Analysis of the Oxidative Burst and Its Relevant Signaling Pathways in Leptosphaeria maculans—Brassica napus Pathosystem
Abstract
1. Introduction
2. Results
2.1. Early Induction of Electrolyte leakage Occurring from Intermediate and Resistant Phenotypes
2.2. Distinct Detection of Hydrogen Peroxide in Susceptible, Intermediate and Resistant B. napus Plants
2.3. The Impacts of ROS Upon Cell Death
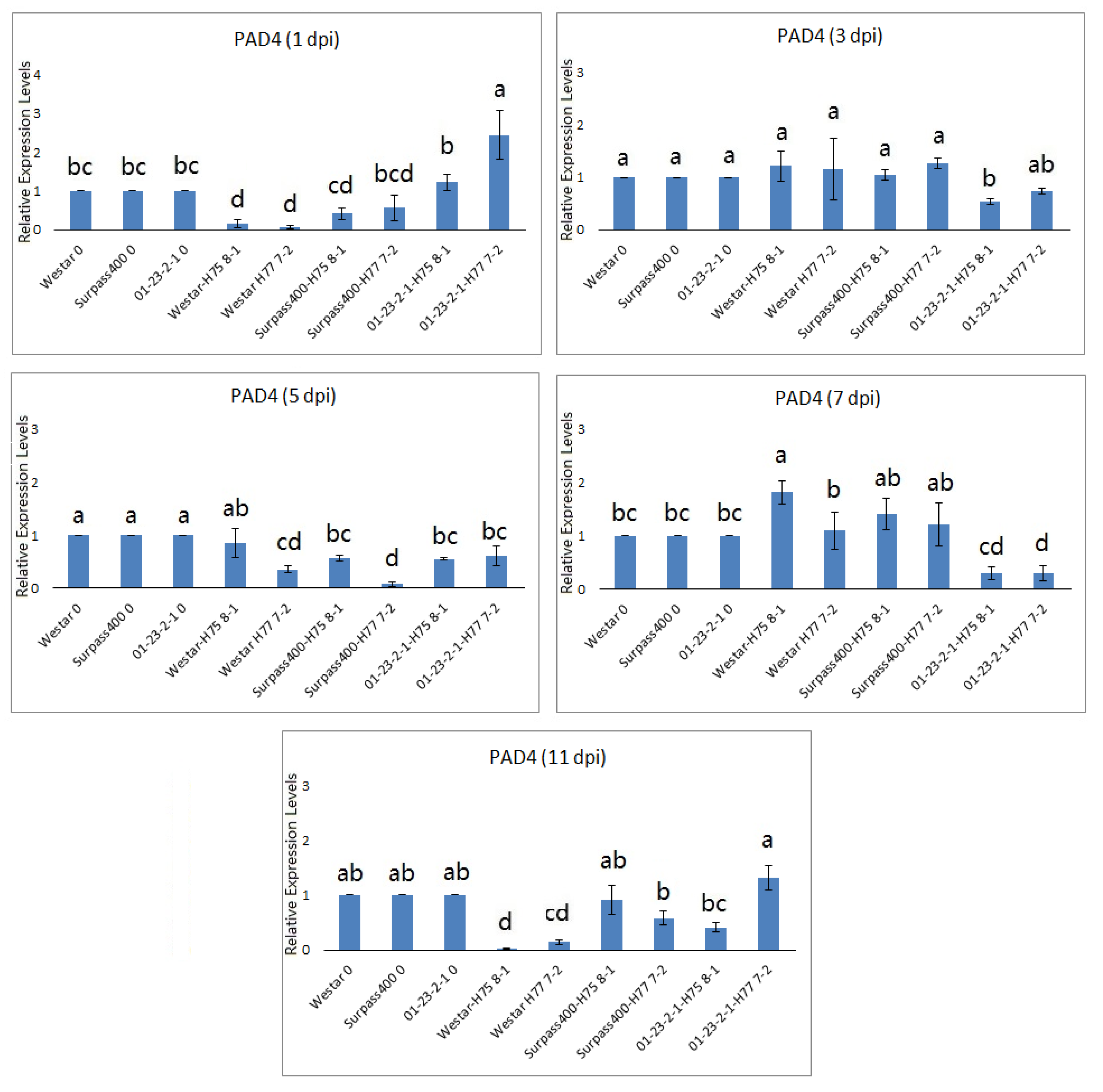
2.4. Signal Allocation Patterns in ROS Production and Subsequent Responsive Factors among Susceptible, Intermediate and Resistant B. napus Plants
3. Discussion
4. Materials and Methods
4.1. Plant Materials
4.2. Pathogen Cultivation
4.3. Pathogen Inoculation
4.4. Electrolyte Leakage Measurement
4.5. 3,3′-Diaminobenzidine (DAB) Staining
4.6. Trypan Blue Staining (TBS)
4.7. Gene Expression Analysis
4.8. Statistical Analysis
5. Conclusions
Supplementary Materials
Author Contributions
Funding
Data Availability Statement
Acknowledgments
Conflicts of Interest
References
- Dupont, J.; White, P.J.; Johnson, K.M.; Heggtveit, H.A.; Grundy, S.M.; Bonanome, A. Food safety and health effects of canola oil. J. Am. Coll. Nutr. 1989, 8, 360–375. [Google Scholar] [CrossRef]
- Lin, L.; Allemekinders, H.; Dansby, A.; Campbell, L.; Durance-Tod, S.; Berger, A.; Jones, P.J.H. Evidence of health benefits of canola oil. Nutr. Rev. 2013, 71, 370–385. [Google Scholar] [CrossRef]
- Bailey, K.L.; Gossen, B.D.; Gugel, R.K.; Morrall, R.A.A. Diseases of Field Crops in Canada, 3rd ed.; The Canadian Phytopathological Society: Saskatoon, SK, Canada, 2003; pp. 132–133. [Google Scholar]
- Canola Council of Canada. Blackleg. Available online: https://www.canolacouncil.org/canola-encyclopedia/diseases/blackleg (accessed on 29 November 2020).
- Raman, H.; Raman, R.; Taylor, B.; Lindbeck, K.; Coombes, N.; Eckermann, P.; Batley, J.; Edwards, D.; Price, A.; Rehman, A.; et al. Blackleg resistance in rapeseed: Phenotypic screen, molecular markers and genome wide linkage and association mapping. In Proceedings of the 17th Australian Research Assembly on Brassicas (ARAB), Wagga Wagga, NSW, Australia, 15–17 August 2011; pp. 61–64. [Google Scholar]
- Sašek, V.; Nováková, M.; Jindřichová, B.; Bóka, K.; Valentová, O.; Burketová, L. Recognition of avirulence gene AvrLm1 from hemibiotrophic ascomycete Leptosphaeria maculans triggers salicyclic acid and ethylene signaling in Brassica napus. Mol. Plant. Microbe Interact. 2012, 25, 1238–1250. [Google Scholar] [CrossRef] [PubMed]
- Gardiner, D.M.; Cozijnsen, A.J.; Wilson, L.M.; Pedras, M.S.C.; Howlett, B.J. The sirodesmin biosynthetic gene cluster of the plant pathogenic fungus Leptosphaeria maculans. Mol. Microbiol. 2004, 53, 1307–1318. [Google Scholar] [CrossRef]
