Application Is Beneficial to Sucrose-to-Starch Conversion in SPSR
4. Materials and Methods
4.1. Experimental Design
4.2. Sampling and Processing
4.3. Leaf Photosynthesis Parameters
4.4. Sucrose and Starch Analysis
4.5. Sucrose–Starch Metabolizing Enzymatic Extraction and Analysis
4.6. RNA Extraction and Gene Transcriptional Analysis in SPSR
4.7. Weather Data and Statistical Analysis
5. Conclusions
- 1)
- Compared to the no-K treatment, sweet potato yield was remarkably improved by K application, although treatments at high levels of K, i.e., 375 kg K2O ha−1, significantly decreased storage root yield. K application enhanced biomass accumulation of plant and storage root yield by promoting VT and T.
- 2)
- K application enhanced the photosynthetic capacity of sweet potato at 35 DAT and 55 DAT, accompanied with an increased storage root weight. The reduction of Pn induced by K deficiency was mainly caused by stomatal limitation at 35 DAT and by non-stomatal factors at 55 DAT.
- 3)
- K application promoted the starch accumulation mainly by improving the activities of SuSy, AGPase and SSS, and these genes’ transcriptions, and AGPase is the speed-limiting enzyme for the synthesis of starch in SPSR of the K-treated treatments.
- 4)
- Future research is required to determine the correlation of K + transport activity in root and K tolerance in sweet potato, in order to breed low-K-tolerant sweet potato cultivars in the future.
Supplementary Materials
Author Contributions
Funding
Data Availability Statement
Acknowledgments
Conflicts of Interest
References
- Liu, Q. Improvement for agronomically important traits by gene engineering in sweetpotato. Breed. Sci. 2017, 67, 15–26. [Google Scholar] [CrossRef]
- Villordon, A.Q.; Clark, C.A. Variation in virus symptom development and root architecture attributes at the onset of storage root initiation in ‘Beauregard’ sweetpotato plants grown with or without nitrogen. PLoS ONE 2014, 9, e107384. [Google Scholar]
- Firon, N.; LaBonte, D.; Villordon, A.; McGregor, C.; Kfir, Y.; Pressman, E. Botany and physiology: Storage root formation and development. In The Sweetpotato; Loebenstein, G., Thottappilly, G., Eds.; Springer: Dordrecht, The Netherlands, 2009; pp. 13–26. [Google Scholar]
- Fan, W.; Zhang, Y.; Wu, Y.; Zhou, W.; Yang, J.; Yuan, L.; Zhang, P.; Wang, H. The H+-pyrophosphatase IbVP1 regulates carbon flux to influence the starch metabolism and yield of sweet potato. Hortic. Res. 2021, 8, 20. [Google Scholar] [CrossRef] [PubMed]
- Zhang, K.; Wu, Z.; Tang, D.; Luo, K.; Lu, H.; Liu, Y.; Dong, J.; Wang, X.; Lv, C.; Wang, J.; et al. Comparative transcriptome analysis reveals critical function of sucrose metabolism related-enzymes in starch accumulation in the storage root of sweet potato. Front. Plant Sci. 2017, 8, 914. [Google Scholar] [CrossRef]
- Wang, M.; Zheng, Q.; Shen, Q.; Guo, S. The Critical Role of Potassium in Plant Stress Response. Int. J. Mol. Sci. 2013, 14, 7370–7390. [Google Scholar] [CrossRef]
- Sardans, J.; Penuelas, J. Potassium: A neglected nutrient in global change. Glob. Ecol. Biogeogr. 2015, 24, 261–275. [Google Scholar] [CrossRef]
- Santos, E.F.; Mateus, N.S.; Rosario, M.O.; Garcez, T.B.; Mazzafera, P.; Lavres, J. Enhancing potassium content in leaves and stems improves drought tolerance of eucalyptus clones. Physiol. Plant. 2020. [Google Scholar] [CrossRef]