- Mitrović, P.; Orčić, D.; Sakač, Z.; Marjanović-Jeromela, A.; Grahovac, N.; Milošević, D.; Marisavljević, D.P. Characterization of sirodesmins isolated from the phytopathogenic fungus Leptosphaeria maculans. J. Serb. Chem Soc. 2012, 77, 1363–1379. [Google Scholar] [CrossRef]
- Agrios, G.N. Plant Pathology, 5th ed.; Elsevier: Burlington, MA, USA, 2004; pp. 208–227. [Google Scholar]
- Poland, J.A.; Balint-Kurti, P.J.; Wisser, R.J.; Pratt, R.C.; Nelson, R.J. Shades of gray: The world of quantitative disease resistance. Trends Plant. Sci. 2009, 13, 21–29. [Google Scholar] [CrossRef]
- Lamb, C.; Dixon, R.A. The oxidative burst in plant disease resistance. Ann. Rev. Plant. Physiol. 1997, 48, 251–275. [Google Scholar] [CrossRef] [PubMed]
- Baxter, A.; Mittler, R.; Suzuki, N. ROS as key players in plant stress signaling. J. Exp. Bot. 2013, 65, 1229–1240. [Google Scholar] [CrossRef]
- Jabs, T. Reactive oxygen intermediates as mediators of programmed cell death in plants and animals. Biochem. Pharmacol. 1999, 57, 231–245. [Google Scholar] [CrossRef]
- Quan, L.J.; Zhang, B.; Shi, W.W.; Li, H.Y. Hydrogen peroxide in plants: A versatile molecule of the reactive oxygen species network. J. Integr. Plant. Biol. 2008, 50, 2–18. [Google Scholar] [CrossRef]
- Yoshioka, H.; Adachi, H.; Nakano, T.; Miyagawa, N.; Asai, S.; Ishihama, N.; Yoshioka, M. Hierarchial regulation of NADPH oxidase by protein kinases in plant immunity. Physiol. Mol. Plant. Path. 2016, 95, 20–26. [Google Scholar] [CrossRef]
- Zurbriggen, M.D.; Carrillo, N.; Hajirezaei, M.R. ROS signaling in the hypersensitive response: When, where and what for? Plant. Signal. Behav. 2010, 5, 393–396. [Google Scholar] [CrossRef]
- Demidchik, V.; Straltsova, D.; Medvedev, S.S.; Pozhvanov, G.A.; Sokolik, A.; Yurin, V. Stress-induced electrolyte leakage: The role K+ - permeable channel, and involvement in programmed cell death and metabolic adjustment. J. Exp. Bot. 2014, 65, 1259–1270. [Google Scholar] [CrossRef] [PubMed]
- Imanifard, Z.; Vandelle, E.; Bellin, D. Measurement of hypersensitive cell death triggered by avirulent bacterial pathogens in Arabidopsis. Methods Mol. Biol. 2018, 1743, 39–50. [Google Scholar] [CrossRef] [PubMed]
- Overmyer, K.; Tuominen, H.; Ketunen, H.; Betz, C.; Langebartels, C.; Sandermann, H., Jr.; Kangasjärvi, J. Ozone-sensitive Arabidopsis rcd1 mutant reveals opposite roles for ethylene and jasmonate signaling pathways in regulating superoxide-dependent cell death. Plant. Cell 2000, 12, 1849–1862. [Google Scholar] [CrossRef]
- Ranf, S.; Grimmer, J.; Pöschl, Y.; Pecher, P.; Chinchilla, D.; Scheel, D.; Lee, J. Defense-related calcium signaling mutants uncovered via a quantitative high-throughput screen in Arabidopsis thaliana. Mol. Plant. 2012, 5, 115–130. [Google Scholar] [CrossRef] [PubMed]
- Bestwick, C.S.; Brown, I.R.; Bennett, M.H.R.; Mansfield, J.W. Localization of hydrogen peroxide accumulation during the hypersensitive reaction of lettuce cells to Pseudomonas syringae pv phaseolicola. Plant. Cell 1997, 9, 209–221. [Google Scholar] [CrossRef] [PubMed]
- Tenhaken, R.; Levine, A.; Brisson, L.F.; Dixon, R.A.; Lamb, C. Function of the oxidative burst in hypersensitive disease resistance. Proc. Natl. Acad. Sci. USA 1995, 92, 4158–4163. [Google Scholar] [CrossRef]
- Bindschedler, L.V.; Dewdney, J.; Blee, K.A.; Stone, J.M.; Asai, T.; Plotnikov, J.; Denoux, C.; Hayes, T.; Gerrish, C.; Davies, D.R.; et al. Peroxidase-dependent apoplastic oxidative burst in Arabidopsis required for pathogen resistance. Plant. J. 2006, 47, 851–863. [Google Scholar] [CrossRef]
- Daudi, A.; Cheng, Z.; O’Brien, J.A.; Mammarella, N.; Khan, S.; Ausubel, F.M.; Bolwell, G.P. The apoplastic oxidative burst peroxidase in Arabidopsis is a major component of pattern-triggered immunity. Plant. Cell 2012, 24, 275–2287. [Google Scholar] [CrossRef]
- Qi, J.; Wang, J.; Gong, Z.; Zhou, J.M. Apoplastic ROS signaling in plant immunity. Curr. Opin. Plant. Biol. 2017, 38, 92–100. [Google Scholar] [CrossRef] [PubMed]
- Moon, H.; Lee, B.; Choi, G.; Shin, D.; Prasad, D.T.; Lee, O.; Kwak, S.S.; Kim, D.H.; Nam, J.; Bahk, J.; et al. NDP kinase 2 interacts with two oxidative stress-activated MAPKs to regulate cellular redox state and enhances multiple stress tolerance in transgenic plants. Proc. Natl. Acad. Sci. USA 2003, 100, 358–363. [Google Scholar] [CrossRef]
- Meng, X.; Xu, J.; He, Y.; Yang, K.Y.; Mordorski, B.; Liu, Y.; Zhang, S. Phosphorylation of an ERF transcription factor by Arabidopsis MPK3/MPK6 regulates plant defense gene induction and fungal resistance. Plant. Cell 2013, 25, 1126–1142. [Google Scholar] [CrossRef] [PubMed]
- Wang, Y.; Bao, Z.; Zhu, Y.; Hua, J. Analysis of temperature modulation of plant defense against biotrophic microbes. Mol. Plant. Microbe Interact. 2009, 22, 498–506. [Google Scholar] [CrossRef] [PubMed]
- Rao., M.V.; Lee, H.I.; Davis, K.R. Ozone-induced ethylene production is dependent on salicylic acid, and both salicylic acid and ethylene act in concert to regulate ozone-induced cell death. Plant. J. 2002, 32, 447–456. [Google Scholar] [CrossRef]
- Torres, M.A.; Dangl, J.L. Functions of the respiratory burst oxidase in biotic interactions, abiotic stress and development. Curr. Opin. Plant. Biol. 2005, 8, 397–403. [Google Scholar] [CrossRef]