- Lu, Z.; Ren, T.; Li, J.; Hu, W.; Zhang, J.; Yan, J.; Li, X.; Cong, R.; Guo, S.; Lu, J. Nutrition-mediated cell and tissue-level anatomy triggers the covariation of leaf photosynthesis and leaf mass per area. J. Exp. Bot. 2020, 71, 6524–6537. [Google Scholar] [CrossRef]
- Tang, Z.; Zhang, A.; Wei, M.; Chen, X.; Liu, Z.; Li, H.; Ding, Y. Physiological response to potassium deficiency in three sweet potato (Ipomoea batatas [L.] Lam.) genotypes differing in potassium utilization efficiency. Acta Physiol. Plant. 2015, 37, 184. [Google Scholar] [CrossRef]
- Chen, X.; Shi, C.; Li, H.; Zhang, A.; Shi, X.; Tang, Z.; Wei, M. Effects of potassium fertilization period on photosynthetic characteristics and storage root starch accumulation of edible sweetpotato. Chin. J. Appl. Ecol. 2013, 24, 759–763. (In Chinese) [Google Scholar]
- Liu, H.; Shi, C.; Chai, S.; Wang, C.; Ren, G.; Jiang, Y.; Si, C. Effect of different potassium application time on the vigor of photosynthate transportations of edible sweet potato (Ipomoea batata L.). J. Plant Nutri. Fert. 2015, 21, 171–180. (In Chinese) [Google Scholar]
- Liu, H.; Shi, C.; Zhang, H.; Wang, Z.; Chai, S. Effects of potassium on yield, photosynthate distribution, enzymes activity and aba content in storage roots of sweet potato (Ipomoea batatas Lam.). Aust. J. Crop Sci. 2013, 7, 735. [Google Scholar]
- Liu, J.R.; Ma, Y.N.; Lv, F.J.; Chen, J.; Zhou, Z.G.; Wang, Y.H.; Abudurezike, A.; Oosterhuis, D.M. Changes of sucrose metabolism in leaf subtending to cotton boll under cool temperature due to late planting. Field Crop. Res. 2013, 144, 200–211. [Google Scholar] [CrossRef]
- Ravi, V.; Naskar, S.; Makeshkumar, T.; Babu, B.; Krishnan, B.P. Molecular physiology of storage root formation and development in sweet potato (Ipomoea batatas (L.) Lam.). J. Root Crop. 2009, 35, 1–27. [Google Scholar]
- Lai, Y.C.; Wang, S.Y.; Gao, H.Y.; Nguyen, K.M.; Nguyen, C.H.; Shih, M.C.; Lin, K.H. Physicochemical properties of starches and expression and activity of starch biosynthesis-related genes in sweet potatoes. Food Chem. 2016, 199, 556–564. [Google Scholar] [CrossRef]
- Bahaji, A.; Li, J.; Sánchez-López, Á.M.; Baroja-Fernández, E.; Muñoz, F.J.; Ovecka, M.; Almagro, G.; Montero, M.; Ezquer, I.; Etxeberria, E.; et al. Starch biosynthesis, its regulation and biotechnological approaches to improve crop yields. Biotechnol. Adv. 2014, 32, 87–106. [Google Scholar] [CrossRef]
- Osundahunsi, O.F.; Fagbemi, T.N.; Kesselman, E.; Shimoni, E. Comparison of the physicochemical properties and pasting characteristics of flour and starch from red and white sweet potato cultivars. J. Agric. Food Chem. 2003, 51, 2232–2236. [Google Scholar] [CrossRef]
- Liu, H.J.; Yao, H.L.; Shi, C.Y.; Zhang, L.M. Effect of potassium application time on starch accumulation and related enzyme activities of sweet potato variety jixu 23. Sci. Agric. Sin. 2014, 47, 43–52. (In Chinese) [Google Scholar]
- Liu, Q. Effect of Potassium Application on Yield and Quality and Nutrient Absorption of Sweet Potato. Master’s Thesis, Shandong Agricultural University, Taian, China, 2014. [Google Scholar]
- Wang, J.; Wang, H.; Zhang, Y.; Zhou, J.; Chen, X. Intraspecific variation in potassium uptake and utilization among sweet potato (Ipomoea batatas L.) genotypes. Field Crop. Res. 2015, 170, 76–82. [Google Scholar] [CrossRef]