- Becker, M.G.; Zhang, X.; Walker, P.L.; Wan, J.C.; Millar, J.L.; Khan, D.; Granger, M.J.; Cavers, J.D.; Chan, A.C.; Fernnado, D.W.G.; et al. Transcriptome analysis of the Brassica napus—Leptosphaeria maculans pathosystem identifies receptor, signaling and structural genes underlying plant resistance. Plant. J. 2017, 90, 573–586. [Google Scholar] [CrossRef]
- Dandena, H.B.; Zhang, Q.; Zhou, T.; Hirani, A.H.; Liu, Z.; Fernando, D.W.G.; Duncan, R.W.; Li, G. Analysis of quantitative adult plant resistance to blackleg in Brassica napus. Mol. Breed. 2019, 39, 124. [Google Scholar] [CrossRef]
- Neik, T.X.; Ghanbarnia, K.; Ollivier, B.; Scheben, A.; Severn-Ellis, A.; Larkan, N.J.; Haddadi, P.; Fernando, W.G.D.; Rouxel, T.; Batley, J.; et al. Two independent approaches converge to the cloning of a new Leptosphaeria maculans avirulence effector gene, AvrLmS-Lep2. Biorxiv 2020. [Google Scholar] [CrossRef]
- Wojtaszek, P. Oxidative burst: An early plant response to pathogen infection. Biochem. J. 1997, 322, 681–692. [Google Scholar] [CrossRef]
- Gechev, T.S.; Minkov, I.N.; Hille, J. Hydrogen peroxide-induced cell death in Arabidopsis: Transcriptional and mutant analysis reveals a role of an oxoglutarate-dependent dioxygenase gene in the cell death process. IUBMB Life 2005, 57, 181–188. [Google Scholar] [CrossRef] [PubMed]
- Knepper, C.; Day, B. From perception to activation: The molecular-genetic and biochemical landscape of disease resistance signaling in plants. Arabidopsis Book 2010, 8, e012. [Google Scholar] [CrossRef] [PubMed]
- Sexton, A.C.; Paulsen, M.; Woestemeyer, J.; Howlett, B.J. Cloning, characterization and chromosomal location of three genes encoding host-cell-wall-degrading enzymes in Leptosphaeria maculans, a fungal pathogen of Brassica spp. Gene 2000, 248, 89–97. [Google Scholar] [CrossRef]
- Feys, B.J.; Moisan, L.J.; Newman, M.A.; Parker, J.E. Direct interaction between the Arabidopsis disease resistance signaling proteins, EDS1 and PAD4. EMBO J. 2001, 20, 5400–5411. [Google Scholar] [CrossRef]
- Rietz, S.; Stamm, A.; Malonek, S.; Wagner, S.; Becker, D.; Medina-Escobar, N.; Vlot, A.C.; Feys, B.J.; Niefind, K.; Parker, J.E. Different roles of enhanced disease susceptibility1 (EDS1) bound to and dissociated from phytoalexin defcient4 (PAD4) in Arabidopsis immunity. New Phytol. 2011, 191, 107–119. [Google Scholar] [CrossRef]
- Bhattacharjee, S.; Halane, M.K.; Kim, S.H.; Gassmann, W. Pathogen effectors target Arabidopsis EDS1 and alter its interactions with immune regulators. Science 2011, 334, 1405–1408. [Google Scholar] [CrossRef]
- Bethke, G.; Unthan, T.; Uhrig, J.F.; Pöschl, Y.; Gust, A.A.; Scheel, D.; Lee, J. Flg22 regulates the release of an ethylene response factor substrate from MAP kinase 6 in Arabidopsis thaliana via ethylene signaling. Proc. Natl. Acad. Sci. USA 2009, 106, 8067–8072. [Google Scholar] [CrossRef]
- Pitzschke, A.; Schikora, A.; Hirt, H. MAPK cascade signaling networks in plant defence. Curr. Opin. Plant Biol. 2009, 12, 421–426. [Google Scholar] [CrossRef]
- Garcia-Brugger, A.; Lamotte, O.; Vandelle, E.; Bourque, S.; Lecourieux, D.; Poinssot, B.; Wendehenne, D.; Pugin, A. Early signaling events induced by elicitors of plant defenses. Mol. Plant. Microbe Interact. 2006, 19, 711–724. [Google Scholar] [CrossRef]
- Perfect, S.E.; Green, J.R. Infection structures of biotroiphic and hemibiotrophic fungal plant pathogens. Mol. Plant. Pathol. 2001, 2, 101–108. [Google Scholar] [CrossRef]
- Stotz, H.U.; Mitrousia, G.K.; de Wit, P.J.G.M.; Fitt, B.D.L. Effector-triggered defence against apoplastic fungal pathogens. Trends Plant. Sci. 2014, 19, 491–500. [Google Scholar] [CrossRef] [PubMed]
- Coll, N.S.; Epple, P.; Dangl, J.L. Programmed cell death in the plant immune system. Cell Death Differ. 2011, 18, 1247–1256. [Google Scholar] [CrossRef]
- Annis, S.L.; Goodwin, P.H. Comparison of cell wall—Degrading enzymes produced by highly and weakly virulent isolates Leptosphaeria maculans in culture. Microbiol. Res. 1996, 151, 401–406. [Google Scholar] [CrossRef]
- Li, C.; Barker, S.J.; Gilchrist, D.G.; Lincoln, J.E.; Cowling, W.A. Leptosphaeria maculans elicits apoptosis coincident with leaf lesion formation and hyphal advance in Brassica napus. Mol. Plant. Microbe Interact. 2008, 21, 1143–1153. [Google Scholar] [CrossRef] [PubMed]
- Thordal-Christensen, H.; Zhang, Z.; Wei, Y.; Collinge, D.B. Subcellular localization of H2O2 in plants. H2O2 accumulation in papillae and hypersensitive response during the barley-powdery mildew interaction. Plant. J. 1997, 11, 1187–1194. [Google Scholar] [CrossRef]
- Xiao, S.; Brown, S.; Patrick, E.; Brearly, C.; Turner, J.G. Enhanced transcription of the Arabidopsis disease resistance genes RPW8.1 and RPW8.2 via a salicylic acid—Dependent amplification circuit is required for hypersensitive cell death. Plant. Cell 2003, 15, 33–45. [Google Scholar] [CrossRef] [PubMed]
- Nováková, M.; Sašek, V.; Trdá, L.; Krutinová, H.; Mongin, T.; Valentová, O.; Balesdent, M.E.; Rouxel, T.; Burketová, L. Leptosphaeria maculans effector AvrLm4-7 affects salicylic acid (SA) and ethylene (ET) signalling and hydrogen peroxide (H2O2) accumulation in Brassica napus. Mol. Plant. Pathol. 2015, 17, 818–831. [Google Scholar] [CrossRef] [PubMed]
- Morales, J.; Kadota, Y.; Zipfel, C.; Molina, A.; Torres, M.A. The Arabidopsis NADPH oxidases RbohD and RbohF display differential expression patterns and contributions during plant immunity. J. Exp. Bot. 2016, 67, 1663–1676. [Google Scholar] [CrossRef]
- Torres, M.A.; Dangl, J.L.; Jones, J.D.G. Arabidopsis gp91 (phox) homologues AtrbohD and AtrbohF are required for accumulation of reactive oxygen intermediates in the plant defense response. Proc. Natl. Acad. Sci. USA 2002, 99, 517–522. [Google Scholar] [CrossRef]