- Tang, Z.; Zhang, A.; Chen, X.; Jin, R.; Liu, M.; Li, H.; Ding, Y. Starch physico-chemical properties and their difference in three sweetpotato (Ipomoea batatas(L.) Lam) genotypes under low potassium stress. Sci Agric. Sin. 2017, 50, 513–525. (In Chinese) [Google Scholar]
- Liu, M.; Zhang, A.; Chen, X.; Jin, R.; Li, H.; Tang, Z. The effect of potassium deficiency on growth and physiology in sweetpotato (Ipomoea batatas (L.) Lam.) during early growth. Hortscience 2017, 52, 1020–1028. [Google Scholar] [CrossRef]
- Liu, M.; Zhang, A.J.; Chen, X.G.; Jin, R.; Li, H.M.; Tang, Z.H. Effects of potassium deficiency on root morphology, ultrastructure and antioxidant enzyme system in sweet potato (Ipomoea batatas [L.] Lam.) during early growth. Acta Physiol. Plant. 2017, 39, 211. [Google Scholar] [CrossRef]
- Tang, Z.; Zhang, Y.; Wei, M.; Chen, X.; Shi, X.; Zhang, A.; Li, H.; Ding, Y. Screening and evaluation indicators for low potassium-tolerant and potassium efficient sweetpotato (Ipomoea batatas L.) varieties (lines). Acta Agron. Sin. 2014, 40, 542–549. (In Chinese) [Google Scholar] [CrossRef]
- Du, X.; Zhang, X.; Xi, M.; Kong, L. Split application enhances sweetpotato starch production by regulating the conversion of sucrose to starch under reduced nitrogen supply. Plant Physiol. Biochem. 2020, 151, 743–750. [Google Scholar] [CrossRef] [PubMed]
- Zahoor, R.; Dong, H.; Abid, M.; Zhao, W.; Wang, Y.; Zhou, Z. Potassium fertilizer improves drought stress alleviation potential in cotton by enhancing photosynthesis and carbohydrate metabolism. Environ. Exp. Bot. 2017, 137, 73–83. [Google Scholar] [CrossRef]
- Zahoor, R.; Zhao, W.; Abid, M.; Dong, H.; Zhou, Z. Potassium application regulates nitrogen metabolism and osmotic adjustment in cotton (Gossypium hirsutum L.) functional leaf under drought stress. J. Plant Physiol. 2017, 215, 30–38. [Google Scholar] [CrossRef]
- Xia, L. Physiological function of potassium and analysis of causes of soil potassium deficiency. Modern Agric. 2016, 2, 42–43. (In Chinese) [Google Scholar]
- Tang, W.; Zhang, Y.-g.; Liu, Y.-j.; Wang, X.; Kou, M.; Yan, H.; Ma, D.-f.; Li, Q. Quantifying cultivation technique and growth dynamics of purple-fleshed sweetpotato (Ipomoea batatas L.) in China. Field Crop. Res. 2018, 227, 41–48. [Google Scholar] [CrossRef]
- Yao, H.; Zhang, L.; Shi, C.; Zhang, C.; Liu, Q.; Zhang, H. Effects of potassium application period on the plant traits and yield of sweet potato. Acta Agric. Boreali Occident. Sin. 2010, 19, 82–85. (In Chinese) [Google Scholar]
- Hu, W.; Jiang, N.; Yang, J.; Meng, Y.; Wang, Y.; Chen, B.; Zhao, W.; Oosterhuis, D.M.; Zhou, Z. Potassium (K) supply affects K accumulation and photosynthetic physiology in two cotton (Gossypium hirsutum L.) cultivars with different K sensitivities. Field Crop. Res. 2016, 196, 51–63. [Google Scholar] [CrossRef]
- Du, X.; Kong, L.; Xi, S.; Zhang, X. Split application improving sweetpotato yield by enhancing photosynthetic and sink capacity under reduced nitrogen condition. Field Crop. Res. 2019, 238, 56–63. [Google Scholar]
- Bednarz, C.W.; Oosterhuis, D.M.; Evans, R.D.J.E.; Botany, E. Leaf photosynthesis and carbon isotope discrimination of cotton in response to potassium deficiency. Environ. Exp. Bot. 1998, 39, 131–139. [Google Scholar] [CrossRef]