- Pogány, M.; von Rad, U.; Grun, S.; Dongo, A.; Pintye, A.; Simoneau, P.; Bahnweg, G.; Kiss, L.; Barna, B.; Durner, J. Dual roles of reactive oxygen species and NADPH oxidase RBOHD in an Arabidopsis-Alternaria pathosystem. Plant. Physiol. 2009, 151, 1459–1475. [Google Scholar] [CrossRef]
- Cui, H.; Gobbato, E.; Kracher, B.; Qiu, J.; Bauter, J.; Parker, J.E. A core function of EDS1 with PAD4 is to protect the salicylic acid defense sector in Arabidopsis immunity. New Phytol. 2016, 21, 1802–1817. [Google Scholar] [CrossRef]
- Suzuki, N.; Miller, G.; Morales, J.; Shulaev, V.; Torres, M.A.; Mittler, R. Respiratory burst oxidases: The engine of ROS signaling. Curr. Opin. Plant. Biol. 2011, 14, 691–699. [Google Scholar] [CrossRef] [PubMed]
- Bigeard, J.; Hirt, H. Nuclear signaling of plant MAPKs. Front. Plant. Sci. 2018, 9, 469. [Google Scholar] [CrossRef] [PubMed]
- Livak, K.J.; Schmittgen, T.D. Analysis of relative gene expression data using real-time quantitative PCR and the 2 (-δ δ C(T)). Methods 2001, 25, 402–408. [Google Scholar] [CrossRef] [PubMed]
- Statistical Analysis Sytem (SAS), Version 9.4; Software for Technical Computation; SAS Institute: Cary, NC, USA, 2013.










Publisher’s Note: MDPI stays neutral with regard to jurisdictional claims in published maps and institutional affiliations. |
© 2021 by the authors. Licensee MDPI, Basel, Switzerland. This article is an open access article distributed under the terms and conditions of the Creative Commons Attribution (CC BY) license (https://creativecommons.org/licenses/by/4.0/).
Share and Cite
Yang, C.; Fernando, W.G.D. Analysis of the Oxidative Burst and Its Relevant Signaling Pathways in Leptosphaeria maculans—Brassica napus Pathosystem. Int. J. Mol. Sci. 2021, 22, 4812. https://doi.org/10.3390/ijms22094812
Yang C, Fernando WGD. Analysis of the Oxidative Burst and Its Relevant Signaling Pathways in Leptosphaeria maculans—Brassica napus Pathosystem. International Journal of Molecular Sciences. 2021; 22(9):4812. https://doi.org/10.3390/ijms22094812
Chicago/Turabian StyleYang, Cunchun, and W. G. Dilantha Fernando. 2021. "Analysis of the Oxidative Burst and Its Relevant Signaling Pathways in Leptosphaeria maculans—Brassica napus Pathosystem" International Journal of Molecular Sciences 22, no. 9: 4812. https://doi.org/10.3390/ijms22094812
APA StyleYang, C., & Fernando, W. G. D. (2021). Analysis of the Oxidative Burst and Its Relevant Signaling Pathways in Leptosphaeria maculans—Brassica napus Pathosystem. International Journal of Molecular Sciences, 22(9), 4812. https://doi.org/10.3390/ijms22094812