- Jin, S.H.; Huang, J.Q.; Li, X.Q.; Zheng, B.S.; Wu, J.S.; Wang, Z.J.; Liu, G.H.; Chen, M. Effects of potassium supply on limitations of photosynthesis by mesophyll diffusion conductance in Carya cathayensis. Tree Physiol. 2011, 31, 1142–1151. [Google Scholar] [CrossRef] [PubMed]
- Hou, M.; Zhang, Y.; Liu, Y.; Wang, X.; Tang, W.; Yan, H.; Ma, D.; Li, Q. Effects of applying potassium at different stages on yield and quality of edible sweetpotato. Acta Agric. Boreali Sin. 2014, 29, 368–372. (In Chinese) [Google Scholar]
- Yang, J.; Zhang, J.; Wang, Z.; Liu, K.; Wang, P. Post-anthesis development of inferior and superior spikelets in rice in relation to abscisic acid and ethylene. J. Exp. Bot. 2006, 57, 149–160. [Google Scholar] [CrossRef] [PubMed]
- Mukerjea, R.; Robyt, J.F. Starch biosynthesis: Sucrose as a substrate for the synthesis of a highly branched component found in 12 varieties of starches. Carbohydr. Res. 2003, 338, 1811–1822. [Google Scholar] [CrossRef]
- Baroja-Fernández, E.; Muñoz, F.J.; Montero, M.; Etxeberria, E.; Sesma, M.T.; Ovecka, M.; Bahaji, A.; Ezquer, I.; Li, J.; Prat, S.; et al. Enhancing sucrose synthase activity in transgenic potato (Solanum tuberosum L.) tubers results in increased levels of starch, ADPglucose and UDPglucose and total yield. Plant Cell Physiol. 2009, 50, 1651–1662. [Google Scholar] [CrossRef]
- Shi, C.; Wang, Z.; Zhao, B.; Guo, F.; Yu, S. Effect of potassium nutrition on some physiological characteristics and yield formation of sweet potato. Plant Nutri. Fert. Sci. 2002, 8, 81–85. (In Chinese) [Google Scholar]
- Kermode, A.R.; Oishi, M.Y.; Bewley, J.D. Regulatory roles for desiccation and abscisic acid in seed development: A comparison of the evidence from whole seeds and isolated embryos. In Seed Moisture; Stanwood, P.C., McDonald, M.B., Eds.; Crop Science Society of America, Inc.: Madison, WI, USA, 1989; pp. 23–50. [Google Scholar]
- Tiessen, A.; Hendriks, J.H.M.; Stitt, M.; Branscheid, A.; Gibon, Y.; Farré, E.M.; Geigenberger, P. Starch synthesis in potato tubers is regulated by post-translational redox modification of ADP-glucose pyrophosphorylase: A novel regulatory mechanism linking starch synthesis to the sucrose supply. Plant Cell 2002, 14, 2191–2213. [Google Scholar] [CrossRef]
- Du, X.D.; Zhao, H.W.; Wang, J.G.; Liu, H.L.; Yang, L.; Xu, J.; Song, J.T. Changes in starch accumulation and activity of enzymes associated with starch synthesis under different nitrogen applications in japonica rice in cold region. Acta Agron. Sin. 2012, 38, 159–167. (In Chinese) [Google Scholar] [CrossRef]
- Wang, J.M. Differential Activities and Transcriptional Levels of Starch Synthesis Related Enzymes Regulated by Potassium in High Starch Potatoes. Master’s Thesis, Northeast Agricultural University, Haerbin, China, 2016. [Google Scholar]
- Shu, H.M.; Zhou, Z.G.; Xu, N.Y.; Wang, Y.H.; Zheng, M. Sucrose metabolism in cotton (Gossypium hirsutum L.) fibre under low temperature during fibre development. Eur. J. Agron. 2009, 31, 61–68. [Google Scholar] [CrossRef]
- Liu, J.; Peng, J.; Xia, H.; Li, P.; Li, Z.; Sun, M.; Zheng, C.; Dong, H. High soil available phosphorus favors carbon metabolism in cotton leaves in pot trials. J. Plant Growth Regul. 2020. [Google Scholar] [CrossRef]
- Nakamura, Y.; Umemoto, T.; Ogata, N.; Kuboki, Y.; Yano, M.; Sasaki, T. Starch debranching enzyme (R-enzyme or pullulanase) from developing rice endosperm: Purification, cDNA and chromosomal localization of the gene. Planta 1996, 199, 209–218. [Google Scholar] [CrossRef] [PubMed]
- Schaffer, A.A.; Petreikov, M. Sucrose-to-starch metabolism in tomato fruit undergoing transient starch accumulation. Plant Physiol. 1997, 113, 739–746. [Google Scholar] [CrossRef] [PubMed]
- Park, S.C.; Kim, Y.H.; Ji, C.Y.; Park, S.; Jeong, J.C.; Lee, H.S.; Kwak, S.S. Stable internal reference genes for the normalization of Real-time PCR in different sweetpotato cultivars subjected to abiotic stress conditions. PLoS ONE 2012, 7, e51502. [Google Scholar] [CrossRef] [PubMed]
- Xia, H.; Xu, T.; Zhang, J.; Shen, K.; Li, Z.; Liu, J. Drought-induced responses of nitrogen metabolism in Ipomoea batatas. Plants 2020, 9, 1341. [Google Scholar] [CrossRef]









| Cultivar | K2O Rate (kg ha−1) | Pn (μmol CO2 m−2 s−1) | gs (mol H2O m−2 s−1) | Ci (μmol CO2 mol−1) | Non-Ls | Ls | |||||
|---|---|---|---|---|---|---|---|---|---|---|---|
| 35 DAT | 55 DAT | 35 DAT | 55 DAT | 35 DAT | 55 DAT | 35 DAT | 55 DAT | 35 DAT | 55 DAT | ||
| 2017 | |||||||||||
| Xushu 32 | 0 | 30.85 ab | 28.3 b | 0.63 d | 0.72 b | 321.9 bc | 339.9 a | 514.6 a | 471.9 ab | 0.16 a | 0.12 bc |
| 75 | 31.14 ab | 29.16 ab | 0.69 cd | 0.77 ab | 325.2 b | 330.5 bc | 473.2 ab | 431.8 bc | 0.13 b | 0.11 abc | |
| 150 | 31.59 a | 29.13 ab | 0.73 bc | 0.89 a | 328.4 a | 327.9 c | 449.6 bc | 366.9 c | 0.14 b | 0.1 c | |
| 225 | 30.98 ab | 30.29 a | 0.82 a | 0.79 ab | 323.2 bc | 332.3 bc | 397.6 c | 435.5 abc | 0.16 a | 0.11 abc | |
| 300 | 30.34 b | 29.85 a | 0.78 ab | 0.69 b | 322.3 bc | 335.2 ab | 414.3 c | 492.6 ab | 0.14 ab | 0.11 ab | |
| 375 | 28.11 c | 29.95 a | 0.73 bc | 0.63 b | 320.7 c | 332.7 bc | 442.8 bc | 533 a | 0.15 ab | 0.11 a | |
| CV across K2 O rate (%) | 3.71 | 2.25 | 8.25 | 10.91 | 0.78 | 1.13 | 8.52 | 11.51 | 7.65 | 4.62 | |
| Ningzishu 1 | 0 | 30.97 b | 27.94 c | 0.69 bc | 0.49 b | 319.6 c | 338.7 b | 472.8 ab | 699.7 a | 0.17 a | 0.12 ab |
| 75 | 31.09 b | 31.24 a | 0.8 a | 0.79 a | 326.3 b | 330 b | 407.6 b | 422 b | 0.15 b | 0.11 bc | |
| 150 | 33.96 a | 30.79 ab | 0.83 a | 0.8 a | 332.1 a | 327.5 b | 402.5 b | 424.4 b | 0.14 b | 0.11 bc | |
| 225 | 31.46 b | 30.14 ab | 0.77 ab | 0.75 a | 325 b | 332.6 b | 422.1 b | 448.1 b | 0.15 ab | 0.1 c | |
| 300 | 29.23 c | 29.5 b | 0.65 c | 0.69 a | 325.1 b | 340.3 a | 509 a | 502.7 b | 0.14 b | 0.1 c | |
| 375 | 29.38 c | 30.14 ab | 0.63 c | 0.48 b | 318.1 c | 330.8 b | 505.2 a | 703.7 a | 0.13 b | 0.13 a | |
| CV across K2O rate (%) | 5.05 | 3.52 | 10.32 | 19.82 | 1.41 | 1.26 | 9.79 | 22.13 | 9.00 | 9.28 | |
| Analysis of variance | Cultivar (C) | * | * | ns | ** | ns | ns | ns | ** | ns | ns |
| K2O rate (K) | ** | ** | ** | ** | ** | ** | ** | ** | ** | ** | |
| C × K | ** | * | ** | ns | ns | * | ** | * | ns | ** | |
| 2018 | |||||||||||
| Xushu 32 | 0 | 27.77 bc | 18.96 b | 0.76 ab | 0.69 bc | 297.69 a | 309.6 ab | 399.4 abc | 455.9 ab | 0.18 b | 0.18 a |
| 75 | 29.84 ab | 19.15 b | 0.76 ab | 0.75 abc | 299.69 a | 300.8 ab | 396.3 bc | 411.3 abc | 0.17 ab | 0.17 a | |
| 150 | 31.21 a | 21.85 a | 0.83 a | 0.84 a | 301.2 a | 294.5 b | 365.2 c | 353.4 c | 0.17 a | 0.19 a | |
| 225 | 28.12 bc | 21.19 a | 0.64 b | 0.79 ab | 304 a | 296.5 ab | 477.8 ab | 376.1 bc | 0.16 ab | 0.16 a | |
| 300 | 26.16 c | 21.91 a | 0.62 b | 0.7 bc | 301.1 a | 294.4 b | 500.3 a | 426.2 abc | 0.17 ab | 0.19 a | |
| 375 | 26.49 c | 20.46 ab | 0.6 b | 0.65 c | 300 a | 294.3 b | 500.7 a | 458.8 a | 0.16 ab | 0.19 a | |
| CV across K2 O rate (%) | 6.30 | 5.75 | 12.14 | 8.93 | 0.92 | 1.85 | 12.02 | 9.37 | 4.80 | 8.17 | |
| Ningzishu 1 | 0 | 27.1 b | 20.86 c | 0.47 bc | 0.46 b | 281.75 c | 292.7 a | 607.6 ab | 646.5 a | 0.23 a | 0.25 b |
| 75 | 29 ab | 24.98 ab | 0.5 bc | 0.55 ab | 293.73 bc | 283.1 ab | 589.3 ab | 520 ab | 0.18 b | 0.24 b | |
| 150 | 29.45 a | 26.05 a | 0.72 a | 0.61 a | 300.5 ab | 283.7 ab | 420.3 c | 466.6 b | 0.17 bc | 0.23 b | |
| 225 | 27.45 ab | 22.67 bc | 0.57 b | 0.55 ab | 310 a | 291.5 ab | 547.1 b | 548.4 ab | 0.14 c | 0.21 b | |
| 300 | 25.11 c | 21.99 c | 0.45 c | 0.45 b | 305.6 ab | 279.6 bc | 689.2 a | 633.2 a | 0.18 b | 0.29 a | |
| 375 | 23.96 c | 22.53 bc | 0.48 bc | 0.44 b | 297.8 ab | 270.3 c | 630.5 ab | 630 a | 0.16 bc | 0.22b | |
| CV across K2O rate (%) | 7.25 | 7.66 | 17.41 | 12.61 | 3.03 | 2.65 | 14.39 | 11.69 | 15.49 | 11.68 | |
| Analysis of variance | Cultivar (C) | ** | ** | ** | ** | ns | ** | ** | ** | * | ** |
| K2O rate (K) | ** | ** | ** | ** | * | ** | ** | ** | ** | ** | |
| C × K | ns | * | ns | ns | ** | ns | ns | ns | ** | ns | |
| K2O Rate (kg ha−1) | 2017 | 2018 | ||||||||
|---|---|---|---|---|---|---|---|---|---|---|
| Equations | r | Tm (d) | T (d) | VT (g d−1) | Equations | r | Tma (d) | T (d) | VT (g d−1) | |
| Xushu 32 | ||||||||||
| 0 | y = 157.10/(1 + 89.53 × 10−0.057DAT) | 0.975 ** | 78.85 | 46.21 | 1.96 | y = 165.83/(1 + 50.42 × 10−0.055DAT) | 0.991 ** | 71.28 | 47.89 | 2.00 |
| 75 | y = 166.40/(1 + 72.08 × 10−0.053DAT) | 0.983 ** | 80.71 | 49.69 | 1.93 | y = 187.80/(1 + 50.07 × 10−0.053DAT) | 0.979 ** | 73.84 | 49.69 | 2.18 |
| 150 | y = 222.81/(1 + 89.82 × 10−0.053DAT) | 0.997 ** | 84.87 | 49.69 | 2.59 | y = 213.78/(1 + 53.82 × 10−0.053DAT) | 0.997 ** | 75.20 | 49.69 | 2.48 |
| 225 | y = 213.52/(1 + 89.32 × 10−0.053DAT) | 0.995 ** | 84.76 | 49.69 | 2.48 | y = 212.18/(1 + 50.35 × 10−0.054DAT) | 0.993 ** | 72.57 | 48.77 | 2.51 |
| 300 | y = 224.31/(1 + 94.65 × 10−0.055DAT) | 0.996 ** | 82.73 | 47.89 | 2.70 | y = 231.64/(1 + 54.02 × 10−0.053DAT) | 0.999 ** | 75.27 | 49.69 | 2.69 |
| 375 | y = 199.42/(1 + 94.625 × 10−0.059DAT) | 0.980 ** | 77.12 | 44.64 | 2.58 | y = 221.99/(1 + 54.706 × 10−0.056DAT) | 0.999 ** | 71.46 | 47.03 | 2.72 |
| Ningzishu 1 | ||||||||||
| 0 | y = 125.658/(1 + 68.704 × 10−0.059DAT) | 0.972 ** | 71.69 | 44.64 | 1.63 | y = 139.612/(1 + 51.984 × 10−0.055DAT) | 0.987 ** | 71.84 | 47.89 | 1.68 |
| 75 | y = 145.733/(1 + 63.953 × 10−0.056DAT) | 0.959 ** | 74.25 | 47.03 | 1.79 | y = 182.133/(1 + 55.6 × 10−0.053DAT) | 0.996 ** | 75.81 | 49.69 | 2.12 |
| 150 | y = 161.896/(1 + 75.734 × 10−0.055DAT) | 0.981 ** | 78.68 | 47.89 | 1.95 | y = 198.041/(1 + 53.901 × 10−0.053DAT) | 0.990 ** | 75.23 | 49.69 | 2.30 |
| 225 | y = 163.704/(1 + 64.517 × 10−0.056DAT) | 0.932 ** | 74.41 | 47.03 | 2.01 | y = 215.008/(1 + 39.283 × 10−0.047DAT) | 0.997 ** | 78.10 | 56.04 | 2.22 |
| 300 | y = 178.201/(1 + 52.325 × 10−0.051DAT) | 0.950 ** | 77.60 | 51.64 | 1.99 | y = 199.695/(1 + 49.977 × 10−0.054DAT) | 0.999 ** | 72.44 | 48.77 | 2.36 |
| 375 | y = 175.247/(1 + 43.939 × 10−0.054DAT) | 0.943 ** | 70.05 | 48.77 | 2.07 | y = 200.598/(1 + 46.646 × 10−0.054DAT) | 0.999 ** | 71.16 | 48.77 | 2.37 |
| K2O Rate (kg ha−1) | 2017 | 2018 | ||||||||
|---|---|---|---|---|---|---|---|---|---|---|
| Equations | r | Tm (d) | T (d) | VT (g d−1) | Equations | r | Tm a (d) | T (d) | VT (g d−1) | |
| Xushu 32 | ||||||||||
| 0 | y = 656.00/(1 + 894.30 × 10−0.087DAT) | 0.985 ** | 78.12 | 30.27 | 12.51 | y = 485.20/(1 + 4269.72 × 10−0.101DAT) | 0.998 ** | 82.77 | 26.08 | 10.74 |
| 75 | y = 778.91/(1 + 863.84 × 10−0.085DAT) | 0.981 ** | 79.55 | 30.98 | 14.51 | y = 543.64/(1 + 2054.11 × 10−0.091DAT) | 0.989 ** | 83.82 | 28.94 | 10.84 |
| 150 | y = 808.98/(1 + 562.90 × 10−0.08DAT) | 0.996 ** | 79.16 | 32.92 | 14.19 | y = 597.03/(1 + 1234.96 × 10−0.085DAT) | 0.991 ** | 83.75 | 30.98 | 11.12 |
| 225 | y = 867.86/(1 + 590.41 × 10−0.079DAT) | 0.988 ** | 80.77 | 33.34 | 15.03 | y = 638.24/(1 + 799.19 × 10−0.079DAT) | 0.991 ** | 84.60 | 33.34 | 11.05 |
| 300 | y = 899.69/(1 + 562.90 × 10−0.080DAT) | 0.998 ** | 83.77 | 36.08 | 14.40 | y = 691.50/(1 + 663.53 × 10−0.078DAT) | 0.997 ** | 83.30 | 33.77 | 11.82 |
| 375 | y = 813.28/(1 + 471.90 × 10−0.079DAT) | 0.996 ** | 77.93 | 33.34 | 14.08 | y = 677.96/(1 + 581.241 × 10−0.08DAT) | 0.999 ** | 79.56 | 32.92 | 11.89 |
| Ningzishu 1 | ||||||||||
| 0 | y = 518.40/(1 + 2960.94 × 10−0.095DAT) | 0.974 ** | 84.14 | 27.72 | 10.80 | y = 327.70/(1 + 3726.37 × 10−0.102DAT) | 0.995 ** | 80.62 | 25.82 | 7.33 |
| 75 | y = 656.52/(1 + 1830.32 × 10−0.085DAT) | 0.998 ** | 88.38 | 30.98 | 12.23 | y = 415.73/(1 + 1728.92 × 10−0.092DAT) | 0.993 ** | 81.04 | 28.63 | 8.38 |
| 150 | y = 761.77/(1 + 1611.56 × 10−0.082DAT) | 0.982 ** | 90.06 | 32.12 | 13.69 | y = 495.31/(1 + 672.00 × 10−0.08DAT) | 0.997 ** | 81.38 | 32.92 | 8.69 |
| 225 | y = 816.70/(1 + 1243.14 × 10−0.081DAT) | 0.990 ** | 87.97 | 32.51 | 14.50 | y = 542.14/(1 + 422.79 × 10−0.076DAT) | 0.999 ** | 79.56 | 34.65 | 9.03 |
| 300 | y = 805.13/(1 + 738.72 × 10−0.075DAT) | 0.997 ** | 88.07 | 35.12 | 13.24 | y = 510.95/(1 + 1145.07 × 10−0.094DAT) | 0.998 ** | 74.93 | 28.02 | 10.53 |
| 375 | y = 794.73/(1 + 1442.72 × 10−0.085DAT) | 0.996 ** | 85.58 | 30.98 | 14.81 | y = 501.24/(1 + 1165.00 × 10−0.094DAT) | 0.999 ** | 75.11 | 28.02 | 10.33 |
| K2O Rate (kg K2O ha−1) | Storage Root Number (No. Plant−1) | Fresh Weight Per Storage Root (g) | Storage Root Yield (Mg ha−1) | Plant Biomass (g Per Plant) | The Biomass Rate of Storage Root/Whole Plant | |||||
|---|---|---|---|---|---|---|---|---|---|---|
| 2017 | 2018 | 2017 | 2018 | 2017 | 2018 | 2017 | 2018 | 2017 | 2018 | |
| Xushu 32 | ||||||||||
| 0 | 3.67 a a | 3.33 a | 163.9 e | 143.1 abc | 32.79 c | 22.18 c | 155.66 c | 155.3 c | 0.78 a | 0.80 c |
| 75 | 4.33 a | 4.33 a | 181.7 d | 127.4 c | 36.61 b | 25.67 bc | 160.87 bc | 170.3 bc | 0.82 a | 0.83 abc |
| 150 | 4.33 a | 4.33 a | 190.1 c | 140.5 bc | 38.3 ab | 28.30 ab | 187.53 a | 187.4 ab | 0.87 a | 0.85 ab |
| 225 | 4.33 a | 4.00 a | 200.5 b | 160.2 ab | 40.4 a | 29.79 ab | 181.88 ab | 178.3 abc | 0.87 a | 0.87 a |
| 300 | 4.33 a | 4.33 a | 206.8 a | 154.1 ab | 40.28 a | 31.05 a | 193.79 a | 196.9 ab | 0.88 a | 0.87 a |
| 375 | 4.00 a | 4.00 a | 207.8 a | 165.2 a | 38.65 ab | 30.72 ab | 184.28 ab | 202.1 a | 0.88 a | 0.82 bc |
| Ningzishu 1 | ||||||||||
| 0 | 4.00 a | 2.33 b | 141.9 c | 148.5 a | 26.40 b | 16.11 b | 118.71 d | 120.3 c | 0.77 b | 0.71 c |
| 75 | 4.33 a | 3.33 ab | 162.2 b | 129.7 c | 29.58 b | 20.10 ab | 136.27 cd | 154.1 b | 0.84 a | 0.74 bc |
| 150 | 4.33 a | 3.67 a | 189.0 a | 132.6 bc | 34.99 a | 22.82 a | 143.78 bc | 165.0 ab | 0.85 a | 0.81 ab |
| 225 | 5.00 a | 4.00 a | 183.5 a | 126.2 c | 38.02 a | 24.87 a | 158.34 abc | 176.2 a | 0.86 a | 0.83 ab |
| 300 | 3.67 a | 3.67 a | 195.3 a | 142.4 ab | 37.95 a | 24.27 a | 165.03 ab | 175.9 a | 0.87 a | 0.85 a |
| 375 | 4.00 a | 3.67 a | 192.3 a | 142.5 ab | 37.31 a | 24.29 a | 167.83 a | 177.0 a | 0.87 a | 0.85 a |
| Significance of factors | ||||||||||
| Year | 6.594 * | 360.157 ** | 402.395 ** | 9.863 ** | 5.821 * | |||||
| Cultivar (C) | ns | 34.289 ** | 78.879 ** | 78.563 ** | 6.179 * | |||||
| K2O rate (K) | 2.637 * | 19.075 ** | 29.349 ** | 27.047 ** | 10.001 ** | |||||
| Y × C | ns | ns | ns | ns | ns | |||||
| Y × K | ns | 10.401 ** | ns | ns | ns | |||||
| C × K | ns | ns | ns | ns | ns | |||||
| Y × C × K | ns | 2.665 * | ns | ns | ns | |||||
| Correlation with | SPS | SuSy | AGPase | SSS | SBE |
|---|---|---|---|---|---|
| Starch accumulation | 0.5833 *a | 0.7208 ** | 0.5881 * | 0.5779 * | 0.7665 ** |
| Storage root yield | ns | ns | 0.7992 ** | 0.7780 ** | ns |
| Meteorological Data | Year | June | July | August | September | October | Total |
|---|---|---|---|---|---|---|---|
| Mean daily temperature (°C) | 2017 | 25.8 | 29.9 | 27.7 | 23.1 | 15.4 | 24.4 |
| 2018 | 27.4 | 28.8 | 28.6 | 22.8 | 16.1 | 24.7 | |
| Total sunshine hours (h) | 2017 | 265.2 | 241.2 | 210.3 | 191.8 | 157.8 | 1066.3 |
| 2018 | 282.8 | 242.4 | 225.3 | 212.2 | 238.0 | 1200.7 | |
| Total precipitation (mm) | 2017 | 92.1 | 279.9 | 105.1 | 101.6 | 75.0 | 653.7 |
| 2018 | 48.7 | 248.5 | 362.3 | 62.6 | 0.2 | 722.2 |
Publisher’s Note: MDPI stays neutral with regard to jurisdictional claims in published maps and institutional affiliations. |
© 2021 by the authors. Licensee MDPI, Basel, Switzerland. This article is an open access article distributed under the terms and conditions of the Creative Commons Attribution (CC BY) license (https://creativecommons.org/licenses/by/4.0/).
Share and Cite
Gao, Y.; Tang, Z.; Xia, H.; Sheng, M.; Liu, M.; Pan, S.; Li, Z.; Liu, J. Potassium Fertilization Stimulates Sucrose-to-Starch Conversion and Root Formation in Sweet Potato (Ipomoea batatas (L.) Lam.). Int. J. Mol. Sci. 2021, 22, 4826. https://doi.org/10.3390/ijms22094826
Gao Y, Tang Z, Xia H, Sheng M, Liu M, Pan S, Li Z, Liu J. Potassium Fertilization Stimulates Sucrose-to-Starch Conversion and Root Formation in Sweet Potato (Ipomoea batatas (L.) Lam.). International Journal of Molecular Sciences. 2021; 22(9):4826. https://doi.org/10.3390/ijms22094826
Chicago/Turabian StyleGao, Yang, Zhonghou Tang, Houqiang Xia, Minfei Sheng, Ming Liu, Shenyuan Pan, Zongyun Li, and Jingran Liu. 2021. "Potassium Fertilization Stimulates Sucrose-to-Starch Conversion and Root Formation in Sweet Potato (Ipomoea batatas (L.) Lam.)" International Journal of Molecular Sciences 22, no. 9: 4826. https://doi.org/10.3390/ijms22094826
APA StyleGao, Y., Tang, Z., Xia, H., Sheng, M., Liu, M., Pan, S., Li, Z., & Liu, J. (2021). Potassium Fertilization Stimulates Sucrose-to-Starch Conversion and Root Formation in Sweet Potato (Ipomoea batatas (L.) Lam.). International Journal of Molecular Sciences, 22(9), 4826. https://doi.org/10.3390/ijms22094826

